Model-Assisted Optimization of Cobalt Biosorption on Macroalgae Padina pavonica for Wastewater Treatment
Abstract
1. Introduction
2. Materials and Methods
2.1. Collection of Algae
2.2. Sampling of Agricultural Wastewater
2.3. Biosorbent Characterization
2.4. Batch Biosorption Experiments
2.5. Experimental Design Using RSM and Statistical Analysis
2.6. Thermodynamic, Isotherm, and Kinetic Studies
2.6.1. Thermodynamic Analysis
2.6.2. Isotherm Models
2.6.3. Kinetic Models
3. Results and Discussion
3.1. Characterization of Biosorbent
3.2. Biosorption Parameter Study
The Impact of Initial Co(II) Concentration, Contact Time, and Temperature on the Removal Efficiency of Co(II) Ions
3.3. Box–Behnken Design (BBD) and Data Analysis
3.3.1. Model Development
3.3.2. ANOVA Analysis
3.3.3. Response Surface Analysis and the Optimization of Co(II) Biosorption
3.3.4. Validation and Confirmation of the Quadratic Model
3.4. Thermodynamic Properties
3.5. Isotherm Model for Biosorption
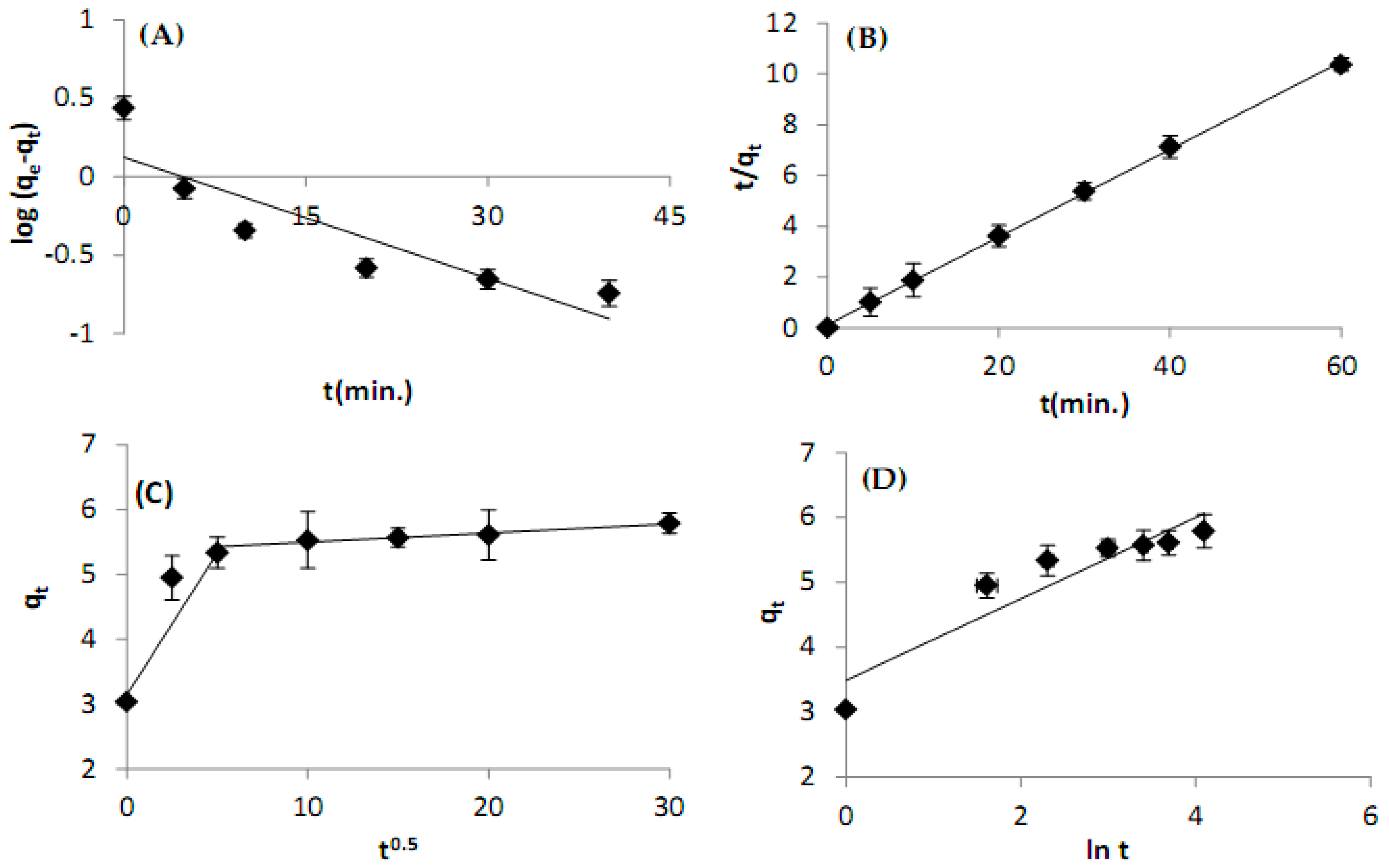
3.6. Kinetic Model for Biosorption
3.7. Adsorption Mechanism
3.8. Biosorption Efficiency of Cobalt Ions from Agricultural Wastewater
4. Conclusions
Supplementary Materials
Author Contributions
Funding
Data Availability Statement
Acknowledgments
Conflicts of Interest
References
- Conte, N.; Díez, E.; Almendras, B.; Gómez, J.M.; Rodríguez, A. Sustainable Recovery of Cobalt from Aqueous Solutions Using an Optimized Mesoporous Carbon. J. Sustain. Metall. 2023, 9, 266–279. [Google Scholar] [CrossRef]
- Taha, A.; Hussien, W.; Gouda, S.A. Bioremediation of Heavy Metals in Wastewaters: A Concise Review. Egypt. J. Aquat. Biol. Fish. 2023, 27, 143–166. [Google Scholar] [CrossRef]
- Saleh, T.A.; Tuzen, M.; Sarı, A. Polyethylenimine modified activated carbon as novel magnetic adsorbent for the removal of uranium from aqueous solution. Chem. Eng. Res. Des. 2017, 117, 218–227. [Google Scholar] [CrossRef]
- Akeel, A.; Jahan, A. Role of cobalt in plants: Its stress and alleviation. Contam. Agric. Sources Impacts Manag. 2020, 339–357. [Google Scholar] [CrossRef]
- Leyssens, L.; Vinck, B.; Van Der Straeten, C.; Wuyts, F.; Maes, L. Cobalt toxicity in humans—A review of the potential sources and systemic health effects. Toxicology 2017, 387, 43–56. [Google Scholar] [CrossRef] [PubMed]
- Romera, E.; González, F.; Ballester, A.; Blázquez, M.L.; Munoz, J.A. Comparative study of biosorption of heavy metals using different types of algae. Bioresour. Technol. 2007, 98, 3344–3353. [Google Scholar] [CrossRef] [PubMed]
- Finley, B.L.; Monnot, A.D.; Gaffney, S.H.; Paustenbach, D.J. Dose-response relationships for blood cobalt concentrations and health effects: A review of the literature and application of a biokinetic model. J. Toxicol. Environ. Health-B 2012, 15, 493–523. [Google Scholar] [CrossRef] [PubMed]
