A Comparison of Greenhouse Gas Emission Patterns in Different Water Levels in Peatlands
Abstract
1. Introduction
2. Materials and Methods
2.1. Study Area
2.2. Methodology and Data Collection Process
2.3. Analysis of the Sample
2.4. Data Statistics and Analysis
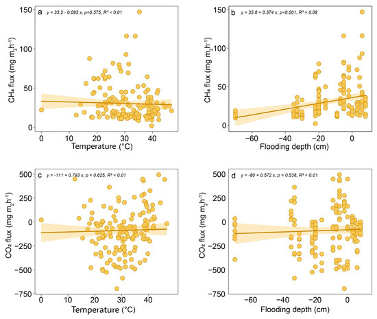
3. Results
4. Discussion
5. Conclusions
Author Contributions
Funding
Data Availability Statement
Acknowledgments
Conflicts of Interest
References
- Lal, R.; Pimentel, D. Soil erosion: A carbon sink or source? Science 2008, 319, 1040–1042. [Google Scholar] [CrossRef] [PubMed]
- Mitsch, W.J.; Gosselink, J.G. Wetlands, 5th ed.; John Wiley & Sons, Inc.: Hoboken, NJ, USA, 2015. [Google Scholar]
- Chen, M.; Xu, X.; Wu, X.; Mi, C. Centennial-scale study on the spatial-temporal evolution of riparian wetlands in the Yangtze River of China. Int. J. Appl. Earth Obs. Geoinf. 2022, 113, 102874. [Google Scholar] [CrossRef]
- Stewart, A.J.; Halabisky, M.; Babcock, C.; Butman, D.E.; D’Amore, D.V.; Moskal, L.M. Revealing the hidden carbon in forested wetland soils. Nat. Commun. 2024, 15, 726. [Google Scholar] [CrossRef]
- Hugelius, G.; Loisel, J.; Chadburn, S.; Jackson, R.B.; Jones, M.; MacDonald, G.; Marushchak, M.; Olefeldt, D.; Packalen, M.; Siewert, M.B.; et al. Large stocks of peatland carbon and nitrogen are vulnerable to permafrost thaw. Proc. Natl. Acad. Sci. USA 2020, 117, 20438–20446. [Google Scholar] [CrossRef]
- Walker, T.N.; Ward, S.E.; Ostle, N.J.; Bardgett, R.D. Contrasting growth responses of dominant peatland plants to warming and vegetation composition. Oecologia 2015, 178, 141–151. [Google Scholar] [CrossRef]
- Leiber-Sauheitl, K.; Fuß, R.; Voigt, C.; Freibauer, A. High CO2 fluxes from grassland on histic gleysol along soil carbon and drainage gradients. Biogeosciences 2014, 11, 749–761. [Google Scholar] [CrossRef]
- Wittnebel, M.; Tiemeyer, B.; Dettmann, U. Peat and other organic soils under agricultural use in Germany: Properties and challenges for classification. Mires Peat 2021, 27, 19. [Google Scholar]
- Shotyk, W. Review of the inorganic geochemistry of peats and peatland waters. Earth-Sci. Rev. 1988, 25, 95–176. [Google Scholar] [CrossRef]
- Rydin, H.; Jeglum, J.K. The Biology of Peatlands; Oxford University Press: Oxford, UK, 2013. [Google Scholar]
- Avis, C.A.; Weaver, A.J.; Meissner, K.J. Reduction in areal extent of high-latitude wetlands in response to permafrost thaw. Nat. Geosci. 2011, 4, 444–448. [Google Scholar] [CrossRef]
- Boyd, W.E. Peatlands and environmental change. Geoarchaeology 2004, 19, 505–507. [Google Scholar] [CrossRef]
- Last, W.M.; Ginn, F.M. Saline systems of the great plains of western Canada: An overview of the limnogeology and paleolimnology. Saline Syst. 2005, 1, 10. [Google Scholar] [CrossRef]
- Arias, M.E.; Wittmann, F.; Parolin, P.; Murray-Hudson, M.; Cochrane, T.A. Interactions between flooding and upland disturbance drives species diversity in large river floodplains. Hydrobiologia 2018, 814, 5–17. [Google Scholar] [CrossRef]
- Brocard, G.; Adatte, T.; Magand, O.; Pfeifer, H.-R.; Bettini, A.; Arnaud, F.; Anselmetti, F.S.; Moran-Ical, S. The recording of floods and earthquakes in lake chichój, guatemala during the twentieth century. J. Paleolimnol. 2014, 52, 155–169. [Google Scholar] [CrossRef]
