Spatial Heterogeneity and Controlling Factors of Heavy Metals in Groundwater in a Typical Industrial Area in Southern China
Abstract
1. Introduction
2. Materials and Methods
2.1. Study Area
2.2. Sample Collection and Analysis
2.3. Statistical and Spatial Analysis Methods
2.3.1. Self-Organizing Map (SOM) and K-Means Clustering
2.3.2. Local Moran’s I
3. Results and Discussion
3.1. Spatial Distribution of Heavy Metals
3.2. Spatial Autocorrelation Analysis
3.3. Controlling Factor Analysis
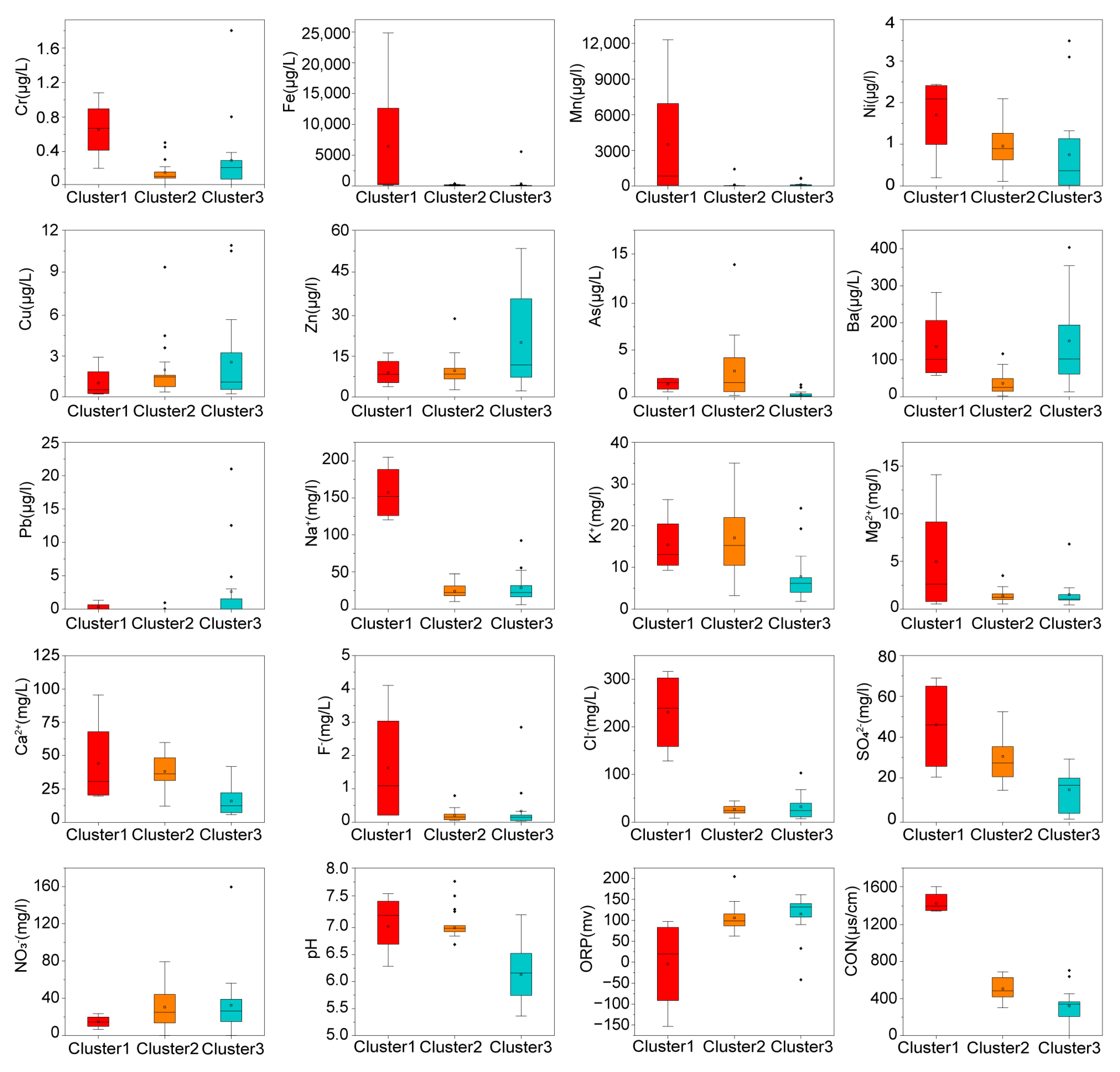
3.3.1. SOM Identifying Controlling Factor
3.3.2. Statistical Analysis of Heavy Metals and Associated Variables Identifying Controlling Factors
3.4. Correlation Analysis Identifying Controlling Factors
4. Conclusions
Author Contributions
Funding
Data Availability Statement
Conflicts of Interest
References
- Wang, Z.; Gao, Z.; Wang, S.; Liu, J.; Li, W.; Deng, Q.; Lv, L.; Liu, Y.; Su, Q. Hydrochemistry characters and hydrochemical processes under the impact of anthropogenic activity in the Yiyuan city, Northern China. Environ. Earth Sci. 2021, 80, 60. [Google Scholar] [CrossRef]
- Lu, J.; Wu, J.; Zhang, C.; Zhang, Y. Possible effect of submarine groundwater discharge on the pollution of coastal water: Occurrence, source, and risks of endocrine disrupting chemicals in coastal groundwater and adjacent seawater influenced by reclaimed water irrigation. Chemosphere 2020, 250, 126323. [Google Scholar] [CrossRef]
- Tam, V.T.; Batelaan, O.; Le, T.; Nhan, P. Three-dimensional hydrostratigraphical modelling to support evaluation of recharge and saltwater intrusion in a coastal groundwater system in Vietnam. Hydrogeol. J. 2014, 22, 1749–1762. [Google Scholar] [CrossRef]
- Wen, X.; Lu, J.; Wu, J.; Lin, Y.; Luo, Y. Influence of coastal groundwater salinization on the distribution and risks of heavy metals. Sci. Total Environ. 2019, 652, 267–277. [Google Scholar] [CrossRef]
- Jiang, W.; Liu, H.; Sheng, Y.; Ma, Z.; Zhang, J.; Liu, F.; Chen, S.; Meng, Q.; Bai, Y. Distribution, Source Apportionment, and Health Risk Assessment of Heavy Metals in Groundwater in a Multi-mineral Resource Area, North China. Expo. Health 2022, 14, 807–827. [Google Scholar] [CrossRef]
- Doyi, I.; Essumang, D.; Gbeddy, G.; Dampare, S.; Kumassah, E.; Saka, D. Spatial distribution, accumulation and human health risk assessment of heavy metals in soil and groundwater of the Tano Basin, Ghana. Ecotoxicol. Environ. Saf. 2018, 165, 540–546. [Google Scholar] [CrossRef]
- Manoj, S.; RamyaPriya, R.; Elango, L. Long-term exposure to chromium contaminated waters and the associated human health risk in a highly contaminated industrialised region. Environ. Sci. Pollut. Res. 2021, 28, 4276–4288. [Google Scholar] [CrossRef]
