Comparison of Load Transfer Law of Pipe Pile between O-Cell Test and Traditional Static Load Test
Abstract
1. Introduction
2. Test Principle of O-Cell Method
3. Numerical Simulation of O-Cell Test
3.1. Model Assumptions
- The pile body is a continuous homogeneous ideal elastic body, and no bending deformation and failure will occur during the whole loading process. The soil mass is an ideal homogeneous elastic-plastic material, regardless of the shear dilatancy of soil, and the soil mass on the side of pile is the same homogeneous rock-soil layer in the range of pile length.
- Total stress analysis is used for soil mass, without considering fluid–solid coupling and without considering rock dip.
- The contact characteristics between pile and soil are considered. A contact unit is set up at the interface between pile and soil. The friction coefficient between the pile and soil remains unchanged during the analysis.
3.2. Parameters of the Numerical Model
3.3. Pile–Soil Interaction and Initial Geostress Balance
3.4. Loading Method
4. Calculation Results and Analysis
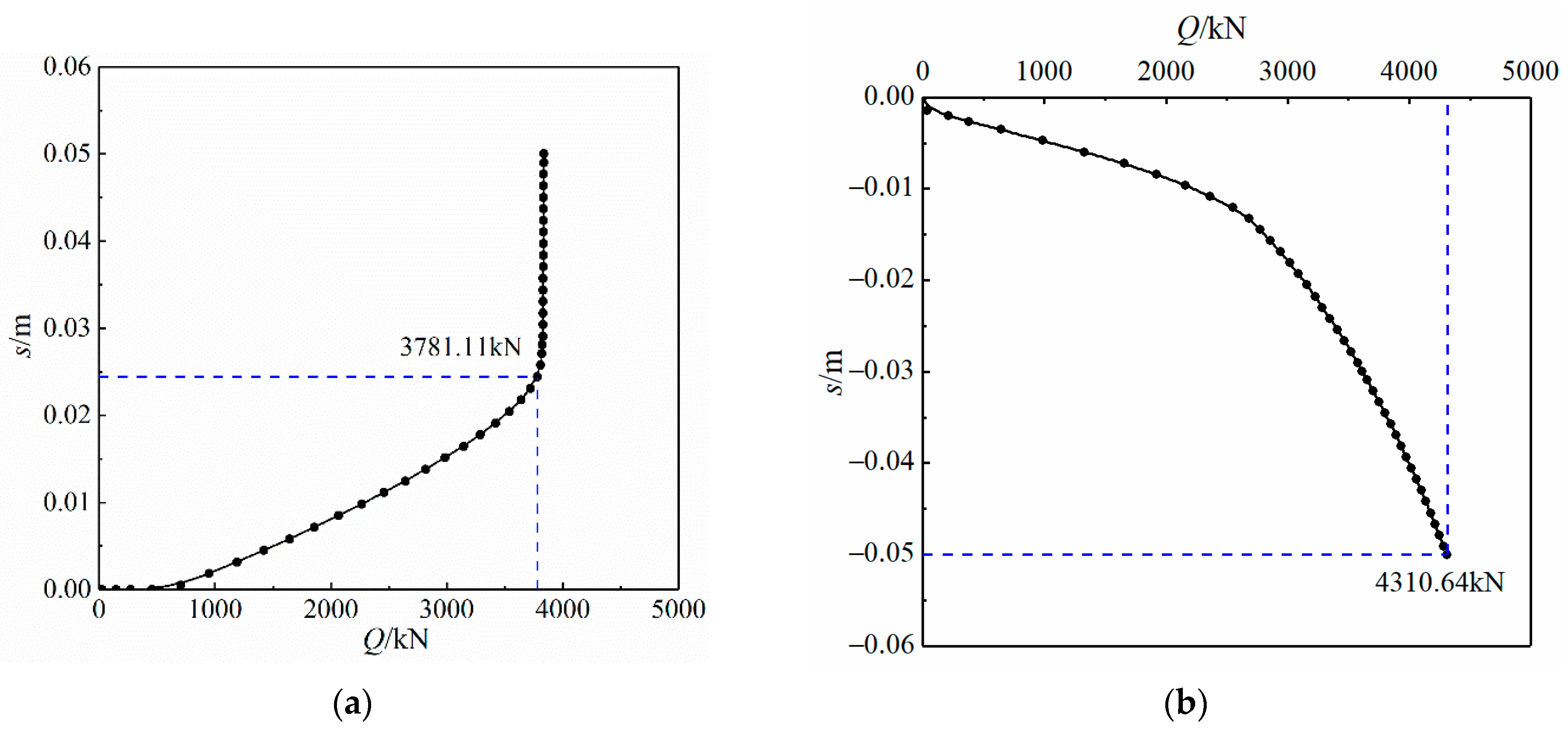
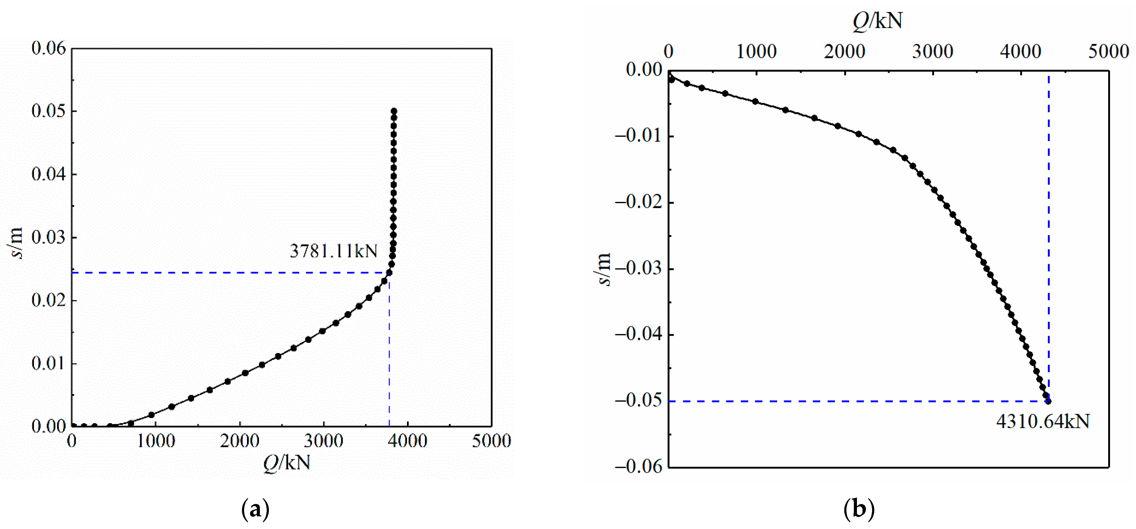
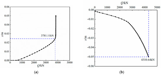
4.1. Load–Displacement Curve Analysis
4.2. Comparison of O-Cell and Traditional Static Load Methods and Determination of Conversion Coefficient
4.3. Analysis of Load Transfer Law by O-Cell Method
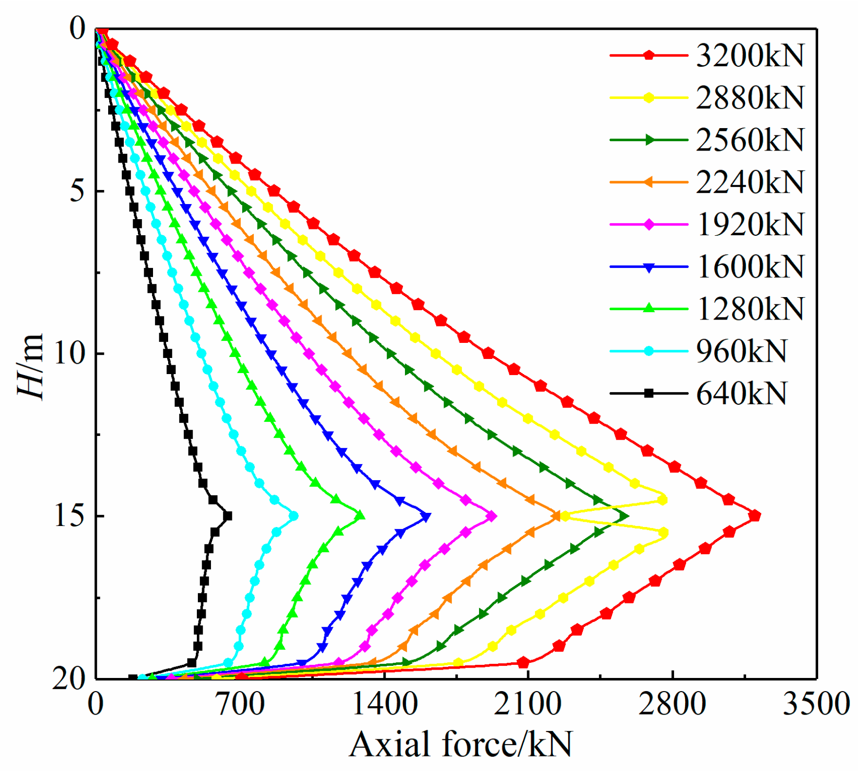
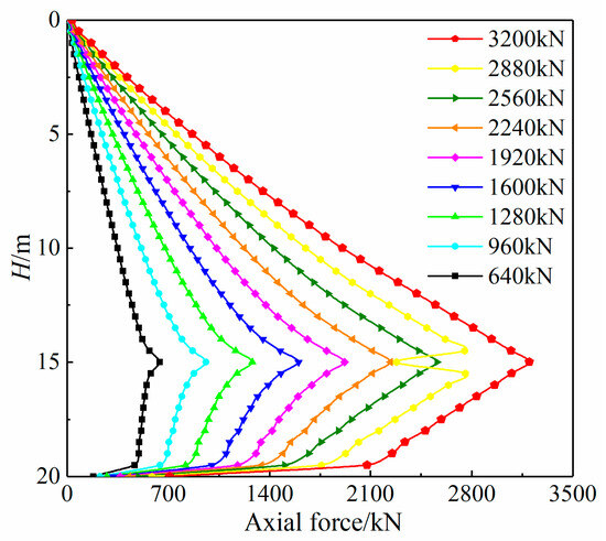
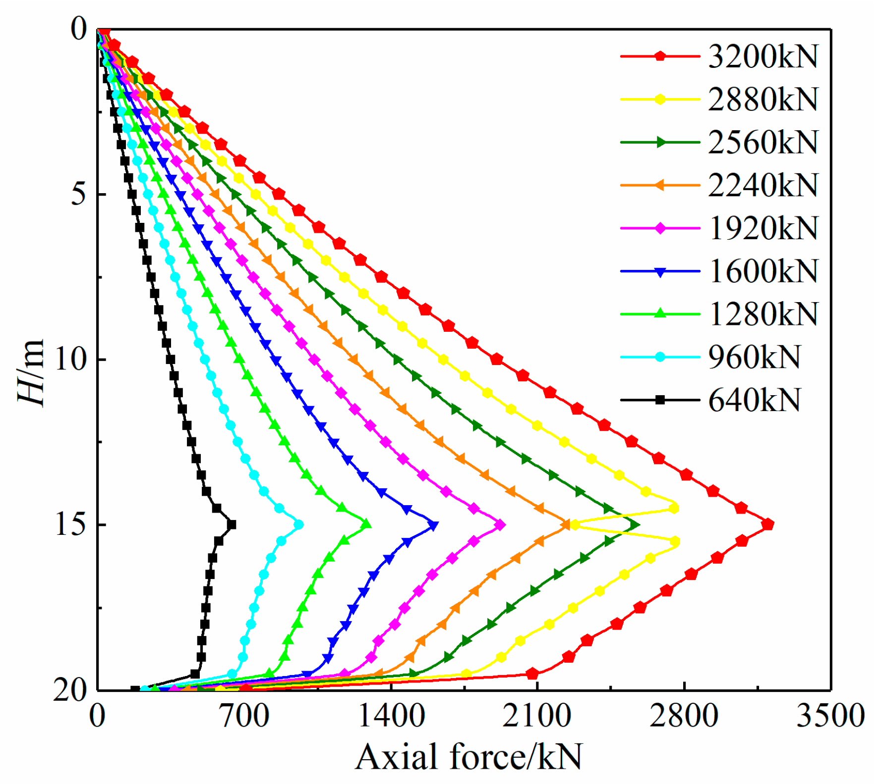
4.3.1. Axial Force Analysis
4.3.2. Analysis of Side Friction Resistance
4.3.3. Analysis of Tip Resistance of Lower Pile
4.4. Distribution of Yield Region during Loading Process