- Karnatak, G.; Sarkar, U.K.; Naskar, M.; Roy, K.; Gupta, S.; Nandy, S.K.; Srivastava, P.K.; Sarkar, S.D.; Sudheesan, D.; Bose, A.K.; et al. Understanding the role of climatic and environmental variables in gonadal maturation and spawning periodicity of spotted snakehead, channa punctata (bloch, 1793) in a tropical floodplain wetland, india. Environ. Biol. Fishes 2018, 101, 595–607. [Google Scholar] [CrossRef]
- Jardine, T.D.; Bond, N.R.; Burford, M.A.; Kennard, M.J.; Ward, D.P.; Bayliss, P.; Davies, P.M.; Douglas, M.M.; Hamilton, S.K.; Melack, J.M.; et al. Does flood rhythm drive ecosystem responses in tropical riverscapes? Ecology 2015, 96, 684–692. [Google Scholar] [CrossRef]
- Jardine, T.D.; Pusey, B.J.; Hamilton, S.K.; Pettit, N.E.; Davies, P.M.; Douglas, M.M.; Sinnamon, V.; Halliday, I.A.; Bunn, S.E. Fish mediate high food web connectivity in the lower reaches of a tropical floodplain river. Oecologia 2012, 168, 829–838. [Google Scholar] [CrossRef]
- Correa, S.B.; Winemiller, K.O. Niche partitioning among frugivorous fishes in response to fluctuating resources in the amazonian floodplain forest. Ecology 2014, 95, 210–224. [Google Scholar] [CrossRef]
- Ishikura, K.; Yamada, H.; Toma, Y.; Takakai, F.; Morishita, T.; Darung, U.; Limin, A.; Limin, S.H.; Hatano, R. Effect of groundwater level fluctuation on soil respiration rate of tropical peatland in central Kalimantan, Indonesia. Soil Sci. Plant Nutr. 2017, 63, 1–13. [Google Scholar] [CrossRef]
- Schaller, M.; Fan, Y. River basins as groundwater exporters and importers: Implications for water cycle and climate modeling. J. Geophys. Res. 2009, 114, D04103. [Google Scholar] [CrossRef]
- Hokanson, K.J.; Peterson, E.S.; Devito, K.J.; Mendoza, C.A. Forestland-peatland hydrologic connectivity in water-limited environments: Hydraulic gradients often oppose topography. Environ. Res. Lett. 2020, 15, 034021. [Google Scholar] [CrossRef]
- Laudon, H.; Mosquera, V.; Eklöf, K.; Järveoja, J.; Karimi, S.; Krasnova, A.; Peichl, M.; Pinkwart, A.; Tong, C.H.M.; Wallin, M.B.; et al. Consequences of rewetting and ditch cleaning on hydrology, water quality and greenhouse gas balance in a drained northern landscape. Sci. Rep. 2023, 13, 20218. [Google Scholar] [CrossRef]
- Dixon, S.D.; Qassim, S.M.; Rowson, J.G.; Worrall, F.; Evans, M.G.; Boothroyd, I.M.; Bonn, A. Restoration effects on water table depths and CO2 fluxes from climatically marginal blanket bog. Biogeochemistry 2014, 118, 159–176. [Google Scholar] [CrossRef]
- Menberu, M.W.; Haghighi, A.T.; Ronkanen, A.-K.; Marttila, H.; Kløve, B. Effects of drainage and subsequent restoration on peatland hydrological processes at catchment scale. Water Resour. Res. 2018, 54, 4479–4497. [Google Scholar] [CrossRef]
- Patterson, L.; Cooper, D.J. The use of hydrologic and ecological indicators for the restoration of drainage ditches and water diversions in a mountain fen, cascade range, California. Wetlands 2007, 27, 290–304. [Google Scholar] [CrossRef]
- Moore, T.R.; De Young, A.; Bubier, J.L.; Humphreys, E.R.; Lafleur, P.M.; Roulet, N.T. A multi-year record of methane flux at the mer bleue bog, southern canada. Ecosystems 2011, 14, 646–657. [Google Scholar] [CrossRef]