- Sheng, Y.; Baars, O.; Guo, D.; Whitham, J.; Srivastava, S.; Dong, H. Mineral-Bound Trace Metals as Cofactors for Anaerobic Biological Nitrogen Fixation. Environ. Sci. Technol. 2023, 57, 7206–7216. [Google Scholar] [CrossRef]
- Su, C.; Meng, J.; Zhou, Y.; Bi, R.; Chen, Z.; Diao, J.; Huang, Z.; Kan, Z.; Wang, T. Heavy Metals in Soils From Intense Industrial Areas in South China: Spatial Distribution, Source Apportionment, and Risk Assessment. Front. Environ. Sci. 2022, 10, 820536. [Google Scholar] [CrossRef]
- Chen, H.; Teng, Y.; Lu, S.; Wang, Y.; Wang, J. Contamination features and health risk of soil heavy metals in China. Sci. Total Environ. 2015, 512–513, 143–153. [Google Scholar] [CrossRef]
- Wu, H.; Wang, X.; Ren, H.; Gao, M.; Cai, J.; Cheng, J. Groundwater Heavy Metal Pollution Characteristics and Health Risk Assessment in Typical Industrial Parks in Southwest China. Water 2024, 16, 3435. [Google Scholar] [CrossRef]
- Zhang, Y.; Yu, Y.; An, G.; Huang, T.; Huang, J. Spatial Distribution of Pollutants and Risk Assessment of Heavy Metals in Farmland Groundwater around a Traditional Industrial Park—A Case Study of Shifang City, Southwestern China. Sustainability 2023, 15, 14903. [Google Scholar] [CrossRef]
- Jiang, C.; Zhao, Q.; Zheng, L.; Chen, X.; Li, C.; Ren, M. Distribution, source and health risk assessment based on the Monte Carlo method of heavy metals in shallow groundwater in an area affected by mining activities, China. Ecotoxicol. Environ. Saf. 2021, 224, 112679. [Google Scholar] [CrossRef]
- Mirzabeygi, M.; Abbasnia, A.; Yunesian, M.; Nodehi, R.N.; Yousefi, N.; Hadi, M.; Mahvi, A.H. Heavy metal contamination and health risk assessment in drinking water of Sistan and Baluchistan, Southeastern Iran. Hum. Ecol. Risk Assess. Int. J. 2017, 23, 1893–1905. [Google Scholar] [CrossRef]
- Wang, S.; Cai, L.-M.; Wen, H.-H.; Luo, J.; Wang, Q.-S.; Liu, X. Spatial distribution and source apportionment of heavy metals in soil from a typical county-level city of Guangdong Province, China. Sci. Total Environ. 2019, 655, 92–101. [Google Scholar] [CrossRef]
- Li, T.; Sun, G.; Yang, C.; Liang, K.; Ma, S.; Huang, L. Using self-organizing map for coastal water quality classification: Towards a better understanding of patterns and processes. Sci. Total Environ. 2018, 628–629, 1446–1459. [Google Scholar] [CrossRef]
- Santos, M.R.; Roisenberg, A.; Iwashita, F.; Roisenberg, M. Hydrogeochemical spatialization and controls of the Serra Geral Aquifer System in southern Brazil: A regional approach by self-organizing maps and k-means clustering. J. Hydrol. 2020, 591, 125602. [Google Scholar] [CrossRef]
- Urme, O.; Reza, A.S.; Adham, M.I.; Sattar, G.S. Arsenic, manganese, and iron concentration in groundwater of northwestern part of Bangladesh using self-organizing maps: Implication for health risk assessment. Heliyon 2025, 11, e41805. [Google Scholar] [CrossRef]
