Evaluation of the Performance of Nature-Based Constructed Wetlands for Treating Wastewater from Various Land Uses in Korea
Abstract
1. Introduction
2. Materials and Methods
2.1. Site Description
2.2. Monitoring and Data Analyses
2.2.1. Water Quality and Hydrologic Characteristics Monitoring
2.2.2. Calculations and Data Analyses
3. Results and Discussion
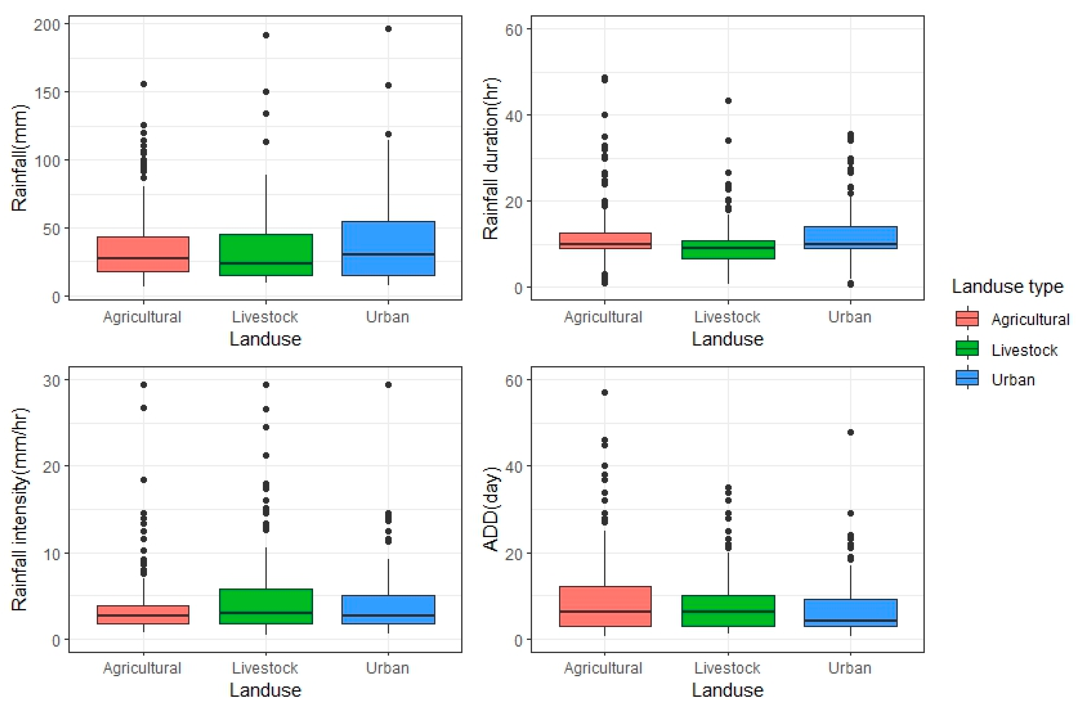
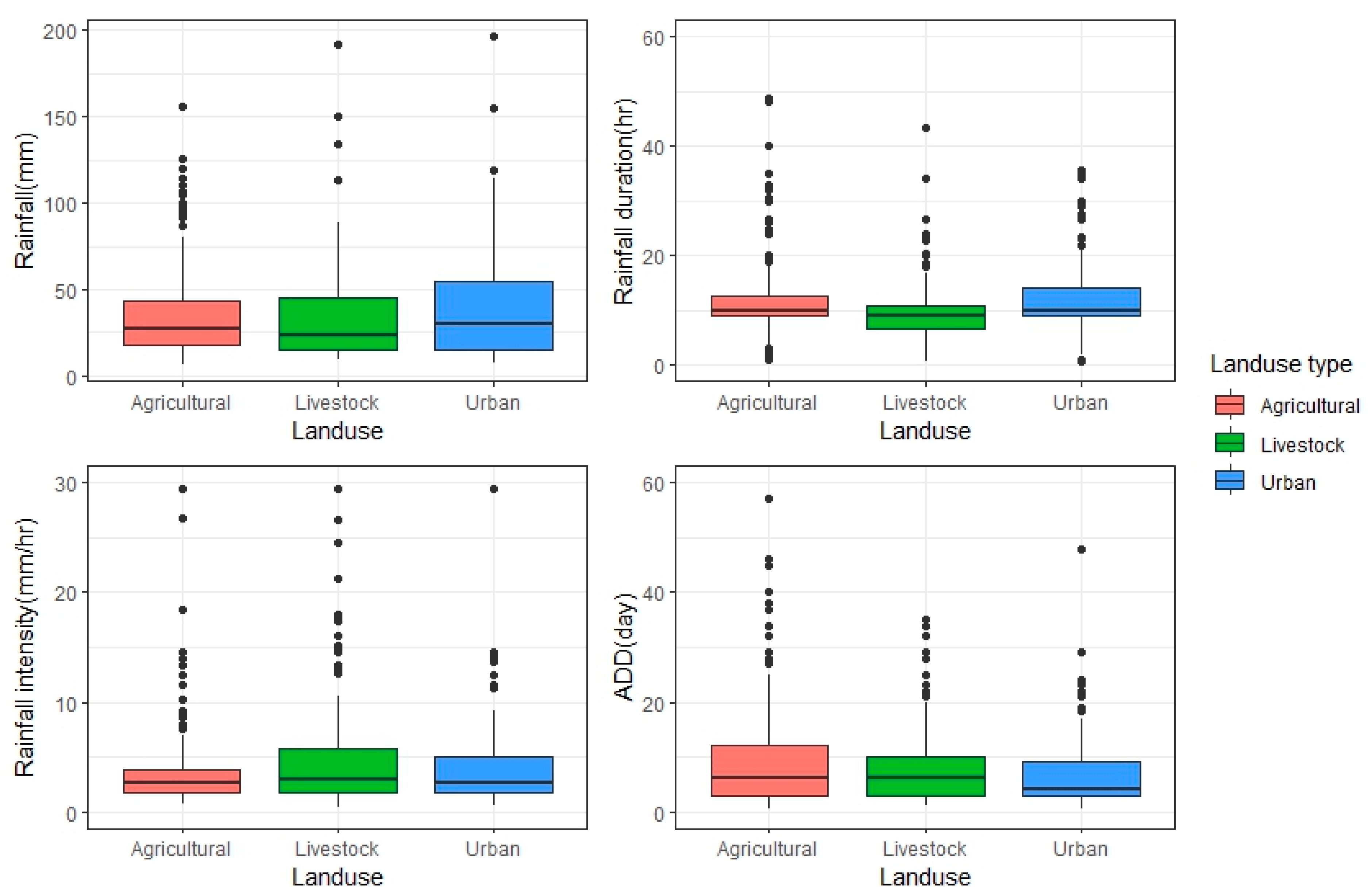
3.1. Runoff Characteristics at the CWs Sites
3.2. Changes in the Water Quality Characteristics from Different Land Use Types
3.2.1. Total Suspended Solids (TSS)
3.2.2. Nutrients (Total Nitrogen and Total Phosphorus)
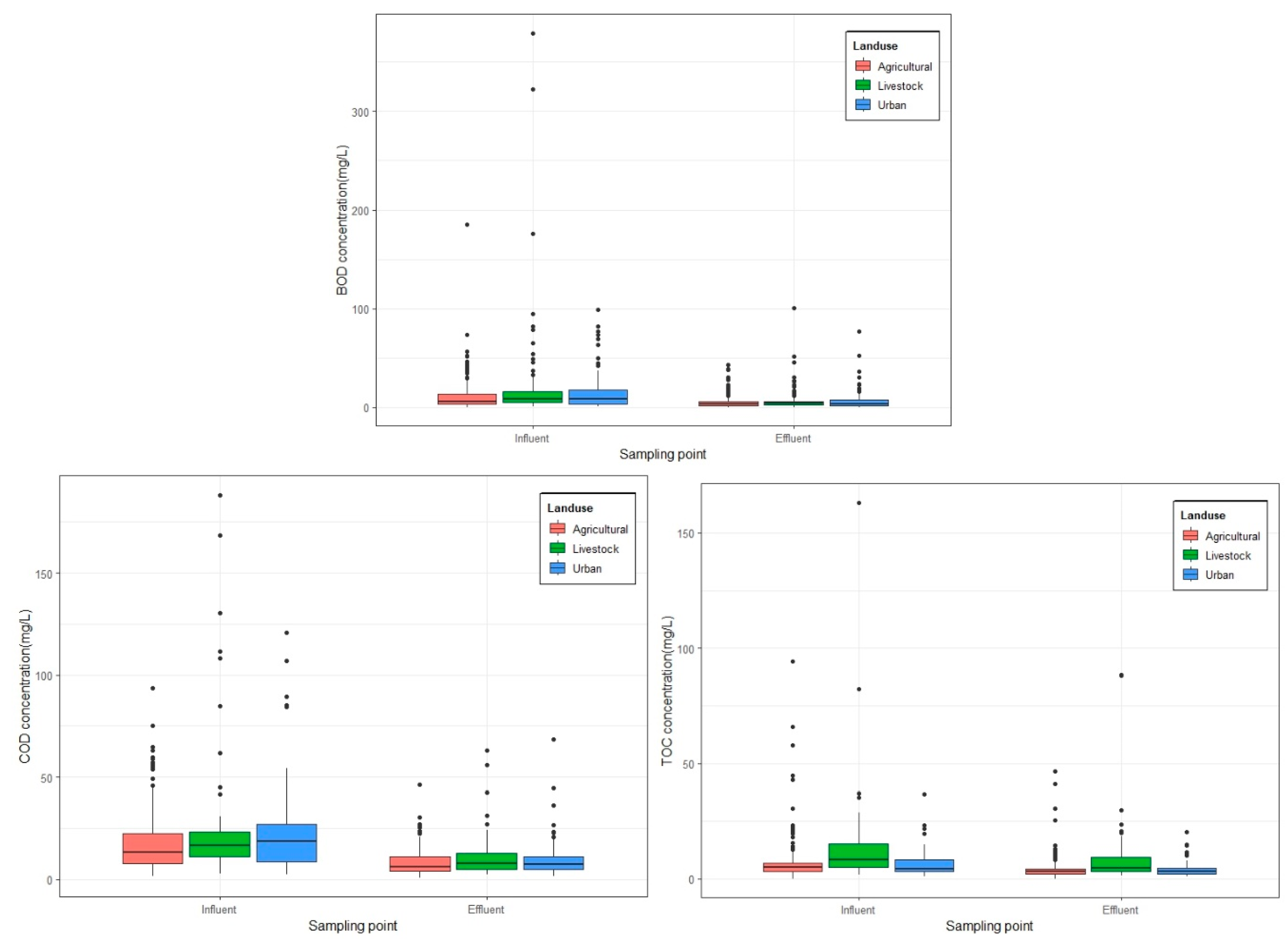
3.2.3. Organic Matter (BOD and COD)
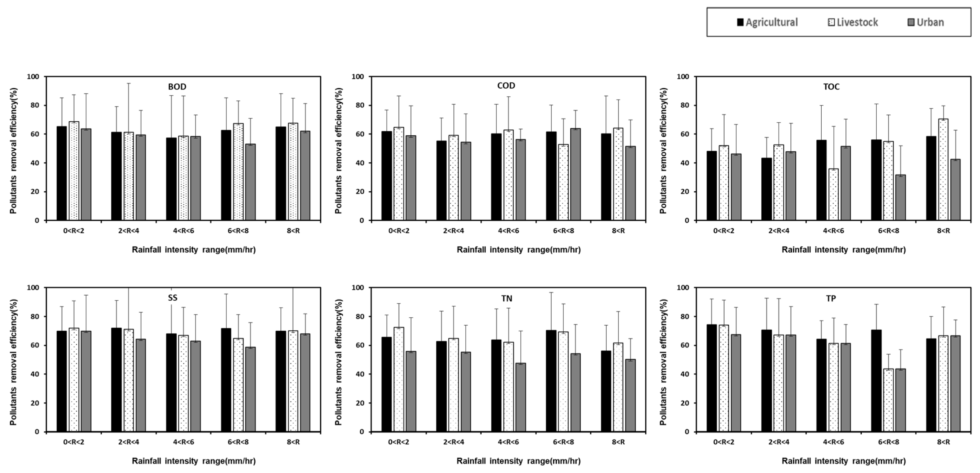
3.3. Constructed Wetlands’ Pollutant Removal Efficiencies Based on Rainfall Characteristics in Different Land Uses
3.4. Comparison of Actual and Design Influent Concentrations and Pollutant Removal Efficiencies of CWs
3.5. Suggestions for Optimized Constructed Wetland Operation
4. Conclusions
Author Contributions
Funding
Data Availability Statement
Acknowledgments
Conflicts of Interest
Nomenclature
| Acronym | Definition |
| ADD | Antecedent dry days |
| BOD | Biochemical oxygen demand |
| CA | Catchment area |
| COD | Chemical oxygen demand |
| Cell-FWS | Cell-type free-water surface constructed wetland |
| CWs | Constructed wetlands |
| EMC | Event mean concentration |
| Flow-FWS | Flow-type free-water surface constructed wetland |
| Hybrid-FWS | Hybrid type free-water surface constructed wetland |
| Hybrid | Hybrid constructed wetland |
| N | Nitrogen |
| NbS | Nature-based solutions |