5. Conclusions
- The pile end of the lower section reaches the hard rock layer with a large modulus, which is not easy to generate elastic deformation. The Q-s curve of the upper section of the pile is steep, and the Q-s curve of the lower section of the pile is slow At the same displacement, the load required by the upper section of the pile is smaller than that of the lower section;
- The Q-s curve of the O-cell pile test method after equivalent conversion has a high fitting degree with the results of the static load test, and the error is within 0.5%. The method in this paper is feasible to judge the bearing capacity of the foundation pile. The conversion coefficient value calculated using the method in this article is 0.97;
- In practical engineering, it is often difficult for the upper and lower sections of piles to reach their ultimate state simultaneously. When designing loading schemes, it is not only necessary to consider the overall vertical bearing capacity of the pile, but sometimes it is also necessary to consider the individual bearing capacity of the upper or lower sections of the pile;
- For the upper section of the pile, as the pile weight remains unchanged, the side friction resistance will gradually bear more loads. For the lower section of pile, the side friction resistance increases rapidly at the initial stage of loading, and plays a role first. As the load continues to increase, the side friction resistance gradually decreases and the pile tip resistance will bear more loads;
- It is worth noting that this article only studies the load transfer behavior of O-cell test based on numerical methods, and compares their similarities and differences with traditional methods. In subsequent research, more influencing factors need to be considered, and further in-depth research should be conducted in combination with practical engineering applications.
Author Contributions
Funding
Data Availability Statement
Conflicts of Interest
References
- Eslami, A.; Heidarie Golafzani, S. Relevant data-based approach upon reliable safety factor for pile axial capacity. Mar. Georesources Geotechnol. 2021, 39, 1373–1386. [Google Scholar] [CrossRef]
- Hu, L.; Lou, X.; Zhou, M.; Xu, W. Static load study on in-situ steel pipe pile for offshore wind farm using self-balancing method. Ocean. Eng. 2023, 41, 407–412. [Google Scholar] [CrossRef]
- Zhang, G.; Ji, T.; Li, Z. Comparison of load test results between self-balanced method and static pressure method. Chin. J. Geotech. Eng. 2011, 33, 471–474. [Google Scholar]
- Dong, J.; Liu, Z.; Wang, G.; Li, P.; Liu, Z. Application of self-balance experimental method on pile bearing capacity in a pile foundation engineering. J. North China Univ. Water Resour. Electr. Power Nat. Sci. Edit. 2015, 36, 55–60. [Google Scholar]
- Wu, P.; Gong, W.; Liang, S. Reliability of O-cell test method for determining bearing capacity of piles. Chin. J. Geotech. Eng. 2005, 545–548. [Google Scholar]
- Zhou, J.; Yu, J.; Gong, X.; El Naggar, M.H.; Zhang, R. Field study on the behavior of pre-bored grouted planted pile with enlarged grout base. Acta Geotech. 2021, 16, 3327–3338. [Google Scholar] [CrossRef]
- Niazi, F.S.; Mayne, P.W. Axial pile response of bidirectional O-cell loading from modified analytical elastic solution and downhole shear wave velocity. Can. Geotech. J. 2014, 51, 1284–1302. [Google Scholar] [CrossRef]
