The Effect of Herbaceous and Shrub Combination with Different Root Configurations on Soil Saturated Hydraulic Conductivity
Abstract
1. Introduction
2. Materials and Methods
2.1. Study Area
2.2. Sample Collection
2.3. Sample Determination
2.4. Data Analysis
3. Results and Analysis
3.1. The Ks of Different Grass-Shrub Composite Plots
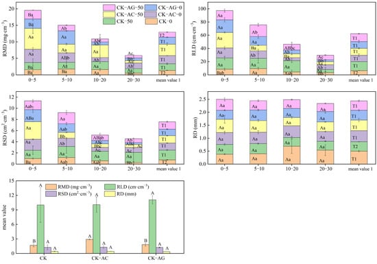
3.2. Root Systems and Soil Indicators in Different Sample Plots
3.3. Importance Analysis of Factors Affecting Ks and Estimation of Ks
4. Discussion
5. Conclusions
Author Contributions
Funding
Data Availability Statement
Acknowledgments
Conflicts of Interest
References
- Qiu, D.X.; Xu, R.R.; Wu, C.X.; Mu, X.M.; Zhao, G.J.; Gao, P. Vegetation restoration improves soil hydrological properties by regulating soil physicochemical properties in the Loess Plateau, China. J. Hydrol. 2022, 609, 127730. [Google Scholar] [CrossRef]
- Zheng, J.Y.; Shao, M.A.; Zhang, X.C. Spatial Variation of Surface Soil Bulk Density and Saturated Hydraulic Conductivity on Slope in Loess Region. J. Soil Water Conserv. 2004, 3, 53–56. [Google Scholar] [CrossRef]
- Hardie, M.; Clothier, B.; Bound, S.; Oliver, G.; Close, D. Does biochar influence soil physical properties and soil water availability? Plant Soil 2014, 376, 347–361. [Google Scholar] [CrossRef]
- Zhu, P.Z.; Zhang, G.H.; Zhang, B.J. Soil saturated hydraulic conductivity of typical revegetated plants on steep gully slopes of Chinese Loess Plateau. Geoderma 2022, 412, 115717. [Google Scholar] [CrossRef]
- Liang, X.F.; Zhao, S.W.; Zhang, Y.; Hua, J. Effects of vegetation rehabilitation on soil saturated hydraulic conductivity in Ziwuling Forest Area. Acta Ecol. Sin. 2009, 29, 636–642. [Google Scholar] [CrossRef]
- Sone, J.S.; Oliveira, P.T.S.; Euclides, V.P.B.; Montagner, D.B.; Araujo, A.R.D.; Zamboni, P.A.P.; Vieira, N.O.M.; Carvalho, G.A.; Sobrinho, T.A. Effects of nitrogen fertilisation and stocking rates on soil erosion and water infiltration in a Brazilian Cerrado farm. Agric. Ecosyst. Environ. 2020, 304, 107159. [Google Scholar] [CrossRef]
- Wu, W.J.; Chen, G.J.; Meng, T.F.; Li, C.; Feng, H.; Si, B.C.; Siddiue, K.H.M. Effect of different vegetation restoration on soil properties in the semi-arid Loess Plateau of China. Catena 2023, 220, 106630. [Google Scholar] [CrossRef]
- Zeng, J.H.; Ma, B.; Guo, Y.X.; Zhang, Z.Y.; Li, G.; Li, Z.B.; Liu, C.G. Effect of biological crust cover on soil saturated hydraulic conductivity under freeze⁃thaw conditions. Acta Ecol. Sin. 2022, 42, 348–358. [Google Scholar] [CrossRef]
- Zhang, H.Y.; Liu, Q.J.; Liu, S.T.; Li, J.J.; Geng, J.B.; Wang, L.Z. Key soil properties influencing infiltration capacity after long-term straw incorporation in a wheat (Triticum aestivum L.)–maize (Zea mays L.) rotation system. Agric. Ecosyst. Environ. 2023, 344, 108301. [Google Scholar] [CrossRef]
- Dong, L.B.; Fan, J.W.; Li, J.W.; Zhang, Y.; Liu, Y.L.; Wu, J.Z.; Li, A.; Shangguan, Z.P.; Deng, L. Forests have a higher soil C sequestration benefit due to lower C mineralization efficiency: Evidence from the central loess plateau case. Agric. Ecosyst. Environ. 2022, 339, 108144. [Google Scholar] [CrossRef]
