Quantifying Baseflow Changes Due to Irrigation Expansion Using SWAT+gwflow
Abstract
1. Introduction
2. Materials and Methods
2.1. Study Area and Dataset
2.2. Groundwater–Surface Water Model
2.3. Goodness-of-Fit Metrics and Error Model for Surface Water
2.4. Water Pumping and Irrigation Expansion Criteria
3. Results
3.1. Model Development
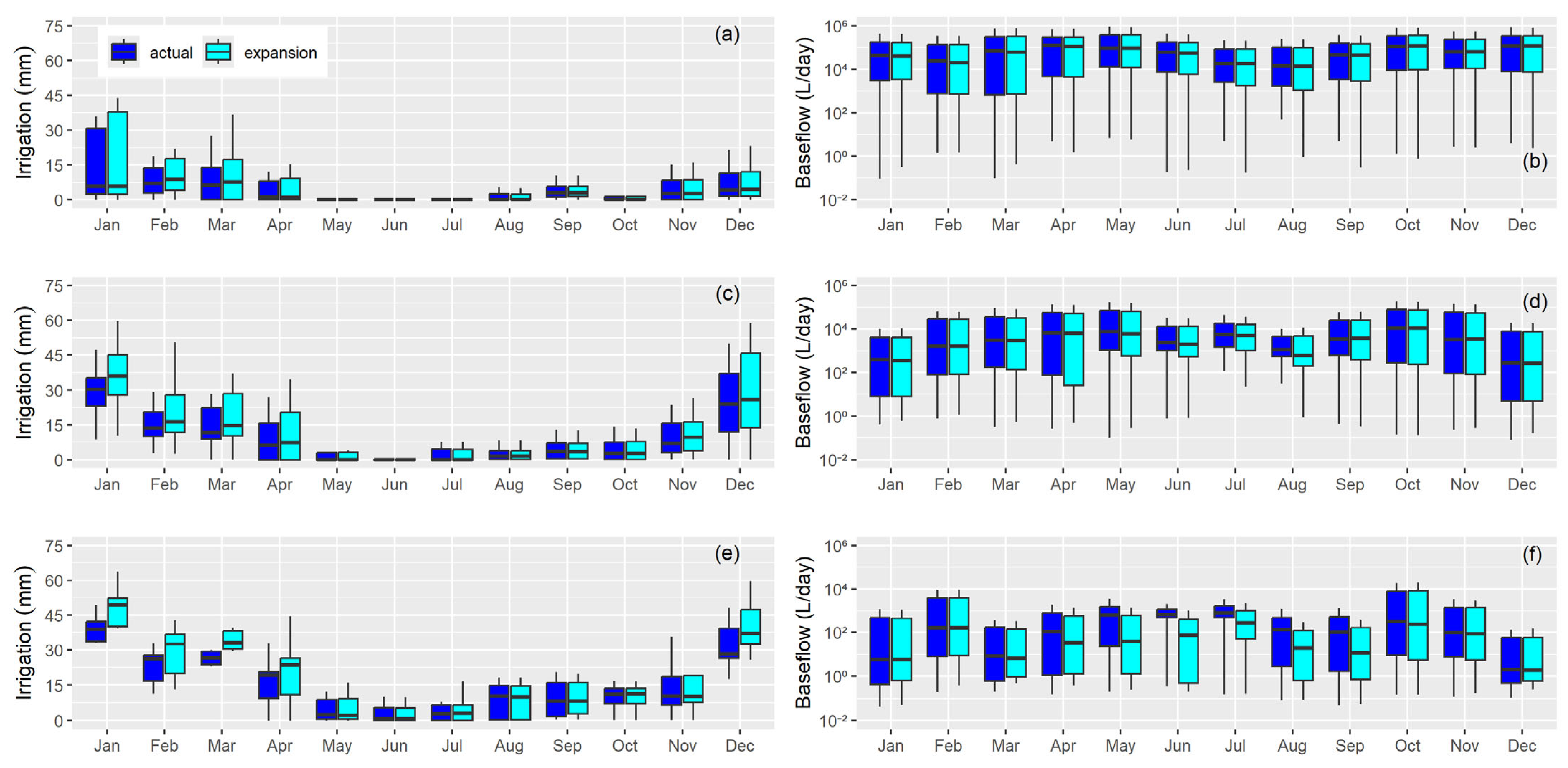
3.2. Irrigation Expansion and Aquifer Water Balance
4. Discussion
4.1. Model Performance
4.2. Assessing Irrigation Expansion
4.3. Model Limitations
4.4. Model Benefits
5. Conclusions
Supplementary Materials
Author Contributions
Funding
Data Availability Statement
Acknowledgments
Conflicts of Interest
Abbreviations
| ∆S | Ground water storage variation | 
| AGRL | Summer crops | 
| BMP | Best management practices | 
| bndr | Boundary fluxes at the watershed edge | 
| CEC | Cation exchange capacity | 
| CENUR | Centro Universitario Regional Universidad de la República | 
| EUCA | Forestry plantations | 
| FRSE | Native forest | 
| GHCP | Greenhouse horticulture | 
| GLHYMPS | Global hydrogeology maps | 
| GoF | Goodness-of-fit metrics | 
| GRAS | Grassland | 
| gw | Groundwater stations | 
| gwet | Groundwater lost through evapotranspiration | 
| GWm | Median individual of GoF | 
| GWs | Stacked computation of GoF | 
| gwsw | Groundwater discharge to streams | 
| GW-SW | Groundwater—surface water exchanges | 
| HRU | Hydrologic response units | 
| KGE | Kling–Gupta Efficiency | 
| latl | Lateral groundwater flow between cells | 
| LSWres | Streamflow logarithmic residuals | 
| MAE | Mean absolute error | 
| ME | Mean Error | 
| nRMSE | Normalized root mean square error | 
| NSE | Nash–Sutcliffe Efficiency | 
| OFCP | Open field horticulture | 
| ORAN | Citriculture land use | 
| OSF | Open Science Framework | 
| PAST | Pastures land use | 
| PBIAS | Percentage bias | 
| ppag | Pumping for agricultural irrigation | 
| Qobs | Observed streamflow | 
| Qsim | Simulated streamflow | 
| rech | Soil water percolating to groundwater | 
| RMSE | Root mean squared error | 
| satx | Saturation excess flow | 
| soil | Upward transfer to the soil zone | 
| sw | Surface water stations | 
| SWAT | Soil water assessment tool | 
| swgw | Stream seepage to groundwater | 
| URBN | Urban land use | 
References
- World Meteorological Organization. Unesco International Glossary of Hydrology = Glossaire International d’hydrologie = Mezhdunarodnyĭ Gidrologicheskiĭ Slovarʹ = Glosario Hidrológico Internacional; Secretariat of the World Meteorological Organization: Geneva, Switzerland, 2013; ISBN 978-92-3-001154-3. [Google Scholar]
 - Ketchum, D.; Hoylman, Z.H.; Huntington, J.; Brinkerhoff, D.; Jencso, K.G. Irrigation Intensification Impacts Sustainability of Streamflow in the Western United States. Commun. Earth Environ. 2023, 4, 1–8. [Google Scholar] [CrossRef]
 - Giordano, M.; Mark, F.; Namara, R.; Bassini, E. World Bank Group. 2023. Available online: https://knowledge4policy.ec.europa.eu/publication/impacts-irrigation-review-published-evidence_en (accessed on 13 March 2025).
