Analysis of Changes in Runoff and Sediment Load and Their Attribution in the Kuye River Basin of the Middle Yellow River Based on the Slope Change Ratio of Cumulative Quantity Method
Abstract
1. Introduction
Research Area
2. Methods and Data
2.1. Data Source and Processing
2.2. Research Methods
2.2.1. Mann–Kendall Nonparametric Test
2.2.2. Double Mass Curve Method
2.2.3. Cumulative Anomaly Method
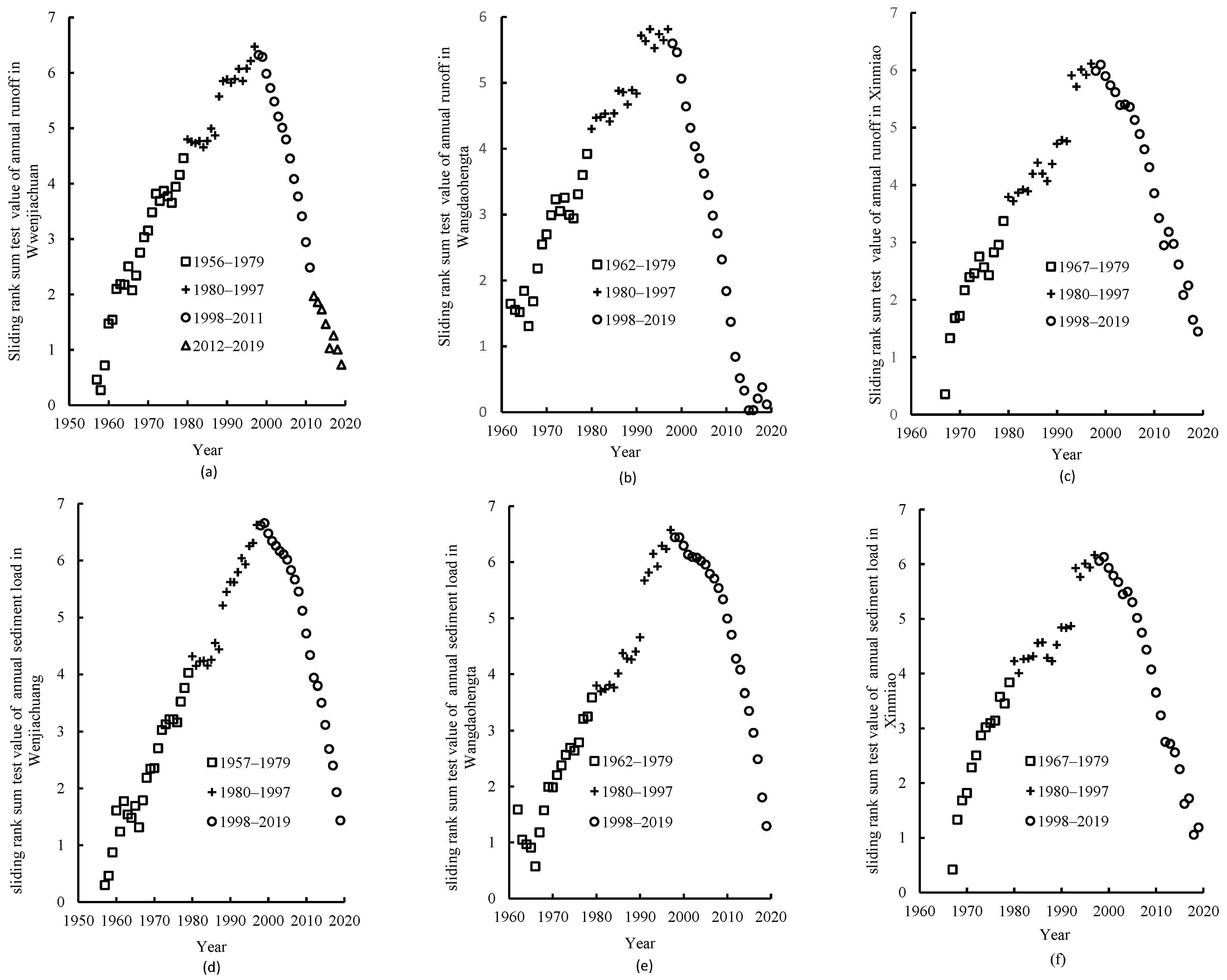
2.2.4. Mann–Whitney Test
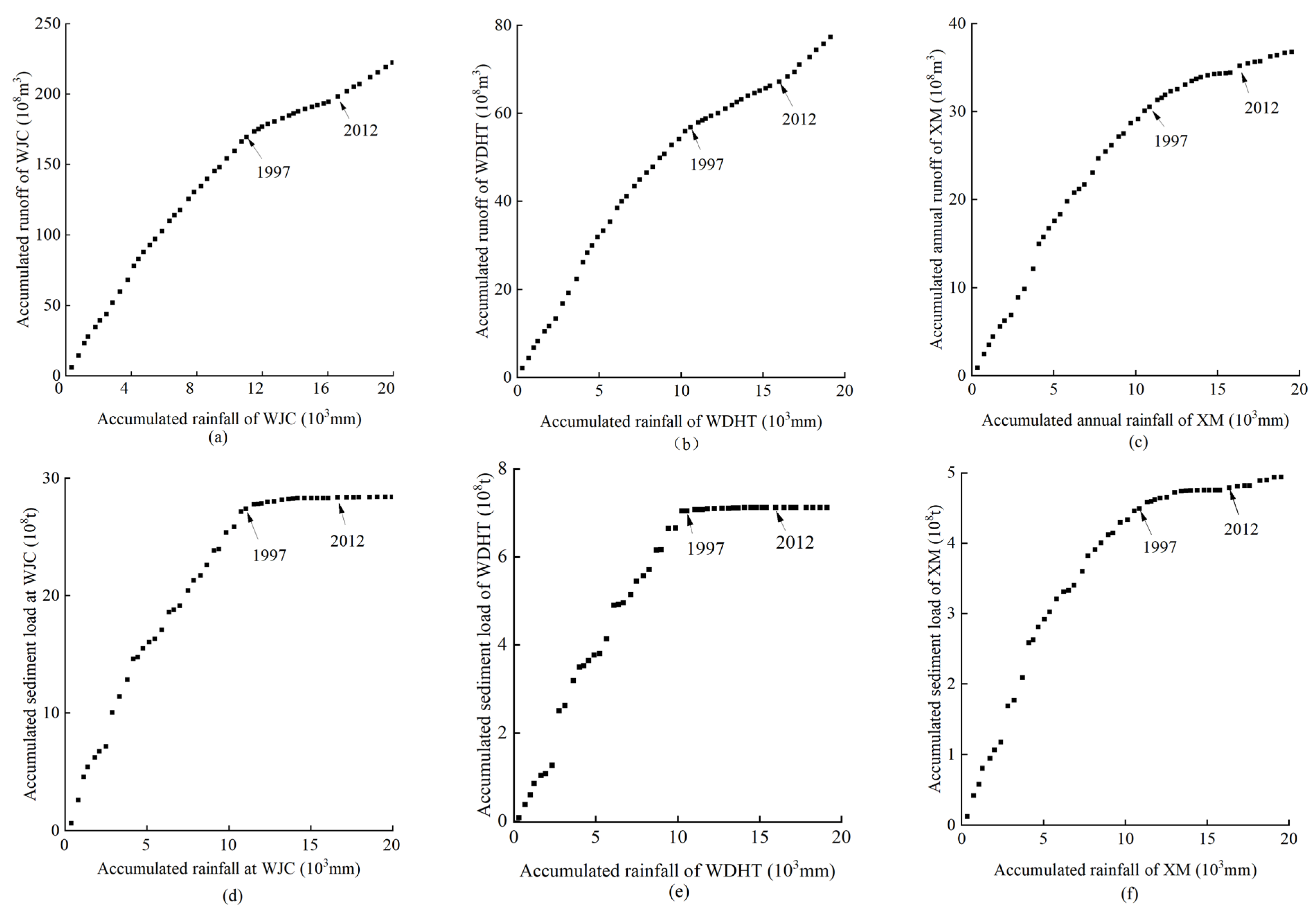
2.2.5. The SCRCQ Method
3. Results
3.1. The Trend Analysis of Watershed-Scale Runoff, Sediment Transport, NDVI, and Meteorological Elements
3.2. Identification of Runoff and Sediment Yield Change Points in Different Sub-Watersheds
3.3. Quantitative Analysis of the Effects of Climate Change and Human Activities on Runoff and Sediment Transport
4. Discussion
4.1. Change Points in the Interannual Variations of Watershed Runoff and Sediment Transport
4.2. Attribution of the Changes in Basin Runoff and Sediment Transport
4.2.1. Attribution of the Changes in Basin Runoff
4.2.2. Attribution of the Changes in Basin Sediment Transport
4.3. The Difference in Contribution Rate under Different Scales and Periods
5. Conclusions
Author Contributions
Funding
Data Availability Statement
Conflicts of Interest
References
- Park, E.; Ho, H.L.; Van Binh, D.; Kantoush, S.; Poh, D.; Alcantara, E.; Try, S.; Lin, Y.N. Impacts of agricultural expansion on floodplain water and sediment budgets in the Mekong River. J. Hydrol. 2022, 605, 127296. [Google Scholar] [CrossRef]
- Fanos, A.M. The impact of human activities on the erosion and accretion of the Nile Delta coast. J. Coast. Res. 1995, 11, 821–833. [Google Scholar]
- Carriquiry, J.D.; Sánchez, A. Sedimentation in the Colorado River delta and Upper Gulf of California after nearly a century of discharge loss. Mar. Geol. 1999, 158, 125–145. [Google Scholar] [CrossRef]
- Yang, S.; Xu, K.; Milliman, J.; Yang, H.; Wu, C. Decline of Yangtze River water and sediment discharge: Impact from natural and anthropogenic changes. Sci. Rep. 2015, 5, 12581. [Google Scholar] [CrossRef] [PubMed]
- Ren, M. Sediment discharge of the Yellow River, China: Past, present and future—A synthesis. Acta Oceanol. Sin. 2015, 34, 1–8. [Google Scholar] [CrossRef]