| NPS | Non-point source |
| P | Phosphorus |
| TN | Total nitrogen |
| TOC | Total organic carbon |
| TP | Total phosphorus |
| TSS | Total suspended solids |
References
- Dougherty, M.; Dymond, R.L.; Grizzard, T.J., Jr.; Godrej, A.N.; Zipper, C.E.; Randolph, J. Quantifying long-term NPS pollutant flux in an urbanizing watershed. J. Environ. Eng. 2006, 132, 547–554. [Google Scholar] [CrossRef]
- Geronimo, F.K.F.; Maniquiz-Redillas, M.C.; Kim, L.H. Treatment of parking lot runoff by a tree box filter. Desalin. Water Treat. 2013, 51, 4044–4049. [Google Scholar] [CrossRef]
- Zhi, X.; Chen, L.; Shen, Z. Impacts of urbanization on regional nonpoint source pollution: Case study for Beijing, China. Environ. Sci. Pollut. 2018, 25, 9849–9860. [Google Scholar] [CrossRef] [PubMed]
- Choi, H.; Geronimo, F.K.; Jeon, M.; Kim, L.H. Evaluation of bacterial community in constructed wetlands treating different sources of wastewater. Ecol. Eng. 2022, 182, 106703. [Google Scholar] [CrossRef]
- Choi, H.; Reyes, N.J.D.; Jeon, M.; Kim, L.H. Constructed wetlands in south korea: Current status and performance assessment. Sustainability 2021, 13, 10410. [Google Scholar] [CrossRef]
- Xie, H.; Dong, J.; Shen, Z.; Chen, L.; Lai, X.; Qiu, J.; Wei, G.; Peng, Y.; Chen, X. Intra-and inter-event characteristics and controlling factors of agricultural nonpoint source pollution under different types of rainfall-runoff events. Catena 2019, 182, 104105. [Google Scholar] [CrossRef]
- Xia, Y.; Zhang, M.; Tsang, D.C.; Geng, N.; Lu, D.; Zhu, L.; Igalavithana, A.D.; Dissanayake, P.D.; Rinklebe, J.; Yang, X.; et al. Recent advances in control technologies for non-point source pollution with nitrogen and phosphorous from agricultural runoff: Current practices and future prospects. Appl. Biol. Chem. 2020, 63, 8. [Google Scholar] [CrossRef]
