Combining Multiple Remediation Techniques Is Effective for the Remediation of Eutrophic Flowing Water
Abstract
1. Introduction
2. Materials and Methods
2.1. Materials
2.2. Experimental Design
2.3. Parameter Measurement
2.4. Statistical Analysis
3. Results
3.1. Effects of Different Treatments on the Physicochemical Indicators of the Overlying Water
3.2. Effects of Different Treatments on Nutrient Salts in the Overlying Water
3.3. Effects of Different Treatments on Sediment Nutrients
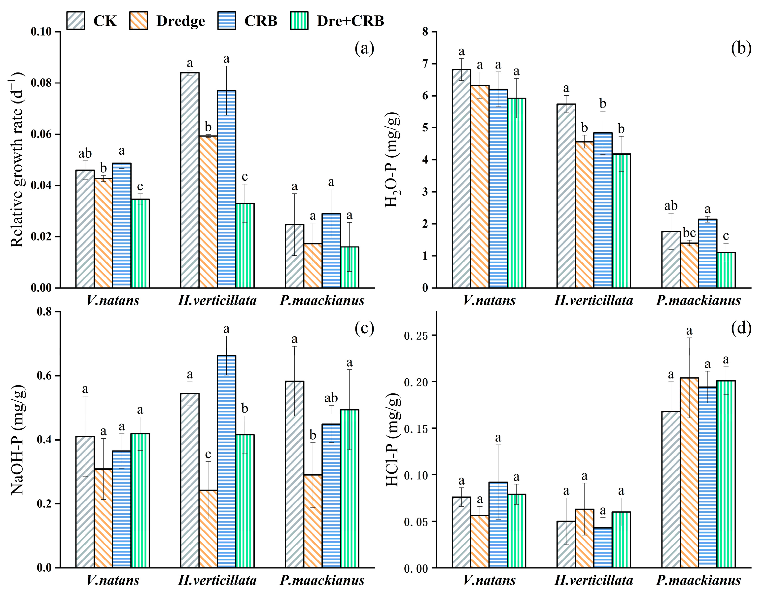
3.4. Effects of Different Treatments on the Growth and P Speciation of Submerged Plants
4. Discussion
5. Conclusions
Author Contributions
Funding
Data Availability Statement
Conflicts of Interest
References
- Zhang, W.; Wan, W.; Lin, H.; Pan, X.; Lin, L.; Yang, Y. Nitrogen rather than phosphorus driving the biogeographic patterns of abundant bacterial taxa in a eutrophic plateau lake. Sci. Total Environ. 2022, 806, 150947. [Google Scholar] [CrossRef] [PubMed]
- Wu, Z.; Li, J.; Sun, Y.; Peñuelas, J.; Huang, J.; Sardans, J.; Jiang, Q.; Finlay, J.C.; Britten, G.L.; Follows, M.J. Imbalance of global nutrient cycles exacerbated by the greater retention of phosphorus over nitrogen in lakes. Nat. Geosci. 2022, 15, 464–468. [Google Scholar] [CrossRef]
- Yan, Z.; Han, W.; Peñuelas, J.; Sardans, J.; Elser, J.J.; Du, E.; Reich, P.B.; Fang, J. Phosphorus accumulates faster than nitrogen globally in freshwater ecosystems under anthropogenic impacts. Ecol. Lett. 2016, 19, 1237–1246. [Google Scholar] [CrossRef] [PubMed]
- Zhou, J.; Han, X.; Brookes, J.D.; Qin, B. High probability of nitrogen and phosphorus co-limitation occurring in eutrophic lakes. Environ. Pollut. 2022, 292, 118276. [Google Scholar] [CrossRef] [PubMed]
- Li, Y.; Liu, Y.; Wang, H.; Zuo, Z.; Yan, Z.; Wang, L.; Wang, D.; Liu, C.; Yu, D. In situ remediation mechanism of internal nitrogen and phosphorus regeneration and release in shallow eutrophic lakes by combining multiple remediation techniques. Water Res. 2023, 229, 119394. [Google Scholar] [CrossRef] [PubMed]
- Chen, M.; Cui, J.; Lin, J.; Ding, S.; Gong, M.; Ren, M.; Tsang, D.C.W. Successful control of internal phosphorus loading after sediment dredging for 6 years: A field assessment using high-resolution sampling techniques. Sci. Total Environ. 2020, 616–617, 927–936. [Google Scholar] [CrossRef] [PubMed]
- Kiani, M.; Tammeorg, P.; Niemistö, J.; Simojoki, A.; Tammeorg, O. Internal phosphorus loading in a small shallow Lake: Response after sediment removal. Sci. Total Environ. 2020, 725, 138279. [Google Scholar] [CrossRef]
- Jing, L.; Bai, S.; Li, Y.; Peng, Y.; Wu, C.; Liu, J.; Liu, G.; Xie, Z.; Yu, G. Dredging project caused short-term positive effects on lake ecosystem health: A five-year follow-up study at the integrated lake ecosystem level. Sci. Total Environ. 2019, 686, 753–763. [Google Scholar] [CrossRef]
- Liu, C.; Zhong, J.; Wang, J.; Zhang, L.; Fan, C. Fifteen-year study of environmental dredging effect on variation of nitrogen and phosphorus exchange across the sediment-water interface of an urban lake. Environ. Pollut. 2016, 219, 639–648. [Google Scholar] [CrossRef]
- Chen, C.; Kong, M.; Wang, Y.; Shen, Q.; Zhong, J.; Fan, C. Dredging method effects on sediment resuspension and nutrient release across the sediment-water interface in Lake Taihu, China. Environ. Sci. Pollut. Res. 2019, 27, 25861–25869. [Google Scholar] [CrossRef]
