Abstract
Leaky barriers mimic the natural accumulation of large wood in watercourses to effectively slow and store runoff and flow. Their role in flood management has attracted increasing attention due to their potential to reduce downstream risk. Numerous field studies have demonstrated the effectiveness of leaky barriers in retaining flood water in upstream catchment. However, their hydraulic behaviour remains poorly quantified due to limited empirical data and the modelling challenges. This review systematically investigates and synthesises research conducted over the past five years on the hydraulic behaviour and numerical representation of leaky barriers, while also drawing on earlier relevant studies to provide broader context. Additionally, it summarizes key hydraulic parameters, empirical equations, and modelling approaches that are used to characterise these structures. Furthermore, this review highlights the challenges of modelling individual leaky barriers in the field, which complicate their structural design and implementation. Future research should investigate the long-term performance of leaky barriers and explore optimal placement strategies to enhance flood mitigation within a catchment.
1. Introduction
Flooding is one of the most financially devastating natural hazards, causing USD 76 billion in damages globally in 2020 alone []. Climate change and land use changes have significantly increased flood risks worldwide, necessitating effective flood mitigation strategies. Traditional flood management approaches, including flood barriers, embankments, and dams, have been widely implemented due to their well-documented effectiveness. However, these methods are expensive to construct and maintain and often lead to ecological degradation, such as reduced water quality and loss of biodiversity [,]. As a sustainable alternative, natural flood management (NFM) strategies have gained popularity. These approaches aim to restore and improve natural hydrological and morphological processes to slow, store, and attenuate runoff, while enhancing biodiversity and improving soil and water quality [,,]. These processes are also referred to as Nature-based Solutions (NbS)’ [], ‘Catchment-based Flood management’ [] or ‘Working with Natural Processes’ [].
As one of the commonly used NFM measurements, leaky barriers mimic the natural accumulation of large amounts of wood in watercourses, helping to attenuate floods by increasing water storage and reducing peak flow [,,,]. Compared to other NFM measures, leaky barriers offer the advantages of immediate functionality after construction and ease of designing the discharge of the structure []. These structures can form naturally from fallen trees, which are also known as ‘large woody debris’ (LWD) [,] (Figure 1a), or be made from cut tree trunks and branches, which can form semi-natural ‘woody dams’ [] (Figure 1b), as well as purposefully being constructed into ‘engineered logjams’ (ELJ) [,,] (Figure 1c). NFM wood structures can fully or partially span the watercourse, touching the stream bed or leaving gaps beneath the structures without interacting with base flows []. Although leaky barriers are mainly installed within channels [,,], they can also be strategically placed on hillslopes [,]. In this paper, any structures that are formed from woody materials and have a fixed location are considered to have similar hydraulic behaviours and will be investigated.
A well-designed leaky barrier allows for the base flow to pass freely beneath the structure without obstruction, but acts as a temporary water storage when the water flow increases and interacts with the porous structure until the structure is overwhelmed [,]. Various laboratory setups (Figure 1e–h) and field experiments have examined the flow dynamics through leaky barriers and their impacts on hydraulic characteristics. The hydraulic effects of leaky barriers include increased hydraulic roughness, reduced channel conveyance [], decreased longitudinal flow velocity [,], increased upstream water levels [,], and extended flood wave travel time [,]. The existing research indicates that leaky barriers have the ability to successfully attenuate floodwater during high-frequency flood events [].
The accurate numerical modelling of leaky barriers is fundamental for predicting their hydraulic performance and potential in flood risk mitigation. These insights are crucial to optimising barrier placement and structural design to maximise their effectiveness in flood mitigation []. Several methods have been applied to model leaky barriers in hydrodynamic simulations, including modifying channel geometry, increasing channel roughness, applying porous walls or blockage units, and modifying existing hydraulic structures with adjusted parameters []. Previous studies have modelled leaky barriers in one-dimensional (1D), two-dimensional (2D), or three-dimensional (3D) models, capturing their behaviours at different levels of detail. One-dimensional models are best suited for simulating the impacts of a linear network of leaky barriers [], whereas 2D models are often applied to leaky barriers on hillslopes, where complex overland flow occurs due to irregular terrain []. Three-dimensional models have also been used to simulate flow through the gaps between logs and their impacts on the surrounding environment. However, due to the complexity of the model setup, only leaky barriers in laboratory flume experiments have been successfully simulated with this modelling process [,]. While many studies aim to quantify and describe the effects of leaky barriers through hydraulic modelling, no systematic review has been conducted on these modelling approaches [].
Therefore, this systematic review aims to evaluate recent advancements in leaky barriers research by addressing the following core questions:
- How are leaky barriers typically configured and characterised in both field and laboratory studies?
- In what ways are leaky barriers represented in hydrodynamic models, and what modelling strategies have been employed?
- What are the key indicators used to evaluate the effectiveness of leaky barriers in flood management?
This review provides a comprehensive synthesis of the leaky barriers research published in the last five years, along with relevant earlier work. By categorising recent findings on their characteristics, hydrodynamic modelling approaches, and flood mitigation performance, the study highlights recent advancements and supports the development of more consistent and effective modelling strategies. It should be noted that this review does not address ecological impacts, sedimentation and scouring, broader co-benefits, or the potential trade-off that comes with leaky barriers, as these are beyond its current scope.

Figure 1.
Examples of leaky barriers used in field experiments and hydraulic flume setups in laboratory environments. Field observations: (a) evolution of single LWD after 6 months of installation []; (b) woody dams installed in Wilde Brook, Shropshire, UK []; (c) Engineered Logjams installed at Penny Gill, West Cumbria, UK []; (d) runoff attenuation feature installed at Blairfindy catchment, Scotland, UK []; Laboratory setups: (e) fully channel-spanning leaky barriers constructed with wood sticks []; (f) partially spanning leaky barriers constructed with wood sticks []; (g) impermeable channel-spanning structure represented by a plastic board []; (h) permeable channel-spanning structure using a plastic board [].
2. Systematic Review Procedure
2.1. Search Terms
The systematic review was conducted following the Preferred Reporting Items for Systematic Reviews and Meta-Analyses (PRISMA) guidelines to ensure comprehensiveness and reproducibility []. The search keywords were classified into three categories based on the research questions. The first category focuses on modelling approaches, while the second category includes terminology referring to structures with similar features identified in published studies. Additional terms were included to refine the search scope and to specifically target natural flood management. Finalised search terms were constructed using Boolean operators, as follows:
- (“Model*” OR “SWE” OR “1D” OR “2D” OR “3D” OR “Simul*” OR “represent*”)
- AND (“Leaky Barrier” OR “Leaky Barriers” OR “Leaky dam” OR “Leaky dams” OR “Large Woody Debris” OR “large wood” OR “large woody dams” OR “logjam” OR “logjams” OR “engineered log jam” OR “Engineered log jams” OR “log jam” OR “log jams” OR “woody debris dams” OR “Leaky Woody Dams”)
- AND (“flood” OR “in-channel” OR NFM OR “Natural flood management” OR “Nature-based solution” OR NbS OR “Nature based solution”).
2.2. Search Strategy
The literature search was conducted in August 2024. These search terms were applied to peer-reviewed databases, including Web of Science (search via ‘Topics’), Scopus (search via ‘Article title, Abstract, Keywords’), and ProQuest (searched via ‘Anywhere except full text’). Since Google Scholar does not support Boolean logic, the research phrase ’model, leaky barrier, flood’ was used instead. Only the first 200 results from Google Scholar were considered; the rest were excluded due to their lower relevance. This method has been widely employed in previous studies []. This search strategy results in a total of 762 records from all databases (Table 1), with each record containing information such as title, abstract, document types, publisher, year of publishing, and identified keywords.

Table 1.
The number of results returned from each database.
Although Addy and Wilkinson (2019) [] reviewed the representation of leaky barriers in hydraulic models, their selection of reviewed articles did not follow a systematic methodology. Notably, 44% of the retrieved records were published after 2020, indicating a notable surge in research interest since the last review. Consequently, this review focuses on articles published in the last five years to avoid duplicating earlier work, yielding a total of 337 records.
2.3. Screening Process
A screening process, conducted in accordance with the PRISMA guidelines, is illustrated in Figure 2, which provides a complete overview of the research workflow, including the process from keyword formulation to database searching, as well as the screening and data extraction. The first step began with the removal of duplicate records identified across multiple databases (n = 109). Next, the grey literature, including conference papers, proceedings, letters, theses, and technical reports, were excluded due to the lack of peer review (n = 37).

Figure 2.
Diagram illustrating the screening process based on PRISMA diagram for systematic review.
This review aims to compare different representations of woody structures in numerical models and their effectiveness in managing flood risk. Thus, the titles and abstracts of the remaining papers were manually checked, and studies that lacked this research focus were considered irrelevant and excluded through this screening step (n = 159). Studies focusing on the modelling of freely transported large wood, including its movement, formation, or effects on sediment transport, were excluded (n = 38). Moreover, studies that focus more on general flood-related issues and do not specifically target woody structures were also excluded (n = 30). Additionally, studies that assessing the effectiveness of leaky barriers using non-hydraulic modelling approaches, such as before-and-after control impact (BACI), were eliminated (n = 45). Studies employing hydraulic models to examine the interaction between woody debris and existing in-channel structures, such as bridges and reservoirs, were also removed (n = 12). Furthermore, studies investigating leaky barriers but not in the context of flood management, such as those that examined their effects on channel morphology, groundwater recharge, and habitat restoration for invertebrates, were excluded (n = 29). Finally, five articles that did not have their full text available were also excluded. After the screening process, 32 papers were retained. These 32 articles underwent a more in-depth analysis to identify the research trend and progress in the past 5 years.