- Li, H.; Shi, C.; Zhang, Y.; Ning, T.; Sun, P.; Liu, X.; Ma, X.; Liu, W.; Collins, A.L. Using the Budyko hypothesis for detecting and attributing changes in runoff to climate and vegetation change in the soft sandstone area of the middle Yellow River basin, China. Sci. Total Environ. 2020, 703, 135588. [Google Scholar] [CrossRef]
- Fang, H. Water erosion research in China: A review. Hydrol. Earth Syst. Sci. Discuss. 2020, 568, 1–53. [Google Scholar]
- Wang, S.; Fu, B.; Piao, S.; Lü, Y.; Ciais, P.; Feng, X.; Wang, Y. Reduced sediment transport in the Yellow River due to anthropogenic changes. Nat. Geosci. 2016, 9, 38–41. [Google Scholar] [CrossRef]
- Wang, S.; Yan, M.; Yan, Y.; Shi, C.; He, L. Contributions of climate change and human activities to the changes in runoff increment in different sections of the Yellow River. Quat. Int. 2012, 282, 66–77. [Google Scholar] [CrossRef]
- Miao, C.; Ni, J.; Borthwick, A.G.L.; Yang, L. A preliminary estimate of human and natural contributions to the changes in water discharge and sediment load in the Yellow River. Glob. Planet. Change 2011, 76, 196–205. [Google Scholar] [CrossRef]
- Shi, H.; Hu, C.; Wang, Y.; Liu, C.; Li, H. Analyses of trends and causes for variations in runoff and sediment load of the Yellow River. Int. J. Sediment Res. 2017, 32, 171–179. [Google Scholar] [CrossRef]
- Gu, C.; Mu, X.; Gao, P.; Zhao, G.; Sun, W. Changes in runnd runoff in the Yellow River for the last 100 years (1919–2018). Sciresponse to climate change and human activities. Hydrol. Process. 2019, 33, 585–601. [Google Scholar] [CrossRef]
- Liu, Y.; Song, H.; An, Z.; Sun, C.; Trouet, V.; Cai, Q.; Liu, R.; Leavitt, S.W.; Song, Y.; Li, Q.; et al. Recent anthropogenic curtailing of Yellow River runoff and sediment load is unprecedented over the past 500 y. Proc. Natl. Acad. Sci. USA 2020, 117, 18251–18257. [Google Scholar] [CrossRef]
- Wang, H.; Sun, F. Variability of annual sediment load and runoff in the Yellow River for the last 100 years (1919–2018). Sci. Total Environ. 2021, 758, 143715. [Google Scholar] [CrossRef]
- Wang, J.; Shi, B.; Zhao, E.; Yuan, Q.; Chen, X. The long-term spatial and temporal variations of sediment loads and their causes of the Yellow River Basin. Catena 2022, 209, 105850. [Google Scholar] [CrossRef]
