Analytically Enhanced Random Walk Approach for Rapid Concentration Mapping in Fractured Aquifers
Abstract
1. Introduction
2. Random Walk Approaches Used for Contaminant Transport Modeling in Discrete Fracture Networks
3. The Spatiotemporal Random Walk Approach
3.1. Step 1: Identifying the Contaminant Fate and Transport Mechanisms of Interest
3.2. Step 2: Selecting the Time Instance(s) of Interest and Calculating the Corresponding Mass Present in the Fracture
3.3. Step 3: Deriving an Analytical Expression for the Probability Distribution of Particle Displacement
3.4. Step 4: Estimating the CP

4. Method Verification in Single Fractures
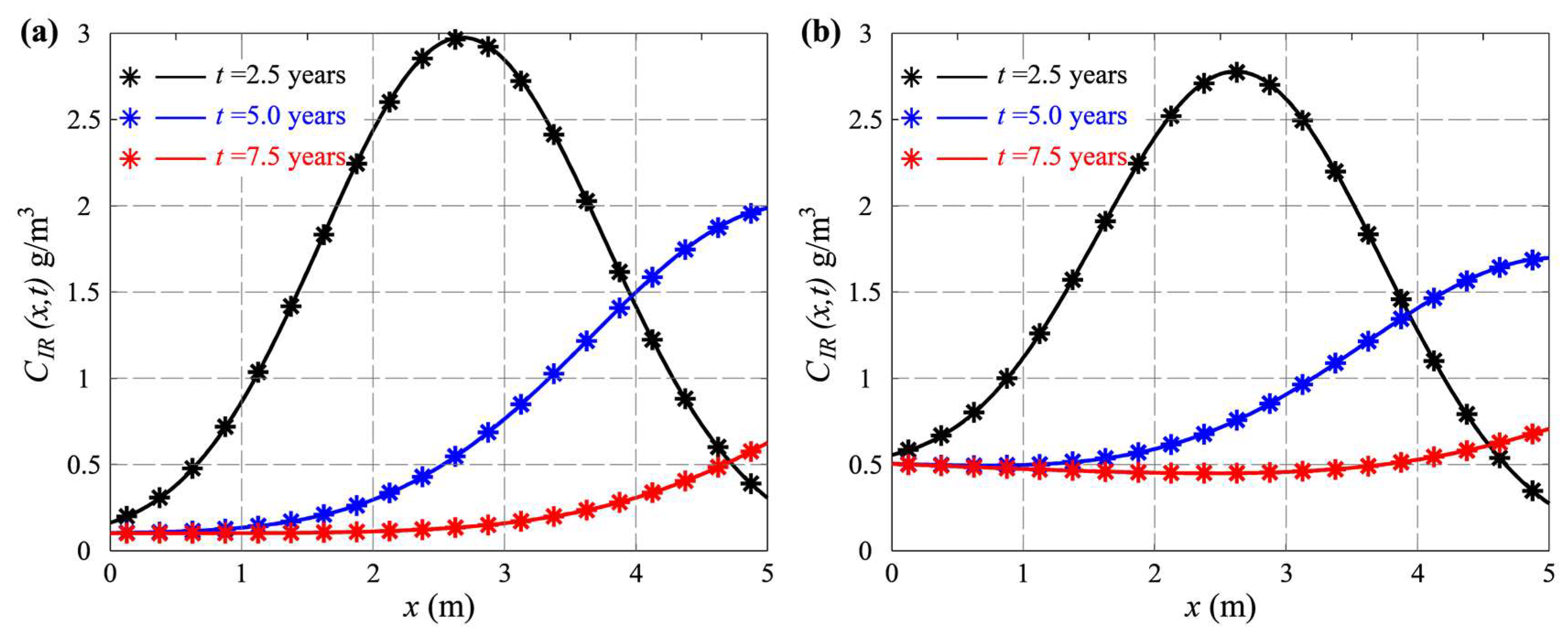
4.1. Case 1: Advection, Dispersion, and Reversible Deposition in Single Fractures
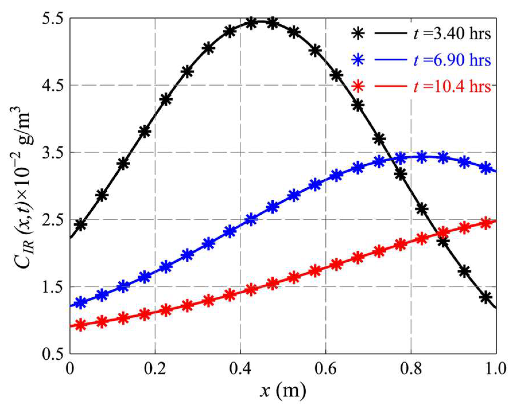
4.2. Case 2: Advection, Dispersion, and Irreversible Deposition in Single Fractures
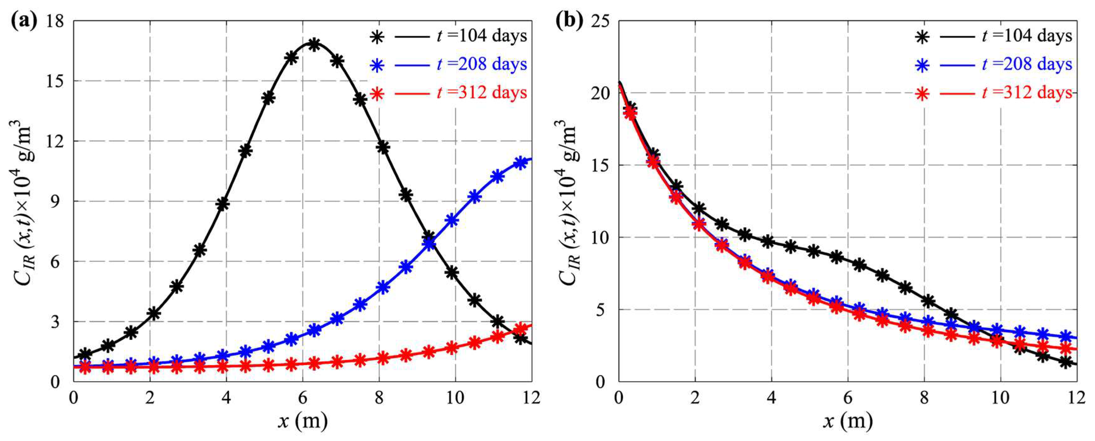
4.3. Case 3: Advection, Dispersion, and Matrix Diffusion in Single Fracture–Matrix Systems
4.4. Case 4: Advection, Size-Dependent Dispersion, and Irreversible Deposition in Single Fractures
5. Method Application in Discrete Fracture Networks
6. Results and Discussion
7. Conclusions
Author Contributions
Funding
Data Availability Statement
Acknowledgments
Conflicts of Interest
References
- Smith, M.; Cross, K.; Paden, M.; Laban, P. Spring—Managing Groundwater Sustainably; IUCN: Gland, Switzerland, 2016; ISBN 9782831717890. [Google Scholar]
- Zang, Y.; Hou, X.; Li, Z.; Li, P.; Sun, Y.; Yu, B.; Li, M. Quantify the Effects of Groundwater Level Recovery on Groundwater Nitrate Dynamics through a Quasi-3D Integrated Model for the Vadose Zone-Groundwater Coupled System. Water Res. 2022, 226, 119213. [Google Scholar] [CrossRef] [PubMed]
- Tang, Y.; Hooshyar, M.; Zhu, T.; Ringler, C.; Sun, A.Y.; Long, D.; Wang, D. Reconstructing Annual Groundwater Storage Changes in a Large-Scale Irrigation Region Using GRACE Data and Budyko Model. J. Hydrol. 2017, 551, 397–406. [Google Scholar] [CrossRef]
- Yosri, A.; Siam, A.; El-Dakhakhni, W.; Dickson-Anderson, S. A Genetic Programming–Based Model for Colloid Retention in Fractures. Groundwater 2019, 57, 693–703. [Google Scholar] [CrossRef] [PubMed]
- Masciopinto, C.; Passarella, G.; Caputo, M.C.; Masciale, R.; De Carlo, L. Hydrogeological Models of Water Flow and Pollutant Transport in Karstic and Fractured Reservoirs. Water Resour. Res. 2021, 57, 1–17. [Google Scholar] [CrossRef]
- Haggerty, R.; Sun, J.; Yu, H.; Li, Y. Application of Machine Learning in Groundwater Quality Modeling—A Comprehensive Review. Water Res. 2023, 233, 119745. [Google Scholar] [CrossRef]
- Yu, X.; Cui, T.; Sreekanth, J.; Mangeon, S.; Doble, R.; Xin, P.; Rassam, D.; Gilfedder, M. Deep Learning Emulators for Groundwater Contaminant Transport Modelling. J. Hydrol. 2020, 590, 125351. [Google Scholar] [CrossRef]