- Khan, M.D.; Chottitisupawong, T.; Vu, H.H.T.; Ahn, J.W.; Kim, G.M. Removal of phosphorus from an aqueous solution by nanocalcium hydroxide derived from waste bivalve seashells: Mechanism and kinetics. ACS Omega 2020, 5, 12290–12301. [Google Scholar] [CrossRef]
- Spears, B.M.; Mackay, E.B.; Yasseri, S.; Gunn, I.D.M.; Waters, K.E.; Andrews, C.; Cole, S.; Ville, M.D.; Kelly, A.; Meis, S. A meta-analysis of water quality and aquatic macrophyte responses in 18 lakes treated with lanthanum modified bentonite (Phoslock®). Water Res. 2016, 97, 111–121. [Google Scholar] [CrossRef]
- Wang, C.; Liu, Z.; Zhang, Y.; Liu, B.; Zhou, Q.; Zeng, L.; He, F.; Wu, Z. Synergistic removal effect of P in sediment of all fractions by combining the modified bentonite granules and submerged macrophyte. Sci. Total Environ. 2018, 626, 458–467. [Google Scholar] [CrossRef] [PubMed]
- Yin, H.; Yang, C.; Yang, P.; Kaksonen, A.H.; Douglas, G.B. Contrasting effects and mode of dredging and in situ adsorbent amendment for the control of sediment internal phosphorus loading in eutrophic lakes. Water Res. 2021, 189, 116644. [Google Scholar] [CrossRef] [PubMed]
- Kang, L.; Mucci, M.; Lürling, M. Influence of temperature and pH on phosphate removal efficiency of different sorbents used in lake restoration. Sci. Total Environ. 2022, 812, 151489. [Google Scholar] [CrossRef]
- Rybak, M.; Drzewiecka, K.; Woźniak, M.; Öksüz, S.; Krueger, M.; Sobczyński, T.; Ratajczak, I.; Joniak, T. Iron overload consequences for submerged plants stoichiometry, homeostasis and performance. Biogeochemistry 2023, 163, 17–32. [Google Scholar] [CrossRef]
- Lu, Y.; Lin, J.; Wu, X.; Zhan, Y. Control of phosphorus release from sediment by hydrous zirconium oxide combined with calcite, bentonite and zeolite. Chemosphere 2023, 332, 138892. [Google Scholar] [CrossRef] [PubMed]
- Chen, X.; Liu, L.; Wang, Y.; Zhou, L.; Xiao, J.; Yan, W.; Li, M.; Li, Q.; He, X.; Zhang, L. The combined effects of lanthanum-modified bentonite and Vallisneria spiralis on phosphorus, dissolved organic matter, and heavy metal(loid)s. Sci. Total Environ. 2024, 917, 170502. [Google Scholar] [CrossRef]
- Gao, Y.; Zhang, Y.; Wei, Q.; Qi, X.; Yin, Q.; Liu, B.; He, K. Response and synergistic effect of microbial community to submerged macrophyte in restoring urban black and smelly water bodies. J. Water Process Eng. 2023, 53, 103906. [Google Scholar] [CrossRef]
- Li, X.; Zhao, W.; Chen, J.; Wang, F. Dosage impact of submerged plants extracts on Microcystis aeruginosa growth: From hormesis to inhibition. Ecotoxicol. Environ. Saf. 2023, 268, 115703. [Google Scholar] [CrossRef]
- Liu, Y.; Bai, G.; Zou, Y.; Ding, Z.; Tang, Y.; Wang, R.; Liu, Z.; Zhou, Q.; Wu, Z.; Zhang, Y. Combined remediation mechanism of bentonite and submerged plants on lake sediments by DGT technique. Chemosphere 2022, 298, 134236. [Google Scholar] [CrossRef] [PubMed]
- Wang, D.; Gan, X.; Wang, Z.; Jiang, S.; Zheng, X.; Zhao, M.; Zhang, Y.; Fan, C.; Wu, S.; Du, L. Research status on remediation of eutrophic water by submerged macrophytes: A review. Process Saf. Environ. Prot. 2023, 169, 671–684. [Google Scholar] [CrossRef]
- Lürling, M.; Faassen, E.J. Controlling toxic cyanobacteria: Effects of dredging and phosphorus-binding clay on cyanobacteria and microcystins. Water Res. 2012, 46, 1447–1459. [Google Scholar] [CrossRef] [PubMed]
- Chen, X.; Wang, Y.; Sun, T.; Huang, Y.; Chen, Y.; Zhang, M.; Ye, C. Effects of sediment dredging on nutrient release and eutrophication in the gate-controlled estuary of Northern Taihu Lake. J. Chem. 2021, 2021, 7451832. [Google Scholar] [CrossRef]