- Gao, P.; Mu, X.M.; Wang, F.; Li, R. Changes in streamflow and sediment discharge and the response to human activities in the middle reaches of the Yellow River. Hydrol. Earth Syst. Sci. 2011, 15, 1–10. [Google Scholar] [CrossRef]
- Kong, D.; Miao, C.; Wu, J.; Duan, Q. Impact assessment of climate change and human activities on net runoff in the Yellow River Basin from 1951 to 2012. Ecol. Eng. 2016, 91, 566–573. [Google Scholar] [CrossRef]
- Gao, Z.; Fu, Y.; Li, Y.; Liu, J.; Chen, N.; Zhang, X. Trends of streamflow, sediment load and their dynamic relation for the catchments in the middle reaches of the Yellow River over the past five decades. Hydrol. Earth Syst. Sci. 2012, 16, 3219–3231. [Google Scholar] [CrossRef]
- Yue, X.; Mu, X.; Zhao, G.; Shao, H.; Gao, P. Dynamic changes of sediment load in the middle reaches of the Yellow River basin, China and implications for eco-restoration. Ecol. Eng. 2014, 73, 64–72. [Google Scholar] [CrossRef]
- Wang, S.; Yan, Y.; Yan, M.; Zhao, X.; Lin, J.; Liu, C. Quantitative estimation of the impact of precipitation and human activities on runoff change of the Huangfuchuan River Basin. J. Geogr. Sci. 2012, 22, 906–918. [Google Scholar] [CrossRef]
- Wang, G.; Zhang, J.; Pagano, T.; Lin, J.; Liu, C. Identifying contributions of climate change and human activity to changes in runoff using epoch detection and hydrologic simulation. J. Hydrol. Eng. 2013, 18, 1385–1392. [Google Scholar] [CrossRef]
- Chang, J.; Wang, Y.; Istanbulluoglu, E.; Bai, T.; Huang, Q.; Yang, D.; Huang, S. Impact of climate change and human activities on runoff in the Weihe River Basin, China. Quat. Int. 2015, 380, 169–179. [Google Scholar] [CrossRef]
- Guo, Q.; Yang, Y.; Xiong, X. Using hydrologic simulation to identify contributions of climate change and human activity to runoff changes in the Kuye river basin, China. Environ. Earth Sci. 2016, 75, 417. [Google Scholar] [CrossRef]
- Luan, J.; Zhang, Y.; Tian, J.; Meresa, H.; Liu, D. Coal mining impacts on catchment runoff. J. Hydrol. 2020, 589, 125101. [Google Scholar] [CrossRef]
- Bao, Z.; Zhang, J.; Wang, G.; He, R.; Jin, J.; Wang, J.; Wu, H. Quantitative assessment of the attribution of runoff and sediment changes based on hydrologic model and machine learning: A case study of the Kuye River in the Middle Yellow River basin. Adv. Water Sci. 2021, 32, 485–496. [Google Scholar]