2.4. Terminology and Classification
Across the reviewed literature, a variety of terms were used to describe engineered structures intended to mimic the natural accumulation of large woody debris (Figure 3). The most frequently used terms were “leaky barrier” (28%) and “engineered large wood” (28%). Five studies referred to these structures as “logjam” or “wood jam”, while “leaky dam” appeared in three studies, one of which specifically focused on beaver dams. Although leaky barriers differ from beaver dams due to the absence of ongoing maintenance and the intentional design of permeability, their hydraulic behaviours are notably similar []. Due to their temporary water storage capacity, these structures are also categorised in some studied as Runoff Attenuation Features (RAFs) or temporary storage areas (TSAs). For consistency, the term “leaky barrier” is used throughout this paper to refer to all such structures.

Figure 3.
The name of the structure being referenced in previous studies.
2.5. Field Specifications and Laboratory Setups
Unlike traditional engineered hydraulic structures, leaky barriers exhibit diverse dimensions and compositions, making their hydraulic behaviours more challenging to characterise [,,]. Consequently, both laboratory and field experiments are often combined with numerical modelling to examine flow dynamics and changes in hydraulic characteristics. Among the 32 selected studies, 20 were conducted in real-world catchments, while 12 were carried out under controlled conditions in laboratory flumes (Figure 4a).

Figure 4.
The percentage of studies that (a) are field-based and laboratory-based; (b) with or without the installation of physical structures; and (c) located in small, medium, and large catchments, (d) A geographical distribution of the study sites.
In total, 14 distinct catchment sites were investigated in the reviewed literature. Approximately two-thirds of the field-based studies involved the physical installation of leaky barriers, whereas the remainder employed numerical simulations to explore the effects of hypothetical leaky barrier placements (Figure 4b). Most study sites were located in the United Kingdom (10 out of 14), with the remainder being distributed across Europe and the United States (Figure 4d). Research on leaky barriers in Australia and New Zealand is limited, with most pre-2020 studies focusing on their effects on sediment transport, channel morphology, and aquatic habitats rather than flood mitigation [,].
The size of the catchment in all reviewed studies ranged from 0.33 km2 to 335 km2, covering a wide spectrum from small to large-scale systems. According to the classification scheme proposed by Hill et al. (2023) [], 33% of theses studies were carried out in small catchments (areas < 10 km2), 42% in medium catchments that are sub-catchments of larger rivers (10–100 km2), and 25% in large-scale channel networks (areas > 100 km2) (Figure 4c). The number of structures counted at each site varied from ten to several hundred. The highest density of leaky barriers was observed in Hardcastle Crags, UK [], where more than 600 leaky barriers were constructed within channels and on hillslopes within an area of 0.89 km2.

Figure 5.
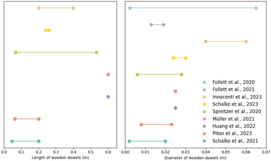
Diameter and length of wooden dowels used in laboratory experiments to represent leaky barriers in reviewed studies. Left: dowel diameter; Right: dowel length [,,,,,,,,].
Laboratory flume studies employed a variety of setups to replicate the hydraulic behaviours of leaky barriers. Flume depths were relatively consistent, ranging from 0.3 m to 0.8 m, whereas flume widths varied significantly, ranging from 0.3 m to 2.4 m. Compared to narrower channels, wider flumes allowed for the investigation of partially spanning leaky barriers and the influence of channel curvature on flow dynamics. Flume lengths ranged from 6 m to 26 m, with slope varying from 0.000625 to 0.06. An adequate channel length was necessary to observe steady-state water levels under varied hydraulic conditions.
Among the 12 flume studies, two principal methods were employed to physically construct leaky barriers: plastic boards or cylindrical wooden dowels. Leakey et al. (2020) [] utilised a solid plastic plate, while Hart et al. (2020) [] employed a perforated board with uniformly spaced holes to assess the influence of porosity. Field inspections show that leaky barriers are commonly composed of stacked and secured large wood, typically defined as logs with diameter ≥ 0.1 m and length ≥ 1.0 m [,,,,,,,]. To replicate the field-like internal structure of leaky barriers, several studies used cylindrical wooden dowels of differing diameters and lengths (Figure 5). In most cases, these dowels were randomly assembled to simulate natural debris accumulation [,,]. In contrast, a few studies neatly arranged the logs in ordered layers with defined gaps to facilitate observations of internal flow patterns [,].
2.6. Review Structure and Focus
The diversity in study site scales, experiment setups, and modelling approaches reflects the comprehensive nature of the current research on leaky barriers. Building on this foundation, the following sections focus on the structural characteristics and distribution of leaky barriers and their influence on flow dynamics. A range of numerical modelling methods is then reviewed, highlighting their respective advantages and limitations. Finally, the review evaluates the existing evidence on the flood mitigation performance of leaky barriers and identifies key research gaps that warrant further investigation. The data-extraction sheet used to record key study variables across all 32 reviewed papers is available as Supplementary Table S1. Papers published prior to 2020 were included only if they were identified via the backward citation-tracing of identified papers and deemed relevant to the numerical modelling scope of this study.
3. Characteristics of Leaky Barriers
Leaky barriers influence river hydraulic primarily by elevating backwater levels during high-flow events. This section reviews the structural characteristics and spatial deployment strategies of leaky barriers, drawing from both field and laboratory studies. It first outlines key design parameters and examines how these features influence hydraulic performance. The section then discusses how site-specific factors such as channel slope, width, and barrier spacing affect the overall effectiveness of leaky barrier networks. Together, these insights provide a basis for optimising leaky barrier design and placement for flood mitigation purposes.
3.1. Structure Dimension
Key geometric parameters used to describe these structures included the gap () between the channel bed and the bottom of the barrier, barrier height (), barrier width (B), and longitudinal length () (Figure 6). Field measurements indicate that the gap beneath barriers varies from 0.1 m to 0.78 m, which permits the base flow to pass the structure without hindrance. Simulations explored gap heights ranging from zero up to 75% of the bank-full height, analysing their hydraulic influence. Barrier heights typically correspond to bank heights, which were reported to be between 0.68 m and 2.5 m in previous studies. Laboratory experiments also investigated the gaps between leaky barriers and flume beds, which ranged from 0.019 m and 0.055 m. In field measurements, leaky barriers frequently captured additional woody debris and organic matters. To mimic these dynamic conditions, barrier lengths in flume experiments have varied from 0.025 m to 0.5 m.

Figure 6.
Geometrical parameters of a leaky barrier, with longitudinal view (left) and horizontal view (right) [].
Guidelines typically recommend designing gaps at the base of the leaky barriers to accommodate base flow while temporarily storing floodwaters [,,]. A smaller gap height under constant discharge results in an increase in backwater rise, extending the upstream backwater length. This enhances the delay in flood peak timing, reduces peak flow magnitude, and increases hydrograph skewness [,,,]. However, excessively small gaps may become saturated prematurely during events, thus limited their effectiveness in further reducing downstream flows [].
Field studies confirm that the velocities under leaky barriers significantly exceed those of unobstructed channel flow, intensifying local scouring and sediment deposition downstream. For example, an average deposition thickness of 0.25 m and a boundary shear stress of 125.3 were observed at Swindon Haugh []. Smaller gap heights correlate with increased flow velocities and sediment transport, a primary contribution to structural failures during high-flow events [,]. Conversely, strategically adjusting gap height can achieve specific objectives, such as enhancing sediment retention or creating scour pools that benefit aquatic habitats during low-flow periods [].
An increase in the longitudinal length () of leaky barriers also amplifies backwater effects for a given discharge, although this influence is typically less pronounced than that of jam compaction [,]. Leaky barriers with lateral gaps between the structure and the bank not only generate fewer backwater effects compared to fully channel-spanning designs, but also increase the risks of bank erosion [].
3.2. Structure Porosity
A crucial geometric property of leaky barriers is their porosity, also termed their permeability or blockage ratio, which governs the flow of water through the structure and associated energy dissipation [,,]. Despite the recognized importance of accurate porosity measurements, reliable assessment methods remain limited []. Currently, four main methods are utilised: visual estimation, direct measurements, Structure-from-Motion (SfM), and the best-fit geometric approach. Visual estimation is straightforward and frequently employed, involving an approximate assessment of void space on-site or via photographs [,]. Although direct measurement is highly accurate, it is labour-intensive and time-consuming []. The SfM approach, which uses digital elevation models from advance remote sensing technologies, is gaining popularity but remains challenging for complex log arrangements [,,,,]. The best-fit geometric approach, also known as the ‘rectangular method’, defines the volume of solid wood as a simplified geometric shape surrounding the logs. The solid volume fraction represents the proportion of solid wood within the total structure, making the porosity equal to .
Figure 7 illustrates the porosity estimates from various methods across field and laboratory studies. Visual estimation shows the broadest porosity range (10% to 90%). The best-fit geometric approach, which is closely aligned with SfM, estimates a range of around 70%. Conversely, direct measurements yield a significantly lower porosity value of approximately 19%.

Figure 7.
Reported porosity of leaky barriers using different estimation methods (SfM, air–wood box, direct measurement, and visual estimate) [,,,,,,,,].