- Pan, D.; Chen, H. Border pollution reduction in China: The role of livestock environmental regulations. China Econ. Rev. 2021, 69, 101681. [Google Scholar] [CrossRef]
- Badrzadeh, N.; Samani, J.M.V.; Mazaheri, M.; Kuriqi, A. Evaluation of management practices on agricultural nonpoint source pollution discharges into the rivers under climate change effects. Sci. Total Environ. 2022, 838, 156643. [Google Scholar] [CrossRef]
- Tudi, M.; Daniel Ruan, H.; Wang, L.; Lyu, J.; Sadler, R.; Connell, D.; Chu, C.; Phung, D.T. Agriculture development, pesticide application and its impact on the environment. Int. J. Environ. Res. Public Health 2021, 18, 1112. [Google Scholar] [CrossRef]
- Liu, J.; Ouyang, X.; Shen, J.; Li, Y.; Sun, W.; Jiang, W.; Wu, J. Nitrogen and phosphorus runoff losses were influenced by chemical fertilization but not by pesticide application in a double rice-cropping system in the subtropical hilly region of China. Sci. Total Environ. 2020, 715, 136852. [Google Scholar] [CrossRef] [PubMed]
- Alengebawy, A.; Abdelkhalek, S.T.; Qureshi, S.R.; Wang, M.Q. Heavy metals and pesticides toxicity in agricultural soil and plants: Ecological risks and human health implications. Toxics 2021, 9, 42. [Google Scholar] [CrossRef] [PubMed]
- Kumar, R.; Sankhla, M.S.; Kumar, R.; Sonone, S.S. Impact of pesticide toxicity in aquatic environment. Biointerface Res. Appl. Chem. 2021, 11, 10131–10140. [Google Scholar]
- Tsihrintzis, V.A.; Hamid, R. Modeling and management of urban stormwater runoff quality: A review. Water Resour. Manag. 1997, 11, 136–164. [Google Scholar] [CrossRef]
