Next Article in Journal
Hydrogeochemical Behavior of Shallow Groundwater around Hancheng Mining Area, Guanzhong Basin, China
Previous Article in Journal
Consideration of the Environment in Water-Energy-Food Nexus Research in the Aral Sea Basin
 
 
Font Type:
Arial Georgia Verdana
Font Size:
Aa Aa Aa
Line Spacing:
Column Width:
Background:
Article

Comprehensive Assessment of Dam Safety Using a Game-Theory-Based Dam Safety Performance Measure

1
School of Civil Engineering, Tsinghua University, Beijing 100084, China
2
Institute of Water Resources Science, Guangdong Provincial Academy of Building Research Group Co., Ltd., Guangzhou 510530, China
*
Author to whom correspondence should be addressed.
Water 2024, 16(5), 659; https://doi.org/10.3390/w16050659
Submission received: 7 December 2023 / Revised: 20 December 2023 / Accepted: 22 December 2023 / Published: 23 February 2024
(This article belongs to the Section Hydraulics and Hydrodynamics)

Abstract

More than 100,000 dams have been built in China and their safety conditions have drawn more attention to the stakeholders due to large socioeconomic effects, such as economic losses and casualties caused by dam incidents. Dam safety assessment was closely related to the safety conditions of various indicators and associated weights. However, traditional methods tended to adopt either the subjective weighting method (SWM) or the objective weighting method (OWM) to assess the weights of indicators, leading to an unreliable assessment of dam safety. To this end, this study proposed the game theory (GT)-based dam safety performance measure (DSPM) method to evaluate the safety level of dams. To assess the weights of all associated indicators of dams, the GT method that was used to capture the advantages of both the SWM and OWM was developed. The weights of each indicator were considered as variables and their values were obtained based on MATLAB. The DSPM that followed the form of the power-exponential function was proposed to assess dam safety. The whole method was exemplified by the five dams and the effectiveness of the proposed method was verified by comparing it with the code-based method (i.e., SL 258-2017). The results showed that the weights of indicators based on the analytic hierarchy process (AHP) method and the CRiteria Importance Through Intercriteria Correlation (CRITIC) method were different. The maximum and minimum percentage differences between the weights based on AHP and CRITIC methods were 107.4% and 3.1%, respectively, revealing that the weights obtained from only one method were unreliable. The proposed GT method was suitable for assessing the weights. Obtained superiority and inferiority rankings (SIRs) based on the GT-based DSPM and the code-based methods were consistent, which showed the effectiveness of the GT-based DSPM method. The code-based method concerning the dam safety levels was too rough to capture the dam performance accurately; the proposed method gave a more detailed classification, which provided important information on wise investments for the stakeholders when enhancing the performance of deficient dams.

1. Introduction

The dam had functions such as flood control, irrigation, and power generation. However, as a relatively large man-made structure, the dam needed regular maintenance [1,2,3]. On the one hand, this extended its service life. On the other hand, it reduced the impact of other disasters on the safety of the dam. The safety assessment of the dam was an ongoing process that required the establishment of a system for regular monitoring and evaluation to technologically assess any potential abnormal conditions [4,5,6]. These assessments helped identify issues in the operation and maintenance of the dam and addressed them specifically based on the assessment results to enable the dam to quickly return to normal operational status. The scope, depth, and subsequent measures of dam safety assessment depended on factors affecting dam safety, including but not limited to categories of dam disaster risks related to casualties and economic losses; the size, type, height, and water storage capacity of the dam; and the operational status and performance of the dam over the past several years, as well as engineering evaluations of its integrity [7].
Since dam failure posed a serious danger to people and property located downstream, the safety assessment of dams gained more and more attention. Wang et al. [8] proposed an improved variable weight AHP method to overcome the effect of the subjectivity and blindness of the equilibrium coefficient in the traditional method on the final result. Taking the Mamiao Reservoir as an example, the secondary index variable weight, the scores of primary indicators, and the comprehensive score of the overall objective were compared based on the traditional variable weight AHP and the proposed method. The results indicated that the scores of dams based on the constant weight, traditional variable weight, and modified variable weight methods were 79.70, 79.05, and 77.95, respectively. The proposed method in this study avoided the imbalance problem in the traditional variable weight AHP method. It also reduced the blindness caused by the equal balance coefficient of the secondary indicators and improved the accuracy of the evaluation results. Wang et al. [9] presented a multi-source information evaluation model based on the D-S evidence theory for dam safety assessment. The multiple sources of evidence indicators included monitoring data, numerical simulation, field surveys, and mechanical tests. The Euclidean weighted method was used to determine the quality allocation function for relevant levels; then, the weights of evidence indicators were calculated based on the comparative method and entropy method. Taking the earth-fill dam as an example, the implementation process of the proposed method was illustrated. The results showed that the geological structure and overlying rock lithology were the most significant qualitative indicators. The weights for water level and dam settlement were 0.44161 and 0.2213, respectively. Furthermore, the observation information that obtained the weight of 0.4981 was the most important factor to reflect the operational status of the dam. The comprehensive judgment indicated that the dam was in a relatively unsafe state, which was consistent with the safety assessment conclusion. Thus, the effectiveness of the proposed method was validated. Samaras et al. [10] used the AHP and the Elimination Et Shoix Traduisant La Realite (ELECTRE) I methods to assess the risk of earth-fill dams. The advantages and disadvantages of the two methods were compared by assessing the risks of three dams. The results indicated that the overall performances of the three dams were 0.35, 0.31, and 0.34, respectively. The risk level of the first dam in Aghia Paraskevi, Chasia, was the highest, followed by the third dam; the risk level of the second dam was the lowest based on the AHP method. However, according to the ELECTRE I method, the risk level of the third dam was the lowest. Landslides, floods, and internal erosion were the greatest risk sources for the first, second, and third dams, respectively. Both methods indicated that internal erosion was a very important risk source when taking three dams as an aggregate. Although there was considerable research on dam safety assessment, many scholars tended to use a single method (i.e., SWM or OWM) to assign weights to various indicators of dams and then obtain the final safety level. These approaches easily led to inaccurate evaluation results. Additionally, the current standard for dam safety assessment in China only provided the qualitative analysis methodology, which resulted in unreliable assessment [11].
This study proposed the GT-based DSPM method for quantitatively evaluating the safety of dams, which comprehensively considered the advantages of different weighting methods. The dam safety involved various indicators, such as structural safety [12,13], seepage safety [14], and seismic safety [15]. Although the scores of the indicators could be obtained through actual measurement, field survey, and expert evaluation, the weights of these indicators needed to be determined to assess the final score of the whole dam. This study selected two methods, namely, the SWM and the OWM. For the SWM, the AHP method that was commonly used in dam safety evaluation was chosen [16,17,18]. Meanwhile, for the OWM, the CRITIC method was adopted [19,20]. The two selected different weighting methods that were commonly used in the dam safety assessment had different principles, resulting in different weights for each indicator in the evaluation of dam safety and, consequently, leading to different final evaluation results. The AHP method was limited by the expertise of the decision maker while the CRITIC method might lead to situations that did not correspond to reality. Therefore, to overcome the problems existing in a single method, this study further improved the two methods based on GT. The weights of indicators were treated as the variables and the weights of these indicators were assessed according to the programming and numeric computing platform MATLAB [21]. The proposed GT method re-weighted the initial weights obtained from different methods (i.e., SWM and OWM) and, then, evaluated the safety of reservoir dams based on the weights obtained from GT. In addition, this study proposed the DSPM and dam safety classification method to assess dam safety levels, making the results closer to the actual situation. Using five reservoirs as examples, the implementation process of the entire method was illustrated. The proposed GT-based DSPM method provided references for the safety evaluation of dams.

