Time Series Analysis of Water Quality Factors Enhancing Harmful Algal Blooms (HABs): A Study Integrating In-Situ and Satellite Data, Vaal Dam, South Africa
Abstract
1. Introduction
2. The Study Area
3. Materials and Methods
3.1. The Water Quality Data
3.2. The Satellite Data
3.3. Data Analysis
4. Results
Time Series of Targeted Parameters
5. Discussion
6. Conclusions
Author Contributions
Funding
Data Availability Statement
Acknowledgments
Conflicts of Interest
References
- Makarigakis, A.K.; Jimenez-Cisneros, B.E. UNESCO’s contribution to face global water challenges. Water 2019, 11, 388. [Google Scholar] [CrossRef]
- Sanderson, E.W.; Jaiteh, M.; Levy, M.A.; Redford, K.H.; Wannebo, A.V.; Woolmer, G. The human footprint and the last of the wild: The human footprint is a global map of human influence on the land surface, which suggests that human beings are stewards of nature, whether we like it or not. BioScience 2002, 52, 891–904. [Google Scholar] [CrossRef]
- Taheri Tizro, A.; Ghashghaie, M.; Georgiou, P.; Voudouris, K. Time series analysis of water quality parameters. J. Appl. Res. Water Wastewater 2014, 1, 40–50. [Google Scholar]
- Oberholster, P.J.; Ashton, P.J. State of the nation report: An overview of the current status of water quality and eutrophication in South African rivers and reservoirs. In Parliamentary Grant Deliverable; Council for Scientific and Industrial Research (CSIR): Pretoria, South Africa, 2008; p. 2006. [Google Scholar]
- Oberholster, P.; Botha, A.-M.; Cloete, T. Biological and chemical evaluation of sewage water pollution in the Rietvlei nature reserve wetland area, South Africa. Environ. Pollut. 2008, 156, 184–192. [Google Scholar] [CrossRef] [PubMed]
- Ho, L.T.; Goethals, P.L. Opportunities and challenges for the sustainability of lakes and reservoirs in relation to the Sustainable Development Goals (SDGs). Water 2019, 11, 1462. [Google Scholar] [CrossRef]
- Adu, J.T.; Kumarasamy, M.V. Assessing Non-Point Source Pollution Models: A Review. Pol. J. Environ. Stud. 2018, 27, 1913–1922. [Google Scholar] [CrossRef] [PubMed]
- Carey, R.O.; Migliaccio, K.W. Contribution of wastewater treatment plant effluents to nutrient dynamics in aquatic systems: A review. Environ. Manag. 2009, 44, 205–217. [Google Scholar] [CrossRef]
- Sonzogni, W.C.; Chesters, G.; Coote, D.; Jeffs, D.; Konrad, J.; Ostry, R.; Robinson, J. Pollution from land runoff. Environ. Sci. Technol. 1980, 14, 148–153. [Google Scholar] [CrossRef]
- Chaffin, J.D.; Bratton, J.F.; Verhamme, E.M.; Bair, H.B.; Beecher, A.A.; Binding, C.E.; Birbeck, J.A.; Bridgeman, T.B.; Chang, X.; Crossman, J. The Lake Erie HABs Grab: A binational collaboration to characterize the western basin cyanobacterial harmful algal blooms at an unprecedented high-resolution spatial scale. Harmful Algae 2021, 108, 102080. [Google Scholar] [CrossRef]
- Glibert, P.M.; Maranger, R.; Sobota, D.J.; Bouwman, L. The Haber Bosch–harmful algal bloom (HB–HAB) link. Environ. Res. Lett. 2014, 9, 105001. [Google Scholar] [CrossRef]
- Robarts, R.D.; Zohary, T. Limnology and the future of African inland waters. Inland Waters 2018, 8, 399–412. [Google Scholar] [CrossRef]
- Hara, M.M.; Backeberg, G.R. An institutional approach for developing South African inland freshwater fisheries for improved food security and rural livelihoods. Water SA 2014, 40, 277–286. [Google Scholar] [CrossRef]
- Ewerts, H. Effectiveness of Purification Processes in Removing Algae from Vaal Dam Water at the Rand Water Zuikerbosch Treatment Plant in Vereeniging; North-West University: Kirkland, WA, USA, 2010. [Google Scholar]
- Ali, K.; Abiye, T.; Adam, E. Integrating In Situ and Current Generation Satellite Data for Temporal and Spatial Analysis of Harmful Algal Blooms in the Hartbeespoort Dam, Crocodile River Basin, South Africa. Remote Sens. 2022, 14, 4277. [Google Scholar] [CrossRef]
- Matthews, M.W.; Bernard, S. Eutrophication and cyanobacteria in South Africa’s standing water bodies: A view from space. S. Afr. J. Sci. 2015, 111, 1–8. [Google Scholar] [CrossRef] [PubMed]
- Mudaly, L.; Van der Laan, M. Interactions between irrigated agriculture and surface water quality with a focus on phosphate and nitrate in the middle olifants catchment, South Africa. Sustainability 2020, 12, 4370. [Google Scholar] [CrossRef]
- Beaulac, M.N.; Reckhow, K.H. An Examination of Land Use-Nutrient Export Relationships 1. JAWRA J. Am. Water Resour. Assoc. 1982, 18, 1013–1024. [Google Scholar] [CrossRef]
- Walmsley, R. A Review and Discussion Document: Perspectives on Eutrophication of Surface Waters: Policy or Research Needs in South Africa. 2002. Available online: https://www.wrc.org.za/wp-content/uploads/mdocs/KV-129-00.pdf (accessed on 2 February 2023).