- Anand, S.R.; Aggarwal, R.; Saini, D.; Sonker, A.K.; Chauhan, N.; Sonkar, S.K. Removal of toxic chromium (VI) from the wastewater under the sunlight-illumination by functionalized carbon nano-rods. Sol. Energy 2019, 193, 774–781. [Google Scholar] [CrossRef]
- Beni, A.A.; Esmaeili, A. Biosorption, an efficient method for removing heavy metals from industrial effluents: A review. Environ. Technol. Innov. 2020, 17, 100503. [Google Scholar] [CrossRef]
- Khoo, K.M.; Ting, Y.P. Biosorption of gold by immobilized fungal biomass. Biochem. Eng. J. 2001, 8, 51–59. [Google Scholar] [CrossRef] [PubMed]
- Ordóñez, J.I.; Cortés, S.; Maluenda, P.; Soto, I. Biosorption of Heavy Metals with Algae: Critical Review of Its Application in Real Effluents. Sustainability 2023, 15, 5521. [Google Scholar] [CrossRef]
- Ordóñez, J.I.; Wong-Pinto, L.; Cortés, S. Biotecnología aplicada a la valorización de relaves mineros. In Economía Circular en Procesos Mineros; Cisternas, L., Gálvez, E., Rivas, M., Valderrama, J., Eds.; RIL Editores: Santiago, Chile, 2021; pp. 63–91. [Google Scholar]
- Mata, Y.N.; Blázquez, M.L.; Ballester, A.; González, F.; Muñoz, J.A. Characterization of the Biosorption of Cadmium, Lead and Copper with the Brown Alga Fucus vesiculosus. J. Hazard. Mater. 2008, 158, 316–323. [Google Scholar] [CrossRef]
- Sheng, P.X.; Ting, Y.P.; Chen, J.P.; Hong, L. Sorption of lead, copper, cadmium, zinc, and nickel by marine algal biomass: Characterization of biosorptive capacity and investigation of mechanisms. J. Colloid Interface Sci. 2004, 275, 131–141. [Google Scholar] [CrossRef]
- Ceban, I.; Lupascu, T.; Mikhalovsky, S.; Nastas, R. Adsorption of Cobalt and Strontium Ions on Plant-Derived Activated Carbons: The Suggested Mechanisms. C 2023, 9, 71. [Google Scholar]
- Guarín, J.R.; Moreno-Pirajan, J.C.; Giraldo, L. Kinetic Study of the Bioadsorption of Methylene Blue on the Surface of the Biomass Obtained from the Algae D. antarctica. J. Chem. 2018, 2018, 2124845. [Google Scholar] [CrossRef]
- Fawzy, M.A.; Aloufi, A.S.; Hassan, S.H.; Alessa, A.H.; Alsaigh, A.A.; Koutb, M.; Abdel-Rahim, I.R. Sustainable Use of Marine Macroalga Sargassum muticum as a Biosorbent for Hazardous Crystal Violet Dye: Isotherm, Kinetic and Thermodynamic Modeling. Sustainability 2023, 15, 15064. [Google Scholar] [CrossRef]
- Postai, D.L.; Demarchi, C.A.; Zanatta, F.; Melo, D.C.C.; Rodrigues, C.A. Adsorption of rhodamine B and methylene blue dyes using waste of seeds of Aleurites moluccana, a low cost adsorbent. Alex. Eng. J. 2016, 55, 1713–1723. [Google Scholar] [CrossRef]