- Agathokleous, E.; Kitao, M.; Calabrese, E.J. The rare earth element (REE) lanthanum (La) induces hormesis in plants. Environ. Pollut. 2018, 238, 1044–1047. [Google Scholar] [CrossRef] [PubMed]
- Kotelnikova, A.; Fastovets, I.; Rogova, O.; Volkov, D.S.; Stolbova, V. Toxicity assay of lanthanum and cerium in solutions and soil. Ecotoxicol. Environ. Saf. 2019, 167, 20–28. [Google Scholar] [CrossRef] [PubMed]
- Kelly Vargas, K.G.; Qi, Z. P immobilizing materials for lake internal loading control: A review towards future developments. Crit. Rev. Environ. Sci. Technol. 2019, 49, 518–552. [Google Scholar] [CrossRef]
- Dai, T.; Hu, S.; Chen, N.; Wang, L.; Li, R.; Liu, J.; Li, W.; Zhong, J. Performance and mechanism of phosphorus removal by calcium-loaded clay granular adsorbents. Appl. Ecol. Environ. Res. 2024, 22, 997–1012. [Google Scholar] [CrossRef]
- Wang, T.; Fang, L.; Wang, C.; Liu, C.; Yu, D.; Li, H. Water depth rather than substrate heterogeneity affects the clonal performance of the stoloniferous submerged plant, Vallisneria spiralis L. Flora 2022, 287, 151995. [Google Scholar] [CrossRef]
- Guo, Q.; Gao, Y.; Song, C.; Zhang, X.; Wang, G. Morphological and transcriptomic responses/acclimations of erect-type submerged macrophyte Hydrilla verticillata both at low-light exposure and light recovery phases. Ecol. Evol. 2023, 13, e10583. [Google Scholar] [CrossRef]
- Su, H.; Chen, J.; Wu, Y.; Chen, J.; Guo, X.; Yan, Z.; Tian, D.; Fang, J.; Xie, P. Morphological traits of submerged macrophytes reveal specific positive feedbacks to water clarity in freshwater ecosystems. Sci. Total Environ. 2019, 684, 578–586. [Google Scholar] [CrossRef]
- Huang, X.F.; Chen, W.M.; Cai, Q.M. Survey, Observation and Analysis of Lake Ecology; Standard Methods for Observation and Analysis in Chinese Ecosystem Research Network; Standards Press of China: Beijing, China, 1999; Series V. [Google Scholar]
- Kuo, S.; Sparks, D.L. Methods of Soil Analysis. Part 3: Chemical Methods; Soil Science Society of America: Madison, WI, USA, 1996; pp. 894–895. [Google Scholar]
- Dou, Z.; Toth, J.D.; Galligan, D.T.; Ramberg, C.F.; Ferguson, J.D. Laboratory Procedures for Characterizing Manure Phosphorus. J. Environ. Qual. 2000, 29, 508–514. [Google Scholar] [CrossRef]
- Siong, K.; Asaeda, T. Does calcite encrustation in Chara provide a phosphorus nutrient sink? J. Environ. Qual. 2006, 35, 490–494. [Google Scholar] [CrossRef]
- Pardo, P.; Rauret, G.; López-sánchez, J.F. Shortened screening method for phosphorus fractionation in sediments. Anal. Chim. Acta 2004, 508, 201–206. [Google Scholar] [CrossRef]
- Rydin, E. Potentially mobile phosphorus in Lake Erken sediment. Water Res. 2000, 34, 2037–2042. [Google Scholar] [CrossRef]
- Larson, J.H.; James, W.F.; Fitzpatrick, F.A.; Frost, P.C.; Evans, M.A.; Reneau, P.C.; Xenopoulos, M.A. Phosphorus, nitrogen and dissolved organic carbon fluxes from sediments in freshwater rivermouths entering Green Bay (Lake Michigan; USA). Biogeochemistry 2020, 147, 179–197. [Google Scholar] [CrossRef]
- Yin, H.; Zhang, M.; Yin, P.; Li, J. Characterization of internal phosphorus loading in the sediment of a large eutrophic lake (Lake Taihu, China). Water Res. 2022, 225, 119125. [Google Scholar] [CrossRef]
- Wen, S.; Zhong, J.; Li, X.; Liu, C.; Yin, H.; Li, D.; Ding, S.; Fan, C. Does external phosphorus loading diminish the effect of sediment dredging on internal phosphorus loading? An in-situ simulation study. J. Hazard. Mater. 2020, 394, 122548. [Google Scholar] [CrossRef] [PubMed]
