Research on the Failure Mechanism and Treatment Technology of Landslides in Typical Accumulation Bodies Along Highways in Qinghai Province
Abstract
1. Introduction
2. Materials and Methods
2.1. Strength Reduction Method
2.2. Principle of Fluid–Solid Coupling
3. Geological and Environmental Conditions in the Study Area
4. Causes of Destabilization of Highway Landslides on Stacks
4.1. Analysis of Pre-Landslide Monitoring Data
4.2. H1 Landslide Formation Mechanisms
- (1)
- The landslide event occurred under specific geological structural and topographic conditions, manifesting as the displacement of the soil mass from the top left to the bottom right, with a displacement distance of approximately 2 m. The thickness of the sliding soil mass reached 10 m, significantly altering the original landform and posing a potential threat to the surrounding environment and facilities.
- (2)
- Exploration after the landslide revealed that the sliding surface is mainly located within the silty clay layer with a slope of approximately 20 degrees. The silty clay layer is overlain by a layer containing silt and medium sand, which exhibits low cohesion (5 kPa) and a high internal friction angle (26 degrees) in terms of its physical and mechanical properties. Below the sliding surface, the silty clay layer has high cohesion (24 kPa) and a slightly lower internal friction angle (22 degrees). This difference in soil layer properties played an important role in the occurrence and development of the landslide.
- (3)
- Recent heavy rainfall in the construction area, combined with field observations and construction records, indicated that the main cause of the landslide was the large-scale vertical excavation during construction. This excavation occurred after the heavy rainfall. This excavation method weakened the support of the soil mass at the slope toe, reducing the sliding resistance. In this landslide, the reduction in sliding resistance caused by excavation at the slope toe allowed the originally stable soil mass to slide under the action of gravity. This discovery not only reveals the causal mechanism of the landslide but also provides a scientific basis for formulating targeted prevention and control measures in the future.
5. Research on the Development and Evolution Characteristics of Landslides and Disposal Measures
5.1. Basic Characteristics and Spatial Patterns of Landslides
5.2. Landslide Management Program
- (1)
- For the treatment of the landslide, a graded slope-cutting method was adopted. The total excavation area for the entire slope-cutting project reached 116,554 m2, generating a total earthwork volume of 1.47 × 106 m3. Field soil tests revealed that the unloaded soil has a high natural water content, low CBR value, and exhibits certain expansive properties.
- (2)
- After slope cutting and load reduction for the landslide, a high and steep overhanging surface was formed at the rear edge. Considering that the rear edge of the landslide is composed of an old alluvial fan prone to creep and sliding down along the formed scarp, to prevent large-scale damage to the slope after slope cutting caused by creep deformation of the old alluvial fan at the rear edge, a row of pile wall was implemented at the rear part of the H1 landslide (approximately 42 m south of the rear edge of the landslide), with a total of 12 anti-slide piles installed.
6. Stability Analysis of the Slope of the Pile
6.1. Finite Element Modeling
6.2. Analysis of Natural Working Conditions on the Slopes of Stockpiles
6.3. Analysis of Pile Slope Disposal
6.3.1. First Disposal
6.3.2. Second Disposal
6.3.3. Post-Disposal Monitoring and Analysis of Stockpile Slopes
6.4. Comparison of Rainfall Conditions Before and After Pile Slope Disposal
6.4.1. Before Disposal of the Slope of the Pile
6.4.2. After Disposal of Pile Slopes
7. Conclusions
- (1)
- The H1 landslide is located close to the northern side of the under-construction Jiaxi Highway, characterized by complex terrain and jointly influenced by natural and anthropogenic factors. It exhibits an irregular “tongue-shaped” planform and a convex profile. The landslide is of medium scale and belongs to a retrogressive type, with clear boundaries and severe deformation and damage on the slope surface. Multiple tensile and bulging cracks have formed, along with distinct features such as a landslide rear wall, armchair-shaped tensile cracks, tension troughs, scratch marks, and abrupt steps at the front edge. The shear outlet at the front edge of the landslide is located at the excavated steep slope of the highway, posing a serious threat to the under-construction highway.
- (2)
- In the absence of timely treatment and protective measures, and under relatively dry conditions, the slope safety factor of the landslide area at the 1-1′ profile is 1.26, indicating a certain degree of stability in ideal circumstances. The displacement characteristics of the 1-1′ profile show a maximum displacement of 1960 mm near the slope crest, as well as significant plastic deformation within the landslide deposit, indicating significant changes in slope stability and the risk of secondary landslides.