 - Jasechko, S.; Seybold, H.; Perrone, D.; Fan, Y.; Shamsudduha, M.; Taylor, R.G.; Fallatah, O.; Kirchner, J.W. Rapid Groundwater Decline and Some Cases of Recovery in Aquifers Globally. Nature 2024, 625, 715–721. [Google Scholar] [CrossRef] [PubMed]
 - Haile, G.G.; Tang, Q.; Reda, K.W.; Baniya, B.; He, L.; Wang, Y.; Gebrechorkos, S.H. Projected Impacts of Climate Change on Global Irrigation Water Withdrawals. Agric. Water Manag. 2024, 305, 109144. [Google Scholar] [CrossRef]
 - Pérez-Blanco, C.D.; Hrast-Essenfelder, A.; Perry, C. Irrigation Technology and Water Conservation: A Review of the Theory and Evidence. Rev. Environ. Econ. Policy 2020, 14, 216–239. [Google Scholar] [CrossRef]
 - Bekele, R.D.; Mekonnen, D.; Ringler, C.; Jeuland, M. Irrigation Technologies and Management and Their Environmental Consequences: Empirical Evidence from Ethiopia. Agric. Water Manag. 2024, 302, 109003. [Google Scholar] [CrossRef]
 - Pfeiffer, L.; Lin, C.-Y.C. Does Efficient Irrigation Technology Lead to Reduced Groundwater Extraction? Empirical Evidence. J. Environ. Econ. Manag. 2014, 67, 189–208. [Google Scholar] [CrossRef]
 - Morrisett, C.N.; Van Kirk, R.W.; Bernier, L.O.; Holt, A.L.; Perel, C.B.; Null, S.E. The Irrigation Efficiency Trap: Rational Farm-Scale Decisions Can Lead to Poor Hydrologic Outcomes at the Basin Scale. Front. Environ. Sci. 2023, 11, 1188139. [Google Scholar] [CrossRef]
 - Habets, F.; Philippe, E.; Martin, E.; David, C.H.; Leseur, F. Small Farm Dams: Impact on River Flows and Sustainability in a Context of Climate Change. Hydrol. Earth Syst. Sci. 2014, 18, 4207–4222. [Google Scholar] [CrossRef]
 - Scanlon, B.R.; Faunt, C.C.; Longuevergne, L.; Reedy, R.C.; Alley, W.M.; McGuire, V.L.; McMahon, P.B. Groundwater Depletion and Sustainability of Irrigation in the US High Plains and Central Valley. Proc. Natl. Acad. Sci. USA 2012, 109, 9320–9325. [Google Scholar] [CrossRef]
 - Aderemi, B.A.; Olwal, T.O.; Ndambuki, J.M.; Rwanga, S.S. A Review of Groundwater Management Models with a Focus on IoT-Based Systems. Sustainability 2022, 14, 148. [Google Scholar] [CrossRef]
 - Ray, D.K.; Gerber, J.S.; MacDonald, G.K.; West, P.C. Climate Variation Explains a Third of Global Crop Yield Variability. Nat. Commun. 2015, 6, 5989. [Google Scholar] [CrossRef] [PubMed]
 - Knapp, T.; Huang, Q. Do Climate Factors Matter for Producers’ Irrigation Practices Decisions? J. Hydrol. 2017, 552, 81–91. [Google Scholar] [CrossRef]
 - Xue, J.; Huo, Z.; Kisekka, I. Assessing Impacts of Climate Variability and Changing Cropping Patterns on Regional Evapotranspiration, Yield and Water Productivity in California’s San Joaquin Watershed. Agric. Water Manag. 2021, 250, 106852. [Google Scholar] [CrossRef]
 - Flores Cayuela, C.M.; González Perea, R.; Camacho Poyato, E.; Montesinos, P. An ICT-Based Decision Support System for Precision Irrigation Management in Outdoor Orange and Greenhouse Tomato Crops. Agric. Water Manag. 2022, 269, 107686. [Google Scholar] [CrossRef]
 - Saggi, M.K.; Jain, S. A Survey Towards Decision Support System on Smart Irrigation Scheduling Using Machine Learning Approaches. Arch. Comput. Methods Eng. 2022, 29, 4455–4478. [Google Scholar] [CrossRef]
 - Nie, W.; Zaitchik, B.F.; Rodell, M.; Kumar, S.V.; Arsenault, K.R.; Badr, H.S. Irrigation Water Demand Sensitivity to Climate Variability Across the Contiguous United States. Water Resour. Res. 2021, 57, 2020WR027738. [Google Scholar] [CrossRef]
 - Bosch, H.J.; Gupta, J.; Verrest, H. A Water Property Right Inventory of 60 Countries. Rev. Eur. Comp. Int. Environ. Law 2021, 30, 263–274. [Google Scholar] [CrossRef]
 - Lapides, D.A.; Maitland, B.M.; Zipper, S.C.; Latzka, A.W.; Pruitt, A.; Greve, R. Advancing Environmental Flows Approaches to Streamflow Depletion Management. J. Hydrol. 2022, 607, 127447. [Google Scholar] [CrossRef]
 - Sun, Y.; Chen, X.; Yang, L. Modeling Groundwater-Fed Irrigation and Its Impact on Streamflow and Groundwater Depth in an Agricultural Area of Huaihe River Basin, China. Water 2021, 13, 2220. [Google Scholar] [CrossRef]