- Sprocati, R.; Rolle, M. Integrating Process-Based Reactive Transport Modeling and Machine Learning for Electrokinetic Remediation of Contaminated Groundwater. Water Resour. Res. 2021, 57, 1–22. [Google Scholar] [CrossRef]
- Yoon, S.; Lee, S.; Zhang, J.; Zeng, L.; Kang, P.K. Inverse Estimation of Multiple Contaminant Sources in Three-Dimensional Heterogeneous Aquifers with Variable-Density Flows. J. Hydrol. 2023, 617, 129041. [Google Scholar] [CrossRef]
- Barati Moghaddam, M.; Mazaheri, M.; Mohammad Vali Samani, J. Inverse Modeling of Contaminant Transport for Pollution Source Identification in Surface and Groundwaters: A Review. Groundw. Sustain. Dev. 2021, 15, 100651. [Google Scholar] [CrossRef]
- Palau, J.; Marchesi, M.; Chambon, J.C.C.; Aravena, R.; Canals, À.; Binning, P.J.; Bjerg, P.L.; Otero, N.; Soler, A. Multi-Isotope (Carbon and Chlorine) Analysis for Fingerprinting and Site Characterization at a Fractured Bedrock Aquifer Contaminated by Chlorinated Ethenes. Sci. Total Environ. 2014, 475, 61–70. [Google Scholar] [CrossRef]
- Chinye-Ikejiunor, N.; Iloegbunam, G.O.; Chukwuka, A.; Ogbeide, O. Groundwater Contamination and Health Risk Assessment across an Urban Gradient: Case Study of Onitcha Metropolis, South-Eastern Nigeria. Groundw. Sustain. Dev. 2021, 14, 100642. [Google Scholar] [CrossRef]
- Agudelo Moreno, L.J.; Zuleta Lemus, D.D.S.; Lasso Rosero, J.; Agudelo Morales, D.M.; Sepúlveda Castaño, L.M.; Paredes Cuervo, D. Evaluation of Aquifer Contamination Risk in Urban Expansion Areas as a Tool for the Integrated Management of Groundwater Resources. Case: Coffee Growing Region, Colombia. Groundw. Sustain. Dev. 2020, 10, 100298. [Google Scholar] [CrossRef]
- Du, C.; Li, X.; Gong, W. A DFN-Based Framework for Probabilistic Assessment of Groundwater Contamination in Fractured Aquifers. Chemosphere 2023, 337, 139232. [Google Scholar] [CrossRef]
- Joodavi, A.; Aghlmand, R.; Podgorski, J.; Dehbandi, R.; Abbasi, A. Characterization, Geostatistical Modeling and Health Risk Assessment of Potentially Toxic Elements in Groundwater Resources of Northeastern Iran. J. Hydrol. Reg. Stud. 2021, 37, 100885. [Google Scholar] [CrossRef]
- Fetter, C.W.; Boving, T.; Kreamer, D. Contaminant Hydrogeology, 3rd ed.; Waveland Press Inc.: Long Grove, IL, USA, 2017; ISBN 0023371358. [Google Scholar]
- Bekhit, H.M.; El-Kordy, M.A.; Hassan, A.E. Contaminant Transport in Groundwater in the Presence of Colloids and Bacteria: Model Development and Verification. J. Contam. Hydrol. 2009, 108, 152–167. [Google Scholar] [CrossRef] [PubMed]
- Chrysikopoulos, C.V.; Sotirelis, N.P.; Kallithrakas-Kontos, N.G. Cotransport of Graphene Oxide Nanoparticles and Kaolinite Colloids in Porous Media. Transp. Porous Media 2017, 119, 181–204. [Google Scholar] [CrossRef]