- Liu, J.; Tang, L.; Peng, Z.; Gao, W.; Xiang, C.; Chen, W.; Jiang, J.; Guo, J.; Xue, S. The heterogeneous distribution of heavy metal(loid)s at a smelting site and its potential implication on groundwater. Sci. Total Environ. 2024, 948, 174944. [Google Scholar] [CrossRef]
- Zhu, G.; Wu, X.; Ge, J.; Liu, F.; Zhao, W.; Wu, C. Influence of mining activities on groundwater hydrochemistry and heavy metal migration using a self-organizing map (SOM). J. Clean. Prod. 2020, 257, 120664. [Google Scholar] [CrossRef]
- Li, J.; Wang, G.; Liu, F.; Cui, L.; Jiao, Y. Source Apportionment and Ecological-Health Risks Assessment of Heavy Metals in Topsoil Near a Factory, Central China. Expo. Health 2020, 13, 79–92. [Google Scholar] [CrossRef]
- Li, Y.; Deng, Y.; Cheung, H.-N.; Zhou, W.; Yang, S.; Zhang, H. Amplifying subtropical hydrological transition over China in early summer tied to weakened mid-latitude synoptic disturbances. npj Clim. Atmos. Sci. 2022, 5, 40. [Google Scholar] [CrossRef]
- Li, Z.; Yang, S.; He, B.; Hu, C. Intensified Springtime Deep Convection over the South China Sea and the Philippine Sea Dries Southern China. Sci. Rep. 2016, 6, 30470. [Google Scholar] [CrossRef]
- Guo, Q. Regional Geological Survey Report of Shantou Sheet F-50-3 and Huilai Sheet F-50-9, 1:200,000 Scale; Guangdong Regional Geological Survey Team: Guangzhou, China, 1973. [Google Scholar]
- Devic, G.; Djordjevic, D.; Sakan, S. Natural and anthropogenic factors affecting the groundwater quality in Serbia. Sci. Total Environ. 2014, 468–469, 933–942. [Google Scholar] [CrossRef]
- Li, H.; Boufadel, M.C. Long-term persistence of oil from the Exxon Valdez spill in two-layer beaches. Nat. Geosci. 2010, 3, 96–99. [Google Scholar] [CrossRef]
- Yin, X.; Jiang, B.; Feng, Z.; Yao, B.; Shi, X.; Sun, Y.; Wu, J. Comprehensive evaluation of shallow groundwater quality in Central and Southern Jiangsu Province, China. Environ. Earth Sci. 2017, 76, 400. [Google Scholar] [CrossRef]
- Barbieri, M.; Franchini, S.; Barberio, M.D.; Billi, A.; Boschetti, T.; Giansante, L.; Gori, F.; Jonsson, S.; Petitta, M.; Skelton, A.; et al. Changes in groundwater trace element concentrations before seismic and volcanic activities in Iceland during 2010–2018. Sci. Total Environ. 2021, 793, 148635. [Google Scholar] [CrossRef]
- Zhuang, S.; Wang, G.; Zhou, X.; Shi, Z.; Yuan, D.; Tian, J.; He, M.; Zeng, Z.; Yan, Y.; Yao, B.; et al. Deciphering the distribution and enrichment of arsenic in geothermal water in the Red River Fault Zone, southwest China. J. Hazard. Mater. 2025, 485, 136756. [Google Scholar] [CrossRef]
- Wang, C.; Liao, F.; Wang, G.; Qu, S.; Mao, H.; Bai, Y. Hydrogeochemical evolution induced by long-term mining activities in a multi-aquifer system in the mining area. Sci. Total Environ. 2023, 854, 158806. [Google Scholar] [CrossRef]