 - Sharma, R.; Kumar, R.; Agrawal, P.R.; Ittishree; Chankit; Gupta, G. Chapter 2—Groundwater Extractions and Climate Change. In Water Conservation in the Era of Global Climate Change; Thokchom, B., Qiu, P., Singh, P., Iyer, P.K., Eds.; Elsevier: Amsterdam, The Netherlands, 2021; pp. 23–45. ISBN 978-0-12-820200-5. [Google Scholar]
 - Ntona, M.M.; Busico, G.; Mastrocicco, M.; Kazakis, N. Modeling Groundwater and Surface Water Interaction: An Overview of Current Status and Future Challenges. Sci. Total Environ. 2022, 846, 157355. [Google Scholar] [CrossRef]
 - Norouzi Khatiri, K.; Nematollahi, B.; Hafeziyeh, S.; Niksokhan, M.H.; Nikoo, M.R.; Al-Rawas, G. Groundwater Management and Allocation Models: A Review. Water 2023, 15, 253. [Google Scholar] [CrossRef]
 - Arnold, J.G.; Srinivasan, R.; Muttiah, R.S.; Williams, J.R. Large Area Hydrologic Modeling and Assessment Part I: Model Development1. JAWRA J. Am. Water Resour. Assoc. 1998, 34, 73–89. [Google Scholar] [CrossRef]
 - Akoko, G.; Le, T.H.; Gomi, T.; Kato, T. A Review of SWAT Model Application in Africa. Water 2021, 13, 1313. [Google Scholar] [CrossRef]
 - Aloui, S.; Mazzoni, A.; Elomri, A.; Aouissi, J.; Boufekane, A.; Zghibi, A. A Review of Soil and Water Assessment Tool (SWAT) Studies of Mediterranean Catchments: Applications, Feasibility, and Future Directions. J. Environ. Manag. 2023, 326, 116799. [Google Scholar] [CrossRef] [PubMed]
 - Janjić, J.; Tadić, L. Fields of Application of SWAT Hydrological Model—A Review. Earth 2023, 4, 331–344. [Google Scholar] [CrossRef]
 - Rocha, A.K.P.; De Souza, L.S.B.; De Assunção Montenegro, A.A.; De Souza, W.M.; Da Silva, T.G.F. Revisiting the Application of the SWAT Model in Arid and Semi-Arid Regions: A Selection from 2009 to 2022. Theor. Appl. Climatol. 2023, 154, 7–27. [Google Scholar] [CrossRef]
 - Tan, M.L.; Gassman, P.W.; Srinivasan, R.; Arnold, J.G.; Yang, X. A Review of SWAT Studies in Southeast Asia: Applications, Challenges and Future Directions. Water 2019, 11, 914. [Google Scholar] [CrossRef]
 - Bailey, R.T.; Bieger, K.; Arnold, J.G.; Bosch, D.D. A New Physically-Based Spatially-Distributed Groundwater Flow Module for SWAT+. Hydrology 2020, 7, 75. [Google Scholar] [CrossRef]
 - Abbas, S.A.; Bailey, R.T.; White, J.T.; Arnold, J.G.; White, M.J.; Čerkasova, N.; Gao, J. A Framework for Parameter Estimation, Sensitivity Analysis, and Uncertainty Analysis for Holistic Hydrologic Modeling Using SWAT+. Hydrol. Earth Syst. Sci. 2024, 28, 21–48. [Google Scholar] [CrossRef]
 - Yimer, E.A.; Bailey, R.T.; Piepers, L.L.; Nossent, J.; Van Griensven, A. Improved Representation of Groundwater–Surface Water Interactions Using SWAT+gwflow and Modifications to the Gwflow Module. Water 2023, 15, 3249. [Google Scholar] [CrossRef]
 - Yimer, E.A.; Riakhi, F.-E.; Bailey, R.T.; Nossent, J.; van Griensven, A. The Impact of Extensive Agricultural Water Drainage on the Hydrology of the Kleine Nete Watershed, Belgium. Sci. Total Environ. 2023, 885, 163903. [Google Scholar] [CrossRef] [PubMed]
 - Yimer, E.A.; Bailey, R.T.; Van Schaeybroeck, B.; Van De Vyver, H.; Villani, L.; Nossent, J.; van Griensven, A. Regional Evaluation of Groundwater-Surface Water Interactions Using a Coupled Geohydrological Model (SWAT+Gwflow). J. Hydrol. Reg. Stud. 2023, 50, 101532. [Google Scholar] [CrossRef]
 - Abbas, S.A.; Bailey, R.T.; White, J.T.; Arnold, J.G.; White, M.J. Estimation of Groundwater Storage Loss Using Surface–Subsurface Hydrologic Modeling in an Irrigated Agricultural Region. Sci. Rep. 2025, 15, 8350. [Google Scholar] [CrossRef]
 - Bieger, K.; Arnold, J.G.; Rathjens, H.; White, M.J.; Bosch, D.D.; Allen, P.M.; Volk, M.; Srinivasan, R. Introduction to SWAT +, A Completely Restructured Version of the Soil and Water Assessment Tool. JAWRA J. Am. Water Resour. Assoc. 2017, 53, 115–130. [Google Scholar] [CrossRef]
 - Kim, N.W.; Chung, I.M.; Won, Y.S.; Arnold, J.G. Development and Application of the Integrated SWAT–MODFLOW Model. J. Hydrol. 2008, 356, 1–16. [Google Scholar] [CrossRef]