- Lotfirad, M.; Adib, A.; Salehpoor, J.; Ashrafzadeh, A.; Kisi, O. Simulation of the impact of climate change on runoff and drought in an arid and semiarid basin (the Hablehroud, Iran). Appl. Water Sci. 2021, 11, 1–24. [Google Scholar] [CrossRef]
- Li, H.; Shi, C.; Ma, X.; Liu, W. Quantification of the influencing factors of runoff and sediment discharge changes of the Kuye River catchment in the middle reaches of the Yellow River. Resour. Sci. 2020, 42, 499–507. (In Chinese) [Google Scholar] [CrossRef]
- Wang, H.; Lv, X.; Zhang, M. Sensitivity and attribution analysis based on the Budyko hypothesis for streamflow change in the Baiyangdian catchment, China. Ecol. Indic. 2021, 121, 107221. [Google Scholar] [CrossRef]
- Hou, K.; Wang, J.; Wang, X. Characteristic and attribution of runoff variation in the yanhe River Basin, Loess Plateau, based on the Budyko hypothesis. Water 2022, 14, 495. [Google Scholar] [CrossRef]
- Cheng, Q.; Zuo, X.; Zhong, F.; Gao, L.; Xiao, S. Runoff variation characteristics, association with large-scale circulation and dominant causes in the Heihe River Basin, Northwest China. Sci. Total Environ. 2019, 688, 361–379. [Google Scholar] [CrossRef]
- Hu, D.; Xu, M.; Kang, S.; Wu, H. Impacts of climate change and human activities on runoff changes in the Ob River Basin of the Arctic region from 1980 to 2017. Theor. Appl. Climatol. 2022, 148, 1663–1674. [Google Scholar] [CrossRef]
- Liu, X.; Li, H.; Li, X. Analysis on the cause of sharp decrease of runoff and sediment from Kuye River in Loess Plateau. J. Hydraul. Eng. 2022, 53, 296–305. (In Chinese) [Google Scholar]
- He, Y.; Mu, X.; Jiang, X.; Song, J. Runoff variation and influencing factors in the Kuye River basin of the middle Yellow River. Front. Environ. Sci. 2022, 10, 877535. [Google Scholar] [CrossRef]
- Huang, T.; Wang, Z.; Wu, Z.; Xiao, P.; Liu, Y. Attribution analysis of runoff evolution in Kuye River Basin based on the time-varying budyko framework. Front. Earth Sci. 2023, 10, 1092409. [Google Scholar] [CrossRef]
- Guo, Q.; Su, N.; Yang, Y.; Li, J.; Wang, X. Using hydrological simulation to identify contribution of coal mining to runoff change in the Kuye River Basin, China. Water Resour. 2017, 44, 586–594. [Google Scholar] [CrossRef]