Barrier permeability plays a critical role in balancing storage and drainage. More compact barriers with a higher solid volume fraction () or larger mean log diameter reduce flow capacity, resulting in lower velocities, higher backwater rises, and increased bank inundation [,,]. Higher backwater effects are similarly observed when equivalent porosity is achieved through using smaller logs or by incorporating fine organic materials between logs, producing heterogeneous flow patterns and greater energy dissipation [,]. While increasing barrier blockage can enhance peak flow delay and magnitude reduction, leaky barriers with higher permeability generally demonstrate a reduced risk of structural failure [,]. Neither wood density nor branching significantly influence backwater rise []. These findings emphasise the necessity of careful structural design and ongoing maintenance.
3.3. Leaky Barriers Placement
The effectiveness of multiple leaky barriers depends significantly on channel geometry, barrier spacing, and strategic placement within catchments. The placement of improper leaky barriers can adversely affect both structural stability and bank integrity, potentially increasing flood risks [,].
Channel slope is critical in determining the optimal barrier spacing and the number of leaky barriers deployed within an area. Most guidelines recommend installing leaky barriers on gentle slopes to enhance backwater storage and effectiveness [,]. For example, channels with slopes below 2% are considered ideal for the installation of leaky barriers []. The measured Froude Numbers of such structures are less than 1, indicating subcritical flow conditions [,,,,,]. Conversely, leaky barriers placed on steeper channels encounter increased velocities and drag forces under supercritical flow conditions, elevating structural failure risks from material accumulation [,]. Higher slopes also reduce flood peak delays, but may enhance relative peak reduction []. However, other studies suggest that steeper channels can achieve greater sediment deposition and backwater rise due to the reduced friction velocity []. These conflicting findings highlight the importance of a flexible design, such as having smaller gaps beneath the barrier on steeper slopes, to ensure optimal barrier effectiveness and avoid underutilization.
Channel width is another key consideration, with guidelines typically recommending leaky barriers for streams narrower than 5 m [,]. Although some guidelines advise placing leaky barriers at wider sections of the channels [], field evidence indicates that narrower channels with steep banks offer superior flow attenuation during storm events [].
Multiple leaky barriers are generally necessary to significantly mitigate peak discharge, with an increased number of structures correlating with greater storage and enhanced flood reduction capabilities [,,,]. The spacing of leaky barriers is crucial, balancing the individual structure storage volumes and the overall number of leaky barriers. Natural large woody debris formations typically occur at intervals around ten times the channel width, as exemplified at Whinlatter Forest [,]. Guidelines often recommend minimum spacing based on barrier height and channel slope to maximize the number of leaky barriers [,]. Spacing barriers close to the maximum expected backwater length offers optimal flood mitigation []. Although leaky barriers on steep channels provide limited individual storage, their closer spacing can cumulatively achieve substantial peak delays and magnitude reduction. The cumulative effect of numerous smaller structures typically surpasses that of fewer larger barriers [,,]. Therefore, effective leaky barrier network optimisation requires the simultaneous consideration of channel slope, number of structures, and spacing. A summary of key structural and site parameters influencing leaky barrier performance is provided in Table 2 to support design decision-making.

Table 2.
Impact of structural and site parameters on leaky barrier performance.
Nevertheless, simulation studies indicate that a channel’s geomorphic characteristics minimally influence flood dynamics compared to barrier positioning along the reach (R2 < 0.03) []. Although some studies suggest that downstream leaky barriers yield greater flood mitigation [], others advocate for upstream placements on tributaries to minimize failure risk []. Upstream installations intercept and reduce peak flows early but can release unbuffered surges if they fail, whereas downstream barriers on gentler, wider channels accommodate larger volumes but may propagate rapid increases in water depth and discharge further downstream. Placement decisions should therefore account for channel slope, width, and barrier spacing, and the potential for cascade failures. Leaky barrier locations, if intended for groundwater recharge, must consider local soil permeability, as freely draining soils generally improve leaky barriers’ performance [,].
Additional considerations include avoiding pinch points near bridges or culverts [] and infrastructure zones []. Observations reveal that the Reynolds Numbers around leaky barriers range between to [,,,], indicating turbulent flow conditions. Despite their importance, there are no universal applicable rules for the optimal placement of leaky barriers [,,], underscoring the need for holistic network optimisation strategies that balance flood reduction and cost efficiency.
4. Representation of Leaky Barriers in Numerical Models
Leaky barriers have been represented in hydraulic and hydrological models using various numerical methods in the reviewed literature, which can be broadly classified into five main groups (Figure 8). Among the 32 included studies, one fifth involve adjusting the surface roughness value, which is advantageous to simulate the cumulative effects of numerous structures without significant computational resources [,,]. Other approaches developed custom rating curves to describe the temporary storage characteristics of leaky barriers, facilitating their implementation within hydrology models [,]. While these hydrological modelling methods were often utilised to study the impacts of leaky barriers at catchment scale, hydraulic modelling approaches were also applied to model flow dynamic around the structures. Modification of the channel cross-section and topography have also been employed to represent installed leaky barriers [,]. However, these geometry modification methods have primarily been applied in field-based case studies, without laboratory validation. The most common method to represent flow through leaky barriers is adopting existing hydraulic structures with adjusted coefficients, such as a sluice gate, weir, or dam. The permeability of leaky barriers in these models is often modelled by adjusting the structural coefficients, which are calibrated through field measurements and laboratory experiments [,,,]. Lastly, theoretical models have been developed to introduce new conceptual parameters to better represent the structures and calculate drag force to investigate energy loss through leaky barriers [,]. This section compares and discusses the advantages and limitations of these representation methods.

Figure 8.
Different methods used to represent leaky barriers in numerical models.
4.1. Changing Channel Roughness
A common numerical approach for representing the hydraulic resistance created by leaky barriers involves increasing bed friction coefficients, such as Manning’s n or the Strickler coefficient. Table 3 listed the Manning’s n values employed in previous studies to represent leaky barriers.
In unobstructed channels, typical Manning’s n values range between 0.024 and 0.05, whereas a higher value of 0.2 is applied for hillslope conditions. For channels with installed leaky barriers, Manning’s n values have a significantly higher range, from 0.04 up to 1.02, reflecting increased resistance due to anchored logs or organic matter accumulation []. Gregory, Gurnell, and Hill (1985) [] noted that the calibrated Manning’s n values for woody debris decreases as discharge increases. Similarly, floodplain leaky barriers are represented with an increased Manning’s n value, typically from 0.2 to 0.5, to account for flow attenuation effects. In contrast, the Strickler coefficient, a reciprocal of the Manning n, decreases from typical values of 20–30 to 1–2 to represent the increase in hydraulic resistance [].
Model outcomes indicate that increasing channel roughness effectively delays the passage of flood hydrographs by reducing mean velocities []. However, this approach inherently assumes full impermeability (100%) and provides no additional storage within channels []. Although the method is straightforward to implement and computationally efficient, it fails to accurately represent the complex and stage-dependent hydraulic characteristics of leaky barriers. Additionally, the roughness values calibrated for specific sites may not be transferable to other channels with different characteristics []. The effectiveness of this method also diminishes significantly in steep-sloped channels []. Furthermore, translating roughness adjustments into precise design specifications or optimising the distribution of leaky barriers to achieve the desired flood reduction outcomes remains challenging [].

Table 3.
The Manning’s n value used to represent leaky barriers in previous studies.
Table 3.
The Manning’s n value used to represent leaky barriers in previous studies.
Literature | Without Structure | With Structure | Calibration | Validation |
---|---|---|---|---|
[] | 0.024 | 0.1 | No | No |
[] | 0.032 | 0.1 | Yes | No |
[] | 0.034 | 0.06 | Yes | Yes |
[] | 0.035 | 0.15 | No | No |
[] | 0.048 | 0.2 | Yes | Yes |
[] | 0.05–0.2 | 0.04–0.15 | Yes | Yes |
[] | - | 0.1 | Yes | Yes |
[] | - | 0.31–1.02 | Yes | Yes |
[] * | 0.2 | 0.5 | No | No |
Note: * Leaky barriers were installed on a hillslope instead of within the channel.
4.2. Developing Rating Curve
The flood-excess volume method, which substrates the temporary storage volume provided by leaky barriers from the flood hydrograph, is frequently used to quantify the effectiveness of leaky barrier networks []. The storage capacities of leaky barriers are calculated based on field-measured barrier dimensions and geometries [,,,].
A critical aspect of this method is the establishment of a storage–discharge relationship, particularly for large catchments where computational efficiency is crucial []. Custom rating curves have been employed for individual channel-spanning barriers without lower gaps [], while direct linear discharge–depth relationships have been developed for leaky barrier with known porosity []. Compared to increasing the roughness values, rating curves better represent the stage–discharge relationships and structural geometry of individual leaky barriers.
However, this method typically relies on simplifying assumptions []. Firstly, it assumes uniform barrier performance throughout the network and ignores potential interactions between closely spaced structures []. Secondly, it presumes leaky barriers are empty at the start of flood events, reaching full storage capacity during each event. Research indicates leaky barriers often do not completely drain between multiple-peak events []. For example, Metcalfe et al. (2017) [] observed that leaky barriers utilised only 27.4% of their maximum storage during events, increasing to 87% post-optimisation. Consequently, despite its ease of implementation and lower computational demands, this method can significantly overestimate the collective effectiveness of leaky barrier networks.
4.3. Modifying Local Geometry
Recent studies have represented leaky barriers by alternating local channel geometry. Unlike approaches that increase channel roughness to reduce velocities, modifying the cross-sectional geometry reduces the channel area, resulting in increased local velocities []. Geometry modifications typically involve creating impermeable blocks within the channel, effectively forming storage areas without explicit leakiness [].