- Jones, A.; Stolbovoy, V.; Rusco, E.; Gentile, A.R.; Gardi, C.; Marechal, B.; Montanarella, L. Climate change in Europe. 2. Impact on soil. A review. Agron. Sustain. Dev. 2009, 29, 423–432. [Google Scholar] [CrossRef]
- Wang, D.; Liu, C.; Yang, Y.; Liu, P.; Hu, W.; Song, H.; Miao, C.; Chen, J.; Yang, Z.; Miao, Y. Clipping decreases plant cover, litter mass, and water infiltration rate in soil across six plant community sites in a semiarid grassland. Sci. Total Environ. 2023, 861, 160692. [Google Scholar] [CrossRef]
- Li, Q.; Liu, G.B.; Zhang, Z.; Tuo, D.F.; Bai, R.R.; Qiao, F.F. Relative contribution of root physical enlacing and biochemistrical exudates to soil erosion resistance in the Loess soil. Catena 2017, 153, 61–65. [Google Scholar] [CrossRef]
- Liu, Y.; Cui, Z.; Huang, Z.; Manuel, L.V.; Wu, G.L. Influence of soil moisture and plant roots on the soil infiltration capacity at different stages in arid grasslands of China. Catena 2019, 182, 104147. [Google Scholar] [CrossRef]
- Huang, Y.S.; Li, P.; An, Q.; Mao, F.J.; Zhai, W.C.; Yu, K.F.; He, Y.L. Long-term Land use/cover changes reducing soil erosion in an ionic rare-earth mineral area of southern China. Land Degrad. Dev. 2021, 32, 4042–4055. [Google Scholar] [CrossRef]
- Wang, C.G.; Ma, B.; Wang, Y.X.; Li, Z.B.; Fan, S.B.; Mao, C.Y.; Huo, D. Effects of wheat straw length and coverage under different mulching methods on soil erosion on sloping farmland on the Loess Plateau. J. Soils Sediments 2022, 24, 923–935. [Google Scholar] [CrossRef]
- Dou, Y.X.; Yang, Y.; An, S.S.; Zhu, Z.L. Effects of different vegetation restoration measures on soil aggregate stability and erodibility on the Loess Plateau, China. Catena 2020, 185, 104294. [Google Scholar] [CrossRef]
- Gu, C.J.; Mu, X.M.; Gao, P.; Zhao, G.J.; Sun, W.Y.; Tatarko, J.; Tan, X.J. Influence of vegetation restoration on soil physical properties in the Loess Plateau, China. J. Soils Sediments 2019, 19, 716–728. [Google Scholar] [CrossRef]
- Wu, G.L.; Liu, Y.; Fang, N.F.; Deng, L.; Shi, Z.H. Soil physical properties response to grassland conversion from cropland on the semi-arid area. Ecohydrology 2016, 9, 1471–1479. [Google Scholar] [CrossRef]
- Liu, S.Z.; Wang, Y.Q.; An, Z.S.; Sui, H.; Zhang, P.P.; Zhao, Y.L.; Zhou, Z.X.; Xu, L.; Zhou, J.X.; Qi, L.J. Watershed spatial heterogeneity of soil saturated hydraulic conductivity as affected by landscape unit in the critical zone. Catena 2021, 203, 105322. [Google Scholar] [CrossRef]
- Ma, J.Y.; Ma, B.; Li, Z.B.; Wang, C.G.; Shang, Y.Z.; Zhang, Z.Y. Determining the mechanism of the root effect on soil detachment under mixed modes of different plant species using flume simulation. Sci. Total Environ. 2023, 858, 159888. [Google Scholar] [CrossRef] [PubMed]
- Wang, C.G.; Li, H.R.; Xue, S.B.; Ma, B.; Shang, Y.X.; Li, Z.B. How root and soil properties affect soil detachment capacity in different grass–shrub plots: A flume experiment. Catena 2023, 229, 10721. [Google Scholar] [CrossRef]
