SWAT-Based Characterization of and Control Measures for Composite Non-Point Source Pollution in Yapu Port Basin, China
Abstract
1. Introduction
2. Materials and Methods
2.1. Background of the Study Area
2.2. SWAT Model Establishment
2.3. The Parameter Sensitivity of the SWAT Model
2.4. Rating and Validation
3. Results and Analysis
3.1. Division of Sub-Basins and HRUs
3.2. The Calibration and Validation of the SWAT Model
3.2.1. Results of Runoff Calibration and Validation
3.2.2. Results of TP and TN Calibration and Validation
3.3. Temporal and Spatial Distribution Patterns of Composite Non-Point Source Pollution
3.3.1. Temporal Distribution Patterns
- Selection of Representative Years
- 2.
- Inter-Annual Variation in Composite Non-Point Source Pollution Loads
- 3.
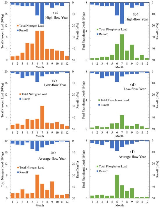
- Intra-Annual Variation in Composite Non-Point Source Pollution Loads
3.3.2. Spatial Distribution Patterns of Composite Non-Point Source Pollution
- 4.
- Spatial Distribution of Nitrogen Loads in Typical Years
- 5.
- Spatial Distribution of Phosphorus Loads in Typical Years
3.4. The Identification of Critical Source Areas for Composite Non-Point Source Pollution in the Watershed
3.5. Evaluation of Pollution Reduction Effectiveness of Control Measures
3.5.1. Evaluation of Individual BMP Effectiveness
- Agricultural Non-point Source Pollution Control Measures
- 2.
- Urban Non-point Source Pollution Control Measures
3.5.2. Evaluation of Combined BMP Effectiveness
4. Discussion
5. Conclusions
- (1)
- A composite non-point source pollution model for the Yapu Port Basin was developed using data on topography, land cover, climate, and soil properties. The model was calibrated and validated with runoff and water quality observations—specifically total nitrogen (TN) and total phosphorus (TP)—from 2022 to 2024, utilizing the SWAT-CUP software. The results indicate that the coefficients of determination (R2) for runoff, TN, and TP all exceeded 0.85, and the Nash–Sutcliffe efficiency (NSE) values were above 0.84. These metrics confirm that the model reliably replicates hydrological behavior and pollutant transport processes in the basin, making it suitable for continued application in this context.
- (2)
- The spatial and temporal dynamics of composite non-point source pollution and its contributing sources across the watershed were comprehensively assessed. Simulations using the SWAT model showed that nitrogen and phosphorus followed closely aligned spatial and seasonal distribution trends. Both pollutants displayed marked intra-annual variability, with significantly elevated loads during the wet season (June–September) compared to the dry season. Spatial analysis revealed a gradient of increasing pollution intensity from the upper to lower watershed, with the western region experiencing greater pollutant export. The most impacted zones were located downstream, predominantly occupied by agricultural land and orchards. Critical source zones were pinpointed using a unit-area pollutant load index. Total nitrogen and phosphorus outputs were classified into five categories using the natural breaks method. Sub-watersheds 37, 38, and 39 consistently ranked among the highest contributors to TN and TP loads. Though these areas represent only 23.29% of the watershed, they accounted for 36.47% of TN and 35.72% of TP export.
- (3)
- The effectiveness of various pollution control strategies in reducing composite non-point source pollution was assessed through scenario analysis. Evaluation of individual control measures indicated that practices such as fertilizer reduction in agricultural fields, the establishment of vegetative buffer zones, and the implementation of grassed swales in farmland and orchards achieved relatively high pollutant removal efficiencies, with average reduction rates exceeding 20%. Conversely, upgrading urban wastewater treatment plant discharge standards yielded limited benefits, with mean reduction rates for total nitrogen and total phosphorus remaining below 2%. Combined management strategies outperformed individual measures, enhancing the average reduction efficiencies of total nitrogen and total phosphorus by 22.18% and 22.70%, respectively. Among the various scenarios evaluated, the combined implementation of agricultural fertilizer reduction, enhancement of urban rainwater utilization, vegetative buffer zones, and grassed swales in agricultural and orchard lands resulted in the most significant pollution mitigation, achieving reduction rates of 57.91% for total nitrogen and 50.42% for total phosphorus.