2. Materials and Methods

2.1. Study Dams

Five reservoirs were taken as the testbed to illustrate the implementation of the proposed methodology. Pangtougou Reservoir (Figure 1a), which was a medium-sized reservoir, was mainly used for flood control, irrigation, and fish farming. It protected the safety of 790,000 people in two downstream townships and ensured the safety of railways, highways, and expressways. Nianzigou Reservoir (Figure 1b), which was also a medium-sized reservoir, had the following functions: irrigation and flood control. It mainly consisted of a dam and sluiceway. A clay core wall was used for the dam and the elevation and width of the dam crest were 310.1 m and 6 m, respectively. This reservoir also ensured the safety of downstream populations and infrastructure. Gaojia Reservoir (Figure 1c) was a small II-type reservoir, serving functions such as flood control, irrigation, and fish farming. Xinan Reservoir (Figure 1d) was a medium-sized reservoir, integrating functions such as irrigation and flood control. The length of the irrigation area was about 54 km, involving 5 townships and 45 villages. The designed storage capacity of the reservoir was approximately 19.534 million cubic meters. The length and width of the dam crest were 560 m and 4 m, respectively. The elevation of the dam crest and the maximum height of the dam were 295.3 m and 15.3 m, respectively. Xiaosuihe Reservoir (Figure 1e) belonged to the small I-type, serving functions such as water supply and flood control.

2.2. Methodology for Dam Safety Assessment

Dam safety assessment was a complex process involving multiple primary indicators, such as seepage safety, engineering quality, and flood safety. The evaluation of each primary indicator was based on several secondary indicators that were evaluated individually. Therefore, in order to determine the final score of the primary indicators, the scores and weights of the secondary indicators needed to be determined. Although the scores of the secondary indicators were obtained through actual measurement or survey, the determination of the weights of these indicators was still required. Similarly, the final score, which was the safety rating of the dam, required the scores and weights of the primary indicators. Among these steps, the most crucial one was to determine the weights of each indicator. Common weighting methods included SWMs (e.g., AHP method, expert weighting method) and OWMs (e.g., CRITIC method, entropy weighting method). Since the AHP and CRITIC methods were commonly used in dam safety assessment, this study selected the AHP and CRITIC methods as the SWM and OWM, respectively. Based on these two commonly used methods, a combined weighting method based on GT was proposed to determine the weights of relevant indicators. Additionally, this study proposed DSPM and dam safety classification methods for dam safety assessment, which aimed to evaluate the safety of dams more reasonably.