- Kibuye, F.A.; Zamyadi, A.; Wert, E.C. A critical review on operation and performance of source water control strategies for cyanobacterial blooms: Part II-mechanical and biological control methods. Harmful Algae 2021, 109, 102119. [Google Scholar] [CrossRef] [PubMed]
- Riza, M.; Ehsan, M.N.; Pervez, M.N.; Khyum, M.M.O.; Cai, Y.; Naddeo, V. Control of eutrophication in aquatic ecosystems by sustainable dredging: Effectiveness, environmental impacts, and implications. Case Stud. Chem. Environ. Eng. 2023, 7, 100297. [Google Scholar] [CrossRef]
- Yin, H.; Yang, P.; Kong, M.; Li, W. Use of lanthanum/aluminum co-modified granulated attapulgite clay as a novel phosphorus (P) sorbent to immobilize P and stabilize surface sediment in shallow eutrophic lakes. Chem. Eng. J. 2020, 385, 123395. [Google Scholar] [CrossRef]
- Khadhraoui, M.; Watanabe, T.; Kuroda, M. The effect of the physical structure of a porous Ca-based sorbent on its phosphorus removal capacity. Water Res. 2002, 36, 3711–3718. [Google Scholar] [CrossRef] [PubMed]
- Zhou, J.; Li, D.; Zhao, Z.; Song, X.; Huang, Y.; Yang, J. Phosphorus immobilization by the surface sediments under the capping with new calcium peroxide material. J. Clean. Prod. 2020, 247, 119135. [Google Scholar] [CrossRef]
- Wang, X.; Im, S.; Jung, B.; Wu, J.; Iddya, A.; Javier, Q.A.; Xiao, M.; Ma, S.; Lu, S.; Jaewon, B. Simple and low-cost electroactive membranes for ammonia recovery. Environ. Sci. Technol. 2023, 57, 9405–9415. [Google Scholar] [CrossRef]
- Zhao, Y.; Guan, B.; Yin, C.; Huang, X.; Li, H.; Li, K. Water quality profits by the submerged macrophyte community consisting of multi-functional species-rich groups. Sci. Total Environ. 2022, 850, 157847. [Google Scholar] [CrossRef]







Disclaimer/Publisher’s Note: The statements, opinions and data contained in all publications are solely those of the individual author(s) and contributor(s) and not of MDPI and/or the editor(s). MDPI and/or the editor(s) disclaim responsibility for any injury to people or property resulting from any ideas, methods, instructions or products referred to in the content. |
© 2024 by the authors. Licensee MDPI, Basel, Switzerland. This article is an open access article distributed under the terms and conditions of the Creative Commons Attribution (CC BY) license (https://creativecommons.org/licenses/by/4.0/).
Share and Cite
Luo, R.; Li, W.; Zhong, J.; Dai, T.; Liu, J.; Zhang, X.; Chen, Y.; Gao, G. Combining Multiple Remediation Techniques Is Effective for the Remediation of Eutrophic Flowing Water. Water 2024, 16, 858. https://doi.org/10.3390/w16060858
Luo R, Li W, Zhong J, Dai T, Liu J, Zhang X, Chen Y, Gao G. Combining Multiple Remediation Techniques Is Effective for the Remediation of Eutrophic Flowing Water. Water. 2024; 16(6):858. https://doi.org/10.3390/w16060858
Chicago/Turabian StyleLuo, Ran, Wei Li, Jiayou Zhong, Taotao Dai, Jinfu Liu, Xiaoliang Zhang, Yuwei Chen, and Guiqing Gao. 2024. "Combining Multiple Remediation Techniques Is Effective for the Remediation of Eutrophic Flowing Water" Water 16, no. 6: 858. https://doi.org/10.3390/w16060858
APA StyleLuo, R., Li, W., Zhong, J., Dai, T., Liu, J., Zhang, X., Chen, Y., & Gao, G. (2024). Combining Multiple Remediation Techniques Is Effective for the Remediation of Eutrophic Flowing Water. Water, 16(6), 858. https://doi.org/10.3390/w16060858