- Van Ginkel, C. Eutrophication: Present reality and future challenges for South Africa. Water SA 2011, 37, 693–702. [Google Scholar] [CrossRef]
- Haarhoff, J.; Tempelhoff, J. Water supply to the Witwatersrand (Gauteng) 1924–2003. J. Contemp. Hist. 2007, 32, 95–114. [Google Scholar]
- Obaid, A.; Adam, E.; Ali, K.A. Land Use and Land Cover Change in the Vaal Dam Catchment, South Africa: A Study Based on Remote Sensing and Time Series Analysis. Geomatics 2023, 3, 205–220. [Google Scholar] [CrossRef]
- Du Plessis, A. Freshwater Challenges of South Africa and Its Upper Vaal River; Springer Cham: Berlin/Heidelberg, Germany, 2017. [Google Scholar]
- Swanepoel, A.; Barnard, S.; Recknagel, F.; Cao, H. Evaluation of models generated via hybrid evolutionary algorithms for the prediction of Microcystis concentrations in the Vaal Dam, South Africa. Water SA 2016, 42, 243–252. [Google Scholar] [CrossRef][Green Version]
- Chinyama, A.; Snyman, J.; Ochieng, G.M.; Nhapi, I. Occurrence of cyanobacteria genera in the Vaal Dam: Implications for potable water production. Water SA 2016, 42, 415–420. [Google Scholar] [CrossRef]
- Sakuno, Y.; Yajima, H.; Yoshioka, Y.; Sugahara, S.; Abd Elbasit, M.A.; Adam, E.; Chirima, J.G. Evaluation of unified algorithms for remote sensing of chlorophyll-a and turbidity in Lake Shinji and Lake Nakaumi of Japan and the Vaal Dam Reservoir of South Africa under eutrophic and ultra-turbid conditions. Water 2018, 10, 618. [Google Scholar] [CrossRef]
- Malahlela, O.E.; Oliphant, T.; Tsoeleng, L.T.; Mhangara, P. Mapping chlorophyll-a concentrations in a cyanobacteria-and algae-impacted Vaal Dam using Landsat 8 OLI data. S. Afr. J. Sci. 2018, 114, 1–9. [Google Scholar] [CrossRef] [PubMed]
- Bande, P.; Adam, E.; Elbasit, M.; Adelabu, S. Comparing Landsat 8 and Sentinel-2 in mapping water quality at Vaal dam. In Proceedings of the 2018 IEEE International Geoscience and Remote Sensing Symposium, Valencia, Spain, 22–27 July 2018; pp. 9280–9283. [Google Scholar]
- Obaid, A.; Ali, K.; Abiye, T.; Adam, E. Assessing the utility of using current generation high-resolution satellites (Sentinel 2 and Landsat 8) to monitor large water supply dam in South Africa. Remote Sens. Appl. Soc. Environ. 2021, 22, 100521. [Google Scholar] [CrossRef]