6. Limitations and Future Research Directions
Supplementary Materials
Author Contributions
Funding
Data Availability Statement
Acknowledgments
Conflicts of Interest
References
- Yang, L.; Fu, H.; Zhong, C.; Zhou, J.; Ma, L. Human activities accelerated increase in vegetation in Northwest China over the three decades. Atmosphere 2023, 14, 1419. [Google Scholar] [CrossRef]
- Wang, S.T.; Bai, X.M.; Zhang, X.L.; Reis, S.; Chen, D.L.; Xu, J.M.; Gu, B.J. Urbanization can benefit agricultural production with large-scale farming in China. Nat. Food 2021, 2, 183–191. [Google Scholar] [CrossRef]
- Liang, L.W.; Wang, Z.B.; Li, J.X. The effect of urbanization on environmental pollution in rapidly developing urban agglomerations. J. Clean. Prod. 2019, 237, 117649. [Google Scholar] [CrossRef]
- Zhang, T.; Yang, Y.H.; Ni, J.P.; Xie, D.T. Best management practices for agricultural non-point source pollution in a small watershed based on the AnnAGNPS model. Soil Use Manag. 2020, 36, 45–57. [Google Scholar] [CrossRef]
- Wang, Z.H.; Zhang, S.; Peng, Y.R.; Wu, C.H.; Lv, Y.P.; Xiao, K.X.; Zhao, J.; Qian, G.R. Impact of rapid urbanization on the threshold effect in the relationship between impervious surfaces and water quality in shanghai, China. Environ. Pollut. 2020, 267, 115569. [Google Scholar] [CrossRef]
- Xue, J.Y.; Wang, Q.R.; Zhang, M.H. A review of non-point source water pollution modeling for the urban-rural transitional areas of China: Research status and prospect. Sci. Total Environ. 2022, 826, 154146. [Google Scholar] [CrossRef] [PubMed]
- Parihar, C.M.; Singh, A.K.; Jat, S.L.; Dey, A.; Nayak, H.S.; Mandal, B.N.; Saharawat, Y.S.; Jat, M.L.; Yadav, O.P. Soil quality and carbon sequestration under conservation agriculture with balanced nutrition in intensive cereal-based system. Soil Tillage Res. 2020, 202, 104653. [Google Scholar] [CrossRef]
- Wang, M.M.; Jiang, T.H.; Mao, Y.B.; Wang, F.J.; Yu, J.; Zhu, C. Current Situation of Agricultural Non-Point Source Pollution and Its Control. Water Air Soil Pollut. 2023, 234, 104653. [Google Scholar] [CrossRef]
- Wang, S.R.; Rao, P.Z.; Yang, D.W.; Tang, L.H. A Combination Model for Quantifying Non-Point Source Pollution Based on Land Use Type in a Typical Urbanized Area. Water 2020, 12, 729. [Google Scholar] [CrossRef]
- Wang, H.H.; Khayatnezhad, M.; Youssefi, N. Using an optimized soil and water assessment tool by deep belief networks to evaluate the impact of land use and climate change on water resources. Concurr. Comput. Pract. Exp. 2022, 34, e6807. [Google Scholar] [CrossRef]
- Echogdali, F.Z.; Boutaleb, S.; Taia, S.; Ouchchen, M.; Id-Belqas, M.; Kpan, R.B.; Abioui, M.; Aswathi, J.; Sajinkumar, K.S. Assessment of soil erosion risk in a semi-arid climate watershed using SWAT model: Case of Tata Basin, South-East of Morocco. Appl. Water Sci. 2022, 12, 137. [Google Scholar] [CrossRef]
- Chen, L.; Han, L.X.; Ling, H.; Wu, J.F.; Tan, J.Y.; Chen, B.; Zhang, F.X.; Liu, Z.X.; Fan, Y.B.; Zhou, M.T.; et al. Allocating Water Environmental Capacity to Meet Water Quality Control by Considering Both Point and Non-Point Source Pollution Using a Mathematical Model: Tidal River Network Case Study. Water 2019, 11, 900. [Google Scholar] [CrossRef]
- Wang, Y.P.; Jiang, R.G.; Xie, J.C.; Zhao, Y.; Yan, D.F.; Yang, S.Y. Soil and Water Assessment Tool (SWAT) Model: A Systemic Review. J. Coast. Res. 2019, 93, 22–30. [Google Scholar] [CrossRef]