- Lazcano, C.; Deol, A.S.; Brummell, M.E.; Strack, M. Interactive effects of vegetation and water table depth on belowground c and n mobilization and greenhouse gas emissions in a restored peatland. Plant Soil 2020, 448, 299–313. [Google Scholar] [CrossRef]
- Knoblauch, C.; Zimmermann, U.; Blumenberg, M.; Michaelis, W.; Pfeiffer, E.-M. Methane turnover and temperature response of methane-oxidizing bacteria in permafrost-affected soils of northeast Siberia. Soil Biol. Biochem. 2008, 40, 3004–3013. [Google Scholar] [CrossRef]
- Maltais-Landry, G.; Maranger, R.; Brisson, J.; Chazarenc, F. Greenhouse gas production and efficiency of planted and artificially aerated constructed wetlands. Environ. Pollut. 2009, 157, 748–754. [Google Scholar] [CrossRef]
- Kelley, C.A.; Martens, C.S.; Ussler, W., III. Methane dynamics across a tidally flooded riverbank margin. Limnol. Oceanogr. 1995, 40, 1112–1129. [Google Scholar] [CrossRef]
- Grünfeld, S.; Brix, H. Methanogenesis and methane emissions: Effects of water table, substrate type and presence of phragmites australis. Aquat. Bot. 1999, 64, 63–75. [Google Scholar] [CrossRef]
- Cosentino, D.; Chenu, C.; Le Bissonnais, Y. Aggregate stability and microbial community dynamics under drying–wetting cycles in a silt loam soil. Soil Biol. Biochem. 2006, 38, 2053–2062. [Google Scholar] [CrossRef]
- Olshansky, Y.; Root, R.A.; Chorover, J. Wet–dry cycles impact dom retention in subsurface soils. Biogeosciences 2018, 15, 821–832. [Google Scholar] [CrossRef]
- Abid, A.A.; Gu, C.; Zhang, Q.; Wang, J.; Di, H. Nitrous oxide fluxes and nitrifier and denitrifier communites as affected by dry-wet cycles in long term fertilized paddy soils. Appl. Soil Ecol. 2018, 125, 81–87. [Google Scholar] [CrossRef]
- Hu, J.; Liao, X.; Vardanyan, L.G.; Huang, Y.; Inglett, K.S.; Wright, A.L.; Reddy, K.R. Duration and frequency of drainage and flooding events interactively affect soil biogeochemistry and N flux in subtropical peat soils. Sci. Total Environ. 2020, 727, 138740. [Google Scholar] [CrossRef]
- Matthews, C.J.D.; Joyce, E.M.; Louis, V.L.S.; Schiff, S.L.; Venkiteswaran, J.J.; Hall, B.D.; Bodaly, R.A.; Beaty, K.G. Carbon dioxide and methane production in small reservoirs flooding upland boreal forest. Ecosystems 2005, 8, 267–285. [Google Scholar] [CrossRef]
- Teodoru, C.R.; Bastien, J.; Bonneville, M.-C.; Giorgio, P.A.; Demarty, M.; Garneau, M.; Hélie, J.; Pelletier, L.; Prairie, Y.T.; Roulet, N.T.; et al. The net carbon footprint of a newly created boreal hydroelectric reservoir. Glob. Biogeochem. Cycles 2012, 26, GB2016. [Google Scholar] [CrossRef]
- Tremblay, A.; Lambert, M.; Gagnon, L. Do hydroelectric reservoirs emit greenhouse gases? Environ. Manag. 2004, 33, S509–S517. [Google Scholar] [CrossRef]
- Huertas, I.E.; Flecha, S.; Figuerola, J.; Costas, E.; Morris, E.P. Effect of hydroperiod on co2 fluxes at the air-water interface in the mediterranean coastal wetlands of doñana. J. Geophys. Res. Biogeosci. 2017, 122, 1615–1631. [Google Scholar] [CrossRef]
- Dias, A.T.C.; Hoorens, B.; Van Logtestijn, R.S.P.; Vermaat, J.E.; Aerts, R. Plant species composition can be used as a proxy to predict methane emissions in peatland ecosystems after land-use changes. Ecosystems 2010, 13, 526–538. [Google Scholar] [CrossRef]