- Salmana, S.M.; Wahaba, M.; Zahoorb, M.; Shahwarc, D.; Sultanaa, S.; Alamzebd, M.; Ahmeda, S. Green mediated biosorption of Pb (II) from aqueous solution using chemically modified low-cost Grewia optiva leaves. Desalin. Water Treat. 2020, 195, 413–420. [Google Scholar] [CrossRef]
- Salem, D.M.; Moawad, M.N.; El-Sayed, A.A. Comparative study for bioremediation of cobalt contaminated aqueous solutions by two types of marine macroalgae. Egypt. J. Aquat. Res. 2021, 47, 13–19. [Google Scholar] [CrossRef]
- Elsayed, A.; Moussa, Z.; Alrdahe, S.S.; Alharbi, M.M.; Ghoniem, A.A.; El-Khateeb, A.Y.; Saber, W.I. Optimization of heavy metals biosorption via artificial neural network: A case study of Cobalt (II) sorption by Pseudomonas alcaliphila NEWG-2. Front. Microbiol. 2022, 13, 893603. [Google Scholar] [CrossRef] [PubMed]
- Bouras, H.D.; Isik, Z.; Arikan, E.B.; Yeddou, A.R.; Bouras, N.; Chergui, A.; Favier, L.; Amrane, A.; Dizge, N. Biosorption characteristics of methylene blue dye by two fungal biomasses. Int. J. Environ. Stud. 2021, 78, 365–381. [Google Scholar] [CrossRef]
- Arief, V.O.; Trilestari, K.; Sunarso, J.; Indraswati, N.; Ismadji, S. Recent progress on biosorption of heavy metals from liquids using low cost biosorbents: Characterization, biosorption parameters and mechanism studies. CLEAN–Soil Air Water 2008, 36, 937–962. [Google Scholar] [CrossRef]
- Wang, M.; Fu, M.; Li, J.; Niu, Y.; Zhang, Q.; Sun, Q. New insight into polystyrene ion exchange resin for efficient cesium sequestration: The synergistic role of confined zirconium phosphate nanocrystalline. Chin. Chem. Lett. 2024, 35, 108442. [Google Scholar] [CrossRef]
- Sandesh, K.; Suresh Kumar, R.; JagadeeshBabu, P.E. Rapid removal of cobalt (II) from aqueous solution using cuttlefish bones; equilibrium, kinetics, and thermodynamic study. Asia-Paci. J. Chem. Eng. 2013, 8, 144–153. [Google Scholar] [CrossRef]
- Ibrahim, W.M.; Hassan, A.F.; Azab, Y.A. Biosorption of toxic heavy metals from aqueous solution by Ulva lactuca activated carbon. Egypt. J. Basic Appl. Sci. 2016, 3, 241–249. [Google Scholar] [CrossRef]
- Omidvar-Hosseini, F.; Moeinpour, F. Removal of Pb (II) from aqueous solutions using Acacia nilotica seed shell ash supported Ni0.5Zn0.5Fe2O4 magnetic nanoparticles. J. Water Reuse Desal. 2016, 6, 562–573. [Google Scholar] [CrossRef]
- Tahoon, M.A.; Siddeeg, S.M.; Salem Alsaiari, N.; Mnif, W.; Ben Rebah, F. Effective heavy metals removal from water using nanomaterials: A review. Processes 2020, 8, 645. [Google Scholar] [CrossRef]
- Ranaweera, K.H.; Godakumbura, P.I.; Perera, B.A. Adsorptive removal of Co (II) in aqueous solutions using clearing nut seed powder. Heliyon 2020, 6, e03684. [Google Scholar] [CrossRef] [PubMed]