2.2.1. AHP Method

The AHP was guided by the nature of the problem and the overall goal; it decomposed the problem into various factors and combined them based on their interrelationships and affiliations to form a multi-level analysis model [22]. This method made full use of limited information to rank the advantages and disadvantages of various schemes and helped solve many complex issues. The steps of the AHP method are shown in Figure 2. One of the most critical steps in this method was to test the consistency of the pairwise comparison matrix constructed. Only matrices that met consistency requirements were used as pairwise comparison matrices. The AHP method included three different methods for calculating weights: the root method, the iterative method, and the summation method. A brief introduction to these three methods is as follows.
(1)
Root method
The comparison matrix was developed as follows:
A = a i j n × n = a 11 a 1 n a n 1 a n n
where a i j was the result when the i th factor was compared with the j th factor and a i j followed the property: a i j > 0 , a i j = 1 a j i , and a i i = 1 . The product of elements in each row of the comparison matrix was calculated as:
M i = j = 1 n a i j ,     i = 1 , 2 , , n
The n-th root of M i was given by:
W i ¯ = M i n
To obtain the weights of each factor, the normalization of W i ¯ was expressed as:
W i , r o = W i ¯ j = 1 n W j ¯
Thus, the eigenvector, namely, the weight vector, was given by:
W r o = W 1 , r o W 2 , r o W n , r o
The maximum eigenvalue was expressed as:
λ m a x i = 1 n A W r o i n W i , r o
in which A W r o i was the i th component of the A W r o . The consistency check on the matrix was given by:
C I = λ m a x n n 1
C R = C I R I
(2)
Iteration method
The initial iteration vector was defined as:
D 0 = 1 n 1 n 1 n
The iteration of the comparison matrix was given by:
D l = A D l 1
The l th iteration matrix was expressed as:
D l = D l D l
where D l was the summation of the n components of the D l . It was proved that the iterative column vector was convergent according to the property of the matrix and the limit of the W i t was given as:
W i t = W 1 , i t W 2 , i t W n , i t
in which W n , i t was the weights.
(3)
Summation method
The normalization of each column of the comparison matrix was expressed as:
ε i j = a i j i = 1 n a i j
The summation of each row was given by:
w i = j = 1 n ε i j
The normalization of the w i was expressed by:
W i , s u m = w i i = 1 n w i
The eigenvalue W s u m was given as:
W s u m = W 1 , s u m W 2 , s u m W n , s u m
The following steps were the same as the root method.
Finally, the mean weights were obtained from the three methods mentioned above and the weight vector was given by:
W 1 = W 1,1 W 2,1 W n , 1
W n , 1 = W n , r o + W n , i t + W n , s u m 3

2.2.2. CRITIC Method

The CRITIC method that was proposed by Diakoulaki et al. [23] was an OWM. This method was used to determine the weights by considering the contrast intensity and conflict. The contrast intensity was measured by the standard deviation of the scores in the criterion and the large standard deviation represented the high weight. The conflict was reflected by the correlation coefficient and the strong correlation represented the low weight. The steps of the CRITIC method are shown in Figure 3. A brief introduction to the implementation process of this method is as follows.
It was assumed that there were m evaluation objects and n indicators and the initial data matrix was constructed as:
X = x i j m × n = x 11 x 1 n x m 1 x m n
where x i j was the value of the j th indicator of the i th evaluation object. The dimensionless processing of the data was performed to eliminate the impact of dimensionality and the positive indicators were processed by:
x i j = x i j min x 1 j , x 2 j , , x n j max x 1 j , x 2 j , , x n j min x 1 j , x 2 j , , x n j
The following expression was used for the negative indicators:
x i j = max x 1 j , x 2 j , , x n j x i j max x 1 j , x 2 j , , x n j min x 1 j , x 2 j , , x n j
The standard deviation of the j th indicator was given as:
S j = i = 1 n x i j x i j ¯ 2 n 1
x i j ¯ = 1 n i = 1 n x i j
The correlation coefficient between the j th and k th indicators was expressed as:
r j k = i = 1 n x i j x j ¯ x i k x k ¯ i = 1 n x i j x j ¯ 2 i = 1 n x i k x k ¯ 2
The conflict among indicators was calculated as:
R j = k = 1 n 1 r j k
The amount of information was given based on the conflict:
C j = S j × R j
The weight of the j th indicator and the weight vector were obtained finally:
W j , 2 = C j j = 1 n C j
W 2 = W 1 , 2 W 2,2 W n , 2

2.2.3. GT Method

GT was a branch of modern mathematics that studied competitive phenomena and the optimal strategy problems for multiple individuals or teams under specific constraints [24]. It aimed to maximize the interests of all parties in a game, which involved finding the combination that maximized their interests. The basic elements of GT included players, strategies, and payoffs. In this study, the players were two experts and the strategies were the the AHP method and the CRITIC method. The payoffs were the optimal strategies based on these two methods, namely, the final weight matrix. The payoff in this study was ultimately transformed into the minimization of the deviation between the combined weights and each weight. The initial combined weight vector W was given as:
W = a 1 W 1 + a 2 W 2
where W i represented the weight matrix obtained according to the i th method and a i was the weight for the i th method. As discussed above, it was concluded that the goal of this study was to seek the optimal weight matrix that minimized the difference between the weight matrices W gt and W i , which was expressed as:
m i n i = 1 2 a i W i W j 2
Based on the differential properties of the matrix, the first derivative of Equation (30) was converted to the following linear system of equations:
W 1 T W 1 W 1 T W 2 W 2 T W 1 W 2 T W 2 a 1 a 2 = W 1 T W 1 W 2 T W 2
The initial weight a i was obtained by solving Equation (31) and the normalization of the weight was performed based on their absolute values:
a i = a i i = 1 2 a i
The final weight vector was obtained based on the a i :
W GT = a 1 W 1 + a 2 W 2