- (3)
- After preliminary remediation measures, the safety factor of the landslide deposit increases to 1.83, with the maximum displacement controlled at 36.9 mm. The distribution of plastic zones indicates that the deposit is stable and there is no risk of landslides. After secondary remediation, the safety factor further increases to 2.36, with the maximum displacement at the slope crest being only 37.0 mm. The landslide deposit is safe and stable, and the remediation effect is significant. Continuous monitoring data after slope remediation show that the cumulative maximum displacement is only 50.0 mm over six months, indicating that the treated slope of the deposit is in a stable operating state.
- (4)
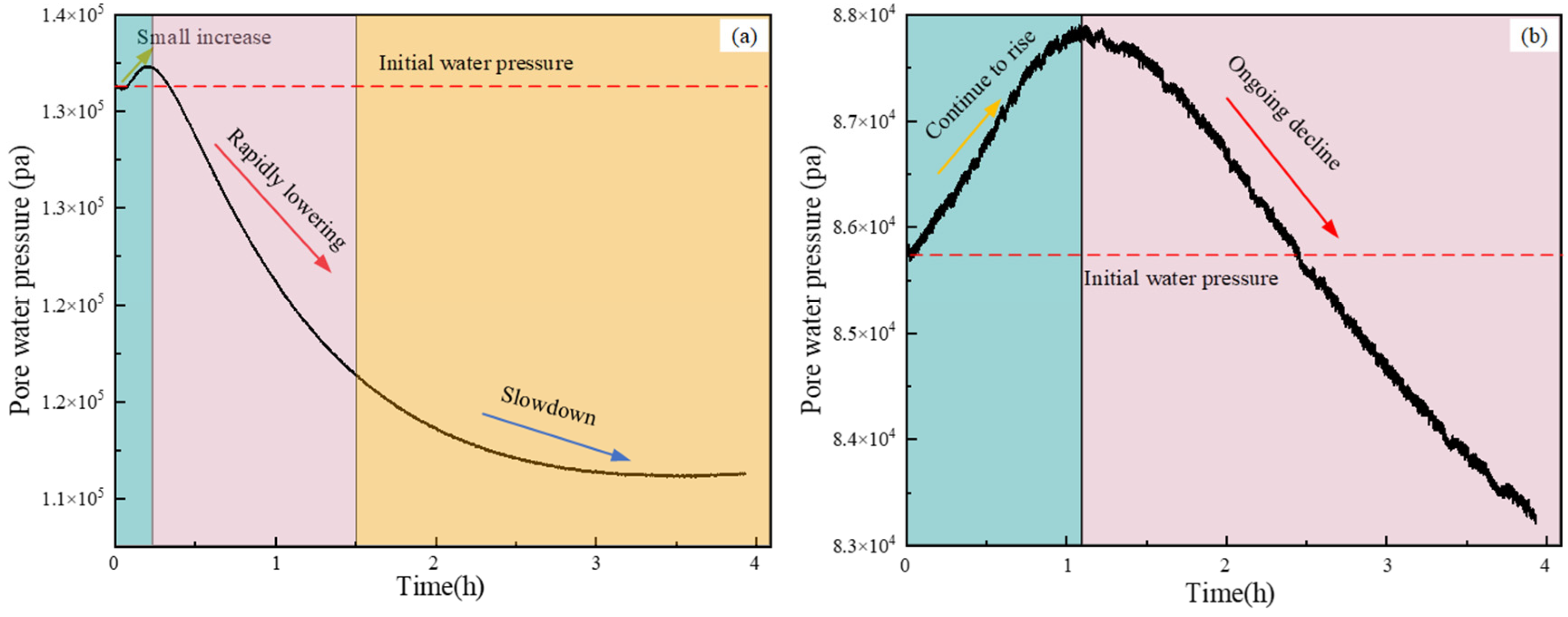
- Under rainfall conditions, the safety factor of the landslide deposit rapidly decreases from an initial value of 1.36 to 1.06 after 4 h. Displacement monitoring data show that the displacement of the monitoring point at the slope crest increases from 0 to 2356 mm within 4 h of rainfall, while the displacement of the monitoring point in the middle of the slope increases from 0 to 1721 mm, indicating that the slope crest area is more prone to sliding. The pore water pressure at the top of the deposit briefly rises and then rapidly falls at the beginning of rainfall, dropping to 1.11 × 104 pa. After 4 h of heavy rainfall, the safety factor of the treated slope is 2.16, and the maximum cumulative displacement at the slope monitoring points is 1736 mm. The treated slope remains stable under rainfall conditions.