- Li, X.; Xiao, Q.; Shao, Q.; Li, X.; Kong, J.; Liu, L.; Zhao, Z.; Li, R. Adsorption of Cd (II) by a novel living and non-living Cupriavidus necator GX_5: Optimization, equilibrium and kinetic studies. BMC Chem. 2023, 17, 54. [Google Scholar] [CrossRef]
- Bai, M.T.; Venkateswarlu, P. Fixed bed and batch studies on biosorption of lead using Sargassum tenerrimum powder: Characterization, Kinetics and Thermodynamics. Mater. Today Proc. 2018, 5, 18024–18037. [Google Scholar]
- Khalaf, H.A.; El-Sheekh, M.M.; Makhlof, M.E. Lychaete pellucida as a novel biosorbent for the biodegradation of hazardous azo dyes. Environ. Monit. Assess. 2023, 195, 929. [Google Scholar] [CrossRef]
- Fawzy, M.A. Biosorption of copper ions from aqueous solution by Codium vermilara: Optimization, kinetic, isotherm and thermodynamic studies. Adv. Powder Technol. 2020, 31, 3724–3735. [Google Scholar] [CrossRef]
- Alharbi, N.K.; Al-Zaban, M.I.; Albarakaty, F.M.; Abdelwahab, S.F.; Hassan, S.H.; Fawzy, M.A. Kinetic, isotherm and thermodynamic aspects of Zn2+ biosorption by Spirulina platensis: Optimization of process variables by response surface methodology. Life 2022, 12, 585. [Google Scholar] [CrossRef] [PubMed]
- Jayan, N.; Bhatlu, M.L.D.; Akbar, S.T. Central composite design for adsorption of Pb (II) and Zn (II) metals on PKM-2 Moringa oleifera leaves. ACS Omega 2021, 6, 25277–25298. [Google Scholar] [CrossRef] [PubMed]
- Masoumi, H.; Ghaemi, A.; Gilani, H.G. Synthesis of polystyrene-based hyper-cross-linked polymers for Cd (II) ions removal from aqueous solutions: Experimental and RSM modeling. J. Hazard. Mater. 2021, 416, 125923. [Google Scholar] [CrossRef] [PubMed]
- Ibrahim, A.G.; Baazeem, A.; Al-Zaban, M.I.; Fawzy, M.A.; Hassan, S.H.; Koutb, M. Sustainable Biodiesel Production from a New Oleaginous Fungus, Aspergillus carneus Strain OQ275240: Biomass and Lipid Production Optimization Using Box–Behnken Design. Sustainability 2023, 15, 6836. [Google Scholar] [CrossRef]
- Madadgar, S.; Doulati Ardejani, F.; Boroumand, Z.; Sadeghpour, H.; Taherdangkoo, R.; Butscher, C. Biosorption of Aqueous Pb (II), Co (II), Cd (II) and Ni (II) Ions from Sungun Copper Mine Wastewater by Chrysopogon zizanioides Root Powder. Minerals 2023, 13, 106. [Google Scholar] [CrossRef]
- Shaban, M.; Abukhadra, M.R.; Khan, A.A.P.; Jibali, B.M. Removal of Congo red, methylene blue and Cr (VI) ions from water using natural serpentine. J. Taiwan Inst. Chem. Eng. 2018, 82, 102–116. [Google Scholar] [CrossRef]
- Martini, S.; Afroze, S.; Roni, K.A. Modified eucalyptus bark as a sorbent for simultaneous removal of COD, oil, and Cr (III) from industrial wastewater. Alex. Eng. J. 2020, 59, 1637–1648. [Google Scholar] [CrossRef]
- Monteiro, C.M.; Castro, P.M.; Xavier Malcata, F. Biosorption of zinc ions from aqueous solution by the microalga Scenedesmus obliquus. Environ. Chem. Lett. 2011, 9, 169–176. [Google Scholar] [CrossRef]