- Rod, K.; Um, W.; Chun, J.; Wu, N.; Yin, X.; Wang, G.; Neeves, K. Effect of Chemical and Physical Heterogeneities on Colloid-Facilitated Cesium Transport. J. Contam. Hydrol. 2018, 213, 22–27. [Google Scholar] [CrossRef]
- Tang, D.H.; Frind, E.O.; Sudicky, E.A. Contaminant Transport in Fractured Porous Media: Analytical Solution for a Single Fracture. Water Resour. Res. 1981, 17, 555–564. [Google Scholar] [CrossRef]
- Rausch, R.; Schafer, W.; Therrien, R.; Wagner, C. Solute Transport Modelling: An Introduction to Models and Solution Strategies; Gebr. Borntraeger Verlagsbuchhandlung: Stuttgart, Germany, 2005; ISBN 3443010555. [Google Scholar]
- Berre, I.; Doster, F.; Keilegavlen, E. Flow in Fractured Porous Media: A Review of Conceptual Models and Discretization Approaches. Transp. Porous Media 2019, 130, 215–236. [Google Scholar] [CrossRef]
- Iraola, A.; Trinchero, P.; Karra, S.; Molinero, J. Assessing Dual Continuum Method for Multicomponent Reactive Transport. Comput. Geosci. 2019, 130, 11–19. [Google Scholar] [CrossRef]
- Freeze, R.A.; Cherry, J.A. Groundwater; Prentice-Hall: Englewood Cliffs, NJ, USA, 1979; ISBN 0133653129. [Google Scholar]
- Katzourakis, V.E.; Chrysikopoulos, C.V. Two-Site Colloid Transport with Reversible and Irreversible Attachment: Analytical Solutions. Adv. Water Resour. 2019, 130, 29–36. [Google Scholar] [CrossRef]
- Abdel-Salam, A.; Chrysikopoulos, C.V. Analytical Solutions for One-Dimensional Colloid Transport in Saturated Fractures. Adv. Water Resour. 1994, 17, 283–296. [Google Scholar] [CrossRef]
- Delay, F.; Bodin, J. Time Domain Random Walk Method to Simulate Transport by Advection-Dispersion and Matrix Diffusion in Fracture Networks. Geophys. Res. Lett. 2001, 28, 4051–4054. [Google Scholar] [CrossRef]
- Liu, D.; Jivkov, A.P.; Wang, L.; Si, G.; Yu, J. Non-Fickian Dispersive Transport of Strontium in Laboratory-Scale Columns: Modelling and Evaluation. J. Hydrol. 2017, 549, 1–11. [Google Scholar] [CrossRef]
- Liu, L.; Meng, S.; Li, C. A New Analytical Solution of Contaminant Transport along a Single Fracture Connected with Porous Matrix and Its Time Domain Random Walk Algorithm. J. Hydrol. 2022, 610, 127828. [Google Scholar] [CrossRef]
- Meng, S.; Liu, L. Solute Transport in Fractured Porous Media: Implementation of the Time Domain Random Walk Algorithm for Different Injection Boundaries. J. Hydrol. 2023, 618, 129209. [Google Scholar] [CrossRef]
- Sudicky, E.A.; Frind, E.O. Contaminant Transport in Fractured Porous Media: Analytical Solutions for a System of Parallel Fractures. Water Resour. Res. 1982, 18, 1634–1642. [Google Scholar] [CrossRef]
- James, S.C.; Chrysikopoulos, V. Transport of Polydisperse Colloid Suspensions in a Single Fracture. Water Resour. Res. 1999, 35, 707–718. [Google Scholar] [CrossRef]