- Tang, Z.; Engel, B.A.; Pijanowski, B.C.; Lim, K.J. Forecasting land use change and its environmental impact at a watershed scale. J. Environ. Manag. 2005, 76, 35–45. [Google Scholar] [CrossRef]
- Simpson, I.M.; Winston, R.J.; Dorsey, J.D. Monitoring the effects of urban and forested land uses on runoff quality: Implications for improved stormwater management. Sci. Total Environ. 2023, 862, 160827. [Google Scholar] [CrossRef] [PubMed]
- WWAP (United Nations World Water Assessment Programme)/UN-Water. The United Nations World Water Development Report 2018: Nature-Based Solutions for Water; UNESCO: Paris, France, 2018. [Google Scholar]
- Gutman, J. Commentary: Urban Wetlands Restoration as NBS for Flood Risk Mitigation: From Positive Case to Legitimate Practice, in the View of Evidence-Based Flood Risk Policy Making. Nature-Based Flood Risk Management on Private Land: Disciplinary Perspectives on a Multidisciplinary Challenge; Springer Nature: Cham, Switzerland, 2019; pp. 127–134. [Google Scholar]
- Saquib, S.; Gupta, A.; Joshi, A. Emerging water crisis: Impact of urbanization on water resources and constructed wetlands as a nature-based solution (NbS). Curr. Dir. Water Scarcity Res. 2022, 6, 447–468. [Google Scholar]
- Tsatsou, A.; Frantzeskaki, N.; Malamis, S. Nature-based solutions for circular urban water systems: A scoping literature review and a proposal for urban design and planning. J. Clean. Prod. 2023, 394, 136325. [Google Scholar] [CrossRef]
- Blackwell, M.S.; Pilgrim, E.S. Ecosystem services delivered by small-scale wetlands. Hydrol. Sci. J. 2011, 56, 1467–1484. [Google Scholar] [CrossRef]