2.2.4. DSPM

Dam safety assessment was a complicated work that involved the evaluation of the multi-level indicators and associated weights. The accuracy of the complicated assessment not only depended on the evaluations mentioned above but also on the method that combined them reasonably. Although the weight for each indicator was obtained based on the method discussed above, questions still remained as to the accurate final scores of the dams. Here, the DSPM was given to calculate the safety value of each dam under evaluation. The DSPM that followed the form of the power-exponential function consisted of the weights and values of each indicator, which was expressed as:
S p = i = 1 m x i W i , p W t o t a l , p
in which S p was the value of the DSPM when the p th method was used to evaluate the associated weights; x i was the value of the i th indicator; and W i , p was the relative weight of i th indicator when using the p th method:
W i , p = W i , p W m i n , p W m a x , p W m i n , p
W m a x , p = m a x ( W 1 , p , W 2 , p , , W 1 , p )
W m i n , p = m i n ( W 1 , p , W 2 , p , , W 1 , p )
where W i , p was the weight of i th indicator when using the p th method; W m i n , p and W m a x , p were the minimum and maximum weights among the selected indicators when using the p th method, respectively. W t o t a l , p was the summation of the relative weights of the whole indicators, which was given as:
W t o t a l , p = i = 1 m W i , p

3. Results and Discussion

According to the guidelines on dam safety evaluation [11] and the associated study [25], the hierarchy tree for the studied dam was constructed, as shown in Figure 4. Additionally, the safety assessment level and values for each indicator of dams were given in Table 1 and Table 2, respectively. The values of the DSPM for the five dams were assessed considering the following weight methods, namely, AHP, CRITIC, and GT. The dam safety was also assessed based on the current standard in China to verify the proposed method.

3.1. Weight Analysis

The final weights of each indicator were calculated to assess the final score of the dams. Following the analysis steps of the AHP method provided in the previous section, it was required to build the judgment matrices (i.e., pairwise comparison matrices) after constructing the hierarchy structure model. Pairwise comparison matrices were constructed for both the criterion level (i.e., primary indicators) and the evaluation level (i.e., secondary indicators), as shown in Appendix A. Due to the potential large discrepancies between traditional 1–9 scales and people’s estimations, this study adopted an exponential scale that had greater accuracy [26]. According to the requirements of the AHP method, it was necessary to test the consistency of the constructed matrices. The consistency ratios (CRs) of each constructed matrix are shown in Table 3. As can be seen, all the consistency ratios of the constructed pairwise comparison matrices were less than 0.1, indicating that the constructed matrices met the consistency requirements.
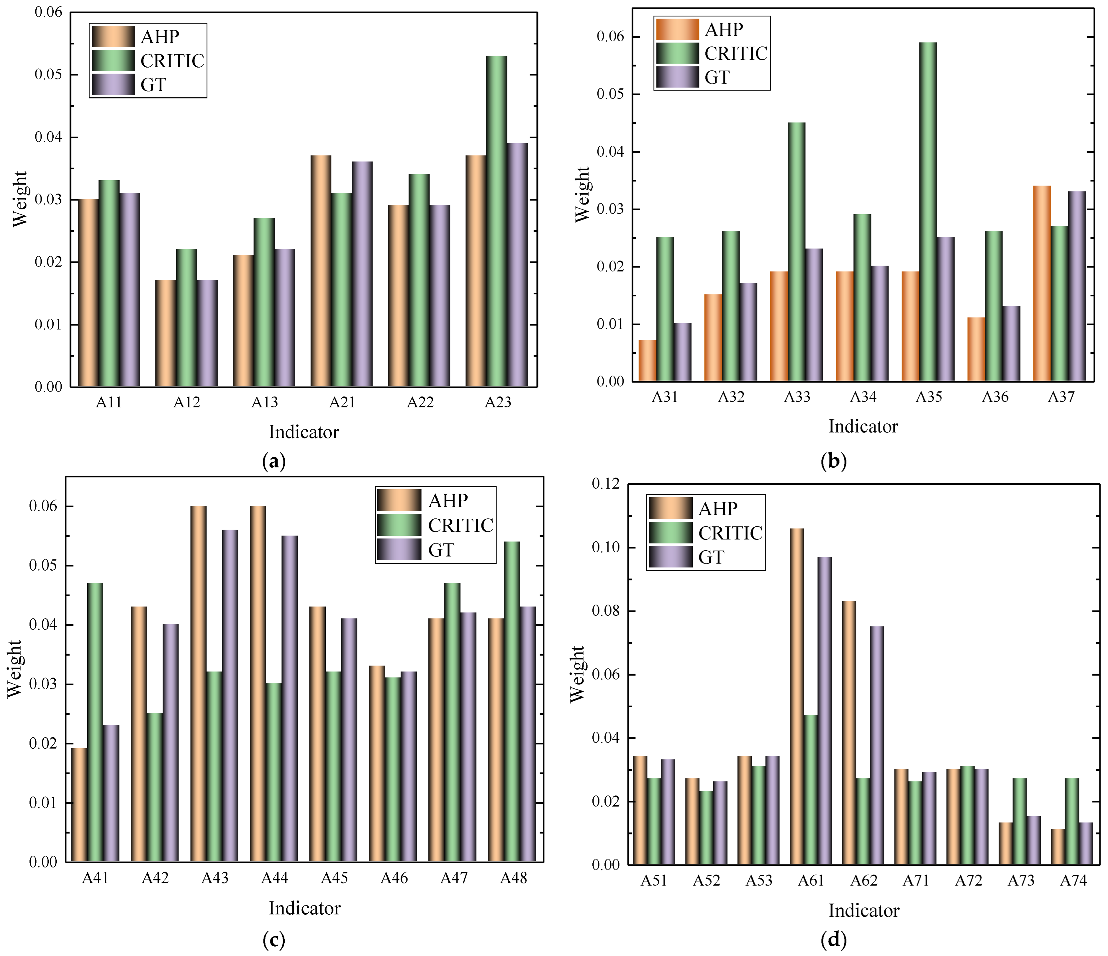
After consistency tests on the pairwise comparison matrices, the average weights were obtained according to the root, iteration, and summation methods provided in this study. Based on the indicator values of the reservoir dam given in Table 2 and the CRITIC method introduced in this study, the weights of each indicator at the evaluation level were determined. As mentioned in the previous section, the AHP method [17,18] or the CRITIC method [19,20] were commonly used in the weight analysis of indicators in the dam safety assessment. To explore a more reasonable method to assess the weights of indicators, the weights based on the AHP, CRITIC, and GT methods were calculated, respectively. Note that the weights obtained from the three methods were calculated based on MATLAB. The weights of the indicators obtained by the AHP, CRITIC, and GT methods are shown in Figure 5. As can be seen, the weights based on the AHP method and the CRITIC method were different. For example, the weight based on the CRITIC method for the A31 was 3.32 times larger than that of the AHP method while the weight for the A62 based on the AHP method was 3.02 times larger than that of the CRITIC method. The maximum and minimum percentage differences were 107.4% and 3.1%, respectively. Compared with the AHP method, the weights based on the CRITIC method increased by 60.66% on average. These results showed that the weights obtained from only one method were unreliable, which led to an unsatisfactory assessment of the dam safety. In addition, the weight based on the GT method proposed in this study was located between these two traditional methods (i.e., the AHP and CRITIC methods). For instance, compared with the AHP method, the weights based on the CRTIC and GT methods for the A41 increased by 147.13% and 21.98%, respectively. The result further indicated that weights based on one method were unsatisfactory while combining two methods (i.e., the GT method) made the weight analysis of evaluation indicators more reasonable.