 - Gao, F.; Feng, G.; Han, M.; Dash, P.; Jenkins, J.; Liu, C. Assessment of Surface Water Resources in the Big Sunflower River Watershed Using Coupled SWAT–MODFLOW Model. Water 2019, 11, 528. [Google Scholar] [CrossRef]
 - Bailey, R.T.; Wible, T.C.; Arabi, M.; Records, R.M.; Ditty, J. Assessing Regional-Scale Spatio-Temporal Patterns of Groundwater–Surface Water Interactions Using a Coupled SWAT-MODFLOW Model. Hydrol. Process. 2016, 30, 4420–4433. [Google Scholar] [CrossRef]
 - Navas, R.; Erasun, V.; Banega, R.; Sapriza, G.; Saracho, A.; Gamazo, P. SanAntonioApp: Interactive Visualization and Repository of Spatially Distributed Flow Duration Curves of the San Antonio Creek—Uruguay. Agrociencia Urug. 2022, 26, e979. [Google Scholar] [CrossRef]
 - Ramos, J.; Blanco, G.; Carráz-Hernández, O.; Corbo-Camargo, F.; Rodríguez-Miranda, W.; Saracho, A.; Borrero, A.; Bessone, L.; Alvareda, E.; Gamazo, P. Geophysical Study of the Salto–Arapey Aquifer System in Salto, Uruguay. J. S. Am. Earth Sci. 2024, 146, 105071. [Google Scholar] [CrossRef]
 - Hu, X.; Eichner, J.; Gong, D.; Barreiro, M.; Kantz, H. Combined Impact of ENSO and Antarctic Oscillation on Austral Spring Precipitation in Southeastern South America (SESA). Clim. Dyn. 2023, 61, 399–412. [Google Scholar] [CrossRef]
 - Erasun, V.; Campet, H.; Vives, L.; Blanco, G.; Banega, R.; Sapriza, G.; Gaye, M.; Ramos, J.; Alvareda, E.; Gamazo, P.; et al. Modelación Del Sistema Acuífero Salto Arapey (Uruguay). Rev. Lat.-Am. Hidrogeol. 2020, 11, 68–75. [Google Scholar]
 - Navas, R.; Gelos, M. SWAT+gwflow San Antonio Basin—Uruguay. OSF, 16 May 2025. [Google Scholar] [CrossRef]
 - Peel, M.C.; Finlayson, B.L.; McMahon, T.A. Updated World Map of the Köppen-Geiger Climate Classification. Hydrol. Earth Syst. Sci. 2007, 11, 1633–1644. [Google Scholar] [CrossRef]
 - MGAP. Mapa Integrado de Cobertura/uso del Suelo del Uruguay año 2018. Available online: https://www.gub.uy/ministerio-ganaderia-agricultura-pesca/comunicacion/publicaciones/mapa-integrado-coberturauso-del-suelo-del-uruguay-ano-2018 (accessed on 25 January 2025).
 - RENARE. Mapa General de Suelos Del Uruguay, Según Soil Taxonomy USDA. Available online: https://visualizador.ide.uy/geonetwork/srv/api/records/1335f1c8-65eb-46df-8fba-9310a338e692 (accessed on 10 August 2021).
 - Blanco, G.; Abre, P.; Ferrizo, H.; Gaye, M.; Gamazo, P.; Ramos, J.; Alvareda, E.; Saracho, A. Revealing Weathering, Diagenetic and Provenance Evolution Using Petrography and Geochemistry: A Case of Study from the Cretaceous to Cenozoic Sedimentary Record of the SE Chaco-Paraná Basin in Uruguay. J. S. Am. Earth Sci. 2021, 105, 102974. [Google Scholar] [CrossRef]
 - Huscroft, J.; Gleeson, T.; Hartmann, J.; Börker, J. Compiling and Mapping Global Permeability of the Unconsolidated and Consolidated Earth: GLobal HYdrogeology MaPS 2.0 (GLHYMPS 2.0). Geophys. Res. Lett. 2018, 45, 1897–1904. [Google Scholar] [CrossRef]
 - Hengl, T.; Mendes De Jesus, J.; Heuvelink, G.B.M.; Ruiperez Gonzalez, M.; Kilibarda, M.; Blagotić, A.; Shangguan, W.; Wright, M.N.; Geng, X.; Bauer-Marschallinger, B.; et al. SoilGrids250m: Global Gridded Soil Information Based on Machine Learning. PLoS ONE 2017, 12, e0169748. [Google Scholar] [CrossRef] [PubMed]
 - SWAT+ Development Team Gwflow Module for SWAT+. Available online: https://swat.tamu.edu/software/plus/gwflow/ (accessed on 28 April 2025).
 - Gupta, H.V.; Kling, H.; Yilmaz, K.K.; Martinez, G.F. Decomposition of the Mean Squared Error and NSE Performance Criteria: Implications for Improving Hydrological Modelling. J. Hydrol. 2009, 377, 80–91. [Google Scholar] [CrossRef]
 - Althoff, D.; Rodrigues, L.N. Goodness-of-Fit Criteria for Hydrological Models: Model Calibration and Performance Assessment. J. Hydrol. 2021, 600, 126674. [Google Scholar] [CrossRef]
 - SWAT+ Development Team Introduction to SWAT+ | SWAT+ Documentation. Available online: https://swatplus.gitbook.io/io-docs (accessed on 28 April 2025).