- Couwenberg, J.; Thiele, A.; Tanneberger, F.; Augustin, J.; Bärisch, S.; Dubovik, D.; Liashchynskaya, N.; Michaelis, D.; Minke, M.; Skuratovich, A.; et al. Assessing greenhouse gas emissions from peatlands using vegetation as a proxy. Hydrobiologia 2011, 674, 67–89. [Google Scholar] [CrossRef]
- Köster, E.; Chapman, J.P.B.; Barel, J.M.; Korrensalo, A.; Laine, A.M.; Vasander, H.T.; Tuittila, E. Water level drawdown makes boreal peatland vegetation more responsive to weather conditions. Glob. Chang. Biol. 2023, 29, 5691–5705. [Google Scholar] [CrossRef]
- McNeil, P.; Waddington, J.M. Moisture controls on Sphagnum growth and CO2 exchange on a cutover bog. J. Appl. Ecol. 2003, 40, 354–367. [Google Scholar] [CrossRef]
- Lindo, Z.; Gonzalez, A. The Bryosphere: An Integral and Influential Component of the Earth’s Biosphere. Ecosystems 2010, 13, 612–627. [Google Scholar] [CrossRef]
- Siegel, D.I. Ground water and the evolution of patterned mires, Glacial Lake Agassiz Peatlands, Northern Minnesota. J. Ecol. 1983, 71, 913–921. [Google Scholar] [CrossRef]
- Pohl, M.; Hoffmann, M.; Hagemann, U.; Giebels, M.; Albiac Borraz, E.; Sommer, M.; Augustin, J. Dynamic c and n stocks—Key factors controlling the c gas exchange of maize in heterogenous peatland. Biogeosciences 2015, 12, 2737–2752. [Google Scholar] [CrossRef]
- Macrae, M.L.; Devito, K.J.; Strack, M.; Waddington, J.M. Effect of water table drawdown on peatland nutrient dynamics: Implications for climate change. Biogeochemistry 2013, 112, 661–676. [Google Scholar] [CrossRef]
- Salimi, S.; Scholz, M. Impact of future climate scenarios on peatland and constructed wetland water quality: A mesocosm experiment within climate chambers. J. Environ. Manag. 2021, 289, 112459. [Google Scholar] [CrossRef]
- Limpens, J.; Berendse, F.; Blodau, C.; Canadell, J.G.; Freeman, C.; Holden, J.; Roulet, N.; Rydin, H.; Schaepman-Strub, G. Peatlands and the carbon cycle: From local processes to global implications—A synthesis. Biogeosciences 2008, 5, 1475–1491. [Google Scholar] [CrossRef]
- Knorr, K.-H.; Blodau, C. Impact of experimental drought and rewetting on redox transformations and methanogenesis in mesocosms of a northern fen soil. Soil Biol. Biochem. 2009, 41, 1187–1198. [Google Scholar] [CrossRef]
- Silvola, J.; Alm, J.; Ahlholm, U.; Nykänen, H.; Martikainen, P.J.J.J.o.E. CO2 fluxes from peat in boreal mires under varying temperature and moisture conditions. J. Ecol. 1996, 84, 219–228. [Google Scholar] [CrossRef]
- Knorr, K.-H.; Lischeid, G.; Blodau, C. Dynamics of redox processes in a minerotrophic fen exposed to a water table manipulation. Geoderma 2009, 153, 379–392. [Google Scholar] [CrossRef]
- Best, E.P.H.; Jacobs, F.H.H. The influence of raised water table levels on carbon dioxide and methane production in ditch-dissected peat grasslands in the netherlands. Ecol. Eng. 1997, 8, 129–144. [Google Scholar] [CrossRef]
- Shurpali, N.J.; Verma, S.B.; Kim, J.; Arkebauer, T.J. Carbon dioxide exchange in a peatland ecosystem. J. Geophys. Res.-Atmos. 1995, 100, 14319–14326. [Google Scholar] [CrossRef]
- Bubier, J.; Crill, P.; Moore, T.; Savage, K.; Varner, R. Seasonal patterns and controls on net ecosystem CO2 exchange in a boreal peatland complex. Glob. Biogeochem. Cycles 1998, 12, 703–714. [Google Scholar] [CrossRef]