Author Contributions
Funding
Data Availability Statement
Conflicts of Interest
References
- Li, C.; Long, J.; Liu, Y.; Li, Q.; Liu, W.; Feng, P.; Xian, J. Mechanism analysis and partition characteristics of a recent highway landslide in Southwest China based on a 3D multi-point deformation monitoring system. Landslides 2021, 18, 2895–2906. [Google Scholar] [CrossRef]
- Zhou, H.; Che, A.; Li, G. Characteristics and failure mechanism of landslides along highways triggered by 2021 Ms6.4 Yangbi earthquake. Landslides 2022, 19, 165–176. [Google Scholar] [CrossRef]
- Nguyen, L.C.; Tien, P.V.; Do, T.N. Deep-seated rainfall-induced landslides on a new expressway: A case study in Vietnam. Landslides 2020, 17, 395–407. [Google Scholar] [CrossRef]
- Jaiswal, P.; Van Westen, C.J.; Jetten, V. Quantitative estimation of landslide risk from rapid debris slides on natural slopes in the Nilgiri hills, India. Nat. Hazards Earth Syst. Sci. 2011, 11, 1723–1743. [Google Scholar] [CrossRef]
- Roccati, A.; Paliaga, G.; Luino, F.; Faccini, F.; Turconi, L. Rainfall Threshold for shallow landslides initiation and analysis of long-term rainfall trends in a Mediterranean area. Atmosphere 2020, 11, 1367. [Google Scholar] [CrossRef]
- Mondini, A.C.; Guzzetti, F.; Melillo, M. Deep learning forecast of rainfall-induced shallow landslides. Nat. Commun. 2023, 14, 2466. [Google Scholar] [CrossRef]
- Guo, J.; Wang, J.; Li, Y.; Yi, S. Discussions on the transformation conditions of Wangcang landslide-induced debris flow. Landslides 2021, 18, 1833–1843. [Google Scholar] [CrossRef]
- Liu, X.; Lan, H.; Li, L.; Cui, P. An ecological indicator system for shallow landslide analysis. Catena 2022, 214, 106211. [Google Scholar] [CrossRef]
- Amarasinghe, M.P.; Kulathilaka, S.A.S.; Robert, D.J.; Zhou, A.; Jayathissa, H.A.G. Risk assessment and management of rainfall-induced landslides in tropical regions: A review. Nat. Hazards 2024, 120, 2179–2231. [Google Scholar] [CrossRef]
- Conte, E.; Pugliese, L.; Troncone, A. A simple method for predicting rainfall-induced shallow landslides. J. Geotech. Geoenviron. Eng. 2022, 148, 04022079. [Google Scholar] [CrossRef]
- Fellenius, W. Calculation of the stability of earth dams. In Transactions of the 2nd International Congress on Large Dams; International Commission on Large Dams: Washington, DC, USA, 1936; pp. 445–459. [Google Scholar]
- Pfeiffer, J.; Zieher, T.; Schneider-Muntau, B. Slope stability evolution of a deep-seated landslide considering a constantly deforming topography. Earth Surf. Process. Landf. 2023, 48, 923–939. [Google Scholar] [CrossRef]
- Mebrahtu, T.K.; Heinze, T.; Wohnlich, S.; Alber, M. Slope stability analysis of deep-seated landslides using limit equilibrium and finite element methods in Debre Sina area, Ethiopia. Bull. Eng. Geol. Environ. 2022, 81, 403. [Google Scholar] [CrossRef]
- Sengani, F.; Mulenga, F. Application of limit equilibrium analysis and numerical modeling in a case of slope instability. Sustainability 2020, 12, 8870. [Google Scholar] [CrossRef]
- Zou, Z.; Luo, Y.; Tao, Y.; Wang, J.; Duan, H. Shear constitutive model for various shear behaviors of landslide slip zone soil. Landslides 2024, 21, 3087–3101. [Google Scholar] [CrossRef]
- Foong, L.K.; Moayedi, H. Slope stability evaluation using neural network optimized by equilibrium optimization and vortex search algorithm. Eng. Comput. 2022, 38 (Suppl. S2), 1269–1283. [Google Scholar] [CrossRef]