3.2. Dam Safety Assessment

According to the indicator values of the dams in Table 2, the final weights of the evaluation indicators in Figure 5, and the safety level of the reservoir dams in Table 1, the DSPM and safety level evaluations were performed on the five studied dams. The results are shown in Table 4. As shown in the table, except for the Gaojia Reservoir, the safety levels of reservoir dams obtained using the AHP-based DSPM method, CRITIC-based DSPM method, and GT-based DSPM method proposed in this study were basically consistent. For the Gaojia Reservoir, the safety levels obtained based on the AHP-based DSPM and GT-based DSPM methods were considered to be very low while the safety level obtained according to the CRITIC-based DSPM method was low. This result indicated that the dam safety level considering only one weighting method was inaccurate. The safety of reservoir dams was related to the safety of people’s lives and property. If disasters such as dam failure occurred, they caused serious economic losses, casualties, and extremely adverse social impacts. Therefore, it was necessary to use a combination method (e.g., GT) to comprehensively evaluate the safety level of dams.
In order to verify the effectiveness of the GT-based DSPM method proposed in this study, the Chinese code, namely, Guidelines on Dam Safety Evaluation (SL 258-2017) [11], was used to assess the safety levels of five reservoir dams. The evaluation results of the code-based method (i.e., SL 258-2017) and GT-based DSPM method are shown in Table 5. The code-based method involved seven primary indicators, such as seepage safety, seismic safety, and construction quality. The safety levels of primary indicators were assessed and the number of safety levels was also summarized in Table 5. Additionally, the table also provided the SIRs of the five reservoir dams. As shown in the table, the SIR of the GT-based DSPM method was consistent with that of the code-based method, which verified the effectiveness of the GT-based DSPM method proposed in this study. All the studied dams were considered Class III, except the Xinan Reservoir Dam. This result showed that the dam classification in the code-based method was too rough. This traditional method could not capture the dam performance accurately, which provided unreliable information for the stakeholders. Since the safety levels of the Pangtougou, Nianzigou, Gaojia, and Xiaosuihe Reservoir Dams were the same (i.e., Class III), the stakeholders were confused about whether the same investments were enough to enhance the performance of these dams to the acceptable level. More detailed classification concerning dam safety based on the proposed method was given in the present study, which provided wise investments for the stakeholders with respect to the performance upgrade of the deficient dams.

4. Conclusions

This study proposed the GT-based DSPM method to assess dam safety, considering the safety conditions of their assessment indicators and associated weights. Different weighting methods were used to evaluate the weights of the various indicators and the DSPMs were calculated to assess the safety level of dams. The safety levels obtained from AHP-based, CRITIC-based, and GT-based DSPM methods were compared and discussed. The effectiveness of the proposed GT-based DSPM method was also verified by comparing it with the code-based method (i.e., SL 258-2017). The main conclusions were as follows:
(1) The weights of indicators based on the AHP and CRITIC methods were different, and the maximum percentage difference was the seepage flow indicator. The weights obtained from only one method were unreliable. The weight based on the GT method proposed in this study was located between these two traditional methods. To capture the advantages of the SWM and OWM, the proposed GT method was suggested to assess the weights;
(2) Although the safety levels of the studied dams obtained from the AHP-based DSPM method, CRITIC-based DSPM method, and GT-based DSPM method were basically consistent, except for the Gaojia Reservoir Dam, it was recommended to use the GT-based DSPM method to accurately assess the dam safety due to severe impacts, such as large economic losses and casualties caused by dam failure;
(3) The SIRs of the GT-based DSPM method and the code-based method were consistent, which verified the effectiveness of the GT-based DSPM method proposed in this study. The dam classification in the code-based method was too rough to capture the dam performance accurately, which provided unreliable information for the stakeholders. The proposed method gave a more detailed classification concerning dam safety, which provided important information on wise investments for the stakeholders when enhancing the performance of deficient dams.
Note that the traditional weighting methods selected in the present study were AHP and CRITIC; the GT-based DSPM method could be modified to incorporate the other weighting methods that significantly influenced the dam safety assessment.