- Zhang, J.; Dong, H.; Cheng, Y.; Yue, C.; Liu, K. Compilation of hydrogeological map of China. J. Groundw. Sci. Eng. 2020, 8, 381–395. [Google Scholar]
- Wang, Z. Satellite-Observed Effects from Ozone Pollution and Climate Change on Growing-Season Vegetation Activity over China during 1982–2020. Atmosphere 2021, 12, 1390. [Google Scholar] [CrossRef]
- Yue, S.; Pilon, P.; Phinney, B.; Cavadias, G. The influence of autocorrelation on the ability to detect trend in hydrological series. Hydrol. Process. 2002, 16, 1807–1829. [Google Scholar] [CrossRef]
- Mu, X.; Zhang, X.; Ggao, P.; Wang, F. Theory of double mass curves and its applications in hydrology and meteorology. J. China Hydrol. 2010, 30, 47–51. (In Chinese) [Google Scholar]
- Ran, L.; Wang, S.; Fan, X. Channel change at Toudaoguai Station and its responses to the operation of upstream reservoirs in the upper Yellow River. J. Geogr. Sci. 2010, 20, 231–247. [Google Scholar] [CrossRef]
- Mann, H.B.; Whitney, D.R. On a test of whether one of two random variables is stochastically larger than the other. Ann. Math. Stat. 1947, 18, 50–60. [Google Scholar] [CrossRef]
- Shi, C.; Zhou, Y.; Fan, X.; Shao, W. A study on the annual runoff change and its relationship with water and soil conservation practices and climate change in the middle Yellow River basin. Catena 2013, 100, 31–41. [Google Scholar] [CrossRef]
- Liu, W.; Shi, C.; Zhou, Y. Trends and attribution of runoff changes in the upper and middle reaches of the Yellow River in China. J. Hydro-Environ. Res. 2021, 37, 57–66. [Google Scholar] [CrossRef]
- Huang, X.; Qiu, L. Analysis of runoff variation and driving mechanism in Huangfuchuan River Basin in the middle reaches of the Yellow River, China. Appl. Water Sci. 2022, 12, 234. [Google Scholar] [CrossRef]










| Hydrological Station | Sub-Watershed | Control Area for Data Records/km2 | Actual Extracted Control Area/km2 | Error |
|---|---|---|---|---|
| Xinmiao | Xinmiao sub-watershed | 1527 | 1540 | 0.82% |
| Wangdaohengta | Wangdaohengta sub-watershed | 3839 | 3803 | −0.93% |
| Wenjiachuan | Kuye watershed | 8706 | 8643 | −0.72% |
| Hydrological Station | Runoff Z Value | Z Value of Sediment Load | Rainfall Z Value | Temperature Z Value | NDVI Z Value |