- Chen, T.; Sun, F.; Yang, S.; Chen, L.; Xiong, X.; Wang, Y. Load quantification and effect evaluation of urban non-point source pollution in the Guanlan river Basin based on SWAT model. Chin. J. Environ. Eng. 2020, 14, 2866–2875. [Google Scholar]
- Ouyang, W.; Hao, F.H.; Wang, X.L.; Cheng, H.G. Nonpoint source pollution responses simulation for conversion cropland to forest in mountains by SWAT in China. Environ. Manag. 2008, 41, 79–89. [Google Scholar] [CrossRef] [PubMed]
- Tong, S.T.Y.; Liu, A.J.; Goodrich, J.A. Assessing the water quality impacts of future land-use changes in an urbanising watershed. Civ. Eng. Environ. Syst. 2009, 26, 3–18. [Google Scholar] [CrossRef]
- Zhang, S.; Zhang, L.L.; Meng, Q.Y.; Wang, C.C.; Ma, J.J.; Li, H.; Ma, K. Evaluating agricultural non-point source pollution with high-resolution remote sensing technology and SWAT model: A case study in Ningxia Yellow River Irrigation District, China. Ecol. Indic. 2024, 166, 112578. [Google Scholar] [CrossRef]
- Wang, X.; Zhang, K.; Shen, X.; Shen, F.; Guo, Y.; Shen, S. Simulation of the best management practices for agricultural non-point source pollution in the Erhai Lake Basin based on SWAT model. Chin. J. Eco-Agric. 2025, 33, 240–251. [Google Scholar] [CrossRef]
- Liu, Y.Z.; Engel, B.A.; Flanagan, D.C.; Gitau, M.W.; McMillan, S.K.; Chaubey, I. A review on effectiveness of best management practices in improving hydrology and water quality: Needs and opportunities. Sci. Total Environ. 2017, 601, 580–593. [Google Scholar] [CrossRef]
- Chang, J.; Yu Jie, Y.J.; Wang Fei’er, W.F.; Siyuan, Z. Cost-effectiveness analysis of best management practices for non-point source pollution in watersheds: A review. J. Zhejiang Univ. (Agric. Life Sci.) 2017, 43, 137–145. [Google Scholar] [CrossRef]
- Yang, J.L.; Zhang, R.; Zhang, Y.Y.; Wang, G. Study on change of non-point source nitrogen and phosphorus load in Taihu Lake Basin from 1980 to 2018. Chin. J. Environ. Prot. Sci. 2022, 48, 93–101. [Google Scholar] [CrossRef]
- Moriasi, D.N.; Arnold, J.G.; van Liew, M.W.; Bingner, R.L.; Harmel, R.D.; Veith, T.L. Model evaluation guidelines for systematic quantification of accuracy in watershed simulations. Trans. ASABE 2007, 50, 885–900. [Google Scholar] [CrossRef]
- Nash, J.E.; Sutcliffe, J.V. River flow forecasting through conceptual models part I—A discussion of principles. J. Hydrol. 1970, 10, 282–290. [Google Scholar] [CrossRef]
- Wang, M.C.; Huang, X.J.; Dong, Y.M.; Song, Y.Y.; Wang, D.Y.; Li, L.; Qi, X.X.; Lin, N.N. Spatiotemporal drivers of agricultural non-point source pollution: A case study of the Huang-Huai-Hai Plain, China. J. Environ. Manag. 2024, 370, 122606. [Google Scholar] [CrossRef]
- Hu, C.C.; Wu, Q.X.; Liu, G.D.; Ran, H.Y.; Guo, M.Z.; Zhu, J.P.; Zeng, J. Nitrogen and phosphorus non-point source pollution in the upper Wujiang River Karst Basin: Critical source areas identification and influencing factors. Ecol. Indic. 2025, 170, 112989. [Google Scholar] [CrossRef]
- Geng, R.; Zhang, P.; Pang, S.; Wang, X.; Ma, W. Impact of different climate change scenarios on non-point source pollution losses in Miyun Reservoir watershed. Trans. Chin. Soc. Agric. Eng. 2015, 31, 240–249. [Google Scholar] [CrossRef]
- Liu, X.H.; Yang, L.Y.; Liu, L.L.; Fu, W.Z.; Wu, C.H. SWAT-Based Characterization of Agricultural Area-Source Pollution in a Small Basin. Water 2025, 17, 338. [Google Scholar] [CrossRef]
- Hu, W.H.; Li, G.Y.; Meng, G.X.; Liming, X. Evaluation of non-point source pollution load in Fenhe Irrigation District based on SWAT model. J. Hydraul. Eng. 2013, 44, 1309–1316. [Google Scholar] [CrossRef]