Author Contributions

Conceptualization, Z.F.; methodology, Z.F. and P.F.; validation, Z.F. and P.F.; investigation, Z.F.; writing—original draft preparation, Z.F.; writing—review and editing, Z.F. and P.F.; supervision, P.F. and Z.L. All authors have read and agreed to the published version of the manuscript.

Funding

This research was funded by the National Natural Science Foundation of China, grant numbers U2106219 and 51978379. The APC was funded by the Postdoctoral Funding of Guangdong Provincial Academy of Building Research Group Co., Ltd.

Data Availability Statement

The data presented in this study are available in the article.

Acknowledgments

The authors would like to thank Yiming Li for their guidance on conceptualization.

Conflicts of Interest

The authors declare no conflicts of interest.

Appendix A

Table A1. Pairwise comparison matrix for dam safety evaluation.
Table A1. Pairwise comparison matrix for dam safety evaluation.
AA1A2A3A4A5A6A7
A11.0000.7830.4810.1110.7830.4811.130
A21.2771.0000.7830.2311.0001.0001.277
A32.0801.2771.0000.4811.2771.0000.614
A49.0004.3272.0801.0004.3270.7834.327
A51.2771.0000.7830.2311.0000.7831.130
A62.0801.0001.0001.2771.2771.0004.327
A70.8850.7831.6290.2310.8850.2311.000
Table A2. Pairwise comparison matrix for construction quality evaluation.
Table A2. Pairwise comparison matrix for construction quality evaluation.
A1A11A12A13
A111.0002.0801.277
A120.4811.0000.885
A130.7831.1301.000
Table A3. Pairwise comparison matrix for flood control capacity check.
Table A3. Pairwise comparison matrix for flood control capacity check.
A2A21A22A23
A211.0001.2771.000
A220.7831.0000.783
A231.0001.2771.000
Table A4. Pairwise comparison matrix for seepage safety evaluation.
Table A4. Pairwise comparison matrix for seepage safety evaluation.
A3A31A32A33A34A35A36A37
A311.0000.6140.3330.3330.3330.8850.231
A321.6291.0000.7830.7830.7831.2770.614
A333.0001.2771.0001.0001.0001.6290.481
A343.0001.2771.0001.0001.0001.6290.481
A353.0001.2771.0001.0001.0001.6290.481
A361.1300.7830.6140.6140.6141.0000.333
A374.3271.6292.0802.0802.0803.0001.000
Table A5. Pairwise comparison matrix for structural safety evaluation.
Table A5. Pairwise comparison matrix for structural safety evaluation.
A4A41A42A43A44A45A46A47A48
A411.0000.4810.2310.2310.4810.7830.4810.481
A422.0801.0000.7830.7831.0001.2771.0001.000
A434.3271.2771.0001.0001.2772.0801.2771.277
A444.3271.2771.0001.0001.2772.0801.2771.277
A452.0801.0000.7830.7831.0001.2771.0001.000
A461.2770.7830.4810.4810.7831.0001.0001.000
A472.0801.0000.7830.7831.0001.0001.0001.000
A482.0801.0000.7830.7831.0001.0001.0001.000
Table A6. Pairwise comparison matrix for safety evaluation of metal structures.
Table A6. Pairwise comparison matrix for safety evaluation of metal structures.
A5A51A52A53
A511.0001.2771.000
A520.7831.0000.783
A531.0001.2771.000
Table A7. Pairwise comparison matrix for seismic safety evaluation.
Table A7. Pairwise comparison matrix for seismic safety evaluation.
A6A61A62
A611.0001.277
A620.7831.000
Table A8. Pairwise comparison matrix for operations management evaluation.
Table A8. Pairwise comparison matrix for operations management evaluation.
A7A71A72A73A74
A711.0001.0002.0803.000
A721.0001.0002.0803.000
A730.4810.4811.0001.130
A740.3330.3330.8851.000