Valverde (2013) [] demonstrated that geometric alternations can substantially improve model accuracy compared to roughness adjustment alone. However, 3D modelling studies suggest that geometric modifications yield lower accuracy compared to detailed full-resolution models or representations employing porous structures [].
In 1D numerical models, leaky barriers have been simulated by increasing channel bed elevations or narrowing cross-sections [,]. For 2D models, runoff attenuation features have been represented by elevating grid cells at barriers footprint []. While this method adequately captures structural geometry, it exhibits considerable limitations, notably failing to accurately simulate energy losses across leaky barriers or properly model the subsequent drainage stored water during flow simulations [].
4.4. Generating Theoretical Models
Fundamental hydraulic principles and equations describing water movement through open channel flow include Bernoulli’s Principle, the Momentum Principle, and the continuity equation. Under free-flow conditions, Bernoulli’s Principle states that the sum of kinetic, potential, and internal energy remains constant, which is essential for determining downstream flow depths, particularly under supercritical flow conditions downstream of leaky barriers. Energy loss associated with hydraulic jump is represented by . While a regression model based on 52 free-flow experiments has been developed to predict energy loss as a function of gap height () and upstream water depth (), this model did not incorporate structural porosity and consequently demonstrated limited predictive power () [].
The Momentum Principle indicates that the total external force acting on a system results in momentum changes within that system. This principle has been applied to model flow variations resulting from changes in channel morphology. For instance, upstream water depth () can be calculated from predicted discharges through logjams using a momentum balance specifically developed for channel-spanning leaky barriers []. Furthermore, the integration of momentum and continuity equations yielded a relationship between upstream and downstream water depths, Froude Number, and structural properties []. This relationship is expressed as follows:
where and are upstream and downstream water depth (m), respectively. Fr is upstream Froude number, is solid wood volume fraction, is longitudinal barrier length (m), is drag coefficient, and a is the channel’s cross-sectional area (m2).
Across various flow conditions and leaky barrier configurations, downstream water depths consistently remain lower than upstream levels, indicating energy dissipation through the structure []. To better understand this flow resistance, studies have examined drag forces, which are critical for both hydrodynamic behaviour and structural stability [,]. The drag coefficient (), which is essential for calculating drag force (), can be determined either through direct measurement or by calculation using the one-dimensional momentum equation [,]. Figure 9 shows that the drag coefficient of leaky barriers ranges from 0.4 to 9, which is influenced by the composition of leaky barriers, structural porosity, and orientation relative to the flow. Leaky barriers with lower porosity generally demonstrate higher resistance, resulting in larger drag forces. While a drag coefficient of 1.0 is commonly applied, higher coefficients have been employed to represent completely impermeable structures [,].

Figure 9.
Range of drag coefficients () reported in previous studies for leaky barriers [,,,,,,,,].
Moreover, the drag coefficient has been found to increase linearly with the longitudinal length of leaky barriers, leading to elevated turbulent kinetic energy directly downstream [,]. While higher drag forces correlate with increased upstream water depth [], variations in water depth have a minimal influence on the drag coefficient []. Douglas et al. (2004) [] further emphasised that buoyancy forces during high-flow conditions might exceed fluid drag forces, potentially affecting the stability of woody debris structures, particularly in sand-bed channels.
4.5. Integrating Hydraulic Structures
In various studies, leaky barriers have been represented using pre-existing hydraulic structures to simulate upstream backwater accumulation, potential hydraulic jumps, and subcritical flow [].
It is widely acknowledged that overflow in leaky barriers closely resembles flow over weirs [,,,], whereas flow passing beneath leaky barriers can be effectively represented using sluice gate equations [,,]. Although weir equations offer a straightforward method to simulate backwater effects and estimate storage volumes, their coefficients require careful calibration. For instance, calibrated weir coefficients were reported in the literature range from 0.45 to 0.7 [,]. Similarly, previous studies calibrated gate contraction coefficients at approximately 0.7 [].
A common approach to modelling the permeability of leaky barriers is the application of a constant permeability factor, assuming proportionality between flow through the barrier and upstream water depth due to hydrostatic pressure [,]. Permeability factors have been empirically assessed, yielding an average permeability of 40 ± 15% []. Furthermore, calibrated orifice units demonstrated effectiveness in simulating barrier blockage and flow dynamics [,].
Similarly, a jam accumulation factor () has also been introduced to quantify the drag forces generated by leaky barriers [,,], described as follows:
where is the jam accumulation factor and is the gap height between the barrier and channel bed (m).
A series of experiments have been performed to derive equations predicting upstream backwater rise and flow distribution. By simplifying the conservation of momentum to a balance between hydrostatic pressure and drag forces, the flow though the structure can be represented as follows:
where Q is discharge through the leaky barrier (m3/s), B is channel width (m), and g is gravitational acceleration (9.81 m/s2).
Additionally, the potential to estimate backwater rise and discharge through partially spanning leaky barriers based on channel-spanning barrier equations has been illustrated []. Studies examining the accumulation of fine organic material within logjams derived equations that accurately predict the relative backwater rise, particularly for Froude Numbers ranging from 0.2 and 1.4 [].
While this representation method thoroughly captures the geometric characteristics of leaky barriers and is well-supported by validated studies, previous research indicates that comparable results can be achieved through simpler approaches, such as increasing roughness values or applying blockage ratios []. Moreover, modelling leaky barriers as integrated hydraulic structure is constrained by existing theoretical and empirical equations, and typically requires greater computational effort for setup and execution compared to alternative approaches [,]. Given these limitations and the current scarcity of transferable empirical data, rigorous calibration is strongly advised to effectively model leaky barriers’ performance.
4.6. Comparative Assessment of Modelling Approaches
Table 4 summarises the relative strengths and limitations of the modelling approaches presented in this section. Except for roughness-based methods, all other approaches can present individual leaky barriers. However, some approaches lack the capacity to incorporate key hydraulic processes. For instance, geometry modification techniques often fail to reflect the influence of porosity and stage-dependent flow behaviours. Both the rating curve and geometry modification methods typically neglect internal energy losses, and rating curves further assume that barrier performance is unaffected by the presence or behaviour of adjacent structures.

Table 4.
Comparison of leaky barrier modelling approaches.
The transferability of model results across catchments is another important consideration. Approaches based on roughness adjustment or empirical rating curves are highly site-specific, as they depend heavily on local channel characteristics and soil properties. Consequently, their results are often difficult to generalise. Although these simplified methods are computationally efficient and well-suited for preliminary assessments within existing models, they offer limited utility in translating outputs into detailed, site-specific design guidance for leaky barrier installations.
In contrast, theoretical models and approaches that treat leaky barriers as hydraulic structures provide a more robust representation of complex hydrodynamic interactions, including flow resistance, energy loss, and flow redistribution. These methods, however, involve increased computational demands and longer model setup times, which can constrain their scalability for large catchments or scenarios involving numerous barriers. This trade-off between model fidelity and computational practicality should be carefully evaluated when selecting a modelling approach for large-scale applications.
5. Evidence of Leaky Barriers’ Performance
The effectiveness of leaky barriers in managing flood risk has been widely documented in the literature, highlighting benefits such as increased storage capacity, flood peak reduction, delayed peak timing, and reduced annual flood probabilities (Table 5) []. The storage volume provided by individual leaky barriers varies significantly, ranging from 30 to 1000 , underlining the critical role of channel geometry and structural design in barrier performance [,,,,]. Typical flood peak reductions reported in the literature range between 20% and 30%, regardless of event magnitude, although reductions exceeding 50% can be achieved through strategic leaky barrier placement [,]. Additionally, peak flow delays range from several minutes to multiple hours [,]. Leaky barrier installations also significantly enhance hydrological connectivity, promoting increased interactions between baseflow and groundwater recharge [,,,].
The structural stability of leaky barriers following storm events has drawn increasing attention, yet few studies have systematically assessed this aspect. One study reported that 4 out of 27 leaky barriers failed in a cascading manner, with 2 of them located downstream of tributary confluences. These failures occurred after two consecutive days of rainfall and resulted in unusually high downstream water depths []. Another study found that 3 out of 33 structures placed along a gravel-bed river were damaged due to scour, which exposed pile anchors and caused timbers to be displaced downstream. However, due to low blockage ratios and porous designs, these structures generally caused limited sediment deposition, falling short of sediment storage expectations []. To better understand failure mechanisms and their hydrological consequences, ensemble simulations of flood events were conducted with assigned failure thresholds for each barrier. Leaky barrier failures occurring at downstream locations are associated with greater peak discharges, as the water released from upstream breaches may be mitigated by intact downstream structures, unless cascading failures occur []. Leaky barriers located downstream of tributary confluences face greater structural stress due to high flow volumes and have a higher risk of triggering sequential failures. To enhance structural resilience, it is recommended to adopt designs with larger openings, stronger anchoring systems, fewer but larger timber elements, and higher porosity. Installing barriers within tributaries rather than in main channels may further reduce failure risk.
Evidence concerning leaky barrier performance during large flood events remains equivocal. Many studies indicate that the capacities of leaky barriers are likely exceeded during significant flood events, potentially limiting flood risk reduction and increasing risks of unintended economic loss and environmental damage [,,,,]. Conversely, other research suggests that well-designed leaky barriers can maintain effective during extreme events, potentially even improving performance through expanded floodplain storage [,]. However, inconsistencies in defining what constitutes a “large event” complicate comparisons across studies. Additionally, field observations reveal reduced effectiveness of leaky barriers during closely spaced, consecutive storm events, primarily attributed to soil saturation or retained water from previous storms [,,]. Thus, long-term monitoring is essential for better understanding the behaviours of leaky barriers during large events, and contingency planning is recommended to minimise impacts from extreme events when leaky barriers become overwhelmed.