- Kreft, A.; Zuber, A. On the Physical Meaning of the Dispersion Equation and Its Solutions for Different Initial and Boundary Conditions. Chem. Eng. Sci. 1978, 33, 1471–1480. [Google Scholar] [CrossRef]
- March, R.; Doster, F.; Geiger, S. Assessment of CO2 Storage Potential in Naturally Fractured Reservoirs with Dual-Porosity Models. Water Resour. Res. 2018, 54, 1650–1668. [Google Scholar] [CrossRef]
- Perina, T. Semi-Analytical Model for Solute Transport in a Three-Dimensional Aquifer with Dual Porosity and a Volumetric Source Term. J. Hydrol. 2022, 607, 127520. [Google Scholar] [CrossRef]
- Jerbi, C.; Fourno, A.; Noetinger, B.; Delay, F. A New Estimation of Equivalent Matrix Block Sizes in Fractured Media with Two-Phase Flow Applications in Dual Porosity Models. J. Hydrol. 2017, 548, 508–523. [Google Scholar] [CrossRef]
- Botros, F.E.; Hassan, A.E.; Reeves, D.M.; Pohll, G. On Mapping Fracture Networks onto Continuum. Water Resour. Res. 2008, 44, 1–17. [Google Scholar] [CrossRef]
- Sweeney, M.R.; Gable, C.W.; Karra, S.; Stauffer, P.H.; Pawar, R.J.; Hyman, J.D. Upscaled Discrete Fracture Matrix Model (UDFM): An Octree-Refined Continuum Representation of Fractured Porous Media. Comput. Geosci. 2020, 24, 293–310. [Google Scholar] [CrossRef]
- Noetinger, B.; Roubinet, D.; Russian, A.; Le Borgne, T.; Delay, F.; Dentz, M.; de Dreuzy, J.R.; Gouze, P. Random Walk Methods for Modeling Hydrodynamic Transport in Porous and Fractured Media from Pore to Reservoir Scale. Transp. Porous Media 2016, 115, 345–385. [Google Scholar] [CrossRef]
- Berkowitz, B.; Cortis, A.; Dentz, M.; Scher, H. Modeling Non-Fickian Transport in Geological Formations as a Continuous Time Random Walk. Rev. Geophys. 2006, 44, 1–49. [Google Scholar] [CrossRef]
- Li, X.; Zhang, Y.; Reeves, D.M.; Zheng, C. Fractional-Derivative Models for Non-Fickian Transport in a Single Fracture and Its Extension. J. Hydrol. 2020, 590, 125396. [Google Scholar] [CrossRef]
- Yin, M.; Ma, R.; Zhang, Y.; Wei, S.; Tick, G.R.; Wang, J.; Sun, Z.; Sun, H.; Zheng, C. A Distributed-Order Time Fractional Derivative Model for Simulating Bimodal Sub-Diffusion in Heterogeneous Media. J. Hydrol. 2020, 591, 125504. [Google Scholar] [CrossRef]
- Dong, P.; Yin, M.; Zhang, Y.; Chen, K.; Finkel, M.; Grathwohl, P.; Zheng, C. A Fractional-Order Dual-Continuum Model to Capture Non-Fickian Solute Transport in a Regional-Scale Fractured Aquifer. J. Contam. Hydrol. 2023, 258, 104231. [Google Scholar] [CrossRef]
- Hu, Y.; Xu, W.; Zhan, L.; Zou, L.; Chen, Y. Modeling of Solute Transport in a Fracture-Matrix System with a Three-Dimensional Discrete Fracture Network. J. Hydrol. 2022, 605, 127333. [Google Scholar] [CrossRef]
- Lei, Q.; Latham, J.P.; Tsang, C.F. The Use of Discrete Fracture Networks for Modelling Coupled Geomechanical and Hydrological Behaviour of Fractured Rocks. Comput. Geotech. 2017, 85, 151–176. [Google Scholar] [CrossRef]