- Bach, D.; van Gelder, P. Incorporating set-up into LRFD method for drilled shafts. Georisk 2014, 8, 81–91. [Google Scholar] [CrossRef]
- Xing, H.; Wu, J.; Luo, Y. Field tests of large-diameter rock-socketed bored piles based on the O-cell method and their resulting load bearing characteristics. Eur. J. Environ. Civ. Eng. 2019, 23, 1535–1549. [Google Scholar] [CrossRef]
- Li, X.; Dai, G.; Zhu, M.; Gong, E. Application of static loading tests to steel pipe piles with large diameters in Chinese offshore wind farms. Ocean Eng. 2019, 186, 106041. [Google Scholar] [CrossRef]
- Xin, Y.; Yue, F.; Li, P.; Wang, G. Experimental study on the position of balanced point of large-tonnage pile with O-cell load method in the northwest region. Appl. Mech. Mater. 2014, 580–583, 78–82. [Google Scholar] [CrossRef]
- Ou, X.; Chen, G.; Bai, L.; Jiang, J.; Zeng, Y.; Chen, H. Research on the analytical conversion method of Q-s curves for O-cell test piles in layered soils. Appl. Sci. 2022, 12, 8435. [Google Scholar] [CrossRef]
- Comodromos, E.M.; Papadopoulou, M.C.; Randolph, M.F. Improved relationships for the pile base response in clayey soils. J. Geotech. Geoenviron. Eng. 2021, 147, 10. [Google Scholar] [CrossRef]
- Lee, J.S.; Park, Y.H. Equivalent pile load–head settlement curve using a bi-directional pile load test. Comput. Geotech. 2008, 35, 124–133. [Google Scholar] [CrossRef]
- Chunlin, H.; Chengzhong, G. Comparison and analysis on O-cell method and anchored pile method in Qingdao Gulf Bridge. Adv. Mater. Res. 2014, 838–841, 1024–1027. [Google Scholar] [CrossRef]