References

  1. Nishimura, S.I.; Shibata, T.; Shuku, T. Reliability-Based Design for Earth-Fill Dams against Severe Natural Disaster Events. Soils Found. 2021, 61, 271–282. [Google Scholar] [CrossRef]
  2. Ramirez, J.A.; Mertin, M.; Peleg, N.; Horton, P.; Skinner, C.; Zimmermann, M.; Keiler, M. Modelling the Long-Term Geomorphic Response to Check Dam Failures in an Alpine Channel with CAESAR-Lisflood. Int. J. Sediment Res. 2022, 37, 687–700. [Google Scholar] [CrossRef]
  3. Michalis, P.; Sentenac, P. Subsurface Condition Assessment of Critical Dam Infrastructure with Non-Invasive Geophysical Sensing. Environ. Earth Sci. 2021, 80, 6445–6455. [Google Scholar] [CrossRef]
  4. Chen, C.; Ma, B. Safety Assessment of Dam Failure of Tailings Pond Based on Variable Weight Method: A Case Study in China. Min. Metall. Explor. 2022, 39, 2401–2413. [Google Scholar] [CrossRef]
  5. Peyras, L.; Carvajal, C.; Felix, H.; Bacconnet, C.; Royet, P.; Becue, J.-P.; Boissier, D. Probability-Based Assessment of Dam Safety Using Combined Risk Analysis and Reliability Methods–Application to Hazards Studies. Eur. J. Environ. Civ. Eng. 2012, 16, 795–817. [Google Scholar] [CrossRef]
  6. Ribas, J.R.; Pérez-Díaz, J.I. A Multicriteria Fuzzy Approximate Reasoning Approach for Risk Assessment of Dam Safety. Environ. Earth Sci. 2019, 78, 514. [Google Scholar] [CrossRef]
  7. Sang, L.; Wang, J.; Sui, J.; Dziedzic, M. A New Approach for Dam Safety Assessment Using the Extended Cloud Model. Water Resour. Manag. 2022, 36, 5785–5798. [Google Scholar] [CrossRef]
  8. Wang, S.; Shen, Z.; Zhang, W.; Sun, Y.; Ji, Y. An Improved Variable Weight Analytic Hierarchy Process for Dam Safety Analysis. Adv. Sci. Technol. Water Resour. 2022, 42, 97–103. [Google Scholar] [CrossRef]
  9. Wang, Y.; Ye, W.; Ma, F. D-S Evidence Theory-Based Dam Safety Assessment Fused with Multi-Source Information of Goaf Area. Water Resour. Hydropower Eng. 2020, 51, 175–183. [Google Scholar] [CrossRef]
  10. Samaras, G.D.; Gkanas, N.I.; Vitsa, K.C. Assessing Risk in Dam Projects Using AHP and ELECTRE I. Int. J. Constr. Manag. 2014, 14, 255–266. [Google Scholar] [CrossRef]
  11. Dam Safety Management of Ministry of Water Resources; Nanjing Water Conservancy Research Institute; Hohai University. Guidelines on Dam Safety Evaluation (SL258-2017); China Water & Power Press: Beijing, China, 2017. [Google Scholar]
  12. Luo, S.; Wei, B.; Chen, L. Multi-Point Deformation Monitoring Model of Concrete Arch Dam Based on MVMD and 3D-CNN. Appl. Math. Model. 2024, 125, 812–826. [Google Scholar] [CrossRef]
  13. Li, Z.; Yin, C.; Chen, R.; Wu, Z.; Chen, J.; Lu, X. A Novel Deformation Monitoring Model for High Arch Dams Using Impulse Response-Based Equivalent Temperature and Machine Learning-Aided Separate Modeling. Expert Syst. Appl. 2024, 238, 122328. [Google Scholar] [CrossRef]
  14. Nan, S.; Ren, J.; Ma, Z.; Kang, J.; Sui, J. Inversion of the Seepage Parameters of Earth/Rockfill Dams Considering the Coupling Effect of Seepage and Thermal Transfer. Comput. Geotech. 2024, 165, 105882. [Google Scholar] [CrossRef]
  15. Lu, Y.; Pang, R.; Du, M.; Xu, B. Simulation of Non-Stationary Ground Motions and Its Applications in High Concrete Faced Rockfill Dams via Direct Probability Integral Method. Eng. Struct. 2024, 298, 117034. [Google Scholar] [CrossRef]
  16. Jozaghi, A.; Alizadeh, B.; Hatami, M.; Flood, I.; Khorrami, M.; Khodaei, N.; Ghasemi Tousi, E. A Comparative Study of the AHP and TOPSIS Techniques for Dam Site Selection Using GIS: A Case Study of Sistan and Baluchestan Province, Iran. Geosciences 2018, 8, 494. [Google Scholar] [CrossRef]
  17. Dai, X.; Wu, X.; Hong, Y.; Xie, J.; Lin, D.; Chen, Y.; Liu, Y. Safety and Stability Evaluation of the Uranium Tailings Impoundment Dam: Based on the Improved AHP-Cloud Model. J. Radiat. Res. Appl. Sci. 2022, 15, 21–31. [Google Scholar] [CrossRef]
  18. Ribas, J.R.; Severo, J.C.; Felix, L.C.; Perpetuo, K.P. Prioritization of Hydroelectric Power Plant Earth Dam Safety Procedures: A Multi-Criteria Approach. Environ. Earth Sci. 2021, 80, 815. [Google Scholar] [CrossRef]
  19. Zhu, X.; Bao, T.; Yeoh, J.K.; Jia, N.; Li, H. Enhancing Dam Safety Evaluation Using Dam Digital Twins. Struct. Infrastruct. Eng. 2023, 19, 904–920. [Google Scholar] [CrossRef]
  20. Liu, Y.; Zheng, D.; Georgakis, C.T.; Kabel, T.; Cao, E.; Wu, X.; Ma, J. Deformation Analysis of an Ultra-High Arch Dam under Different Water Level Conditions Based on Optimized Dynamic Panel Clustering. Appl. Sci. 2022, 12, 481. [Google Scholar] [CrossRef]
  21. Sobie, E.A. An Introduction to MATLAB. Sci. Signal. 2011, 4, tr7. [Google Scholar] [CrossRef]