 - Kang, T.; Lee, S.; Lee, N.; Jin, Y. Baseflow Separation Using the Digital Filter Method: Review and Sensitivity Analysis. Water 2022, 14, 485. [Google Scholar] [CrossRef]
 - Samsonov, T. Grwat: River Hydrograph Separation and Analysis 2022, Version 0.0.4; Available online: https://CRAN.R-project.org/package=grwat (accessed on 28 April 2025). [CrossRef]
 - Nash, J.E.; Sutcliffe, J.V. River Flow Forecasting through Conceptual Models Part I—A Discussion of Principles. J. Hydrol. 1970, 10, 282–290. [Google Scholar] [CrossRef]
 - Smith, T.; Marshall, L.; Sharma, A. Modeling Residual Hydrologic Errors with Bayesian Inference. J. Hydrol. 2015, 528, 29–37. [Google Scholar] [CrossRef]
 - Navas, R.; Alonso, J.; Gorgoglione, A.; Vervoort, R.W. Identifying Climate and Human Impact Trends in Streamflow: A Case Study in Uruguay. Water 2019, 11, 1433. [Google Scholar] [CrossRef]
 - Navas, R.; Gamazo, P.; Vervoort, R.W. Bayesian Inference of Synthetic Daily Rating Curves by Coupling Chebyshev Polynomials and the GR4J Model. In Proceedings of the IAHS, Montpellier, France, 29 May–3 June 2022; Copernicus GmbH: Göttingen, Germany, 2024; Volume 385, pp. 399–406. [Google Scholar]
 - Bailey, R.T.; Bieger, K.; Flores, L.; Tomer, M. Evaluating the Contribution of Subsurface Drainage to Watershed Water Yield Using SWAT+ with Groundwater Modeling. Sci. Total Environ. 2022, 802, 149962. [Google Scholar] [CrossRef]
 - Han, H.; Morrison, R.R. Improved Runoff Forecasting Performance through Error Predictions Using a Deep-Learning Approach. J. Hydrol. 2022, 608, 127653. [Google Scholar] [CrossRef]
 - Renard, B.; Kavetski, D.; Kuczera, G.; Thyer, M.; Franks, S.W. Understanding Predictive Uncertainty in Hydrologic Modeling: The Challenge of Identifying Input and Structural Errors. Water Resour. Res. 2010, 46, W05521. [Google Scholar] [CrossRef]
 - Lan, T.; Lin, K.; Xu, C.-Y.; Tan, X.; Chen, X. Dynamics of Hydrological-Model Parameters: Mechanisms, Problems and Solutions. Hydrol. Earth Syst. Sci. 2020, 24, 1347–1366. [Google Scholar] [CrossRef]
 - Moriasi, D.N.; Arnold, J.G.; Van Liew, M.W.; Bingner, R.L.; Harmel, R.D.; Veith, T.L. Model Evaluation Guidelines for Systematic Quantification of Accuracy in Watershed Simulations. Trans. ASABE 2007, 50, 885–900. [Google Scholar] [CrossRef]
 - Ziarh, G.F.; Kim, J.H.; Song, J.Y.; Chung, E.-S. Quantifying Uncertainty in Runoff Simulation According to Multiple Evaluation Metrics and Varying Calibration Data Length. Water 2024, 16, 517. [Google Scholar] [CrossRef]
 - Mockler, E.M.; Chun, K.P.; Sapriza-Azuri, G.; Bruen, M.; Wheater, H.S. Assessing the Relative Importance of Parameter and Forcing Uncertainty and Their Interactions in Conceptual Hydrological Model Simulations. Adv. Water Resour. 2016, 97, 299–313. [Google Scholar] [CrossRef]
 - Navas, R.; Delrieu, G. Distributed Hydrological Modeling of Floods in the Cévennes-Vivarais Region, France: Impact of Uncertainties Related to Precipitation Estimation and Model Parameterization. J. Hydrol. 2018, 565, 276–288. [Google Scholar] [CrossRef]
 - Shen, H.; Tolson, B.A.; Mai, J. Time to Update the Split-Sample Approach in Hydrological Model Calibration. Water Resour. Res. 2022, 58, e2021WR031523. [Google Scholar] [CrossRef]
 - Wi, S.; Yang, Y.C.E.; Steinschneider, S.; Khalil, A.; Brown, C.M. Calibration Approaches for Distributed Hydrologic Models Using High Performance Computing: Implication for Streamflow Projections under Climate Change. Hydrol. Earth Syst. Sci. Discuss. 2014, 11, 10273–10317. [Google Scholar]
 - Thomas, B.F.; Vogel, R.M.; Famiglietti, J.S. Objective Hydrograph Baseflow Recession Analysis. J. Hydrol. 2015, 525, 102–112. [Google Scholar] [CrossRef]
 - Westerberg, I.K.; Guerrero, J.-L.; Younger, P.M.; Beven, K.J.; Seibert, J.; Halldin, S.; Freer, J.E.; Xu, C.-Y. Calibration of Hydrological Models Using Flow-Duration Curves. Hydrol. Earth Syst. Sci. 2011, 15, 2205–2227. [Google Scholar] [CrossRef]
 - Vermeulen, P.T.M.; te Stroet, C.B.M.; Heemink, A.W. Limitations to Upscaling of Groundwater Flow Models Dominated by Surface Water Interaction. Water Resour. Res. 2006, 42, W10406. [Google Scholar] [CrossRef]
 - Wan, W.; Döll, P.; Müller Schmied, H. Global-Scale Groundwater Recharge Modeling Is Improved by Tuning Against Ground-Based Estimates for Karst and Non-Karst Areas. Water Resour. Res. 2024, 60, e2023WR036182. [Google Scholar] [CrossRef]
 - Schulz, E.Y.; Morrison, R.R.; Bailey, R.T.; Raffae, M.; Arnold, J.G.; White, M.J. River Corridor Beads Are Important Areas of Floodplain-groundwater Exchange within the Colorado River Headwaters Watershed. Hydrol. Process. 2024, 38, e15282. [Google Scholar] [CrossRef]