|---|---|---|---|---|---|
| Xinmiao | −6.16 | −6.44 | 1.34 | 5.59 | 6.67 |
| Wangdaohengta | −5.1 | −6.43 | 1.62 | 5.37 | 6.54 |
| Wenjiachuan | −5.89 | −6.47 | 1.61 | 5.18 | 6.59 |
| Double Cumulative Curves | Cumulative Departure Analysis | Sliding Rank Sum Test | ||||
|---|---|---|---|---|---|---|
| Annual Runoff Volume | Annual Sediment Yield | Annual Runoff Volume | Annual Sediment Yield | Annual Runoff Volume | Annual Sediment Yield | |
| Xinmiao | 1997 | 1997 | 1997 | 1991, 1997 | 1997 | 1997 |
| Wangdaohengta | 1997 | 1997 | 1986, 1997 | 1997 | 1997 | 1997 |
| Wenjiachuan | 1997 | 1997 | 1997 | 1997 | 1997 | 1997 |
| WJC | Cumulative Annual Runoff | Cumulative Annual Sediment Load | Cumulative Annual Rainfall | Cumulative Annual Average Temperature | Cumulative NDVI | |||||||||||
|---|---|---|---|---|---|---|---|---|---|---|---|---|---|---|---|---|
| Slope | Variation | Rate of Change | Slope | Slope | Rate of Change | Slope | Slope | Rate of Change | Slope | Slope | Rate of Change | Slope | Slope | Rate of Change | ||
| A1 | 1969–1997 | 5.79 | 0.906 | 381.9 | 7.13 | 0.21 | ||||||||||
| B | 1998–2011 | 1.66 | −4.13 | −0.71 | 0.047 | −0.859 | −0.95 | 361.64 | −20.26 | −0.05 | 8.47 | 1.34 | 0.19 | 0.26 | 0.05 | 0.24 |
| A2 | 1980–1997 | 5.14 | 0.77 | 394.76 | 7.3 | 0.21 | ||||||||||
| B | 1998–2011 | 1.66 | −3.48 | −0.68 | 0.05 | −0.72 | −0.94 | 361.64 | −33.12 | −0.08 | 8.47 | 1.17 | 0.16 | 0.26 | 0.05 | 0.26 |
| C | 2012–2019 | 3.47 | 1.81 | 1.09 | 479.27 | 117.63 | 0.33 | 8.56 | 0.09 | 0.01 | 0.31 | 0.05 | 0.19 | |||
| WDHT. | Cumulative Annual Runoff | Cumulative Annual Sediment Load | Cumulative Annual Rainfall | Cumulative Annual Average Temperature | Cumulative NDVI | |||||||||||
|---|---|---|---|---|---|---|---|---|---|---|---|---|---|---|---|---|
| Slope | Variation | Rate of Change | Slope | Variation | Rate of Change | Slope | Variation | Rate of Change | Slope | Variation | Rate of Change | Slope | Variation | Rate of Change | ||
| A1 | 1969–1997 | 2.02 | 0.253 | 367.58 | 6.66 | 0.21 | ||||||||||
| B | 1998–2011 | 0.68 | −1.34 | −0.66 | 0.00399 | −0.24907 | −0.98 | 351.42 | −16.16 | −0.04 | 7.86 | 1.2 | 0.18 | 0.26 | 0.05 | 0.24 |
| A2 | 1980–1997 | 1.7 | 0.22 | 376.66 | 6.84 | 0.21 | ||||||||||