- Kumar, P.S.; Kirthika, K. Equilibrium and kinetic study of adsorption of nickel from aqueous solution onto bael tree leaf powder. J. Eng. Sci. Technol. 2009, 4, 351–363. [Google Scholar]
- Pang, J.; Fu, F.; Ding, Z.; Lu, J.; Li, N.; Tang, B. Adsorption behaviors of methylene blue from aqueous solution on mesoporous birnessite. J. Taiwan Inst. Chem. Eng. 2017, 77, 168–176. [Google Scholar] [CrossRef]
- Gao, W.; Zhao, S.; Wu, H.; Deligeer, W.; Asuha, S. Direct acid activation of kaolinite and its effects on the adsorption of methylene blue. Appl. Clay Sci. 2016, 126, 98–106. [Google Scholar] [CrossRef]
- Soleymani, F.; Pahlevanzadeh, H.; Khani, M.H.; Manteghian, M. Biosorption of cobalt (II) by intact and chemically modified brown algae: Optimization using response surface methodology and equilibrium, dynamics and thermodynamics studies. Iran J. Chem. Eng. 2014, 11, 77. [Google Scholar]
- Babu, P.N.; Binnal, P.; Kumar, D.J. Biosorption of Zn2+ on non-living biomass of S. platensis immobilized on polyurethane foam cubes: Column studies. J. Biochem. Technol. 2015, 6, 852–859. [Google Scholar]
- Yagub, M.T.; Sen, T.K.; Afroze, S.; Ang, H.M. Dye and its removal from aqueous solution by adsorption: A review. Adv. Colloid Interface Sci. 2014, 209, 172–184. [Google Scholar] [CrossRef] [PubMed]
- Danish, M.; Ahmad, T.; Majeed, S.; Ahmad, M.; Ziyang, L.; Pin, Z.; Iqubal, S.S. Use of banana trunk waste as activated carbon in scavenging methylene blue dye: Kinetic, thermodynamic, and isotherm studies. Bioresour. Technol. Rep. 2018, 3, 127–137. [Google Scholar] [CrossRef]
- Esmaili, Z.; Barikbin, B.; Shams, M.; Alidadi, H.; Al-Musawi, T.J.; Bonyadi, Z. Biosorption of metronidazole using Spirulina platensis microalgae: Process modeling, kinetic, thermodynamic, and isotherm studies. Appl. Water Sci. 2023, 13, 63. [Google Scholar] [CrossRef]
- Fawzy, M.A.; Alharthi, S. Cellular responses and phenol bioremoval by green alga Scenedesmus abundans: Equilibrium, kinetic and thermodynamic studies. Environ. Technol. Innov. 2021, 22, 101463. [Google Scholar] [CrossRef]
- Gonçalves Junior, A.C.; Meneghel, A.P.; Rubio, F.; Strey, L.; Dragunski, D.C.; Coelho, G.F. Applicability of Moringa oleifera Lam. pie as an adsorbent for removal of heavy metals from waters. Rev. Bras. Eng. Agrícola Ambient. 2013, 17, 94–99. [Google Scholar] [CrossRef][Green Version]
- Khani, M.H. Statistical analysis and isotherm study of uranium biosorption by Padina sp. Algae biomass. Environ. Sci. Pollut. Res. 2011, 18, 790–799. [Google Scholar] [CrossRef]