 - Tuladhar, A.; Bailey, R.T.; Abbas, S.A.; Shanmugam, M.S.; Arnold, J.G.; White, M.J. Quantifying the Impact of Climate Change and Land Use Change on Surface-Subsurface Nutrient Dynamics in a Chesapeake Bay Watershed System. J. Environ. Manag. 2025, 380, 125101. [Google Scholar] [CrossRef]
 - Castellanos-Osorio, G.; Abbas, S.A.; Molina-Navarro, E.; Bailey, R.T.; Senent-Aparicio, J. Assessing Improvements in Environmental Flow Estimation through the Use of a Coupled Surface-Groundwater Model. Groundw. Sustain. Dev. 2025, 29, 101426. [Google Scholar] [CrossRef]
 - Abbas, S.A.; Bailey, R.T.; Arnold, J.G.; White, M.J.; Mirchi, A. Modeling Agro-Hydrological Surface-Subsurface Processes in a Semi-Arid, Intensively Irrigated River Basin. J. Hydrol. Reg. Stud. 2025, 57, 102188. [Google Scholar] [CrossRef]
 - Bailey, R.T.; Abbas, S.; Arnold, J.G.; White, M.J. Assessing Selenium Fate and Transport in a Semi-Arid River Basin with and without Human Influence. Water Res. 2025, 277, 123335. [Google Scholar] [CrossRef]
 - Abbas, S.A.; Bailey, R.T.; White, J.T.; Arnold, J.G.; White, M.J. Quantifying the Role of Calibration Strategies on Surface-Subsurface Hydrologic Model Performance. Hydrol. Process. 2024, 38, e15298. [Google Scholar] [CrossRef]
 - Kazakis, N.; Karakatsanis, D.; Ntona, M.M.; Polydoropoulos, K.; Zavridou, E.; Voudouri, K.A.; Busico, G.; Kalaitzidou, K.; Patsialis, T.; Perdikaki, M.; et al. Groundwater Depletion. Are Environmentally Friendly Energy Recharge Dams a Solution? Water 2024, 16, 1541. [Google Scholar] [CrossRef]
 - Brutsaert, W. Long-Term Groundwater Storage Trends Estimated from Streamflow Records: Climatic Perspective. Water Resour. Res. 2008, 44, W02409. [Google Scholar] [CrossRef]
 - Sophocleous, M. Interactions between Groundwater and Surface Water: The State of the Science. Hydrogeol. J. 2002, 10, 52–67. [Google Scholar] [CrossRef]
 - Saracho, A.; Navas, R.; Gamazo, P.; Alvareda, E. Assessing Impacts of Irrigation on Flows Frequency Downstream of an Irrigated Agricultural System by the SWAT Model. In Proceedings of the IAHS, Montpellier, France, 29 May–3 June 2022; Copernicus GmbH: Göttingen, Germany, 2024; Volume 385, pp. 423–427. [Google Scholar]
 - Tulip, S.S.; Siddik, M.S.; Islam, M.N.; Rahman, A.; Torabi Haghighi, A.; Mustafa, S.M.T. The Impact of Irrigation Return Flow on Seasonal Groundwater Recharge in Northwestern Bangladesh. Agric. Water Manag. 2022, 266, 107593. [Google Scholar] [CrossRef]
 - Li, W.; Wang, L.; Zhang, Y.; Wu, L.; Zeng, L.; Tuo, Z. Determining the Groundwater Basin and Surface Watershed Boundary of Dalinuoer Lake in the Middle of Inner Mongolian Plateau, China and Its Impacts on the Ecological Environment. China Geol. 2021, 4, 498–508. [Google Scholar] [CrossRef]
 - Pinardi, M.; Soana, E.; Severini, E.; Racchetti, E.; Celico, F.; Bartoli, M. Agricultural Practices Regulate the Seasonality of Groundwater-River Nitrogen Exchanges. Agric. Water Manag. 2022, 273, 107904. [Google Scholar] [CrossRef]
 - DINAGUA Solicitud de Derechos de Uso de Agua | Trámites. Available online: https://www.gub.uy/tramites/solicitud-derechos-uso-agua (accessed on 27 April 2025).
 - Monir, M.M.; Sarker, S.C.; Islam, A.R.M.T. A Critical Review on Groundwater Level Depletion Monitoring Based on GIS and Data-Driven Models: Global Perspectives and Future Challenges. HydroResearch 2024, 7, 285–300. [Google Scholar] [CrossRef]
 - Schreiner-McGraw, A.P.; Ajami, H. Delayed Response of Groundwater to Multi-Year Meteorological Droughts in the Absence of Anthropogenic Management. J. Hydrol. 2021, 603, 126917. [Google Scholar] [CrossRef]
 - Mukherjee, A.; Bhanja, S.N.; Wada, Y. Groundwater Depletion Causing Reduction of Baseflow Triggering Ganges River Summer Drying. Sci. Rep. 2018, 8, 12049. [Google Scholar] [CrossRef]
 - Scanlon, B.R.; Pool, D.R.; Rateb, A.; Conway, B.; Sorensen, K.; Udall, B.; Reedy, R.C. Multidecadal Drought Impacts on the Lower Colorado Basin with Implications for Future Management. Commun. Earth Environ. 2025, 6, 1–13. [Google Scholar] [CrossRef]
 - Gutiérrez-Jurado, K.Y.; Partington, D.; Batelaan, O.; Cook, P.; Shanafield, M. What Triggers Streamflow for Intermittent Rivers and Ephemeral Streams in Low-Gradient Catchments in Mediterranean Climates. Water Resour. Res. 2019, 55, 9926–9946. [Google Scholar] [CrossRef]
 - Nabih, S.; Tzoraki, O.; Zanis, P.; Tsikerdekis, T.; Akritidis, D.; Kontogeorgos, I.; Benaabidate, L. Alteration of the Ecohydrological Status of the Intermittent Flow Rivers and Ephemeral Streams Due to the Climate Change Impact (Case Study: Tsiknias River). Hydrology 2021, 8, 43. [Google Scholar] [CrossRef]
 - Cai, J.; Su, Y.; Shen, H.; Huang, Y. Simulation of Groundwater Flow in Fractured-Karst Aquifer with a Coupled Model in Maling Reservoir, China. Appl. Sci. 2021, 11, 1888. [Google Scholar] [CrossRef]