- Gyedu-Ababio, T.; Van Wyk, F. Effects of human activities on the waterval river, Vaal river catchment, South Africa. Afr. J. Aquat. Sci. 2004, 29, 75–81. [Google Scholar] [CrossRef]
- du Plessis, A.; Harmse, T.; Ahmed, F. Predicting water quality associated with land cover change in the Grootdraai Dam catchment, South Africa. Water Int. 2015, 40, 647–663. [Google Scholar] [CrossRef]
- Matete, M.; Hassan, R. Integrated ecological economics accounting approach to evaluation of inter-basin water transfers: An application to the Lesotho Highlands Water Project. Ecol. Econ. 2006, 60, 246–259. [Google Scholar] [CrossRef]
- Ilori, C.O.; Pahlevan, N.; Knudby, A. Analyzing Performances of Different Atmospheric Correction Techniques for Landsat 8: Application for Coastal Remote Sensing. Remote Sens. 2019, 11, 469. [Google Scholar] [CrossRef]
- O’Reilly, J.E.; Werdell, P.J. Chlorophyll algorithms for ocean color sensors-OC4, OC5 & OC6. Remote Sens. Environ. 2019, 229, 32–47. [Google Scholar] [PubMed]
- Welch, E.B.; Cooke, G.D. Internal phosphorus loading in shallow lakes: Importance and control. Lake Reserv. Manag. 2005, 21, 209–217. [Google Scholar] [CrossRef]
- Gholizadeh, M.H.; Melesse, A.M.; Reddi, L. A comprehensive review on water quality parameters estimation using remote sensing techniques. Sensors 2016, 16, 1298. [Google Scholar] [CrossRef] [PubMed]
- Welch, E.B. Factors Initiating Phytoplankton Blooms and Resulting Effects on Dissolved Oxygen in Duwamish River Estuary, Seattle, Washington; U.S. Government Printing Office: Washington, DC, USA, 1969. [Google Scholar]
- Kharbush, J.J.; Robinson, R.S.; Carter, S.J. Patterns in sources and forms of nitrogen in a large eutrophic lake during a cyanobacterial harmful algal bloom. Limnol. Oceanogr. 2023, 68, 803–815. [Google Scholar] [CrossRef]











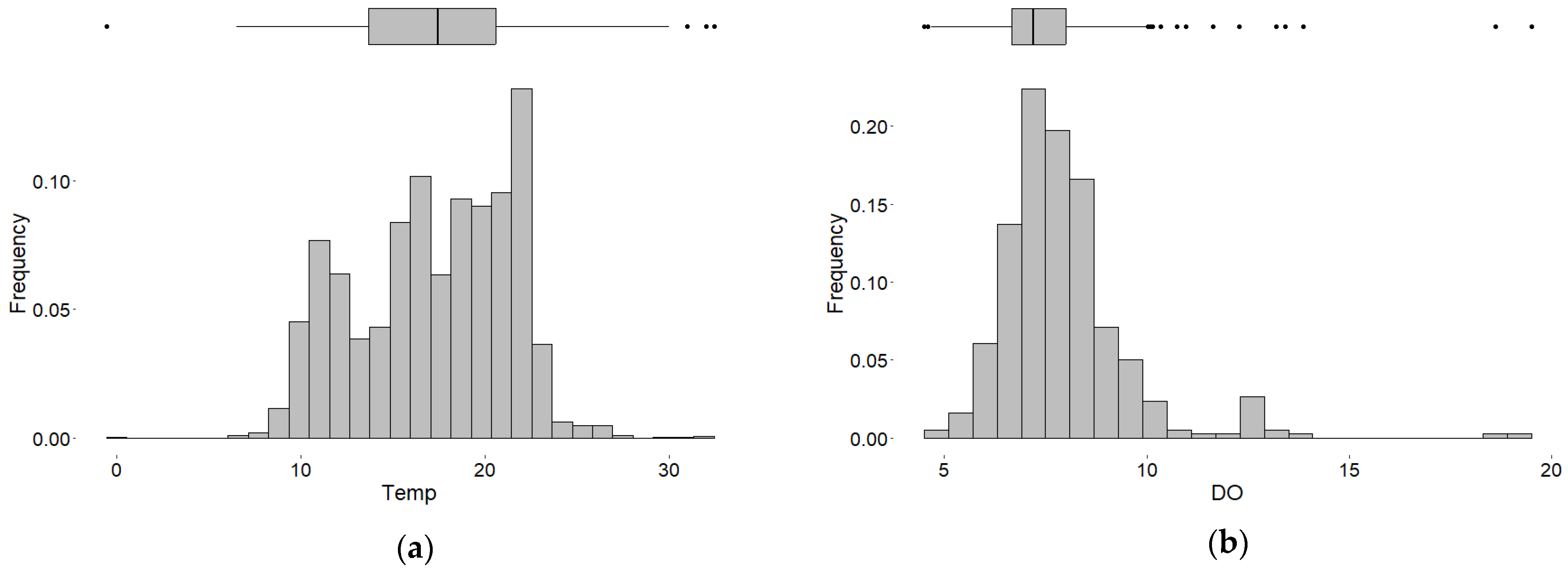
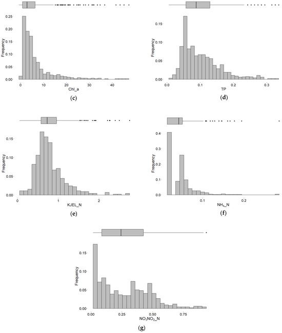
| Parameter | Data Availability | Minimum Value | Maximum Value | Average | Standard Deviation |
|---|---|---|---|---|---|
| Chl−a | 1986–2022 | 0.5 μg/L | 452.8 μg/L | 11.25 μg/L | 34.72 |
| TP | 1986–2022 | 0.01 mg/L | 1.4 mg/L | 0.113 mg/L | 0.121 |
| DO | 2010–2018 | 4.98 mg/L | 19.31 mg/L | 7.9 mg/L | 1.615 |
| KJEL_N | 1986–2018 | 0.05 mg/L | 18.058 mg/L | 0.94 mg/L | 1.352 |