- Huang, X.; Wang, G.; Liang, X.; Cui, L.; Ma, L.; Xu, Q. Hydrochemical and Stable Isotope (δD and δ18O) Characteristics of Groundwater and Hydrogeochemical Processes in the Ningtiaota Coalfield, Northwest China. Mine Water Environ. 2017, 37, 119–136. [Google Scholar] [CrossRef]
- Wang, P.; Song, X.; Han, D.; Zhang, Y.; Liu, X. A study of root water uptake of crops indicated by hydrogen and oxygen stable isotopes: A case in Shanxi Province, China. Agric. Water Manag. 2010, 97, 475–482. [Google Scholar] [CrossRef]
- Raja, V.; Lakshmi, R.V.; Sekar, C.P.; Chidambaram, S.; Neelakantan, M.A. Health Risk Assessment of Heavy Metals in Groundwater of Industrial Township Virudhunagar, Tamil Nadu, India. Arch. Environ. Contam. Toxicol. 2021, 80, 144–163. [Google Scholar] [CrossRef]
- Demirel, Z. Monitoring of heavy metal pollution of groundwater in a phreatic aquifer in Mersin-Turkey. Environ. Monit. Assess. 2007, 132, 15–23. [Google Scholar] [CrossRef]
- Kohonen, T. Self-organized formation of topologically correct feature maps. Biol. Cybern. 1982, 43, 59–69. [Google Scholar] [CrossRef]
- Hazrati-Yadkoori, S.; Datta, B. Adaptive Surrogate Model Based Optimization (ASMBO) for Unknown Groundwater Contaminant Source Characterizations Using Self-Organizing Maps. J. Water Resour. Prot. 2017, 9, 193–214. [Google Scholar] [CrossRef]
- Reff, A.; Eberly, S.I.; Bhave, P.V. Receptor modeling of ambient particulate matter data using positive matrix factorization: Review of existing methods. J. Air Waste Manag. Assoc. 2007, 57, 146–154. [Google Scholar] [CrossRef]
- Zanotti, C.; Rotiroti, M.; Fumagalli, L.; Stefania, G.A.; Canonaco, F.; Stefenelli, G.; Prévôt, A.S.H.; Leoni, B.; Bonomi, T. Groundwater and surface water quality characterization through positive matrix factorization combined with GIS approach. Water Res. 2019, 159, 122–134. [Google Scholar] [CrossRef]
- Jiang, W.; Meng, L.; Liu, F.; Sheng, Y.; Chen, S.; Yang, J.; Mao, H.; Zhang, J.; Zhang, Z.; Ning, H. Distribution, source investigation, and risk assessment of topsoil heavy metals in areas with intensive anthropogenic activities using the positive matrix factorization (PMF) model coupled with self-organizing map (SOM). Environ. Geochem. Health 2023, 45, 6353–6370. [Google Scholar] [CrossRef]
- Nguyen, T.T.; Kawamura, A.; Tong, T.N.; Nakagawa, N.; Amaguchi, H.; Gilbuena, R. Clustering spatio–seasonal hydrogeochemical data using self-organizing maps for groundwater quality assessment in the Red River Delta, Vietnam. J. Hydrol. 2015, 522, 661–673. [Google Scholar] [CrossRef]
- Zhang, C.; Luo, L.; Xu, W.; Ledwith, V. Use of local Moran’s I and GIS to identify pollution hotspots of Pb in urban soils of Galway, Ireland. Sci. Total Environ. 2008, 398, 212–221. [Google Scholar] [CrossRef]
- Frankl, A.; Stal, C.; Abraha, A.; Nyssen, J.; Rieke-Zapp, D.; De Wulf, A.; Poesen, J. Detailed recording of gully morphology in 3D through image-based modelling. Catena 2015, 127, 92–101. [Google Scholar] [CrossRef]