 - Arnold, J.G.; Youssef, M.A.; Yen, H.; White, M.J.; Sheshukov, A.Y.; Sadeghi, A.M.; Moriasi, D.N.; Steiner, J.L.; Amatya, D.; Skaggs, R.W.; et al. Hydrological Processes and Model Representation: Impact of Soft Data on Calibration. Am. Soc. Agric. Biololgical Eng. 2015, 58, 1637–1660. [Google Scholar] [CrossRef]
 - Brochet, E.; Grusson, Y.; Sauvage, S.; Lhuissier, L.; Demarez, V. How to Account for Irrigation Withdrawals in a Watershed Model. Hydrol. Earth Syst. Sci. 2024, 28, 49–64. [Google Scholar] [CrossRef]
 - Meyer, R.; Greskowiak, J.; Seibert, S.L.; Post, V.E.; Massmann, G. Effects of Boundary Conditions and Aquifer Parameters on Salinity Distribution and Mixing-Controlled Reactions in High-Energy Beach Aquifers. Hydrol. Earth Syst. Sci. 2025, 29, 1469–1482. [Google Scholar] [CrossRef]
 - Gaiolini, M.; Colombani, N.; Busico, G.; Rama, F.; Mastrocicco, M. Impact of Boundary Conditions Dynamics on Groundwater Budget in the Campania Region (Italy). Water 2022, 14, 2462. [Google Scholar] [CrossRef]
 - Condon, L.E.; Kollet, S.; Bierkens, M.F.P.; Fogg, G.E.; Maxwell, R.M.; Hill, M.C.; Fransen, H.H.; Verhoef, A.; Van Loon, A.F.; Sulis, M.; et al. Global Groundwater Modeling and Monitoring: Opportunities and Challenges. Water Resour. Res. 2021, 57, e2020WR029500. [Google Scholar] [CrossRef]
 - Zhao, B.; Mao, J.; Dai, Q.; Han, D.; Dai, H.; Rong, G. Exploration on Hydrological Model Calibration by Considering the Hydro-Meteorological Variability. Hydrol. Res. 2019, 51, 30–46. [Google Scholar] [CrossRef]
 - Yang, W.; Xia, R.; Chen, H.; Wang, M.; Xu, C.-Y. The Impact of Calibration Conditions on the Transferability of Conceptual Hydrological Models under Stationary and Nonstationary Climatic Conditions. J. Hydrol. 2022, 613, 128310. [Google Scholar] [CrossRef]
 - de Lavenne, A.; Andréassian, V.; Crochemore, L.; Lindström, G.; Arheimer, B. Quantifying Multi-Year Hydrological Memory with Catchment Forgetting Curves. Hydrol. Earth Syst. Sci. 2022, 26, 2715–2732. [Google Scholar] [CrossRef]
 - Chaves, H.M.L.; Lorena, D.R. Assessing Reservoir Reliability Using Classical and Long-Memory Statistics. J. Hydrol. Reg. Stud. 2019, 26, 100641. [Google Scholar] [CrossRef]
 - Ahmed, W.; Ahmed, S.; Punthakey, J.F.; Dars, G.H.; Ejaz, M.S.; Qureshi, A.L.; Mitchell, M. Statistical Analysis of Climate Trends and Impacts on Groundwater Sustainability in the Lower Indus Basin. Sustainability 2024, 16, 441. [Google Scholar] [CrossRef]
 - Souto, A.; Carriquiry, M.; Rosas, F. An Integrated Assessment Model of the Impacts of Agricultural Intensification: Trade-offs between Economic Benefits and Water Quality under Uncertainty. Aust. J. Agric. Resour. Econ. 2024, 68, 315–334. [Google Scholar] [CrossRef]
 







| Parameter | Description | File | Range | Type of Change | Best Fit | 
|---|---|---|---|---|---|
| cn | Curve number compensation factor for soil group A, B, C and D [-] | cntable.lum | 0.9–1.1 | multiplicative | 0.937 | 
| soil_k | Saturated hydraulic conductivity of soil | soil.sol | 0.7–1.3 | multiplicative | 1.07 | 
| dp | Depth of the soil profile | 0.7–1.3 | multiplicative | 1.08 | |
| epco | Plant uptake compensation factor | hydrology.hyd | 0.01–1 | substitutive | 0.92 | 
| esco | Soil evaporation compensation factor | 0.01–1 | substitutive | 0.103 | |
| perco | Percolation coefficient | 0–1 | substitutive | 0.568 | |
| latq_co | Lateral flow coefficient | 0.01–0.99 | substitutive | 0.265 | |
| surq_lag | Surface runoff lag coefficient | parameter.bsn | 1–24 | substitutive | 2.03 | 
| Parameter | Description | File | Range | Type of Change | Best Fit | 
|---|---|---|---|---|---|
| specific yield | Usable water released from an aquifer per unit volume when drained by gravity [-] | gwflow.input | 0.2–0.35 | substitutive | 0.35 | 
| aquhydracond | Aquifer hydraulic conductivity factor [-] | 0.5–1.95 | multiplicative | 1.63 | |
| sbedhydracond | Stream bed hydraulic conductivity [m/d] | 0.1–50 | substitutive | 1.48 | |
| sbedthick | Stream bed thickness [m] | 0.5–2 | substitutive | 1.94 | |
| w_stress_oran | Water stress for irrigated citriculture [-] | lum.dtl | 0.5–1 | substitutive | 0.51 | 
| w_stress_ofcp | Water stress for open field horticulture [-] | 0.5–1 | substitutive | 0.85 | |
| w_stress_ghcp | Water stress for greenhouse horticulture [-] | 0.5–1 | substitutive | 0.57 | 
| Phase | GoF | Phase I | Phase II | ||||
|---|---|---|---|---|---|---|---|
| Qt | Qb | GW | Qt | Qb | GW | ||
| Calibration | KGE | 0.69 | 0.43 | −0.26 | 0.72 | 0.46 | −0.41 | 
| NSE | 0.56 | −0.34 | −15.7 | 0.59 | −0.04 | −15.0 | |
| PBIAS | 14.9 | −15.5 | −6.9 | 15.9 | 16.3 | −4.8 | |
| nRMSE | 65.9 | 115 | 407 | 63.9 | 103 | 399 | |
| MAE | 0.97 | 0.22 | 1.48 | 0.86 | 0.19 | 1.68 | |
| ME | 0.18 | −0.06 | −2.96 | 0.19 | 0.05 | −1.67 | |