| NH4_N | 1977–2018 | 0.02 mg/L | 0.28 mg/L | 0.046 mg/L | 0.029 |
| NO3NO2_N | 1968–2018 | 0.02 mg/L | 0.921 mg/L | 0.27 mg/L | 0.201 |
| Temperature | 1968–2018 | 18 °C | 4.160 |
| Decades WQ Parameter | 1st Decade (1990–2000) | 2nd Decade (2000–2010) | 3rd Decade (2010–2020) |
|---|---|---|---|
| Chl−a (μg/L) | 4.75 | 10.51 | 16.7 |
| TP (mg/L) | 0.1043 | 0.1096 | 0.1119 |
| KJEL_N (mg/L) | 0.8 | - | 1.14 |
| NO3NO2_N (mg/L) | 0.246 | - | 0.225 |
| NH4_N (mg/L) | 0.04 | - | 0.043 |
| DO (mg/L) | - | - | 7.93 |
| Temp. (°C) | 17.9 | - | 18 |
Disclaimer/Publisher’s Note: The statements, opinions and data contained in all publications are solely those of the individual author(s) and contributor(s) and not of MDPI and/or the editor(s). MDPI and/or the editor(s) disclaim responsibility for any injury to people or property resulting from any ideas, methods, instructions or products referred to in the content. |
© 2024 by the authors. Licensee MDPI, Basel, Switzerland. This article is an open access article distributed under the terms and conditions of the Creative Commons Attribution (CC BY) license (https://creativecommons.org/licenses/by/4.0/).
Share and Cite
Obaid, A.A.; Adam, E.M.; Ali, K.A.; Abiye, T.A. Time Series Analysis of Water Quality Factors Enhancing Harmful Algal Blooms (HABs): A Study Integrating In-Situ and Satellite Data, Vaal Dam, South Africa. Water 2024, 16, 764. https://doi.org/10.3390/w16050764
Obaid AA, Adam EM, Ali KA, Abiye TA. Time Series Analysis of Water Quality Factors Enhancing Harmful Algal Blooms (HABs): A Study Integrating In-Situ and Satellite Data, Vaal Dam, South Africa. Water. 2024; 16(5):764. https://doi.org/10.3390/w16050764
Chicago/Turabian StyleObaid, Altayeb A., Elhadi M. Adam, K. Adem Ali, and Tamiru A. Abiye. 2024. "Time Series Analysis of Water Quality Factors Enhancing Harmful Algal Blooms (HABs): A Study Integrating In-Situ and Satellite Data, Vaal Dam, South Africa" Water 16, no. 5: 764. https://doi.org/10.3390/w16050764
APA StyleObaid, A. A., Adam, E. M., Ali, K. A., & Abiye, T. A. (2024). Time Series Analysis of Water Quality Factors Enhancing Harmful Algal Blooms (HABs): A Study Integrating In-Situ and Satellite Data, Vaal Dam, South Africa. Water, 16(5), 764. https://doi.org/10.3390/w16050764