- Shanin, V.N.; Komarov, A.S.; Bykhovets, S.S. Simulation modelling for sustainable forest management: A case-study. Procedia Environ. Sci. 2012, 13, 535–549. [Google Scholar] [CrossRef]
- Paoli, L.; Loppi, S. A biological method to monitor early effects of the air pollution caused by the industrial exploitation of geothermal energy. Environ. Pollut. 2008, 155, 383–388. [Google Scholar] [CrossRef]
- GB 3838-2002; Environmental Quality Standards for Surface Water. Ministry of Ecology and Environment of the People’s Republic of China: Beijing, China, 2002.
- GB/T 14848-2017; Standard for Groundwater Quality. Ministry of Ecology and Environment of the People’s Republic of China: Beijing, China, 2017.
- Mukherjee, I.; Singh, U.K.; Singh, R.P.; Anshumali; Kumari, D.; Jha, P.K.; Mehta, P. Characterization of heavy metal pollution in an anthropogenically and geologically influenced semi-arid region of east India and assessment of ecological and human health risks. Sci. Total Environ. 2020, 705, 135801. [Google Scholar] [CrossRef]
- Lü, H.; Dang, X.; Zhu, Y.; Zhao, L.; Hou, H.; Xu, R.; Xu, X. Groundwater quality analysis and health risk assessment of heavy metal in industrial areas of Henan Province, China. J. Agro-Environ. Sci. 2023, 42, 2740–2751. (In Chinese) [Google Scholar]
- Rahman, M.A.T.M.T.; Paul, M.; Bhoumik, N.; Hassan, M.; Alam, M.K.; Aktar, Z. Heavy metal pollution assessment in the groundwater of the Meghna Ghat industrial area, Bangladesh, by using water pollution indices approach. Appl. Water Sci. 2020, 10, 186. [Google Scholar] [CrossRef]
- Huo, X.N.; Zhang, W.W.; Sun, D.F.; Li, H.; Zhou, L.D.; Li, B.G. Spatial pattern analysis of heavy metals in Beijing agricultural soils based on spatial autocorrelation statistics. Int. J. Environ. Res. Public Health 2011, 8, 2074–2089. [Google Scholar] [CrossRef]
- Anselin, L. Local Indicators of Spatial Association—LISA. Geogr. Anal. 2010, 27, 93–115. [Google Scholar] [CrossRef]
- Serville-Tertullien, M.; Charlemagne, K.; Eristhee, N.; McDermott, K.; Majury, A.; Schirmer, T.; Sultana, T.; Metcalfe, C.D. Sources of microbial contamination in the watershed and coastal zone of Soufriere, St. Lucia. Environ. Monit. Assess. 2022, 194, 225. [Google Scholar] [CrossRef]
- Getis, A.; Ord, J.K. The Analysis of Spatial Association by Use of Distance Statistics. Geogr. Anal. 2010, 24, 189–206. [Google Scholar] [CrossRef]
- Liu, J.; Zhang, X.; Xia, J.; Wu, S.; She, D.; Zou, L. Characterizing and explaining spatio-temporal variation of water quality in a highly disturbed river by multi-statistical techniques. Springerplus 2016, 5, 1171. [Google Scholar] [CrossRef]
- Romero-Natale, A.; Palchetti, I.; Avelar, M.; González-Vergara, E.; Garate-Morales, J.L.; Torres, E. Spectrophotometric Detection of Glyphosate in Water by Complex Formation between Bis 5-Phenyldipyrrinate of Nickel (II) and Glyphosate. Water 2019, 11, 719. [Google Scholar] [CrossRef]