  22. Velmurugan, R.; Selvamuthukumar, S.; Manavalan, R. Multi Criteria Decision Making to Select the Suitable Method for the Preparation of Nanoparticles Using an Analytical Hierarchy Process. Pharmazie 2011, 66, 836–842. [Google Scholar] [CrossRef] [PubMed]
  23. Diakoulaki, D.; Mavrotas, G.; Papayannakis, L. Determining Objective Weights in Multiple Criteria Problems: The Critic Method. Comput. Oper. Res. 1995, 22, 763–770. [Google Scholar] [CrossRef]
  24. Madani, K. Game Theory and Water Resources. J. Hydrol. 2010, 381, 225–238. [Google Scholar] [CrossRef]
  25. Wang, L.; Yin, Z.; Cong, P.; Li, Y. Safety Evaluation of Small and Medium-Sized Earth-Rock Dams Based on Combinatorial Empowerment-Cloud Model. J. Water Resour. Archit. Eng. 2022, 20, 91–97+119. [Google Scholar] [CrossRef]
  26. Madzík, P.; Falát, L. State-of-the-Art on Analytic Hierarchy Process in the Last 40 Years: Literature Review Based on Latent Dirichlet Allocation Topic Modelling. PLoS ONE 2022, 17, e0268777. [Google Scholar] [CrossRef]
Figure 1. Five studied dams.
Figure 1. Five studied dams.
Water 16 00659 g001aWater 16 00659 g001b
Figure 2. Steps of the AHP.
Figure 2. Steps of the AHP.
Water 16 00659 g002
Figure 3. Steps of the CRITIC method.
Figure 3. Steps of the CRITIC method.
Water 16 00659 g003
Figure 4. Hierarchy tree.
Figure 4. Hierarchy tree.
Water 16 00659 g004
Figure 5. Weights of indicators based on the AHP, CRITIC, and GT methods. (a) A11–A13 and A21–A23; (b) A31–A37; (c) A41–A48; (d) A51–A53, A61–A62, and A71–A74.
Figure 5. Weights of indicators based on the AHP, CRITIC, and GT methods. (a) A11–A13 and A21–A23; (b) A31–A37; (c) A41–A48; (d) A51–A53, A61–A62, and A71–A74.
Water 16 00659 g005
Table 1. Safety level of the dam.
Table 1. Safety level of the dam.
Safety LevelValue of DSPM
High[90,100]
Moderate[80,90)
Low [60,80)
Very low[30,60)
Extreme low[0,30)
Table 2. Values of indicators for studied dams.
Table 2. Values of indicators for studied dams.
IndicatorsPangtougouNianzigouGaojiaXiaosuiheXinan
A119797197979
A127696761679
A139798361575
A211597171997
A221918373596
A239716979899
A319899571779
A329797583678
A339795967776
A349596953578
A359996969995
A363596393756
A379596991696
A411757979977
A429999771898
A439797999698
A449899999597
A455595557675
A461619191576
A479598979578
A485559797778
A511555161778
A525699191557
A531697151595
A619798969895
A629696959699
A713958161855
A721818191735
A731899181675
A745698171599
Table 3. Consistency test for pairwise comparison matrices.
Table 3. Consistency test for pairwise comparison matrices.
AA1A2A3A4A5A6A7
CR0.0630.01400.0070.007000.003
Did the result meet the requirements?YesYesYesYesYesYesYesYes
Table 4. Dam safety level.
Table 4. Dam safety level.
DamsAHP-DSPMSafety LevelCRITIC-DSPMSafety LevelGT-DSPMSafety Level
Pangtougou59.54 Very low57.54 Very low59.51 Very low
Nianzigou73.51 Low64.26 Low72.84 Low
Gaojia55.73 Very low62.73 Low56.37 Very low
Xiaosuihe48.50 Very low59.19 Very low49.43 Very low
Xinan84.76 Moderate83.28 Moderate84.74 Moderate
Table 5. Dam safety level comparison between code-based and GT-based DSPM methods.
Table 5. Dam safety level comparison between code-based and GT-based DSPM methods.
DamsCodeGT-Based DSPM
Safety Level for Primary IndicatorsSafety LevelSIRDSPMSafety LevelSIR
ABC
Pangtougou214III359.51 Very low3
Nianzigou322III272.84 Low2
Gaojia115III456.37 Very low4
Xiaosuihe106III549.43 Very low5
Xinan340II184.74Moderate1
Disclaimer/Publisher’s Note: The statements, opinions and data contained in all publications are solely those of the individual author(s) and contributor(s) and not of MDPI and/or the editor(s). MDPI and/or the editor(s) disclaim responsibility for any injury to people or property resulting from any ideas, methods, instructions or products referred to in the content.

Share and Cite

MDPI and ACS Style

Fu, Z.; Feng, P.; Luo, Z. Comprehensive Assessment of Dam Safety Using a Game-Theory-Based Dam Safety Performance Measure. Water 2024, 16, 659. https://doi.org/10.3390/w16050659

AMA Style

Fu Z, Feng P, Luo Z. Comprehensive Assessment of Dam Safety Using a Game-Theory-Based Dam Safety Performance Measure. Water. 2024; 16(5):659. https://doi.org/10.3390/w16050659

Chicago/Turabian Style

Fu, Zhijun, Peng Feng, and Zhu Luo. 2024. "Comprehensive Assessment of Dam Safety Using a Game-Theory-Based Dam Safety Performance Measure" Water 16, no. 5: 659. https://doi.org/10.3390/w16050659

APA Style

Fu, Z., Feng, P., & Luo, Z. (2024). Comprehensive Assessment of Dam Safety Using a Game-Theory-Based Dam Safety Performance Measure. Water, 16(5), 659. https://doi.org/10.3390/w16050659

Note that from the first issue of 2016, this journal uses article numbers instead of page numbers. See further details here.

Article Metrics

Back to TopTop