- Zimmerman, R.W.; Chen, G.; Hadgu, T.; Bodvarsson, G.S. A Numerical Dual-porosity Model with Semianalytical Treatment of Fracture/Matrix Flow. Water Resour. Res. 1993, 29, 2127–2137. [Google Scholar] [CrossRef]
- Berkowitz, B. Characterizing Flow and Transport in Fractured Geological Media: A Review. Adv. Water Resour. 2002, 25, 861–884. [Google Scholar] [CrossRef]
- Svensson, U. A Continuum Representation of Fracture Networks. Part I: Method and Basic Test Cases. J. Hydrol. 2001, 250, 170–186. [Google Scholar] [CrossRef]
- Ahmed, M.I.; Abd-Elmegeed, M.A.; Hassan, A.E. Modelling Transport in Fractured Media Using the Fracture Continuum Approach. Arab. J. Geosci. 2019, 12, 172. [Google Scholar] [CrossRef]
- Makedonska, N.; Hyman, J.D.; Karra, S.; Painter, S.L.; Gable, C.W.; Viswanathan, H.S. Evaluating the Effect of Internal Aperture Variability on Transport in Kilometer Scale Discrete Fracture Networks. Adv. Water Resour. 2016, 94, 486–497. [Google Scholar] [CrossRef]
- Huang, N.; Zhang, Y.; Han, S. Effects of Topological Properties with Local Variable Apertures on Solute Transport through Three-Dimensional Discrete Fracture Networks. Processes 2023, 11, 3157. [Google Scholar] [CrossRef]
- Yosri, A.; Dickson-Anderson, S.; Siam, A.; El-Dakhakhni, W. Transport Pathway Identification in Fractured Aquifers: A Stochastic Event Synchrony-Based Framework. Adv. Water Resour. 2021, 147, 103800. [Google Scholar] [CrossRef]
- Somogyvári, M.; Jalali, M.; Jimenez Parras, S.; Bayer, P. Synthetic Fracture Network Characterization with Transdimensional Inversion. Water Resour. Res. 2017, 53, 5104–5123. [Google Scholar] [CrossRef]
- Bodin, J.; Porel, G.; Delay, F.; Ubertosi, F.; Bernard, S.; de Dreuzy, J.R. Simulation and Analysis of Solute Transport in 2D Fracture/Pipe Networks: The SOLFRAC Program. J. Contam. Hydrol. 2007, 89, 1–28. [Google Scholar] [CrossRef]
- Yosri, A.; Dickson-Anderson, S.; El-Dakhakhni, W. A Modified Time Domain Random Walk Approach for Simulating Colloid Behavior in Fractures: Method Development and Verification. Water Resour. Res. 2020, 56, 1–15. [Google Scholar] [CrossRef]
- Khafagy, M.; El-Dakhakhni, W.; Dickson-Anderson, S. Analytical Model for Solute Transport in Discrete Fracture Networks: 2D Spatiotemporal Solution with Matrix Diffusion. Comput. Geosci. 2022, 159, 104983. [Google Scholar] [CrossRef]
- Rhodes, M.E.; Blunt, M.J. An Exact Particle Tracking Algorithm for Advective-Dispersive Transport in Networks with Complete Mixing at Nodes. Water Resour. Res. 2006, 42, 1–7. [Google Scholar] [CrossRef]
- Wang, L.; Cardenas, M.B. An Efficient Quasi-3D Particle Tracking-Based Approach for Transport through Fractures with Application to Dynamic Dispersion Calculation. J. Contam. Hydrol. 2015, 179, 47–54. [Google Scholar] [CrossRef] [PubMed]