- Gill, A.L.; Giasson, M.; Yu, R.; Finzi, A.C. Deep peat warming increases surface methane and carbon dioxide emissions in a black spruce-dominated ombrotrophic bog. Glob. Chang. Biol. 2017, 23, 5398–5411. [Google Scholar] [CrossRef]
- Jauhiainen, J.; Takahashi, H.; Heikkinen, J.; Martikainen, P.; Vasander, H. Carbon fluxes from a tropical peat swamp forest floor. Glob. Chang. Biol. 2005, 11, 1788–1797. [Google Scholar] [CrossRef]
- Hirano, T.; Jauhiainen, J.; Inoue, T.; Takahashi, H. Controls on the carbon balance of tropical peatlands. Ecosystems 2009, 12, 873–887. [Google Scholar] [CrossRef]
- Ward, S.E.; Bardgett, R.D.; McNamara, N.P.; Ostle, N.J. Plant functional group identity influences short-term peatland ecosystem carbon flux: Evidence from a plant removal experiment. Funct. Ecol. 2009, 23, 454–462. [Google Scholar] [CrossRef]
- Greenup, A.L.; Bradford, M.A.; McNamara, N.P.; Ineson, P.; Lee, J.A. The role of eriophorum vaginatum in ch4 flux from an ombrotrophic peatland. Plant Soil 2000, 227, 265–272. [Google Scholar] [CrossRef]
- Lai, D.Y.F. Methane dynamics in northern peatlands: A review. Pedosphere 2009, 19, 409–421. [Google Scholar] [CrossRef]
- Raghoebarsing, A.A.; Smolders, A.J.P.; Schmid, M.C.; Rijpstra, W.I.C.; Wolters-Arts, M.; Derksen, J.; Jetten, M.S.M.; Schouten, S.; Sinninghe Damsté, J.S.; Lamers, L.P.M.; et al. Methanotrophic symbionts provide carbon for photosynthesis in peat bogs. Nature 2005, 436, 1153–1156. [Google Scholar] [CrossRef] [PubMed]
- Turetsky, M.; Kotowska, A.; Bubier, J.; Dise, N.; Crill, P.; Hornibrook, E.; Minkkinen, K.; Moore, T.; Myers-Smith, I.; Nykänen, H.; et al. A synthesis of methane emissions from 71 northern, temperate, and subtropical wetlands. Glob. Chang. Biol. 2014, 20, 2183–2197. [Google Scholar]
- Cui, J.; Li, C.; Sun, G.; Trettin, C. Linkage of mike she to wetland-dndc for carbon budgeting and anaerobic biogeochemistry simulation. Biogeochemistry 2005, 72, 147–167. [Google Scholar] [CrossRef]
- Baldwin, D.S.; Mitchell, A.M. The effects of drying and re-flooding on the sediment and soil nutrient dynamics of lowland river-floodplain systems: A synthesis. Regul. Rivers Res. Manag. 2000, 16, 457–467. [Google Scholar] [CrossRef]
- Nykänen, H.; Alm, J.; Silvola, J.; Tolonen, K.; Martikainen, P.J. Methane fluxes on boreal peatlands of different fertility and the effect of long-term experimental lowering of the water table on flux rates. Glob. Biogeochem. Cycles 1998, 12, 53–69. [Google Scholar] [CrossRef]
- Keller, J.K.; White, J.R.; Bridgham, S.D.; Pastor, J. Climate change effects on carbon and nitrogen mineralization in peatlands through changes in soil quality. Glob. Chang. Biol. 2004, 10, 1053–1064. [Google Scholar] [CrossRef]
- Waddington, J.M.; Morris, P.J.; Kettridge, N.; Granath, G.; Thompson, D.K.; Moore, P.A. Hydrological feedbacks in northern peatlands. Ecohydrology 2015, 8, 113–127. [Google Scholar] [CrossRef]
- Song, Y.; Song, C.; Hou, A.; Ren, J.; Wang, X.; Cui, Q.; Wang, M. Effects of temperature and root additions on soil carbon and nitrogen mineralization in a predominantly permafrost peatland. CATENA 2018, 165, 381–389. [Google Scholar] [CrossRef]