- Fawzy, M.A.; Hifney, A.F.; Adam, M.S.; Al-Badaani, A.A. Biosorption of cobalt and its effect on growth and metabolites of Synechocystis pevalekii and Scenedesmus bernardii: Isothermal analysis. Environ. Technol. Innov. 2020, 19, 100953. [Google Scholar] [CrossRef]
- Dahiya, S.; Tripathi, R.M.; Hegde, A.G. Biosorption of heavy metals and radionuclide from aqueous solutions by pre-treated arca shell biomass. J. Hazard. Mater. 2008, 150, 376–386. [Google Scholar] [CrossRef] [PubMed]
- Sahu, S.; Pahi, S.; Tripathy, S.; Singh, S.K.; Behera, A.; Sahu, U.K.; Patel, R.K. Adsorption of methylene blue on chemically modified lychee seed biochar: Dynamic, equilibrium, and thermodynamic study. J. Mol. Liq. 2020, 315, 113743. [Google Scholar] [CrossRef]
- Elkhaleefa, A.; Ali, I.H.; Brima, E.I.; Shigidi, I.; Elhag, A.B.; Karama, B. Evaluation of the adsorption efficiency on the removal of lead (II) ions from aqueous solutions using Azadirachta indica leaves as an adsorbent. Processes 2021, 9, 559. [Google Scholar] [CrossRef]
- Ashour, M.; Alprol, A.E.; Khedawy, M.; Abualnaja, K.M.; Mansour, A.T. Equilibrium and Kinetic Modeling of Crystal Violet Dye Adsorption by a Marine Diatom, Skeletonema costatum. Materials 2022, 15, 6375. [Google Scholar] [CrossRef] [PubMed]
- Al-Zaban, M.I.; Alharbi, N.K.; Albarakaty, F.M.; Alharthi, S.; Hassan, S.H.; Fawzy, M.A. Experimental modeling investigations on the biosorption of methyl violet 2B dye by the brown seaweed Cystoseira tamariscifolia. Sustainability 2022, 14, 5285. [Google Scholar] [CrossRef]
- Vijayaraghavan, K.; Jegan, J.; Palanivelu, K.; Velan, M. Biosorption of cobalt (II) and nickel (II) by seaweeds: Batch and column studies. Sep. Purify. Technol. 2005, 44, 53–59. [Google Scholar] [CrossRef]
- Al-Jlil, S.A. Equilibrium study of adsorption of cobalt ions from wastewater using Saudi roasted date pits. Res. J. Environ. Toxicol. 2010, 4, 1–12. [Google Scholar] [CrossRef][Green Version]
- Hymavathi, D.; Prabhakar, G. Studies on the removal of Cobalt (II) from aqueous solutions by adsorption with Ficus benghalensis leaf powder through response surface methodology. Chem. Eng. Commun. 2017, 204, 1401–1411. [Google Scholar] [CrossRef]
- Foroutan, R.; Esmaeili, H.; Abbasi, M.; Rezakazemi, M.; Mesbah, M. Adsorption behavior of Cu (II) and Co (II) using chemically modified marine algae. Environ. Technol. 2018, 39, 2792–2800. [Google Scholar] [CrossRef]
- Esmaeili, A.; Soufi, S.; Rustaiyan, A.; Safaiyan, S.; Mirian, S.; Fallahe, G.; Moazami, N. Biosorption of copper, cobalt and nickel by marine brown alga Sargassum sp. in fixed-bed column. Pak. J. Biol. Sci. 2007, 10, 3919–3922. [Google Scholar]
- Cárdenas González, J.F.; Rodríguez Pérez, A.S.; Vargas Morales, J.M.; Martínez Juárez, V.M.; Rodríguez, I.A.; Cuello, C.M.; Fonseca, G.G.; Escalera Chávez, M.E.; Muñoz Morales, A. Bioremoval of cobalt (II) from aqueous solution by three different and resistant fungal biomasses. Bioinorg. Chem. Appl. 2019, 2019, 8757149. [Google Scholar] [CrossRef]