- López-Vinielles, J.; Ezquerro, P.; Fernández-Merodo, J.A.; Béjar-Pizarro, M.; Monserrat, O.; Barra, A.; Herrera, G. Remote analysis of an open-pit slope failure: Las Cruces case study, Spain. Landslides 2020, 17, 2173–2188. [Google Scholar] [CrossRef]
- Conte, E.; Pugliese, L.; Troncone, A. Post-failure analysis of the Maierato landslide using the material point method. Eng. Geol. 2020, 277, 105788. [Google Scholar] [CrossRef]
- Mandal, P.; Sarkar, S. Estimation of rainfall threshold for the early warning of shallow landslides along National Highway-10 in Darjeeling Himalayas. Nat. Hazards 2021, 105, 2455–2480. [Google Scholar] [CrossRef]
- Tao, Z.; Shu, Y.; Yang, X. Physical model test study on shear strength characteristics of slope sliding surface in Nanfen open-pit mine. Int. J. Min. Sci. Technol. 2020, 30, 421–429. [Google Scholar] [CrossRef]
- Sun, W.; Wang, G.; Zhang, L. Slope stability analysis by strength reduction method based on average residual displacement increment criterion. Bull. Eng. Geol. Environ. 2021, 80, 4367–4378. [Google Scholar] [CrossRef]
- Xu, Y.; Xu, Z.D.; Guo, Y.Q.; Jia, H.; Huang, X.; Wen, Y. Mathematical modeling and test verification of viscoelastic materials considering microstructures and ambient temperature influence. Mech. Adv. Mater. Struct. 2022, 29, 7063–7074. [Google Scholar] [CrossRef]
- Chen, C.; Xie, M.; Jiang, Y. A new method for quantitative identification of potential landslide. Soils Found. 2021, 61, 1475–1479. [Google Scholar] [CrossRef]
- Listo, F.D.L.R.; Gomes, M.C.V.; Ferreira, F.S. Evaluation of shallow landslide susceptibility and Factor of Safety variation using the TRIGRS model, Serra do Mar Mountain Range, Brazil. J. S. Am. Earth Sci. 2021, 107, 103011. [Google Scholar] [CrossRef]
- Sarkar, S.; Pandit, K.; Dahiya, N.; Chandna, P. Quantified landslide hazard assessment based on finite element slope stability analysis for Uttarkashi–Gangnani Highway in Indian Himalayas. Nat. Hazards 2021, 106, 1895–1914. [Google Scholar] [CrossRef]
- Liu, Y.; Wang, C.; Yang, Q. Stability analysis of soil slope based on deformation reinforcement theory. Finite Elem. Anal. Des. 2012, 58, 10–19. [Google Scholar] [CrossRef]
- Huang, M.S.; Jia, C.Q. Strength reduction FEM in stability analysis of soil slopes subjected to transient unsaturated seepage. Comput. Geotech. 2009, 36, 93–1101. [Google Scholar] [CrossRef]
- Yu, X.; Bin, G.; Chun, T. Study of the slope deformation characteristics and landslide mechanisms under alternating excavation and rainfall disturbance. Bull. Eng. Geol. Environ. 2021, 80, 7171–7191. [Google Scholar] [CrossRef]
- Xu, X.; Zhang, J.; Ji, E.; Wang, L.; Huang, P.; Wang, X. A Laboratory Simulation Experiment to Assess Permeability and Shear Strength of a Gravel Soil Colluvium. Water 2023, 15, 3089. [Google Scholar] [CrossRef]
- Sun, Y.; Yang, K.; Hu, R.; Wang, G.; Lv, J. Model test and numerical simulation of slope instability process induced by rainfall. Water 2022, 14, 3997. [Google Scholar] [CrossRef]
- Rong, G.; Li, K.; Han, L.; Alu, S.; Zhang, J.; Zhang, Y. Hazard mapping of the rainfall–landslides disaster Chain based on GeoDetector and Bayesian Network Models in Shuicheng County, China. Water 2020, 12, 2572. [Google Scholar] [CrossRef]
- Do, T.M.; Laue, J.; Mattsson, H.; Jia, Q. Excess pore water pressure generation in fine granular materials under undrained cyclic triaxial loading. Int. J. Geo-Eng. 2023, 14, 8. [Google Scholar] [CrossRef]
- Damián Adame, L.; Gutiérrez-Torres, C.D.C.; Figueroa-Espinoza, B.; Barbosa-Saldaña, J.G.; Jiménez-Bernal, J.A. A Mechanical Picture of Fractal Darcy’s Law. Fractal Fract. 2023, 7, 639. [Google Scholar] [CrossRef]