The effectiveness of leaky barriers in large catchments remains an area requiring further research due to the limited empirical evidence [,,]. Although the impacts of leaky barriers in catchments larger than 100 have been explored theoretically, a major concern is that leaky barriers may inadvertently slow tributaries’ flows, causing synchronized peak flows and increased downstream flood risks [,]. Reviews of NFM studies further indicated that the complexity of large catchments can dilute the effectiveness of NFM measures, limiting their downstream flood risk reduction potential due to the varied dominant hydrological processes across catchment scales [,,]. Furthermore, the efficacy of leaky barriers diminishes at large scales due to hydrological dilution effects, further complicating their performance assessment in extensive catchment systems [,,,]. Advances in high-resolution modelling offer promising opportunities for effectively scaling the impacts of small-scale interventions to larger catchments. Combined with empirical validation and field data, these tools enable more precise predictions of leaky barriers performance at large catchment scales [,].

Table 5.
The method used to model leaky barriers and their effectiveness (ranked by catchment area).
Table 5.
The method used to model leaky barriers and their effectiveness (ranked by catchment area).
Location | Catchment Size km2 | Number of Structures | Quantifying Method | Effectiveness | Literature |
---|---|---|---|---|---|
Irthing catchment, UK | 334.6 | N/A | 1D HEC-RAS | A reduction in peak discharge of 38.8% for the mean of the 20 events and 51.9% for the largest event | [] |
Dyje River, Czechia | 252.2 | N/A | 2D HEC-RAS | A significant portion of structures become mobile during a large event (i.e. 1 in 100 year) | [] |
Shipston-on-Stour, UK | 187 | N/A | Coupled Flood Modeller Pro and XPSWMM | For small flood events, peak flow was reduced by up to 1.8 m3/s ± 1.4 m3/s. For a 1 in 100 yr flood (a significant event), only minor reductions in peak flow were observed. | [] |
River Asker, UK | 48 | N/A | Coupled dynamic TOPMODEL, HEC-RAS and Infoworks ICM | Peak reduction ranges from 19% to 28% if leaky barriers were installed within all sub-catchments. Reduce inundation of the Bridport outfall by up to 1 in 20 yr storm | [] |
Calder River, UK | 18 | N/A | Coupled dynamic TOPMODEL and 1D HEC-RAS | Reducing flood volumes by approximately 24 m3 during a 1 in 50 yr event. | [] |
Swindale, UK | 15 | N/A | Coupled dynamic TOPMODEL and JFlow or 2D HEC-RAS | Reduction in the peak flow is not pronounced | [] |
Scotland, UK | 11.4 | 273 | Field observation and calculated travel time | Time delayed with dam under different discharge:
| [] |
Leicestershire, UK | 11 | 27 | Hydrological model (SWAT) | 17,700 m3 of water storage across all leaky barriers. Reduced peak flows at the catchment outlet by 22 ± 6% delayed the peak in flow by up to 5 h | [] |
Yorkshire, UK | 11 | 8 | Transfer function noise modelling approach | For less than annual storm event: Reduce flood peak magnitude by 10% | [] |
Biscuit Brook, New York, USA | 10.7 | N/A | Field measurement and 1D HEC-RAS | Reduction in velocity was not significant for annual peak flow or 5-year flow, but become more pronounced during higher-discharge events. | [] |
Great Triley Wood, Wales, UK | 9.2 | 5 | Field measurement and 1D Infoworks ICM | For 1 in 100 yr event:
Little effect on the height of flood peak | [] |
Wilde Brook, UK | 5.3 | 105 | Field measurement | For a 1 in 4 yr storm event: total net volume increase of 10,700 m3 for the full reach | [] |
Belford, UK | 5 | 35 | Field measurement data and 1D ‘Pond’ Model | Peak reduction of 30% for an observed storm of 1 in 100 yr return period | [] |
Blacksburg, Virginia, US | 1 | 3 | 2D HEC-RAS | Increased maximum floodplain inundation extent and depth by 34% and 33%, respectively; decreased maximum thalweg velocity by 10%. | [] |
Hardcastle Crags, UK | 0.89 | >600 | 2D HEC-RAS | The total event volume stored by leaky barriers ranges from 98 m3 to 148 m3, which is equate to 14.3%–21.7% of the calibrated max storage | [] |
Blairfindy catchment, UK | 0.9 | 200 | Coupled MIKE-SHE - MIKE 11 | Volume stored at each structure varies from 80 m3 to 300 m3, depends on the size of the structure and their location.
| [,,] |
Dean Brook, UK | 0.72 | 5 | Field measurement | Total attenuation capacity of 3000 m3 Average peak discharge reduction of 27.3% Elevated baseflow during dry periods by 27.1% | [] |
Penny Gill, UK | <0.5 | 8 | Risk-based network modelling | Maximum storage volumes up to 457 m3 | [] |
6. Future Work
While significant progress has been made in understanding and modelling the hydraulic behaviour of leaky barriers, several gaps remain that warrant further investigation.
A key challenge in leaky barrier research is the lack of consistency in how barrier characteristics are defined and reported. Structural variability, which ranges from natural woody debris to lab-simplified geometries, has led to widely differing values for critical parameters such as porosity, gap height, and longitudinal extent [,,]. The geographic concentration of reported values may bias model outcomes and understate uncertainty elsewhere. To address this, future studies should begin by adopting a clear classification scheme for leaky barriers, distinguishing between barrier types based on geometry, material composition, and installation context. Additionally, it is recommended that standardised documentation of key structural attributes, including barrier height, width, gap size, porosity, and longitudinal length, especially for field studies. These records will facilitate reproducibility, improve comparisons between modelling and monitoring efforts, and enable tracking of barrier performance over time. Regular documentation can also support the assessment of long-term durability and structural stability under varying hydrological conditions, informing future inspection and maintenance protocols.
Although various numerical models have successfully simulated the hydraulic behaviours of leaky barriers after being calibrated, no universally accepted modelling approach currently exists. Many existing formulae are based on simplified flume studies, and rely on assumptions that may oversimplify channel variability. While modelling leaky barriers as hydraulic structures offers detailed flow characterisation, it demands substantial computational recourse, limiting its application in uncertainty analyses and large-scale catchments [,,]. To address this, future studies could explore using simplified methods, such as adjusting roughness or rating curves, as preliminary screening tools to assess feasibility and relative performance under different scenarios. Promising configurations could then be refined using more detailed hydraulic structures or more dimensional modelling frameworks to support final design decisions and barrier placement. This tiered approach would strike a balance between efficiency and accuracy, allowing models to inform both early-stage planing and detailed engineering. Additionally, incorporating Monte Carlo or Generalized Likelihood Uncertainty Estimation (GLUE) frameworks is recommended to systematically quantify parameter uncertainty, and model-structure uncertainty, and the variability arising from extreme-event scenarios throughout the modelling process. Furthermore, to ensure effective and sustainable implementation, risk assessments should be integrated into barrier planning to balance flood mitigation performance with the probability of structural failure.
A key limitation lies in the limited transferability of modelling outcomes across catchments. Many studies are calibrated to site-specific conditions, making it difficult to generalize the findings or apply the design lessons to new locations [,,]. Future research should undertake multi-site calibration campaigns and report standardized parameter ranges across diverse catchment types to build a more transferable foundation for leaky-barrier modelling. Another challenge arises from the frequent combined deployment of leaky barriers with other NFM measures, which makes it difficult to isolate their individual hydraulic performance []. This underscores the need to develop a standardized modelling protocol specifically for leaky barriers, including consistent evaluation criteria and performance metrics. Although a formal random-effects meta-analysis of peak-flow reduction against catchment area could offer quantitative insights, the current literature exhibits inconsistent storm definitions and reporting practices, and many studies omit event-size data. We recommend that future research adopt standardized event-characterization protocols to improve comparability and enable robust meta-analytical approaches.
Furthermore, most existing flood-risk frameworks are tailored to extreme events and do not align well with the typical application of leaky barriers, which are primarily intended for managing small- to medium-scale floods [,]. To bridge this gap, the development of a dedicated framework is proposed for leaky barrier assessment and implementation. Such a framework should include standardised modelling protocols, field monitoring guidelines, performance benchmarks, evaluation under climate-adjusted scenarios, and the integration of economic assessments to quantify cost–benefit outcomes. We also emphasise that ecological impacts, such as fish-passage obstruction, habitat fragmentation, and altered sediment dynamics, are key environmental concerns in leaky barrier implementation and warrant a dedicated assessment alongside hydraulic and hydrological performance evaluations. A central component of this framework should be the creation of an open-access repository containing standardised datasets on barrier geometry, hydrological impacts, and failure records. This resource would support robust model calibration, facilitate cross-study comparisons, and improve both empirical and numerical understanding of barrier performance across diverse settings. By addressing these foundational data and methodological gaps, future research and practice can move towards more consistent, transferable, and evidence-based leaky barrier deployment.
7. Conclusions
This paper systematically reviewed the recent research on leaky barriers, discussed their hydraulic characteristics, compared various numerical modelling approaches, and presented evidence to demonstrate their effectiveness. While laboratory studies typically focus on assessing the hydraulic impacts of individual leaky barriers with varying dimensions and material compositions, field investigations often evaluate the collective effects of multiple leaky barriers at the catchment scale. The considerable variability in leaky barrier parameters across studies reflects their structural diversity and methodological inconsistencies. This review highlights the importance of standardizing key metrics and encourages further research to refine parameter estimation and improve model comparability.