- Sang, K.X.; Hu, G.L.; Huang, C.; Yang, X.T.; Guo, E.H. Effects of root structure characteristics of 5 plant types on soil infiltration in the Yellow River riparian. Sci. Soil Water Conserv. 2020, 18, 1–8. [Google Scholar] [CrossRef]
- Yan, B.L. Shurb-Herbaceous Interactions in a Desert Steppe Under Different Stocking Rate; Inner Mongolia Agricultural University: Hohhot, China, 2019. [Google Scholar]
- He, X.J.; Augusto, L.; Goll, D.S.; Ringeval, B.; Wang, Y.P.; Helfenstein, J.L.; Huang, Y.Y.; Yu, K.L.; Wang, Z.Q.; Yang, Y.C.; et al. Global patterns and drivers of soil total phosphorus concentration. Earth Syst. Sci. Data 2021, 13, 5831–5846. [Google Scholar] [CrossRef]
- Han, F.P.; Zheng, J.Y.; Li, Z.B.; Zhang, X.C. Effect of PAM on soil physical properties and water distribution. Trans. Chin. Soc. Agric. Eng. 2010, 26, 70–74. [Google Scholar] [CrossRef]
- Wang, D.; Fu, B.J.; Chen, L.D.; Zhao, W.W.; Wang, Y.F. Fractal analysis on soil particle size distributions under different land-use types: A case study in the loess hilly areas of the Loess Plateau, China. Acta Ecol. Sin. 2007, 27, 3081–3089. [Google Scholar] [CrossRef]
- Zhang, J.J.; Wei, Y.X.; Liu, J.Z.; Yuan, J.C.; Liang, H.; Ren, J.; Cai, H.G. Effects of maize straw and its biochar application on organic and humic carbon in water-stable aggregates of a Mollisol in Northeast China: A five-year field experiment. Soil Tillage Res. 2019, 190, 1–9. [Google Scholar] [CrossRef]
- Zhang, M.K.; Walelign, D.B.; Tang, H.J. Effects of Biochar’s Application on Active Organic Carbon Fractions in Soil. J. Soil Water Conserv. 2012, 26, 127–137. [Google Scholar] [CrossRef]
- Li, J.X.; He, B.H.; Chen, Y. Root features of typical herb plants for hillslope protection and their effects on soil infiltration. Acta Ecol. Sin. 2013, 33, 1535–1544. [Google Scholar] [CrossRef]
- Li, T.C.; Shao, M.A.; Jia, Y.H.; Jia, X.X.; Huang, L.M. Using the X-ray computed tomography method to predict the saturated hydraulic conductivity of the upper root zone in the Loess Plateau in China. Soil Sci. Soc. Am. J. 2018, 82, 1085–1092. [Google Scholar] [CrossRef]
- Wang, G.L.; Liu, G.B.; Zhou, S.L. The effect of vegetation restoration on soil stable infiltration rates in small watershed of loess gully region. J. Nat. Resour. 2003, 18, 529–535. [Google Scholar] [CrossRef]
- Hao, H.X.; Di, H.Y.; Jiao, X.; Wang, J.G.; Guo, Z.L.; Shi, Z.H. Fine roots benefit soil physical properties key to mitigate soil detachment capacity following the restoration of eroded land. Plant Soil 2020, 446, 487–501. [Google Scholar] [CrossRef]
- Elhakeem, M.; Papanicolaou, A.N.T.; Wilson, C.G.; Chang, Y.J.; Burras, L.; Abban, B.; Wysocki, D.A.; Wills, S. Understanding saturated hydraulic conductivity under seasonal changes in climate and land use. Geoderma 2018, 315, 75–87. [Google Scholar] [CrossRef]