- Rizvandi, O.B.; Miao, X.Y.; Frandsen, H.L. Fast and stable approximation of laminar and turbulent flows in channels by Darcy’s Law. Alex. Eng. J. 2021, 60, 2155–2165. [Google Scholar] [CrossRef]
- Xu, S.; Zhang, M.; Ma, Y.; Liu, J.; Wang, Y.; Ma, X.; Chen, J. Multiclassification method of landslide risk assessment in consideration of disaster levels: A case study of Xianyang City, Shaanxi Province. ISPRS Int. J. Geo-Inf. 2021, 10, 646. [Google Scholar] [CrossRef]




















| Grouping of Geotechnical Body Types | Structure Type | Type of Cause | Lithological Composition | |
|---|---|---|---|---|
| Rock | Hard Layered Clastic Formation | Bedded | Sedimentary rock | Sandstone |
| Soil | Mixed stockpile type | Hybrid | Debris flow buildup | Rubble soil |
| Bi-structured alluvial deposits | Bedded | Alluvial soil | Gravelly pebbles | |
| Mixed-structure landslide deposits | Hybrid | Landslide accretion | Rubble soil | |
| Slip Volume (m3) | Type of Landslide |
|---|---|
| <10 × 104 | Minor landslide |
| 10 × 104–100 × 104 | Medium-sized landslide |
| 100 × 104–1000 × 104 | Large landslide |
| 1000 × 104–10,000 × 104 | Mega landslide |
| >10,000 × 104 | Giant landslide |
| Lithology | State of Affairs | Material Properties | |||||
|---|---|---|---|---|---|---|---|
| c (kPa) | ϕ (°) | γ (kN/m3) | E (MPa) | μ | k (cm/s) | ||
| Rubble soil | Natural state | 19 | 25.2 | 20.1 | 25~35 | 0.26 | 3.52 × 10−3 |
| Saturated state | 12 | 22.5 | 21.3 | 0.24 | |||
| Pebbles | Natural state | 25 | 26.1 | 24.2 | 26~32 | 0.25 | 4.32 × 10−5 |
| Saturated state | 21 | 22.5 | 25.4 | 0.23 | |||
| Sandstone | Natural state | 26 | 25.2 | 23.4 | 27~35 | 0.24 | 5.42 × 10−6 |
| Saturated state | 23 | 23.3 | 24.2 | 0.21 | |||
| Powdered sandstone | Natural state | 28 | 26.5 | 25.4 | 26~34 | 0.26 | 6.22 × 10−7 |
| Saturated state | 26 | 24.2 | 26.1 | 0.25 | |||
Disclaimer/Publisher’s Note: The statements, opinions and data contained in all publications are solely those of the individual author(s) and contributor(s) and not of MDPI and/or the editor(s). MDPI and/or the editor(s) disclaim responsibility for any injury to people or property resulting from any ideas, methods, instructions or products referred to in the content. |
© 2024 by the authors. Licensee MDPI, Basel, Switzerland. This article is an open access article distributed under the terms and conditions of the Creative Commons Attribution (CC BY) license (https://creativecommons.org/licenses/by/4.0/).
Share and Cite
Yang, Y.; Yang, Z.; Xu, W.; A, F.; Guo, Y.; Zheng, J. Research on the Failure Mechanism and Treatment Technology of Landslides in Typical Accumulation Bodies Along Highways in Qinghai Province. Water 2025, 17, 34. https://doi.org/10.3390/w17010034
Yang Y, Yang Z, Xu W, A F, Guo Y, Zheng J. Research on the Failure Mechanism and Treatment Technology of Landslides in Typical Accumulation Bodies Along Highways in Qinghai Province. Water. 2025; 17(1):34. https://doi.org/10.3390/w17010034
Chicago/Turabian StyleYang, Yunfei, Zixuan Yang, Wanzhong Xu, Fayou A, Yinghang Guo, and Jieru Zheng. 2025. "Research on the Failure Mechanism and Treatment Technology of Landslides in Typical Accumulation Bodies Along Highways in Qinghai Province" Water 17, no. 1: 34. https://doi.org/10.3390/w17010034
APA StyleYang, Y., Yang, Z., Xu, W., A, F., Guo, Y., & Zheng, J. (2025). Research on the Failure Mechanism and Treatment Technology of Landslides in Typical Accumulation Bodies Along Highways in Qinghai Province. Water, 17(1), 34. https://doi.org/10.3390/w17010034