- Khafagy, M.M.; Abd-Elmegeed, M.A.; Hassan, A.E. Simulation of Reactive Transport in Fractured Geologic Media Using Random-Walk Particle Tracking Method. Arab. J. Geosci. 2020, 13, 34. [Google Scholar] [CrossRef]
- Hassan, A.E.; Cushman, J.H.; Delleur, J.W. Monte Carlo Studies of Flow and Transport in Fractal Conductivity Fields: Comparison with Stochastic Perturbation Theory. Water Resour. Res. 1997, 33, 2519–2534. [Google Scholar] [CrossRef]
- Banton, O.; Delay, F.; Porel, G. A New Time Domain Random Walk Method for Solute Transport in 1-D Heterogeneous Media. Groundwater 1997, 35, 1008–1013. [Google Scholar] [CrossRef]
- Bodin, J.; Porel, G.; Delay, F. Simulation of Solute Transport in Discrete Fracture Networks Using the Time Domain Random Walk Method. Earth Planet. Sci. Lett. 2003, 208, 297–304. [Google Scholar] [CrossRef]
- Wei, Y.; Chen, J. DFNSC: A Particle Tracking Discrete Fracture Network Simulator Considering Successive Spatial Correlation. Comput. Geotech. 2021, 135, 104156. [Google Scholar] [CrossRef]
- Salamon, P.; Fernàndez-Garcia, D.; Gómez-Hernández, J.J. A Review and Numerical Assessment of the Random Walk Particle Tracking Method. J. Contam. Hydrol. 2006, 87, 277–305. [Google Scholar] [CrossRef]
- Majumder, P.; Eldho, T.I. Reactive Contaminant Transport Simulation Using the Analytic Element Method, Random Walk Particle Tracking and Kernel Density Estimator. J. Contam. Hydrol. 2019, 222, 76–88. [Google Scholar] [CrossRef]
- Hassan, A.E.; Mohamed, M.M. On Using Particle Tracking Methods to Simulate Transport in Single-Continuum and Dual Continua Porous Media. J. Hydrol. 2003, 275, 242–260. [Google Scholar] [CrossRef]
- Pan, L.; Bodvarsson, G.S. Modeling Transport in Fractured Porous Media with the Random-Walk Particle Method: The Transient Activity Range and the Particle Transfer Probability. Water Resour. Res. 2002, 38, 16-1–16-17. [Google Scholar] [CrossRef]
- Cvetkovic, V.; Selroos, J.O.; Cheng, H. Transport of Reactive Tracers in Rock Fractures. J. Fluid Mech. 1999, 378, 335–356. [Google Scholar] [CrossRef]
- Hassan, A.; Pohlmann, K.; Chapman, J. Uncertainty Analysis of Radionuclide Transport in a Fractured Coastal Aquifer with Geothermal Effects. Transp. Porous Media 2001, 43, 107–136. [Google Scholar] [CrossRef]
- Bear, J. Dynamics of Fluids in Porous Media; American Elsevier: New York, NY, USA, 1972. [Google Scholar]
- James, S.C.; Chrysikopoulos, C.V. Analytical Solutions for Monodisperse and Polydisperse Colloid Transport in Uniform Fractures. Colloids Surf. A Physicochem. Eng. Asp. 2003, 226, 101–118. [Google Scholar] [CrossRef]
- Ogata, A.; Banks, R.B. A Solution of the Differential Equation of Longitudinal Dispersion in Porous Media; Report No. 411-A; United States Government Printing Office: Washington, DC, USA, 1961. [CrossRef]