- Patra, S.; Kaushal, R.; Singh, D.; Kumar, R.; Tossou, A.G.; Durai, J. Surface soil hydraulic conductivity and macro-pore characteristics as affected by four bamboo species in North-Western Himalaya, India. Ecohydrol. Hydrobiol. 2022, 22, 188–196. [Google Scholar] [CrossRef]
- Zhu, X.M.; Tian, J.Y. The study Strengthening Anti-Scourability and Penetrability of Soil in Loess Plateau. J. Soil Water Conserv. 1993, 7, 1–10. [Google Scholar] [CrossRef]
- Barraclough, P.B. Root growth, macro-nutrient uptake dynamics and soil fertility requirements of a high-yielding winter oilseed rape crop. Plant Soil 1989, 119, 59–70. [Google Scholar] [CrossRef]
- Yu, Z.H.; Zhang, J.B.; Zhang, C.Z.; Xin, X.L.; Li, H. The coupling effects of soil organic matter and particle interaction forces on soil aggregate stability. Soil Tillage Res. 2017, 174, 251–260. [Google Scholar] [CrossRef]
- Pouladi, N.; Møller, A.B.; Tabatabai, S.; Greve, M.H. Mapping soil organic matter contents at field level with Cubist, Random Forest and kriging. Geoderma 2019, 342, 85–92. [Google Scholar] [CrossRef]
- Hao, H.; Qin, J.H.; Sun, Z.X.; Guo, Z.L.; Wang, J.J. Erosion-reducing effects of plant roots during concentrated flow under contrasting textured soils. Catena 2021, 203, 105378. [Google Scholar] [CrossRef]
- Hao, H.X.; Wei, Y.J.; Ca, D.N.; Guo, Z.L.; Shi, Z.H. Vegetation restoration and fine roots promote soil infiltrability in heavy-textured soils. Soil Tillage Res. 2020, 198, 104542. [Google Scholar] [CrossRef]
- Ma, J.Q.; Wang, W.Q.; Yang, J.; Qin, S.F.; Yang, Y.S.; Sun, C.Y.; Pei, G.; Zeeshan, M.; Liao, H.L.; Liu, L.; et al. Mycorrhizal symbiosis promotes the nutrient content accumulation and affects the root exudates in maize. BMC Plant Biol. 2022, 22, 64. [Google Scholar] [CrossRef]
- Aksakal, E.L.; Sari, S.; Angin, I. Effects of vermicompost application on soil aggregation and certain physical properties. Land Degrad. Dev. 2016, 27, 983–995. [Google Scholar] [CrossRef]
- Topa, D.; Cara, G.I.; Jităreanu, G. Long term impact of different tillage systems on carbon pools and stocks, soil bulk density, aggregation and nutrients: A field meta-analysis. Catena 2021, 199, 105102. [Google Scholar] [CrossRef]
- Wang, B.; Zhang, G.H.; Yang, Y.F.; Li, P.P.; Lu, J.X. Response of soil detachment capacity to plant root and soil properties in typical grasslands on the Loess Plateau. Agric. Ecosyst. Environ. 2018, 266, 68–75. [Google Scholar] [CrossRef]







| Vegetation Types | Root Architecture | Location | Aspect | Plant-Row Spacing (cm × cm) |
|---|---|---|---|---|
| Caragana korshinskii (CK) | taproot | 110°22′40″ E, 37°36′25″ N | half-shady slope | 130 × 120 |
| Caragana korshinskii and Agropyron cristatum (CK-AG) | Taproot and fibrous | 110°22′15″ E, 37°36′40″ N | half-shady slope | 150 × 120 |
| Caragana korshinskii and Artemisia gmelina (CK-AC) | Taproot and fibrous | 110°22′30″ E, 37°36′32″ N | half-shady slope | 140 × 110 |
| Depth (cm) | Sampling Plot and Sampling Location | |||||
|---|---|---|---|---|---|---|
| CK-0 | CK-50 | CK-AC-0 | CK-AC-50 | CK-AG-0 | CK-AG-50 | |
| 0–5 | 53.62 ± 2.03 AaB | 66.28 ± 0.29 AaB | 95.70 ± 5.09 BaAB | 117.12 ± 4.02 AaA | 102.76 ± 14.4 AaA | 105.15 ± 4.07 AaAB |