| Validation | KGE | 0.68 | 0.60 | −2.27 | 0.74 | 0.56 | −0.33 | 
| NSE | 0.49 | 0.50 | −4331 | 0.53 | 0.63 | −3116 | |
| PBIAS | 15.7 | 23.9 | −9.7 | 9.8 | 37.0 | 0.6 | |
| nRMSE | 65.9 | 115 | 4733 | 63.9 | 103.5 | 4684 | |
| MAE | 1.12 | 0.18 | 5.05 | 0.99 | 0.14 | 5.97 | |
| ME | 0.23 | 0.07 | −4.95 | 0.14 | 0.11 | −2.14 | |
| Overall | KGE | 0.69 | 0.66 | −0.24 | 0.73 | 0.67 | −0.41 | 
| NSE | 0.54 | 0.29 | −52.23 | 0.57 | 0.35 | −35.92 | |
| PBIAS | 15.3 | −5.2 | −6.9 | 13.3 | 20.8 | −4.8 | |
| nRMSE | 67.7 | 84.4 | 679 | 65.4 | 80.7 | 583 | |
| MAE | 1.03 | 0.20 | 2.96 | 0.91 | 0.16 | 2.55 | |
| ME | 0.20 | −0.03 | −2.96 | 0.17 | 0.06 | −1.67 | |
| Inflows (mm) | Outflows (mm) | ∆S (mm) | ||||||||
|---|---|---|---|---|---|---|---|---|---|---|
| rech | swgw | bndr | gwet | gwsw | satx | soil | ppag | latl | ||
| Actual | 316 | 42,904 | 2923 | −2.32 | −1171 | −17,869 | −23,331 | −3446 | 0 | 324 | 
| Expansion | 315 | 42,712 | 3148 | −2.16 | −1165 | −17,743 | −22,940 | −4083 | 0 | 241 | 
| Difference | −0.32% | −0.45% | 7.15% | −7.41% | −0.51% | −0.71% | −1.70% | 15.6% | - | −66 * | 
| Actual | Expansion | |||
|---|---|---|---|---|
| Land Use | Irrigation (mm/yr) | Water Allocation (%) | Irrigation (mm/yr) | Water Allocation (%) | 
| GHCP | 3.7 | 2.7 | 3.5 | 2.1 | 
| OFCP | 22.5 | 16.3 | 21.0 | 12.9 | 
| ORAN | 111.7 | 81.0 | 138.8 | 85.0 | 
| Total | 137.9 | 163.3 | ||
| Study | ∆t | Catchment Area (km2) | Grid Size | Goodness-of-Fit  Surface Water  | Goodness-of-Fit  Groundwater  | 
|---|---|---|---|---|---|
| Little River (USA) [31] | d | 327 | 200 | 8 stations, NSE (−0.37 to 0.51) | 8 wells, MAE (0.4 to 3.0) | 
| Dijle (Belgium) [33] | d | 893 | 200 | NSE (0.5), PBIAS (−0.9) | not reported | 
| Winnebago, Nanticoke, Arkansas, Cache (USA) [32] | m | 1787 to 7940 | 500 | 10 stations, NSE (0.72 to 0.91), KGE (0.80 to 0.91), R2 (0.79 to 0.93), PBIAS (−6.9 to 23.1) | 128 wells, ME * (−3.6 to 3.2) | 
| Scheldt (France, Netherlands, Germany) [35] | d | 510 to 5817 | 200 and 500 | NSE (0.46 to 0.87) | not reported | 
| Iowa (USA) [62] | d | 583 | 100 | NSE (0.86) | 4 wells, MAE (1.54) | 
| Klein Nete (Belgium) [35] | d | 552 | 200 | NSE (0.86 to 0.91), PBIAS (−2.1 to 9.9) | 7 wells, MAE (0.13 to 1.57), RMSE (0.16 to 1.75) | 
| Colorado (USA) [76] | m | 7516 | 250 | 2 stations, NSE (0.6 to 0.76), KGE (0.68 to 0.69), PBIAS (16 to 21), RMSE (21.2 to 31.7) | not reported | 
| Nanticoke River (USA) [77] | m | 2173 | 500 | 2 stations, NSE (0.72 to 0.79), KGE (0.83 to 0.86), PBIAS (5.4 to 10.8) | 26 wells, MAE (1.1) | 
| Mississippi (USA) [36] | m | 2121 to 8210 | 500 | 2 stations, NSE (0.59 to 0.91), KGE (0.61 to 0.93), PBIAS (5.7 to 24.4) | 1155 wells, ME * (−1.99 to 1.5) | 
| Tagus River (Spain) [78] | d | 3274 | 500 | 3 stations, NSE (0.59 to 0.86), KGE (0.5 to 0.8), PBIAS (0, 17) | not reported | 
| Arkansas (USA) [79] | m | 1839 to 64,000 | 500 | 24 stations NSE (0.53 to 0.94), PBIAS (−23.7 to 39.9), R2(0.57 to 0.95) | ME (−2.0 to 2.1) | 
| Arkansas (USA) [80] | m | 1874 to 5970 | 500 | 7 stations NSE (0.24 to 0.97) | 76 wells ME * (−2.0 to 2.1) | 
| Winnebago (USA) [81] | m | 1787 to 2141 | 500 | 2 stations, NSE (0.74 to 0.93), KGE (0.68 to 0.91), PBIAS (−0.6 to 11.7) | 7 + 26 wells, ME (−3.0 to 2.1) | 
| San Antonio (Uruguay) Present study  | d | 225 | 100 | 1 station NSE (0.59), KGE (0.72), PBIAS (15.9) | 8 wells, MAE (0.17 to 8.11), ME(−8.11 to 3.83) | 
Disclaimer/Publisher’s Note: The statements, opinions and data contained in all publications are solely those of the individual author(s) and contributor(s) and not of MDPI and/or the editor(s). MDPI and/or the editor(s) disclaim responsibility for any injury to people or property resulting from any ideas, methods, instructions or products referred to in the content.  | 
© 2025 by the authors. Licensee MDPI, Basel, Switzerland. This article is an open access article distributed under the terms and conditions of the Creative Commons Attribution (CC BY) license (https://creativecommons.org/licenses/by/4.0/).
Share and Cite
Navas, R.; Gelós, M.; Bailey, R. Quantifying Baseflow Changes Due to Irrigation Expansion Using SWAT+gwflow. Water 2025, 17, 1680. https://doi.org/10.3390/w17111680
Navas R, Gelós M, Bailey R. Quantifying Baseflow Changes Due to Irrigation Expansion Using SWAT+gwflow. Water. 2025; 17(11):1680. https://doi.org/10.3390/w17111680
Chicago/Turabian StyleNavas, Rafael, Mercedes Gelós, and Ryan Bailey. 2025. "Quantifying Baseflow Changes Due to Irrigation Expansion Using SWAT+gwflow" Water 17, no. 11: 1680. https://doi.org/10.3390/w17111680
APA StyleNavas, R., Gelós, M., & Bailey, R. (2025). Quantifying Baseflow Changes Due to Irrigation Expansion Using SWAT+gwflow. Water, 17(11), 1680. https://doi.org/10.3390/w17111680
        