- Rashmi, K.; Sowjanya, T.N.; Mohan, P.M.; Balaji, V.; Venkateswaran, G. Bioremediation of 60Co from simulated spent decontamination solutions. Sci. Total Environ. 2004, 328, 1–14. [Google Scholar] [CrossRef]
- Lupea, M.; Bulgariu, L.; Macoveanu, M. Adsorption of Cobalt (II) from aqueous solution using marine green algae–Ulva Lactuca sp. Bull IP Iasi 2012, 58, 41–47. [Google Scholar]
- Uddin, M.K. A review on the adsorption of heavy metals by clay minerals, with special focus on the past decade. Chem. Eng. J. 2017, 308, 438–462. [Google Scholar] [CrossRef]
- Hubbe, M.A.; Azizian, S.; Douven, S. Implications of apparent pseudo-second-order adsorption kinetics onto cellulosic materials: A review. BioResources 2019, 14, 7582–7626. [Google Scholar] [CrossRef]
- Lavado-Meza, C.; De la Cruz-Cerrón, L.; Lavado-Puente, C.; Angeles-Suazo, J.; Dávalos-Prado, J.Z. Efficient Lead Pb (II) Removal with Chemically Modified Nostoc commune Biomass. Molecules 2022, 28, 268. [Google Scholar] [CrossRef] [PubMed]
- Bordoloi, N.; Goswami, R.; Kumar, M.; Kataki, R. Biosorption of Co (II) from aqueous solution using algal biochar: Kinetics and isotherm studies. Bioresour. Technol. 2017, 244, 1465–1469. [Google Scholar] [CrossRef]
- Rangabhashiyam, S.; Anu, N.; Nandagopal Giri, M.S.; Selvaraju, N. Relevance of isotherm models in biosorption of pollutants by agricultural by-products. J. Environ. Chem. Eng. 2014, 2, 398–414. [Google Scholar] [CrossRef]
- Naskar, A.; Majumder, R. Understanding the adsorption behaviour of acid yellow 99 on Aspergillus niger biomass. J. Mol. Liq. 2017, 242, 892–899. [Google Scholar] [CrossRef]








| Source | CE | SS | df | MS | F-Value | p-Value Prob > F |
|---|---|---|---|---|---|---|
| Model | - | 446.05 | 9 | 49.71 | 99.89 | <0.0001 * |
| A-algal dose | 5.65 | 255.38 | 1 | 255.38 | 285.94 | <0.0001 * |
| B-pH | 1.10 | 9.75 | 1 | 9.75 | 10.92 | 0.011 * |
| C-Co(II) conc. | −4.61 | 169.74 | 1 | 169.74 | 190.05 | <0.0001 * |
| AB | −1.26 | 6.38 | 1 | 6.38 | 7.14 | 0.02 * |
| AC | 0.15 | 0.09 | 1 | 0.09 | 0.06 | 0.814 ** |
| BC | 0.29 | 0.35 | 1 | 0.35 | 0.244 | 0.647 ** |
| A2 | −1.18 | 5.1 | 1 | 5.1 | 5.38 | 0.043 * |
| B2 | 0.05 | 0.008 | 1 | 0.008 | 0.005 | 0.944 ** |
| C2 | −0.53 | 0.882 | 1 | 0.882 | 0.614 | 0.477 ** |
| Residual | 5.74 | 4 | 1.435 | |||
| Lack of Fit | 5.73 | 3 | 1.909 | 66.52 | 0.0941 ** | |
| Pure Error | 0.02 | 1 | 0.02 | |||
| Cor. Total | 453.20 | 13 | ||||
| R2 | 0.984 | |||||
| R2-adjusted | 0.974 | |||||
| R2-predicted | 0.948 | |||||
| % C.V. | 1.19 | |||||
| Adequate precision | 33.16 | |||||