- Cai, Y.; Xu, L.; Zhou, D.; Deng, C.; Feng, C. Model test research on method of self-balance and traditional static load. Rock Soil Mech. 2019, 40, 3011–3018. [Google Scholar] [CrossRef]
- Li, X.; Chen, X.; Dai, G.; Gong, W. Research on conversion coefficient of cast-in-situ pile in clay in O-cell loading test. Rock Soil Mech. 2016, 37, 226–232, 262. [Google Scholar] [CrossRef]
- Li, X.; Dai, G.; Gong, W.; Xu, X.; Wang, L. Research on conversion factor of self-balanced loading test in sandy soil. Rock Soil Mech. 2016, 37, 659–668. [Google Scholar] [CrossRef]
- Yang, J. Study on numerical simulation of Self-balancing test method for bearing capacity of expressway pile foundation. West. Chin. Commun. Sci. Technol. 2017, 87–90, 98. [Google Scholar] [CrossRef]
- Liu, J.; Shao, X.; Huang, X.; Cao, G. Study on behavior and bearing capacity computation method of shallow rock-socketed short piles based on the O-cell loading test. Comput. Intell. Neurosci. 2022, 2022, 7272219. [Google Scholar] [CrossRef]
- Su, H.; Li, R.; Lv, Y. Research on self balance test method and numerical simulation of bearing capacity of pile foundation. J. Phys. Conf. Ser. 2020, 1549, 032127. [Google Scholar] [CrossRef]
- Fang, Q.; Wang, J.; Wang, G.; Li, Q.; Ma, W. Intelligent back analysis using clonal selection algorithm in calculating equivalent top loading curve using O-cell test data. J. Cent. South Univ. 2023, 30, 3481–3498. [Google Scholar] [CrossRef]
- JGJ/T 403-2017; Technical Specification for Static Loading Test of O-Cell Method of Building Foundation Piles. China Architecture & Building Press: Beijing, China, 2017.
- JT/T 738-2009; Static Loading Test of Foundation Pile-O-Cell Method. China Communications Press: Beijing, China, 2009.