- Clarkson, B.R.; Ausseil, A.G.E.; Gerbeaux, P. Wetland Ecosystem Services. Ecosystem Services in New Zealand: Conditions and Trends; Manaaki Whenua Press: Lincoln, RI, USA, 2013; Volume 1, pp. 192–202. [Google Scholar]
- Mitsch, W.J.; Bernal, B.; Hernandez, M.E. Ecosystem services of wetlands. Int. J. Biodivers. Sci. Ecosyst. Serv. Manag. 2015, 11, 1–4. [Google Scholar] [CrossRef]
- Xu, X.; Chen, M.; Yang, G.; Jiang, B.; Zhang, J. Wetland ecosystem services research: A critical review. Glob. Ecol. Conserv. 2020, 22, e01027. [Google Scholar] [CrossRef]
- Raisin, G.W.; Mitchell, D.S. The use of wetlands for the control of non-point source pollution. Water Sci. Technol. 1995, 32, 177–186. [Google Scholar] [CrossRef]
- Haberl, R.; Grego, S.; Langergraber, G.; Kadlec, R.H.; Cicalini, A.R.; Dias, S.M.; Novais, J.M.; Aubert, S.; Gerth, A.; Thomas, H.; et al. Constructed wetlands for the treatment of organic pollutants. J. Soils Sediments. 2003, 3, 109–124. [Google Scholar] [CrossRef]
- Trepel, M. Assessing the cost-effectiveness of the water purification function of wetlands for environmental planning. Ecol. Complex. 2010, 7, 320–326. [Google Scholar] [CrossRef]
- American Water Works Association (AWWA). Water Environment Federation (WEF) and the American Public Health Association (APHA). In Standards Methods for the Examination of Water and Wastewater, 21st ed.; American Public Health Association: Washington, DC, USA, 2005. [Google Scholar]
- Mayer, T.D.; Jarrell, W.M. Assessing Colloidal Forms of Phosphorus and Iron in the Tualatin River Basin; Technical Report; American Society of Agronomy, Crop Science Society of America, and Soil Science Society of America: Madison, WI, USA, 1995; Volume 24, pp. 1117–1124. [Google Scholar]