| Temperature (K) | ΔG° | ΔH° | ΔS° | R2 |
|---|---|---|---|---|
| (kJ/mol) | ||||
| 293 | 0.115 | −6.84 | −0.024 | 0.998 |
| 303 | 0.336 | |||
| 313 | 0.590 |
| Models | Parameters | Values |
|---|---|---|
| Langmuir | qmax (mg/g) | 17.98 |
| KL (L/mg) | 0.075 | |
| RL | 0.104–0.284 | |
| R2 | 0.984 | |
| Freundlich | n | 1.69 |
| KF (L/mg) | 1.85 | |
| R2 | 0.994 | |
| Temkin | AT (L/mg) | 1.23 |
| b (J/mol) | 648.6 | |
| R2 | 0.978 | |
| D–R | qo (mg/g) | 9.64 |
| β × 10−6(mol2/J2) | 2.00 | |
| E (kJ/mol) | 5.00 | |
| R2 | 0.863 |
| Models | Parameters | Values |
|---|---|---|
| Experimental data | qmax (mg/g) | 5.788 |
| Pseudo-first-order | qe (mg/g) | 1.328 |
| k1 (min−1) | 0.059 | |
| R2 | 0.788 | |
| Pseudo-second-order | qe (mg/g) | 5.794 |
| k2 (g/mg/min) | 0.23 | |
| R2 | 0.999 | |
| Intra-particle diffusion | Ki1 (mg/g min1/2) | 0.459 |
| Ki2 (mg/g min1/2) | 0.016 | |
| Ci1 (mg/g) | 3.295 | |
| Ci2 (mg/g) | 5.303 | |
| R21 | 0.872 | |
| R22 | 0.935 | |
| Elovich | α (mg/g min) | 1.81 × 105 |
| β (g/mg) | 1.593 | |
| R2 | 0.871 |
Disclaimer/Publisher’s Note: The statements, opinions and data contained in all publications are solely those of the individual author(s) and contributor(s) and not of MDPI and/or the editor(s). MDPI and/or the editor(s) disclaim responsibility for any injury to people or property resulting from any ideas, methods, instructions or products referred to in the content. |
© 2024 by the authors. Licensee MDPI, Basel, Switzerland. This article is an open access article distributed under the terms and conditions of the Creative Commons Attribution (CC BY) license (https://creativecommons.org/licenses/by/4.0/).
Share and Cite
Aloufi, A.S.; Al Riyami, B.; Fawzy, M.A.; Al-Yasi, H.M.; Koutb, M.; Hassan, S.H.A. Model-Assisted Optimization of Cobalt Biosorption on Macroalgae Padina pavonica for Wastewater Treatment. Water 2024, 16, 887. https://doi.org/10.3390/w16060887
Aloufi AS, Al Riyami B, Fawzy MA, Al-Yasi HM, Koutb M, Hassan SHA. Model-Assisted Optimization of Cobalt Biosorption on Macroalgae Padina pavonica for Wastewater Treatment. Water. 2024; 16(6):887. https://doi.org/10.3390/w16060887
Chicago/Turabian StyleAloufi, Abeer S., Bahja Al Riyami, Mustafa A. Fawzy, Hatim M. Al-Yasi, Mostafa Koutb, and Sedky H. A. Hassan. 2024. "Model-Assisted Optimization of Cobalt Biosorption on Macroalgae Padina pavonica for Wastewater Treatment" Water 16, no. 6: 887. https://doi.org/10.3390/w16060887
APA StyleAloufi, A. S., Al Riyami, B., Fawzy, M. A., Al-Yasi, H. M., Koutb, M., & Hassan, S. H. A. (2024). Model-Assisted Optimization of Cobalt Biosorption on Macroalgae Padina pavonica for Wastewater Treatment. Water, 16(6), 887. https://doi.org/10.3390/w16060887