- Yang, G.; Zhao, Y.; Xing, H.; Fu, Y.; Liu, G.; Kang, X.; Mai, X. Understanding the changes in spatial fairness of urban greenery using time-series remote sensing images: A case study of Guangdong-Hong Kong-Macao Greater Bay. Sci. Total Environ. 2020, 715, 136763. [Google Scholar] [CrossRef]
- Ju, Q.; Hu, Y.; Xie, Z.; Liu, Q.; Zhang, Z.; Liu, Y.; Peng, T.; Hu, T. Characterizing spatial dependence of boron, arsenic, and other trace elements for Permian groundwater in Northern Anhui plain coal mining area, China, using spatial autocorrelation index and geostatistics. Environ. Sci. Pollut. Res. Int. 2023, 30, 39184–39198. [Google Scholar] [CrossRef]
- Wang, W.; Lin, C.; Wang, L.; Jiang, R.; Liu, Y.; Lin, H.; Chen, J. Effects of Human Activities on the Spatial Distribution, Ecological Risk and Sources of PTEs in Coastal Sediments. Int. J. Environ. Res. Public Health 2021, 18, 12476. [Google Scholar] [CrossRef]
- Vasileiou, E.; Papazotos, P.; Dimitrakopoulos, D.; Perraki, M. Expounding the origin of chromium in groundwater of the Sarigkiol basin, Western Macedonia, Greece: A cohesive statistical approach and hydrochemical study. Environ. Monit. Assess. 2019, 191, 509. [Google Scholar] [CrossRef]
- Zhou, R.; Chen, J.; Cui, S.; Li, L.; Qian, J.; Zhao, H.; Huang, G. A data-driven framework to identify influencing factors for soil heavy metal contaminations using random forest and bivariate local Moran’s I: A case study. J. Environ. Manag. 2025, 375, 124172. [Google Scholar] [CrossRef]
- Costa, E.L.R.; Braga, T.; Dias, L.A.; Albuquerque, É.L.d.; Fernandes, M.A.C. Analysis of Atmospheric Pollutant Data Using Self-Organizing Maps. Sustainability 2022, 14, 10369. [Google Scholar] [CrossRef]
- Belkhiri, L.; Mouni, L.; Tiri, A.; Narany, T.S.; Nouibet, R. Spatial analysis of groundwater quality using self-organizing maps. Groundw. Sustain. Dev. 2018, 7, 121–132. [Google Scholar] [CrossRef]
- Cheng, F.; Liu, S.; Yin, Y.; Zhang, Y.; Zhao, Q.; Dong, S. Identifying trace metal distribution and occurrence in sediments, inundated soils, and non-flooded soils of a reservoir catchment using Self-Organizing Maps, an artificial neural network method. Environ. Sci. Pollut. Res. Int. 2017, 24, 19992–20004. [Google Scholar] [CrossRef]
- Andersen, C.P.; Ritter, W.; Gregg, J.; Matyssek, R.; Grams, T.E. Below-ground carbon allocation in mature beech and spruce trees following long-term, experimentally enhanced O3 exposure in Southern Germany. Environ. Pollut. 2010, 158, 2604–2609. [Google Scholar] [CrossRef]
- Bhowmick, S.; Pramanik, S.; Singh, P.; Mondal, P.; Chatterjee, D.; Nriagu, J. Arsenic in groundwater of West Bengal, India: A review of human health risks and assessment of possible intervention options. Sci. Total Enviorn. 2018, 612, 148–169. [Google Scholar] [CrossRef]