Numerical modelling approaches for representing leaky barriers were classified and compared to highlight their strengths, limitations, and practical applicability. Simplified modelling methods, such as adjusting roughness values and developing rating curves for leaky barrier networks, are more commonly used in hydrological models because they are relatively easy to implement, but they may present difficulties when translating the results into an effective design to achieve expected flood reduction. Conversely, detailed modelling techniques, including local geometry modifications, theoretical model development, or integration with existing hydraulic structures, offer enhanced accuracy but require significant computational resources and the extensive calibration of structural coefficients. Variations in modelling assumptions complicate the selection and comparison of modelling approaches. These insights emphasise the importance of striking a balance between model complexity and practical applicability, especially for informing and guiding real-world implementations.
Moreover, this review underscores the significant potential of leaky barriers as effective NFM measures capable of mitigating flood risks and enhancing water retention within catchments. Documented benefits include reduced flood peaks and flow velocities, delayed peak timings, and increased storage capacity. However, their effectiveness is highly context-dependent, and significantly influenced by factors like channel slope, geometry, barrier spacing, and strategic placement. Variations in performance across diverse catchments and flow conditions suggest the need for adaptive, site-specific designs rather than uniform, standardized approaches.
Despite the proven potential of leaky barriers, notable knowledge gaps remain. Current modelling methods frequently rely on simplifying assumptions, failing to fully capture the complexities inherent in natural stream systems, and the empirical evidence supporting large-scale applications remains limited. Challenges such as the computational intensity of advanced modelling approaches further complicate the reliable evaluation and optimisation of leaky barrier networks. Consequently, there is an urgent need for long-term, intensive hydrological monitoring and experimental research to provide empirical validation and improve model accuracy.
To optimise leaky barrier efficacy, future research should prioritise the integration of advanced high-resolution modelling techniques with empirical field data, exploring the influence of various barrier configurations at larger scales, and developing flexible deployment strategies that mimic natural woody debris accumulation processes. A coordinated research strategy combining detailed localised studies with comprehensive, catchment-scale assessments is essential to deepen understanding, optimise barrier designs, and support the sustainable integration of leaky barriers as reliable and effective NFM interventions.
Supplementary Materials
The following supporting information can be downloaded at: https://www.mdpi.com/article/10.3390/w17132023/s1, Table S1: Data-extraction sheet of reviewed papers.
Author Contributions
Writing—original draft preparation, W.Z.; writing—review and editing, J.M., R.M. and J.C. All authors have read and agreed to the published version of the manuscript.
Funding
This research was funded by the EPSRC Centre for Doctoral Training in Future Infrastructure and Built Environment: Resilience in a Changing World (FIBE2) (Grant number EP/S02302X/1), National Highways.
Data Availability Statement
No new data were created or analysed in this study.
Acknowledgments
We are grateful to Dongfang Liang and Yuxuan Gao, whose comments helped to considerably improve the manuscript. We would like to express our sincere appreciation to the anonymous reviewers for their thorough reviews and thoughtful feedback, which significantly enhanced the manuscript.
Conflicts of Interest
Author Jack Chen was employed by CamDragon Co., Ltd. The remaining authors declare that the research was conducted in the absence of any commercial or financial relationships that could be construed as a potential conflict of interest.
Abbreviations
The following abbreviations are used in this manuscript:
ELJ | Engineered Logjams |
HEC-RAS | Hydrologic Engineering Center’s River Analysis System |
LWD | Large woody debris |
NbS | Nature-based Solutions |
NFM | Natural flood management |
PRISMA | Preferred Reporting Items for Systematic Reviews and Meta-Analyses |
RAFs | Runoff Attenuation Features |
SfM | Structure-from-motion |
TSAs | Temporary storage areas |
References
- Aon. Weather, Climate & Catastrophe Insight: 2020 Annual Report. 2021. Available online: https://www.aon.com/getmedia/53674ecf-5d58-46d4-9e0c-5aa8e0d6f9cf/20210125-if-annual-cat-report.pdf (accessed on 14 June 2025).
- Ellis, N.; Anderson, K.; Brazier, R. Mainstreaming natural flood management: A proposed research framework derived from a critical evaluation of current knowledge. Prog. Phys. Geogr. 2021, 45, 819–841. [Google Scholar] [CrossRef]
- Lockwood, T.; Freer, J.; Michaelides, K.; Brazier, R.E.; Coxon, G. Assessing the efficacy of offline water storage ponds for natural flood management. Hydrol. Process. 2022, 36, e14618. [Google Scholar] [CrossRef]
- Hankin, B.; Metcalfe, P.; Johnson, D.; Chappell, N.A.; Page, T.; Craigen, I.; Lamb, R.; Beven, K. Strategies for Testing the Impact of Natural Flood Risk Management Measures; InTechOpen: London, UK, 2017. [Google Scholar] [CrossRef]
- Wilkinson, M.E.; Addy, S.; Quinn, P.F.; Stutter, M. Natural flood management: Small-scale progress and larger-scale challenges. Scott. Geogr. J. 2019, 135, 23–32. [Google Scholar] [CrossRef]
- Wingfield, T.; Macdonald, N.; Peters, K.; Spees, J.; Potter, K. Natural Flood Management: Beyond the evidence debate. Area 2019, 51, 743–751. [Google Scholar] [CrossRef]
- Dadson, S.J.; Hall, J.W.; Murgatroyd, A.; Acreman, M.; Bates, P.; Beven, K.; Heathwaite, L.; Holden, J.; Holman, I.P.; Lane, S.N.; et al. A restatement of the natural science evidence concerning catchment-based ’natural’ flood management in the UK. Proc. R. Soc. A Math. Phys. Eng. Sci. 2017, 473, 20160706. [Google Scholar] [CrossRef] [PubMed]
- Samuels, P. The rise of natural flood management. J. Flood Risk Manag. 2022, 15, e12837. [Google Scholar] [CrossRef]
- Hankin, B.; Chappell, N.; Page, T.; Kipling, K.; Whitling, M.; Burgess-Gamble, L. Mapping the Potential for Working with Natural Processes-Technical Report. 2018. Available online: https://assets.publishing.service.gov.uk/media/60b0cfe78fa8f5488a8e624e/SC150005_Mapping_User_Guide_updated_July_2020.pdf (accessed on 9 August 2024).
- Barnes, M.S.; Bathurst, J.C.; Lewis, E.; Quinn, P.F. Leaky dams augment afforestation to mitigate catchment scale flooding. Hydrol. Process. 2023, 37, e14920. [Google Scholar] [CrossRef]
- Fennell, J.; Soulsby, C.; Wilkinson, M.E.; Daalmans, R.; Geris, J. Assessing the role of location and scale of Nature Based Solutions for the enhancement of low flows. Int. J. River Basin Manag. 2023, 21, 743–758. [Google Scholar] [CrossRef]
- Roberts, M.T.; Geris, J.; Hallett, P.D.; Wilkinson, M.E. Mitigating floods and attenuating surface runoff with temporary storage areas in headwaters. Wiley Interdiscip. Rev. Water 2023, 10, e1634. [Google Scholar] [CrossRef]
- Hansamali, U.; Makumbura, R.K.; Rathnayake, U.; Azamathulla, H.M.; Muttil, N. Leaky Dams as Nature-Based Solutions in Flood Management Part I: Introduction and Comparative Efficacy with Conventional Flood Control Infrastructure. Hydrology 2025, 12, 95. [Google Scholar] [CrossRef]
- Hinshaw, S.; Wohl, E.; Davis, D. The effects of longitudinal variations in valley geometry and wood load on flood response. Earth Surf. Process. Landf. 2020, 45, 2927–2939. [Google Scholar] [CrossRef]
- Keys, T.A.; Govenor, H.; Jones, C.N.; Hession, W.C.; Hester, E.T.; Scott, D.T. Effects of large wood on floodplain connectivity in a headwater Mid-Atlantic stream. Ecol. Eng. 2018, 118, 134–142. [Google Scholar] [CrossRef]
- Muhawenimana, V.; Follett, E.; Maddock, I.; Wilson, C.A. Field-based monitoring of instream leaky barrier backwater and storage during storm events. J. Hydrol. 2023, 622, 129744. [Google Scholar] [CrossRef]
- Norbury, M.; Phillips, H.; Macdonald, N.; Brown, D.; Boothroyd, R.; Wilson, C.; Quinn, P.; Shaw, D. Quantifying the hydrological implications of pre- and post-installation willowed engineered log jams in the Pennine Uplands, NW England. J. Hydrol. 2021, 603, 126855. [Google Scholar] [CrossRef]