- Cohen, M.; Weisbrod, N. Transport of Iron Nanoparticles through Natural Discrete Fractures. Water Res. 2018, 129, 375–383. [Google Scholar] [CrossRef] [PubMed]
- Rodrigues, S.; Dickson, S. A Phenomenological Model for Particle Retention in Single, Saturated Fractures. Groundwater 2014, 52, 277–283. [Google Scholar] [CrossRef] [PubMed]
- Stoll, M.; Huber, F.M.; Schill, E.; Schäfer, T. Parallel-Plate Fracture Transport Experiments of Nanoparticulate Illite in the Ultra-Trace Concentration Range Investigated by Laser-Induced Breakdown Detection (LIBD). Colloids Surf. A Physicochem. Eng. Asp. 2017, 529, 222–230. [Google Scholar] [CrossRef]
- Ledin, A.; Karlsson, S.; Düker, A.; Allard, B. Measurements in Situ of Concentration and Size Distribution of Colloidal Matter in Deep Groundwaters by Photon Correlation Spectroscopy. Water Res. 1994, 28, 1539–1545. [Google Scholar] [CrossRef]







| Verification Case | Fate and Transport Mechanisms Considered | Reference for the Corresponding Analytical Solution |
|---|---|---|
| Case 1 | Advection, dispersion, and reversible deposition | [70] |
| Case 2 | Advection, dispersion, and irreversible deposition | [26] |
| Case 3 | Advection, dispersion, and matrix diffusion | [20] |
| Case 4 | Advection, size-dependent dispersion, and irreversible deposition | [71] |
Disclaimer/Publisher’s Note: The statements, opinions and data contained in all publications are solely those of the individual author(s) and contributor(s) and not of MDPI and/or the editor(s). MDPI and/or the editor(s) disclaim responsibility for any injury to people or property resulting from any ideas, methods, instructions or products referred to in the content. |
© 2024 by the authors. Licensee MDPI, Basel, Switzerland. This article is an open access article distributed under the terms and conditions of the Creative Commons Attribution (CC BY) license (https://creativecommons.org/licenses/by/4.0/).
Share and Cite
Yosri, A.; Ghaith, M.; Ahmed, M.I.; El-Dakhakhni, W. Analytically Enhanced Random Walk Approach for Rapid Concentration Mapping in Fractured Aquifers. Water 2024, 16, 1020. https://doi.org/10.3390/w16071020
Yosri A, Ghaith M, Ahmed MI, El-Dakhakhni W. Analytically Enhanced Random Walk Approach for Rapid Concentration Mapping in Fractured Aquifers. Water. 2024; 16(7):1020. https://doi.org/10.3390/w16071020
Chicago/Turabian StyleYosri, Ahmed, Maysara Ghaith, Mohamed Ismaiel Ahmed, and Wael El-Dakhakhni. 2024. "Analytically Enhanced Random Walk Approach for Rapid Concentration Mapping in Fractured Aquifers" Water 16, no. 7: 1020. https://doi.org/10.3390/w16071020
APA StyleYosri, A., Ghaith, M., Ahmed, M. I., & El-Dakhakhni, W. (2024). Analytically Enhanced Random Walk Approach for Rapid Concentration Mapping in Fractured Aquifers. Water, 16(7), 1020. https://doi.org/10.3390/w16071020