| Material | Elastic Modulus (kPa) | Poisson’s Ration | Unit Weight (kN/m3) | Cohesion (kPa) | Friction Angle (°) |
|---|---|---|---|---|---|
| Soft clay layer | 15,000 | 0.47 | 18.5 | 80 | 0 |
| Sand layer | 150,000 | 0.35 | 20 | 30 | 25 |
| Bedrock | 1,200,000 | 0.25 | 23.5 | 400 | 34 |
| pile | 35,000,000 | 0.15 | 25 | - | - |
| Load Level (kN) | Self-Weight (kN) | Side Friction Resistance (kN) | ||
|---|---|---|---|---|
| Value | Proportion | Value | Proportion | |
| 640 | 133.24 | 20.82% | 506.76 | 79.18% |
| 960 | 133.24 | 13.88% | 826.76 | 86.12% |
| 1280 | 133.24 | 10.41% | 1146.76 | 89.59% |
| 1600 | 133.24 | 8.33% | 1466.76 | 91.67% |
| 1920 | 133.24 | 6.94% | 1786.76 | 93.06% |
| 2240 | 133.24 | 5.95% | 2106.76 | 94.05% |
| 2560 | 133.24 | 5.20% | 2426.76 | 94.80% |
| 2880 | 133.24 | 4.63% | 2746.76 | 95.37% |
| 3200 | 133.24 | 4.16% | 3066.76 | 95.84% |
| Load Level (kN) | Tip Resistance (kN) | Side Friction Resistance (kN) | ||
|---|---|---|---|---|
| Value | Proportion | Value | Proportion | |
| 640 | 427.03 | 66.72% | 212.97 | 33.28% |
| 960 | 573.81 | 59.77% | 386.19 | 40.23% |
| 1280 | 720.58 | 56.30% | 559.42 | 43.70% |
| 1600 | 871.59 | 54.47% | 728.41 | 45.53% |
| 1920 | 1017.60 | 53.00% | 902.40 | 47.00% |
| 2240 | 1172.43 | 52.34% | 1067.57 | 47.66% |
| 2560 | 1332.07 | 52.03% | 1227.93 | 47.97% |
| 2880 | 1591.21 | 55.25% | 1288.79 | 44.75% |
| 3200 | 1899.93 | 59.37% | 1300.07 | 40.63% |
Disclaimer/Publisher’s Note: The statements, opinions and data contained in all publications are solely those of the individual author(s) and contributor(s) and not of MDPI and/or the editor(s). MDPI and/or the editor(s) disclaim responsibility for any injury to people or property resulting from any ideas, methods, instructions or products referred to in the content. |
© 2024 by the authors. Licensee MDPI, Basel, Switzerland. This article is an open access article distributed under the terms and conditions of the Creative Commons Attribution (CC BY) license (https://creativecommons.org/licenses/by/4.0/).
Share and Cite
Xu, X.; Zhu, P.; Song, Y.; Chen, W.; Chen, L.; Weng, J.; Xu, T.; Wang, Y. Comparison of Load Transfer Law of Pipe Pile between O-Cell Test and Traditional Static Load Test. Water 2024, 16, 826. https://doi.org/10.3390/w16060826
Xu X, Zhu P, Song Y, Chen W, Chen L, Weng J, Xu T, Wang Y. Comparison of Load Transfer Law of Pipe Pile between O-Cell Test and Traditional Static Load Test. Water. 2024; 16(6):826. https://doi.org/10.3390/w16060826
Chicago/Turabian StyleXu, Xiaodong, Peining Zhu, Yaya Song, Weijie Chen, Lin Chen, Jia Weng, Teng Xu, and Yuke Wang. 2024. "Comparison of Load Transfer Law of Pipe Pile between O-Cell Test and Traditional Static Load Test" Water 16, no. 6: 826. https://doi.org/10.3390/w16060826
APA StyleXu, X., Zhu, P., Song, Y., Chen, W., Chen, L., Weng, J., Xu, T., & Wang, Y. (2024). Comparison of Load Transfer Law of Pipe Pile between O-Cell Test and Traditional Static Load Test. Water, 16(6), 826. https://doi.org/10.3390/w16060826