- Addy, S.; Wilkinson, M. An assessment of engineered log jam structures in response to a flood event in an upland gravel-bed river. Earth Surf. Process. Landf. 2016, 41, 1658–1670. [Google Scholar] [CrossRef]
- Addy, S.; Wilkinson, M.E. Representing natural and artificial in-channel large wood in numerical hydraulic and hydrological models. Wiley Interdiscip. Rev. Water 2019, 6, e1389. [Google Scholar] [CrossRef]
- Follett, E.; Hankin, B. Investigation of effect of logjam series for varying channel and barrier physical properties using a sparse input data 1D network model. Environ. Model. Softw. 2022, 158, 105543. [Google Scholar] [CrossRef]
- Lo, H.W.; Smith, M.; Klaar, M.; Woulds, C. Potential secondary effects of in-stream wood structures installed for natural flood management: A conceptual model. Wiley Interdiscip. Rev. Water 2021, 8, e1546. [Google Scholar] [CrossRef]
- Quinn, P.F.; Hewett, C.J.; Wilkinson, M.E.; Adams, R. The Role of Runoff Attenuation Features (RAFs) in Natural Flood Management. Water 2022, 14, 3807. [Google Scholar] [CrossRef]
- Senior, J.G.; Trigg, M.A.; Willis, T. Physical representation of hillslope leaky barriers in 2D hydraulic models: A case study from the Calder Valley. J. Flood Risk Manag. 2022, 15, e12821. [Google Scholar] [CrossRef]
- Muhawenimana, V.; Wilson, C.A.; Nefjodova, J.; Cable, J. Flood attenuation hydraulics of channel-spanning leaky barriers. J. Hydrol. 2021, 596, 125731. [Google Scholar] [CrossRef]
- Dixon, S.J.; Sear, D.A.; Odoni, N.A.; Sykes, T.; Lane, S.N. The effects of river restoration on catchment scale flood risk and flood hydrology. Earth Surf. Process. Landf. 2016, 41, 997–1008. [Google Scholar] [CrossRef]
- Pinto, C.; Ing, R.; Browning, B.; Delboni, V.; Wilson, H.; Martyn, D.; Harvey, G.L. Hydromorphological, hydraulic and ecological effects of restored wood: Findings and reflections from an academic partnership approach. Water Environ. J. 2019, 33, 353–365. [Google Scholar] [CrossRef]
- Black, A.; Peskett, L.; MacDonald, A.; Young, A.; Spray, C.; Ball, T.; Thomas, H.; Werritty, A. Natural flood management, lag time and catchment scale: Results from an empirical nested catchment study. J. Flood Risk Manag. 2021, 14, e12717. [Google Scholar] [CrossRef]
- Hankin, B.; Hewitt, I.; Sander, G.; Danieli, F.; Formetta, G.; Kamilova, A.; Kretzschmar, A.; Kiradjiev, K.; Wong, C.; Pegler, S.; et al. A risk-based network analysis of distributed in-stream leaky barriers for flood risk management. Nat. Hazards Earth Syst. Sci. 2020, 20, 2567–2584. [Google Scholar] [CrossRef]
- Leakey, S.; Hewett, C.J.; Glenis, V.; Quinn, P.F. Modelling the impact of leaky barriers with a 1D godunov-type scheme for the shallow water equations. Water 2020, 12, 371. [Google Scholar] [CrossRef]
- Xu, Y.; Liu, X. Effects of different in-stream structure representations in computational fluid dynamics models-taking engineered log jams (ELJ) as an example. Water 2017, 9, 110. [Google Scholar] [CrossRef]
- Hill, B.; Liang, Q.; Bosher, L.; Chen, H.; Nicholson, A. A systematic review of natural flood management modelling: Approaches, limitations, and potential solutions. J. Flood Risk Manag. 2023, 16, e12899. [Google Scholar] [CrossRef]
- Neuhaus, V.; Mende, M. Engineered large wood structures in stream restoration projects in switzerland: Practice-based experiences. Water 2021, 13, 2520. [Google Scholar] [CrossRef]
- Fennell, J.; Soulsby, C.; Wilkinson, M.E.; Daalmans, R.; Geris, J. Time variable effectiveness and cost-benefits of different nature-based solution types and design for drought and flood management. Nat.-Based Solut. 2023, 3, 100050. [Google Scholar] [CrossRef]
- Follett, E.; Schalko, I.; Nepf, H. Momentum and Energy Predict the Backwater Rise Generated by a Large Wood Jam. Geophys. Res. Lett. 2020, 47, e2020GL089346. [Google Scholar] [CrossRef]
- Schalko, I.; Follett, E.; Nepf, H. Impact of Lateral Gap on Flow Distribution, Backwater Rise, and Turbulence Generated by a Logjam. Water Resour. Res. 2023, 59, e2023WR034689. [Google Scholar] [CrossRef]
- Hart, J.; Rubinato, M.; Lavers, T. An experimental investigation of the hydraulics and pollutant dispersion characteristics of a model beaver dam. Water 2020, 12, 2320. [Google Scholar] [CrossRef]
- Page, M.J.; McKenzie, J.E.; Bossuyt, P.M.; Boutron, I.; Hoffmann, T.C.; Mulrow, C.D.; Shamseer, L.; Tetzlaff, J.M.; Akl, E.A.; Brennan, S.E.; et al. The PRISMA 2020 statement: An updated guideline for reporting systematic reviews. BMJ 2021, 372, n71. [Google Scholar] [CrossRef] [PubMed]
- Follett, E.; Schalko, I.; Nepf, H. Logjams With a Lower Gap: Backwater Rise and Flow Distribution Beneath and Through Logjam Predicted by Two-Box Momentum Balance. Geophys. Res. Lett. 2021, 48, e2021GL094279. [Google Scholar] [CrossRef]
- Huang, R.; Zeng, Y.; Zha, W.; Yang, F. Investigation of flow characteristics in open channel with leaky barriers. J. Hydrol. 2022, 613, e128328. [Google Scholar] [CrossRef]
- McParland, M. Modelling the Hydraulic and Sediment Dynamics of Leaky Barriers in Relation to Natural Flood Management. 2021. Available online: https://livrepository.liverpool.ac.uk/3151577/1/200715165_Mar2022.pdf (accessed on 1 August 2024).
- Brooks, A.P.; Abbe, I.C.; Jansen, T.; Taylor, N.B.; Russell, D.G. Confronting hysteresis: Wood based river rehabilitation in highly altered riverine landscapes of south-eastern Australia. Geomorphology 2006, 79, 395–422. [Google Scholar] [CrossRef]
- Daley, J.; Brooks, A.P. A Performance Evaluation of Engineered Log Jams in the Hunter Valley; Research Report; Griffith University: Brisbane, Australia, 2013; 53p, ISBN 978-1-922216-23-6. [Google Scholar]
- Innocenti, L.; Branß, T.; Zaid, B.; Aberle, J.; Solari, L. Characterization of trajectories and drag coefficients of large wood in sharp river bends from flume experiments. Earth Surf. Process. Landf. 2023, 48, 770–781. [Google Scholar] [CrossRef]
- Spreitzer, G.; Tunnicliffe, J.; Friedrich, H. Porosity and volume assessments of large wood (LW) accumulations. Geomorphology 2020, 358, 107122. [Google Scholar] [CrossRef]
- Müller, S.; Wilson, C.A.; Ouro, P.; Cable, J. Leaky barriers: Leaky enough for fish to pass? R. Soc. Open Sci. 2021, 8, 201843. [Google Scholar] [CrossRef]
- Piton, G.; Rocio, A.; Mayo, C.; Lambert, S.; Small, S.L. Small-Scale Modeling of Flexible Barriers. II: Interactions with Large Wood. J. Hydraul. Eng. 2023, 149, 04022044. [Google Scholar] [CrossRef]
- Schalko, I.; Ruiz-Villanueva, V.; Maager, F.; Weitbrecht, V. Wood retention at inclined bar screens: Effect of wood characteristics on backwater rise and bedload transport. Water 2021, 13, 2231. [Google Scholar] [CrossRef]
- Friedrich, H.; Ravazzolo, D.; Ruiz-Villanueva, V.; Schalko, I.; Spreitzer, G.; Tunnicliffe, J.; Weitbrecht, V. Physical modelling of large wood (LW) processes relevant for river management: Perspectives from New Zealand and Switzerland. Earth Surf. Process. Landf. 2022, 47, 32–57. [Google Scholar] [CrossRef]
- Hlavňa, M.; Máčka, Z.; Záthurecký, J. Numerical Modeling of Potential Large Wood Entrainment in Rivers: Application of Hybrid Modeling in the Inter-Dam Reach of the Dyje River, Czechia. Water Resour. Res. 2024, 60, 571–583. [Google Scholar] [CrossRef]
- Livers, B.; Lininger, K.B.; Kramer, N.; Sendrowski, A. Porosity problems: Comparing and reviewing methods for estimating porosity and volume of wood jams in the field. Earth Surf. Process. Landf. 2020, 45, 3336–3353. [Google Scholar] [CrossRef]
- Environment Agency, Forestry Commission and Forest Research. Assessing the Risk Assessing the Potential Hazards of Using Leaky Woody Structures for Natural Flood Management. 2019. Available online: https://catchmentbasedapproach.org/wp-content/uploads/2019/05/190521-Assessing-the-risk.pdf (accessed on 9 July 2024).
- Villamizar, M.L.; Stoate, C.; Biggs, J.; Szczur, J.; Williams, P.; Brown, C.D. A model for quantifying the effectiveness of leaky barriers as a flood mitigation intervention in an agricultural landscape. River Res. Appl. 2024, 40, 365–378. [Google Scholar] [CrossRef]
- Wren, E.; Barnes, M.; Janes, M.; Kitchen, A.; Nutt, N.; Patterson, C.; Piggott, M.; Robins, J.; Ross, M.; Simons, C.; et al. The Natural Flood Management Manual. 2022. Available online: https://hive.greenfinanceinstitute.com/wp-content/uploads/2023/11/C802-The-natural-flood-management-manual.pdf (accessed on 10 October 2022).