- Aboelnour, M.A.; Tank, J.L.; Hamlet, A.F.; Bertassello, L.E.; Ren, D.; Bolster, D. A SWAT model depicts the impact of land use change on hydrology, nutrient, and sediment loads in a Lake Michigan watershed. Model. Earth Syst. Environ. 2025, 11, 22. [Google Scholar] [CrossRef]
- Tian, L.; Liu, Y.J.; Ma, Y.C.; Duan, J.; Chen, F.X.; Deng, Y.S.; Zhu, H.D.; Li, Z.W. Combined role of ground cover management in altering orchard surface-subsurface erosion and associated carbon-nitrogen-phosphorus loss. Environ. Sci. Pollut. Res. 2024, 31, 5655–5667. [Google Scholar] [CrossRef]
- Zhang, H.; Jing, Y.; Sun, X. Evolution of spatio-temporal pattern and prevention partition of TN and TP of non-point source pollution in Nansi Lake Basin. Bull Soil Water Conserv. 2018, 38, 19–26. [Google Scholar] [CrossRef]
- Zhang, X.Q.; Chen, P.; Dai, S.N.; Han, Y.H. Analysis of non-point source nitrogen pollution in watersheds based on SWAT model. Ecol. Indic. 2022, 138, 108881. [Google Scholar] [CrossRef]
- Chen, L.A.; Zhang, W.S.; Tan, J.Y.; Shao, X.H.; Qiu, Y.L.; Zhang, F.X.; Zhang, X. Nitrogen and Phosphorus Pollutants Removal from Rice Field Drainage with Ecological Agriculture Ditch: A Field Case. Phyton-Int. J. Exp. Bot. 2022, 91, 2827–2841. [Google Scholar] [CrossRef]
- Wu, S.T.; Bashir, M.A.; Raza, Q.U.; Rehim, A.; Geng, Y.C.; Cao, L. Application of riparian buffer zone in agricultural non-point source pollution control—A review. Front. Sustain. Food Syst. 2023, 7, 985870. [Google Scholar] [CrossRef]
- Line, D.E.; Jennings, G.D.; McLaughlin, R.A.; Osmond, D.L.; Harman, W.A.; Lombardo, L.A.; Tweedy, K.L.; Spooner, J. Nonpoint sources. Water Environ. Res. 1999, 71, 1054–1069. [Google Scholar] [CrossRef]
- Xia, Y.F.; Zhang, M.; Tsang, D.C.W.; Geng, N.; Lu, D.B.; Zhu, L.F.; Igalavithana, A.D.; Dissanayake, P.D.; Rinklebe, J.; Yang, X.; et al. Recent advances in control technologies for non-point source pollution with nitrogen and phosphorous from agricultural runoff: Current practices and future prospects. Appl. Biol. Chem. 2020, 63, 8. [Google Scholar] [CrossRef]
- Schoumans, O.F.; Chardon, W.J.; Bechmann, M.E.; Gascuel-Odoux, C.; Hofman, G.; Kronvang, B.; Rubæk, G.H.; Ulén, B.; Dorioz, J.M. Mitigation options to reduce phosphorus losses from the agricultural sector and improve surface water quality: A review. Sci. Total Environ. 2014, 468, 1255–1266. [Google Scholar] [CrossRef] [PubMed]
- Sansalone, J.; Raje, S.; Kertesz, R.; Maccarone, K.; Seltzer, K.; Siminari, M.; Simms, P.; Wood, B. Retrofitting impervious urban infrastructure with green technology for rainfall-runoff restoration, indirect reuse and pollution load reduction. Environ. Pollut. 2013, 183, 204–212. [Google Scholar] [CrossRef]
- Quill, L.; Ferreira, D.; Joyce, B.; Coleman, G.; Harper, C.; Martins, M.; Hodkinson, T.; Trimble, D.; Gill, L.; O’Connell, D.W. An integrated mitigation approach to diffuse agricultural water pollution—A scoping review. Front. Environ. Sci. 2024, 12, 1340565. [Google Scholar] [CrossRef]











| Data Type | Data Source | |
|---|---|---|
| Spatial data | DEM | Geospatial Data Cloud |
| Land use | National Cryosphere Desert Data Center | |
| Soil type | Institute of Soil Science, Chinese Academy of Sciences, Nanjing | |
| Attribute data | Meteorological data | On-site automatic weather station data |
| Hydrological data | Field surveys | |
| Physicochemical properties of soil | Harmonized World Soil Database (calculation by SPAW) |
| SWAT Name | Land Use Description | Proportion of Total Basin Area % |