| B | 1998–2011 | 0.68 | −1.02 | −0.60 | 0.004 | −0.336 | −0.99 | 351.42 | −25.24 | −0.07 | 7.86 | 1.02 | 0.15 | 0.26 | 0.05 | 0.25 |
| C | 2012–2019 | 1.49 | 0.81 | 1.19 | 447.96 | 96.54 | 0.27 | 8.26 | 0.4 | 0.05 | 0.30 | 0.04 | 0.14 | |||
| XM | Cumulative Annual Runoff | Cumulative Annual Sediment Load | Cumulative Annual Rainfall | Cumulative Annual Average Temperature | Cumulative NDVI | |||||||||||
|---|---|---|---|---|---|---|---|---|---|---|---|---|---|---|---|---|
| Slope | Variation | Rate of Change | Slope | Variation | Rate of Change | Slope | Variation | Rate of Change | Slope | Variation | Rate of Change | Slope | Variation | Rate of Change | ||
| A1 | 1969–1997 | 1.1 | 0.158 | 377.78 | 6.68 | 0.20 | ||||||||||
| B | 1998–2011 | 0.26 | −0.84 | −0.76 | 0.01407 | −0.14418 | −0.91 | 355.42 | −22.36 | −0.06 | 8.03 | 1.35 | 0.20 | 0.25 | 0.05 | 0.25 |
| A2 | 1980–1997 | 0.9 | 0.11 | 387.66 | 6.87 | 0.20 | ||||||||||
| B | 1998–2011 | 0.26 | −0.64 | −0.71 | 0.014 | −0.096 | −0.87 | 355.42 | −32.24 | −0.08 | 8.03 | 1.16 | 0.17 | 0.25 | 0.05 | 0.25 |
| C | 2012–2019 | 0.24 | −0.02 | −0.08 | 453.79 | 98.37 | 0.28 | 8.38 | 0.35 | 0.04 | 0.30 | 0.05 | 0.20 | |||
| Computing Scheme | Runoff | Sediment Load | |||
|---|---|---|---|---|---|
| Period A1–B (−) | Period A2–B (−) | Period B–C (+) | Period A1–B (−) | Period A2–B (−) | |
| rainfall | 7.44% | 12.39% | 29.83% | 5.60% | 8.97% |
| temperature | 26.35% | 23.67% | −0.97% | 19.82% | 17.14% |
| climate change | 33.79% | 36.06% | 28.86% | 25.42% | 26.11% |
| human activities | 66.21% | 63.94% | 71.14% | 74.58% | 73.89% |
| NDVI | 33.38% | 38.97% | −17.78% | 25.11% | 25.46% |
| others | 32.83% | 24.97% | 88.92% | 49.47% | 48.43% |
| Computing Scheme | Runoff | Sediment Load | |||
|---|---|---|---|---|---|
| Period A1–B (−) | Period A2–B (−) | Period B–C (+) | Period A1–B (−) | Period A2–B (−) | |
| rainfall | 6.63% | 11.17% | 23.06% | 4.47% | 4.00% |
| temperature | 27.16% | 24.85% | −4.27% | 18.30% | 21.17% |
| climate change | 33.79% | 36.02% | 18.79% | 22.77% | 25.17% |
| human activities | 66.21% | 63.98% | 81.21% | 77.23% | 74.83% |
| NDVI | 35.89% | 41.61% | −11.38% | 24.19% | 24.09% |
| others | 30.32% | 22.37% | 92.59% | 53.04% | 50.74% |