| 5–10 | 61.53 ± 8.84 AaC | 61.91 ± 1.53 AaB | 37.44 ± 4.07 AbB | 46.04 ± 2.10 AbB | 85.72 ± 6.07 AaA | 98.68 ± 9.76 AabA |
| 10–20 | 52.07 ± 3.04 AaC | 36.61 ± 2.04 BbB | 34.24 ± 4.07 AbB | 27.41 ± 2.06 AbC | 75.12 ± 4.07 AabA | 78.92 ± 2.16 AbcA |
| 20–30 | 31.20 ± 3.87 AbA | 17.50 ± 2.10 BcB | 32.05 ± 1.74 AbA | 24.21 ± 1.94 BbB | 47.14 ± 1.44 BbA | 70.33 ± 2.04 AcA |
| Mean value1 | 49.86 ± 13.43 AB | 45.57 ± 5.42 AB | 49.86 ± 10.08 AB | 53.69 ± 14.52 AB | 77.69 ± 23.23 AA | 88.27 ± 16.15 AA |
| Mean value2 | 47.72 ± 4.35T2 | 51.77 ± 8.55T2 | 82.98 ± 5.02T1 | |||
| Indicators | RMD | RLD | RSD | RD | SOM | Ag | BD | Clay | Silt | Sand |
|---|---|---|---|---|---|---|---|---|---|---|
| Relative importance | 0.02 | 0.52 | 0.15 | 0.06 | 0.62 | 0.79 | 0.48 | 0.05 | 0.02 | 0.04 |
| Eq | R2 | Reference | |
|---|---|---|---|
| Previous studies | y = 3.84 × RLD + 23.93 (p < 0.01) | 0.55 | [30] |
| y = 53.65 × InSOM − 9.49 (p < 0.01) | 0.72 | [31] | |
| y = 3.04 × Ag + 20.77 (p < 0.01) | 0.68 | [32] | |
| This study | y = 11.36 × RLD0.29 × SOM0.30 × Ag0.26 | 0.85 | (Equation (3)) |
| y = 92.71 × x (p < 0.01) | 0.87 | (Equation (4)) |
| Index | Principal 1 |
|---|---|
| Root length density (RLD) | 0.759 |
| Soil organic matter (SOM) | 0.92 |
| The aggregates larger than 0.25 mm (Ag) | 0.895 |
| Eigenvalue | 2.224 |
| variance contribution | 74.117% |
Disclaimer/Publisher’s Note: The statements, opinions and data contained in all publications are solely those of the individual author(s) and contributor(s) and not of MDPI and/or the editor(s). MDPI and/or the editor(s) disclaim responsibility for any injury to people or property resulting from any ideas, methods, instructions or products referred to in the content. |
© 2025 by the authors. Licensee MDPI, Basel, Switzerland. This article is an open access article distributed under the terms and conditions of the Creative Commons Attribution (CC BY) license (https://creativecommons.org/licenses/by/4.0/).
Share and Cite
Zhang, Z.; Wang, C.; Ma, B.; Li, Z.; Ma, J.; Liu, B. The Effect of Herbaceous and Shrub Combination with Different Root Configurations on Soil Saturated Hydraulic Conductivity. Water 2025, 17, 2187. https://doi.org/10.3390/w17152187
Zhang Z, Wang C, Ma B, Li Z, Ma J, Liu B. The Effect of Herbaceous and Shrub Combination with Different Root Configurations on Soil Saturated Hydraulic Conductivity. Water. 2025; 17(15):2187. https://doi.org/10.3390/w17152187
Chicago/Turabian StyleZhang, Zeyu, Chenguang Wang, Bo Ma, Zhanbin Li, Jianye Ma, and Beilei Liu. 2025. "The Effect of Herbaceous and Shrub Combination with Different Root Configurations on Soil Saturated Hydraulic Conductivity" Water 17, no. 15: 2187. https://doi.org/10.3390/w17152187
APA StyleZhang, Z., Wang, C., Ma, B., Li, Z., Ma, J., & Liu, B. (2025). The Effect of Herbaceous and Shrub Combination with Different Root Configurations on Soil Saturated Hydraulic Conductivity. Water, 17(15), 2187. https://doi.org/10.3390/w17152187