- Lu, X.; Wang, L.; Lei, K.; Huang, J.; Zhai, Y. Contamination assessment of copper, lead, zinc, manganese and nickel in street dust of Baoji, NW China. J. Hazard. Mater. 2009, 161, 1058–1062. [Google Scholar] [CrossRef]
- Peng, H.; Xie, W.; Li, D.; Wu, M.; Zhang, Y.; Xu, H.; Ye, J.; Ye, T.; Xu, L.; Liang, Y.; et al. Copper-resistant mechanism of Ochrobactrum MT180101 and its application in membrane bioreactor for treating electroplating wastewater. Ecotoxicol. Environ. Saf. 2019, 168, 17–26. [Google Scholar] [CrossRef]
- Xiao, R.; Guo, D.; Ali, A.; Mi, S.; Liu, T.; Ren, C.; Li, R.; Zhang, Z. Accumulation, ecological-health risks assessment, and source apportionment of heavy metals in paddy soils: A case study in Hanzhong, Shaanxi, China. Environ. Pollut. 2019, 248, 349–357. [Google Scholar] [CrossRef]
- Fu, F.; Wang, Q. Removal of heavy metal ions from wastewaters: A review. J. Environ. Manag. 2011, 92, 407–418. [Google Scholar] [CrossRef]
- Mao, H.; Wang, G.; Liao, F.; Shi, Z.; Huang, X.; Li, B.; Yan, X. Geochemical evolution of groundwater under the influence of human activities: A case study in the southwest of Poyang Lake Basin. Appl. Geochem. 2022, 140, 105299. [Google Scholar] [CrossRef]
- Qiao, Z.; Sheng, Y.; Wang, G.; Chen, X.; Liao, F.; Mao, H.; Zhang, H.; He, J.; Liu, Y.; Lin, Y.; et al. Deterministic factors modulating assembly of groundwater microbial community in a nitrogen-contaminated and hydraulically-connected river-lake-floodplain ecosystem. J. Environ. Manag. 2023, 347, 119210. [Google Scholar] [CrossRef]
- Wang, J. Short-term geochemical investigation and assessment of dissolved elements from simulated ash reclaimed soil into groundwater. Environ. Pollut. 2019, 247, 302–311. [Google Scholar] [CrossRef]
- Olson, K.R.; Chau, K.M. Natural and Anthropic Sources of Arsenic in the Groundwater and Soils of the Mekong Delta. Open J. Soil Sci. 2022, 12, 541–570. [Google Scholar] [CrossRef]
- Kimball, B.A.; Runkel, R.L.; Walton-Day, K. An approach to quantify sources, seasonal change, and biogeochemical processes affecting metal loading in streams: Facilitating decisions for remediation of mine drainage. Appl. Geochem. 2010, 25, 728–740. [Google Scholar] [CrossRef]
- Arienzo, M.; Christen, E.W.; Quayle, W.; Kumar, A. A review of the fate of potassium in the soil-plant system after land application of wastewaters. J. Hazard. Mater. 2009, 164, 415–422. [Google Scholar] [CrossRef]
- Jang, C.S. Geostatistical estimates of groundwater nitrate-nitrogen concentrations with spatial auxiliary information on DRASTIC-LU-based aquifer contamination vulnerability. Environ. Sci. Pollut. Res. Int. 2023, 30, 81113–81130. [Google Scholar] [CrossRef]








| Element | Number of Cases | Minimum | Maximum | Mean | Standard Deviation | Variance | Limited Values |