- Whalen, S.C.; Reeburgh, W.S. Moisture and temperature sensitivity of ch4 oxidation in boreal soils. Soil Biol. Biochem. 1996, 28, 1271–1281. [Google Scholar] [CrossRef]
- Whalen, S.; Reeburgh, W. Methane oxidation, production, and emission at contrasting sites in a boreal bog. Geomicrobiol. J. 2000, 17, 237–251. [Google Scholar]
- White, J.R.; Shannon, R.D.; Weltzin, J.F.; Pastor, J.; Bridgham, S.D. Effects of soil warming and drying on methane cycling in a northern peatland mesocosm study. J. Geophys. Res. 2008, 113, G00A06. [Google Scholar] [CrossRef]
- Allison, S.D.; Treseder, K.K. Warming and drying suppress microbial activity and carbon cycling in boreal forest soils. Glob. Chang. Biol. 2008, 14, 2898–2909. [Google Scholar] [CrossRef]




| CO2 Flux | CH4 Flux | |||
|---|---|---|---|---|
| F-Value | p-Value | F-value | p-Value | |
| S1 | ||||
| Temperature | 2.52 | 0.12 | 3.50 | 0.07. |
| Saturated depth | 1.10 | 0.30 | 3.41 | 0.07. |
| Temperature × Saturated depth | 0.42 | 0.52 | 0.03 | 0.86 |
| S2 | ||||
| Temperature | 0.13 | 0.72 | 1.25 | 0.27 |
| Saturated depth | 0.36 | 0.55 | 1.99 | 0.17 |
| Temperature × Saturated depth | 0.51 | 0.48 | 0.85 | 0.36 |
| S3 | ||||
| Temperature | 2.73 | 0.10 | 0.01 | 0.91 |
| Saturated depth | 3.48 | 0.07. | 22.47 | 1.81 × 10−5 *** |
| Temperature × Saturated depth | 1.14 | 0.29 | 12.76 | 7.95 × 10−4 *** |
| Study Location | CO2 (mg m−2h−1) | CH4 (mg m−2h−1) | References |
|---|---|---|---|
| Changbai Mountain, China | −695.33~859.91 | −259.98~147.16 | This article |
| Northwest Panama | 719.94~913.18 | 38.78~48.89 | [28] |
| Southern Sweden | 1483~6665 | 1934~8888 | [29] |
| Northern Colombia | 1.57~1.97 | [30] | |
| Northern Norway | 52.17~154.11 | 0.32 | [31] |
| Kampar, Indonesia | −0.47~4.27 | 2.22~8.52 | [32] |
| Southwest Florida, FL, USA | 4.55~55.30 | [27] | |
| San San-Pond Sak, Panama | −1652~−548 | −5.10~77.83 | [31] |
Disclaimer/Publisher’s Note: The statements, opinions and data contained in all publications are solely those of the individual author(s) and contributor(s) and not of MDPI and/or the editor(s). MDPI and/or the editor(s) disclaim responsibility for any injury to people or property resulting from any ideas, methods, instructions or products referred to in the content. |
© 2024 by the authors. Licensee MDPI, Basel, Switzerland. This article is an open access article distributed under the terms and conditions of the Creative Commons Attribution (CC BY) license (https://creativecommons.org/licenses/by/4.0/).
Share and Cite
Peng, C.; Li, H.; Yang, N.; Lu, M. A Comparison of Greenhouse Gas Emission Patterns in Different Water Levels in Peatlands. Water 2024, 16, 985. https://doi.org/10.3390/w16070985
Peng C, Li H, Yang N, Lu M. A Comparison of Greenhouse Gas Emission Patterns in Different Water Levels in Peatlands. Water. 2024; 16(7):985. https://doi.org/10.3390/w16070985
Chicago/Turabian StylePeng, Chengcheng, Hengfei Li, Nan Yang, and Mingzhi Lu. 2024. "A Comparison of Greenhouse Gas Emission Patterns in Different Water Levels in Peatlands" Water 16, no. 7: 985. https://doi.org/10.3390/w16070985
APA StylePeng, C., Li, H., Yang, N., & Lu, M. (2024). A Comparison of Greenhouse Gas Emission Patterns in Different Water Levels in Peatlands. Water, 16(7), 985. https://doi.org/10.3390/w16070985