|---|---|---|
| UTRN | Road | 1.71% |
| ORCD | Orchard | 21.89% |
| AGRL | Farmland | 54.95% |
| URLD | Residential Area | 16.42% |
| UNIS | Non-Built-Up Land | 1.60% |
| WATR | Water | 3.59% |
| Performance Rating | RE (%) | R2 | NSE |
|---|---|---|---|
| Very Good | −10 ≤ RE ≤ +10 | 0.95 ≤ R2 ≤ 1.00 | 0.75 < NSE ≤ 1.00 |
| Good | ±10 < RE≤ ±15 | 0.8 < R2 < 0.95 | 0.65 < NSE ≤ 0.75 |
| Satisfactory | ±15 < RE ≤ ±25 | 0.6 < R2 ≤ 0.8 | 0.5 < NSE ≤ 0.65 |
| Unsatisfactory | RE > 25 or RE < −25 | R2 ≤ 0.6 | NSE ≤ 0.50 |
| Simulation Period | Date | NSE | R2 | Re |
|---|---|---|---|---|
| Calibration Period | 2022–2023 | 0.86 | 0.87 | 6.33% |
| Validation Period | 2024 | 0.85 | 0.86 | 5.43% |
| Simulation Period | Date | NSE | R2 | Re | |
|---|---|---|---|---|---|
| TP | Calibration Period | 2022–2023 | 0.85 | 0.86 | 6.97% |
| Validation Period | 2024 | 0.84 | 0.85 | 1.57% | |
| TN | Calibration Period | 2022–2023 | 0.87 | 0.89 | 6.01% |
| Validation Period | 2024 | 0.85 | 0.88 | 2.83% |
| Indicators | Assignment Standard | ||||
|---|---|---|---|---|---|
| TN(kg/ha) | 2.750–3.005 | 3.005–3.513 | 3.513–4.160 | 4.160–4.544 | 4.544–5.330 |
| TP(kg/ha) | 0.306–0.356 | 0.356–0.425 | 0.425–0.509 | 0.509–0.568 | 0.568–0.661 |
| Loss intensity | Very mild | Mild | Medium | Heavy | Very heavy |
| Scenario Number | Measure Project | Parameter Adjustment |
|---|---|---|
| 7 | Farmland Fertilizer Reduction+ Vegetative Buffer Strip | Scenario Number 1+ Scenario Number 3 |
| 8 | Farmland Fertilizer Reduction+ Grassed Waterway in Farmland/Orchard | Scenario Number 1+ Scenario Number 4 |
| 9 | Farmland Fertilizer Reduction+ Improve Urban Rainwater Utilization+ Vegetative Buffer Strip | Scenario Number 1+ Scenario Number 3+ Scenario Number 5 |
| 10 | Farmland Fertilizer Reduction+ Improve Urban Rainwater Utilization+ Vegetative Buffer Strip+ Grassed Waterway in Farmland/Orchard | Scenario Number 1+ Scenario Number 3+ Scenario Number 4+ Scenario Number 5 |
Disclaimer/Publisher’s Note: The statements, opinions and data contained in all publications are solely those of the individual author(s) and contributor(s) and not of MDPI and/or the editor(s). MDPI and/or the editor(s) disclaim responsibility for any injury to people or property resulting from any ideas, methods, instructions or products referred to in the content. |
© 2025 by the authors. Licensee MDPI, Basel, Switzerland. This article is an open access article distributed under the terms and conditions of the Creative Commons Attribution (CC BY) license (https://creativecommons.org/licenses/by/4.0/).
Share and Cite
Chen, L.; Sun, Y.; Tan, J.; Zhang, W. SWAT-Based Characterization of and Control Measures for Composite Non-Point Source Pollution in Yapu Port Basin, China. Water 2025, 17, 1759. https://doi.org/10.3390/w17121759
Chen L, Sun Y, Tan J, Zhang W. SWAT-Based Characterization of and Control Measures for Composite Non-Point Source Pollution in Yapu Port Basin, China. Water. 2025; 17(12):1759. https://doi.org/10.3390/w17121759
Chicago/Turabian StyleChen, Lina, Yimiao Sun, Junyi Tan, and Wenshuo Zhang. 2025. "SWAT-Based Characterization of and Control Measures for Composite Non-Point Source Pollution in Yapu Port Basin, China" Water 17, no. 12: 1759. https://doi.org/10.3390/w17121759
APA StyleChen, L., Sun, Y., Tan, J., & Zhang, W. (2025). SWAT-Based Characterization of and Control Measures for Composite Non-Point Source Pollution in Yapu Port Basin, China. Water, 17(12), 1759. https://doi.org/10.3390/w17121759