|---|---|---|---|---|---|---|---|
| Cr | 38 | 0.00 | 1.75 | 0.27 | 0.34 | 0.12 | 50 |
| Mn | 38 | 0.25 | 12,310.83 | 467.81 | 2004.38 | 4,017,548.84 | 100 |
| Fe | 38 | 5.45 | 24,838.14 | 929.41 | 4081.19 | 16,656,142.67 | 300 |
| Ni | 38 | 0.00 | 3.49 | 0.95 | 0.88 | 0.78 | 20 |
| Cu | 38 | 0.20 | 10.91 | 2.14 | 2.71 | 7.34 | 1000 |
| Zn | 38 | 2.10 | 53.41 | 14.26 | 12.95 | 167.75 | 1000 |
| As | 38 | 0.00 | 13.89 | 1.50 | 2.59 | 6.70 | 10 |
| Ba | 38 | 1.97 | 403.56 | 98.08 | 103.56 | 10,724.68 | 700 |
| Pb | 38 | 0.00 | 21.01 | 1.23 | 3.96 | 15.67 | 10 |
| Element | Number of Cases | Minimum | Maximum | Mean | Standard Deviation | Variance | Limited Values |
|---|---|---|---|---|---|---|---|
| Cr | 12 | 0.16 | 2.03 | 0.68 | 0.61 | 0.37 | 50 |
| Mn | 12 | 83.19 | 303.69 | 183.46 | 85.79 | 7360.70 | 100 |
| Fe | 12 | 389.14 | 1727.18 | 1002.89 | 417.24 | 174,086.77 | 300 |
| Ni | 12 | 0.00 | 2.06 | 0.64 | 0.65 | 0.42 | 20 |
| Cu | 12 | 0.80 | 7.35 | 2.85 | 1.93 | 3.72 | 1000 |
| Zn | 12 | 7.19 | 35.96 | 16.73 | 8.19 | 67.00 | 1000 |
| As | 12 | 0.14 | 2.70 | 0.65 | 0.83 | 0.69 | 50 |
| Ba | 12 | 28.64 | 61.42 | 41.23 | 11.81 | 139.39 | 700 |
| Pb | 12 | 1.99 | 16.28 | 7.42 | 5.71 | 32.64 | 50 |
Disclaimer/Publisher’s Note: The statements, opinions and data contained in all publications are solely those of the individual author(s) and contributor(s) and not of MDPI and/or the editor(s). MDPI and/or the editor(s) disclaim responsibility for any injury to people or property resulting from any ideas, methods, instructions or products referred to in the content. |
© 2025 by the authors. Licensee MDPI, Basel, Switzerland. This article is an open access article distributed under the terms and conditions of the Creative Commons Attribution (CC BY) license (https://creativecommons.org/licenses/by/4.0/).
Share and Cite
Du, J.; Liao, F.; Zhang, Z.; Du, A.; Qian, J. Spatial Heterogeneity and Controlling Factors of Heavy Metals in Groundwater in a Typical Industrial Area in Southern China. Water 2025, 17, 2012. https://doi.org/10.3390/w17132012
Du J, Liao F, Zhang Z, Du A, Qian J. Spatial Heterogeneity and Controlling Factors of Heavy Metals in Groundwater in a Typical Industrial Area in Southern China. Water. 2025; 17(13):2012. https://doi.org/10.3390/w17132012
Chicago/Turabian StyleDu, Jiaxu, Fu Liao, Ziwen Zhang, Aoao Du, and Jiale Qian. 2025. "Spatial Heterogeneity and Controlling Factors of Heavy Metals in Groundwater in a Typical Industrial Area in Southern China" Water 17, no. 13: 2012. https://doi.org/10.3390/w17132012
APA StyleDu, J., Liao, F., Zhang, Z., Du, A., & Qian, J. (2025). Spatial Heterogeneity and Controlling Factors of Heavy Metals in Groundwater in a Typical Industrial Area in Southern China. Water, 17(13), 2012. https://doi.org/10.3390/w17132012