- Metcalfe, P.; Beven, K.; Hankin, B.; Lamb, R. Simplified representation of runoff attenuation features within analysis of the hydrological performance of a natural flood management scheme. Hydrol. Earth Syst. Sci. 2017, 22, 2589–2605. [Google Scholar] [CrossRef]
- Douglas, F.; Asce, M.; Morin, N.; Cooper, C.M. Large Woody Debris Structures for Sand-Bed Channels. J. Hydraul. Eng. 2004, 130, 208–217. [Google Scholar] [CrossRef]
- Schalko, I.; Schmocker, L.; Weitbrecht, V.; Boes, R.M. Backwater Rise due to Large Wood Accumulations. J. Hydraul. Eng. 2018, 144, 04018056. [Google Scholar] [CrossRef]
- Manners, R.; Doyle, M.; Small, M. Structure and hydraulics of natural woody debris jams. Water Resour. Res. 2007, 43, W06432. [Google Scholar] [CrossRef]
- Wilhelmsen, K.; Sawyer, A.H.; Marshall, A.; McFadden, S.; Singha, K.; Wohl, E. Laboratory Flume and Numerical Modeling Experiments Show Log Jams and Branching Channels Increase Hyporheic Exchange. Water Resour. Res. 2021, 57, e2021WR030299. [Google Scholar] [CrossRef]
- Hill, B.; Chen, H.; Liang, Q.; Bosher, L.; Vann, J. Monitoring solutions for remote locations: A data gathering approach for remote nature-based solution sites. Nat.-Based Solut. 2024, 5, 100120. [Google Scholar] [CrossRef]
- Wilkinson, M.; Quinn, P.; Ghimire, S.; Nicholson, A.; Addy, S. The use of Natural Flood Management to mitigate local flooding in the rural landscape. Geophys. Res. Abstr. 2014, 16, EGU2014-9878. [Google Scholar]
- Thomas, H.; Nisbet, T. Modelling the hydraulic impact of reintroducing large woody debris into watercourses. J. Flood Risk Manag. 2012, 5, 164–174. [Google Scholar] [CrossRef]
- Gippel, C.J.; O’neill, I.C.; Finlayson, B.L.; Schnatz, I. Hydraulic Guidelines for the Re-introduction and Management of Large Woody Debris in Lowland Rivers. Regul. Rivers Res. Manag. 1996, 12, 223–236. [Google Scholar] [CrossRef]
- Valverde, R. Roughness and Geometry Effects of Engineered Log Jams on 1-D Flow Characteristics. 2013. Available online: https://ir.library.oregonstate.edu/concern/graduate_thesis_or_dissertations/gh93h224f (accessed on 1 August 2024).
- Agency, R.P. Applicant’s Guide for Higher Tier Agreements Starting on 1 January 2024. 2024. Available online: https://www.gov.uk/government/publications/higher-tier-grants-2023-countryside-stewardship/applicants-guide-higher-tier-grants-2023 (accessed on 12 July 2024).
- Metcalfe, P.; Beven, K.; Hankin, B.; Lamb, R. A modelling framework for evaluation of the hydrological impacts of nature-based approaches to flood risk management, with application to in-channel interventions across a 29-km2 scale catchment in the United Kingdom. Hydrol. Process. 2017, 31, 1734–1748. [Google Scholar] [CrossRef]
- Linstead, C.; Gurnell, A. Large Woody Debris in British Headwater Rivers—Physical Habitat Role and Management Guidelines. 1998. Available online: https://assets.publishing.service.gov.uk/media/5a7cc347e5274a2f304efe9c/str-w181-e-e.pdf (accessed on 9 August 2024).
- Thomas, H. Opportunities to Use Woodland Measures for Natural Flood Management in Whinlatter Forest Scoping Report. 2018. Available online: https://cdn.forestresearch.gov.uk/2019/12/whinlatter_nfm_scoping_report.pdf (accessed on 9 August 2024).
- Garcia, C.C.; Lenzi, M.A.M.A. Criteria for Optimizing Check Dam Location and Maintenance Requirements. Ph.D. Thesis, Nova Science, Hauppauge, NY, USA, 2010; p. 339. [Google Scholar]
- SEPA. The River Basin Management Plan for Scotland 2021–2027. 2021. Available online: https://www.sepa.org.uk/media/594088/211222-final-rbmp3-scotland.pdf (accessed on 16 December 2023).
- Ferguson, C.; Fenner, R. Evaluating the effectiveness of catchment-scale approaches in mitigating urban surface water flooding. Philos. Trans. R. Soc. A Math. Phys. Eng. Sci. 2020, 378, 20190203. [Google Scholar] [CrossRef] [PubMed]
- Gippel, C.J. Environmental Hydraulic of Large Woody Debris in Streams and Rivers. J. Environ. Eng. 1995, 121, 388–395. [Google Scholar] [CrossRef]
- Hankin, B.; Metcalfe, P.; Beven, K.; Chappell, N.A. Integration of hillslope hydrology and 2D hydraulic modelling for natural flood management. Hydrol. Res. 2020, 50, 1535–1548. [Google Scholar] [CrossRef]
- Lavers, T.; Charlesworth, S.M.; Lashford, C.; Warwick, F.; Fried, J. The Performance of Natural Flood Management at the Large Catchment-Scale: A Case Study in the Warwickshire Stour Valley. Water 2022, 14, 3836. [Google Scholar] [CrossRef]
- Ferguson, C.; Fenner, R. How natural flood management helps downstream urban drainage in various storm directions. Proc. Inst. Civ. Eng. Water Manag. 2021, 174, 109–119. [Google Scholar] [CrossRef]
- Gregory, K.J.; Gurnell, A.M.; Hill, C.T. The permanence of debris dams related to river channel processes. Hydrol. Sci. J. 1985, 30, 371–381. [Google Scholar] [CrossRef]
- Kitts, D.R. The Hydraulic and Hydrological Performance of Large Wood Accumulation in a Low-Order Forest Stream. 2010. Available online: https://eprints.soton.ac.uk/185791/ (accessed on 8 June 2024).
- Bennett, S.J.; Ghaneeizad, S.M.; Gallisdorfer, M.S.; Cai, D.; Atkinson, J.F.; Simon, A.; Langendoen, E.J. Flow, turbulence, and drag associated with engineered log jams in a fixed-bed experimental channel. Geomorphology 2015, 248, 172–184. [Google Scholar] [CrossRef]
- Ramsbottom, D.; Pinto, A.; Roca, M.; Body, R. Effectiveness of Natural Flood Management Measures. In Proceedings of the 38th IAHR World Congress—Water: Connecting the World, Panama City, Panama, 1–6 September 2019; Volume 38, pp. 3143–3152. [Google Scholar] [CrossRef]
- Hansamali, U.; Makumbura, R.K.; Rathnayake, U.; Azamathulla, H.M.; Muttil, N. Leaky Dams as Nature-Based Solutions in Flood Management Part II: Mechanisms, Effectiveness, Environmental Impacts, Technical Challenges, and Emerging Trends. Hydrology 2025, 12, 116. [Google Scholar] [CrossRef]
- Hewett, C.J.; Wilkinson, M.E.; Jonczyk, J.; Quinn, P.F. Catchment systems engineering: An holistic approach to catchment management. Wiley Interdiscip. Rev. Water 2020, 7, e1417. [Google Scholar] [CrossRef]
- Roberts, M.T.; Wilkinson, M.E.; Hallett, P.D.; Geris, J. New data-based analysis tool for functioning of natural flood management measures reveals multi-site time-variable effectiveness. J. Hydrol. 2024, 635, 131164. [Google Scholar] [CrossRef]
- Ferguson, C. The Effects of Upstream Natural Flood Management on Urban Surface Drainage Performance. PhD Thesis, University of Cambridge, Cambridge, UK, 2020. Available online: https://www.repository.cam.ac.uk/items/85f6d874-a89d-46e4-87de-86a07ecf012d (accessed on 21 July 2024).
- Meire, D.; Doncker, L.D.; Declercq, F.; Buis, K.; Troch, P.; Verhoeven, R. Modelling river-floodplain interaction during flood propagation. Nat. Hazards 2010, 55, 111–121. [Google Scholar] [CrossRef]
- O’Connell, E.; Ewen, J.; O’Donnell, G.; Quinn, P. Is there a link between agricultural land-use management and flooding. Hydrol. Earth Syst. Sci. 2007, 11, 96–107. [Google Scholar] [CrossRef]
- van Leeuwen, Z.R.; Klaar, M.J.; Smith, M.W.; Brown, L.E. Quantifying the natural flood management potential of leaky dams in upland catchments, Part II: Leaky dam impacts on flood peak magnitude. J. Hydrol. 2024, 628, 130449. [Google Scholar] [CrossRef]
- Short, C.; Clarke, L.; Carnelli, F.; Uttley, C.; Smith, B. Capturing the multiple benefits associated with nature-based solutions: Lessons from a natural flood management project in the Cotswolds, UK. Land Degrad. Dev. 2019, 30, 241–252. [Google Scholar] [CrossRef]
- European Commission, Directorate-General for Environment. Floods. 2025. Available online: https://environment.ec.europa.eu/topics/water/floods_en (accessed on 17 June 2025).
- UK Department for Environment, Food & Rural Affairs. National Flood and Coastal Erosion Risk Management Strategy for England. Policy Paper. 2020. Available online: https://assets.publishing.service.gov.uk/media/5f6b6da6e90e076c182d508d/023_15482_Environment_agency_digitalAW_Strategy.pdf (accessed on 17 June 2025).
Disclaimer/Publisher’s Note: The statements, opinions and data contained in all publications are solely those of the individual author(s) and contributor(s) and not of MDPI and/or the editor(s). MDPI and/or the editor(s) disclaim responsibility for any injury to people or property resulting from any ideas, methods, instructions or products referred to in the content. |
© 2025 by the authors. Licensee MDPI, Basel, Switzerland. This article is an open access article distributed under the terms and conditions of the Creative Commons Attribution (CC BY) license (https://creativecommons.org/licenses/by/4.0/).