| Computing Scheme | Runoff | Sediment Load | ||
|---|---|---|---|---|
| Period A1–B (−) | Period A2–B (−) | Period A1–B (−) | Period A2–B (−) | |
| rainfall | 7.75% | 11.70% | 6.50% | 9.54% |
| temperature | 26.47% | 23.74% | 22.18% | 20.37% |
| climate change | 34.22% | 35.44% | 28.68% | 29.91% |
| human activities | 65.78% | 64.56% | 71.32% | 70.09% |
| NDVI (max) | 32.74% | 34.79% | 27.44% | 28.67% |
| others | 33.04% | 29.77% | 43.88% | 41.42% |
Disclaimer/Publisher’s Note: The statements, opinions and data contained in all publications are solely those of the individual author(s) and contributor(s) and not of MDPI and/or the editor(s). MDPI and/or the editor(s) disclaim responsibility for any injury to people or property resulting from any ideas, methods, instructions or products referred to in the content. |
© 2024 by the authors. Licensee MDPI, Basel, Switzerland. This article is an open access article distributed under the terms and conditions of the Creative Commons Attribution (CC BY) license (https://creativecommons.org/licenses/by/4.0/).
Share and Cite
Zhang, J.; Wang, J.; Zhao, N.; Shi, J.; Wang, Y. Analysis of Changes in Runoff and Sediment Load and Their Attribution in the Kuye River Basin of the Middle Yellow River Based on the Slope Change Ratio of Cumulative Quantity Method. Water 2024, 16, 944. https://doi.org/10.3390/w16070944
Zhang J, Wang J, Zhao N, Shi J, Wang Y. Analysis of Changes in Runoff and Sediment Load and Their Attribution in the Kuye River Basin of the Middle Yellow River Based on the Slope Change Ratio of Cumulative Quantity Method. Water. 2024; 16(7):944. https://doi.org/10.3390/w16070944
Chicago/Turabian StyleZhang, Jiankang, Jiping Wang, Nana Zhao, Jiansheng Shi, and Yichuan Wang. 2024. "Analysis of Changes in Runoff and Sediment Load and Their Attribution in the Kuye River Basin of the Middle Yellow River Based on the Slope Change Ratio of Cumulative Quantity Method" Water 16, no. 7: 944. https://doi.org/10.3390/w16070944
APA StyleZhang, J., Wang, J., Zhao, N., Shi, J., & Wang, Y. (2024). Analysis of Changes in Runoff and Sediment Load and Their Attribution in the Kuye River Basin of the Middle Yellow River Based on the Slope Change Ratio of Cumulative Quantity Method. Water, 16(7), 944. https://doi.org/10.3390/w16070944