- Line, D.E.; Osmond, D.L.; Gannon, R.; Gale, J.A.; Arnold, J.A.; Coffey, S.W.; Spooner, J.; Jennings, G.D. Nonpoint sources. Water Environ. Re. 1995, 67, 685–700. [Google Scholar] [CrossRef]
- Bedient, P.B.; Lambert, J.L.; Springer, N.K. Stormwater pollutant load-runoff relationships. J. Water Pollut. Control Fed. 1980, 52, 2396–2404. [Google Scholar]
- Brezonik, P.L.; Stadelmann, T.H. Analysis and predictive models of stormwater runoff volumes, loads, and pollutant concentrations from watersheds in the Twin Cities metropolitan area, Minnesota, USA. Water Res. 2002, 36, 1743–1757. [Google Scholar] [CrossRef]
- Maniquiz, M.C.; Lee, S.; Kim, L.H. Multiple linear regression models of urban runoff pollutant load and event mean concentration considering rainfall variables. J. Environ. Sci. 2010, 22, 946–952. [Google Scholar] [CrossRef]
- Ujević, I.; Odžak, N.; Barić, A. Trace metal accumulation in different grain size fractions of the sediments from a semi-enclosed bay heavily contaminated by urban and industrial wastewaters. Water Res. 2000, 34, 3055–3061. [Google Scholar] [CrossRef]
- Maniquiz, M.C.; Lee, S.Y.; Kim, L.H. Long-term monitoring of infiltration trench for nonpoint source pollution control. Water Air Soil Pollut. 2010, 212, 13–26. [Google Scholar] [CrossRef]
- Choi, H.S.; Reyes, N.J.; Jeon, M.; Kim, L.H. Characterization of pollutants and identification of microbial communities in the filter media of green infrastructures. Ecol. Eng. 2023, 193, 107012. [Google Scholar] [CrossRef]
- Maniquiz, M.C.; Lee, S.; Min, K.S.; Kim, J.H.; Kim, L.H. Diffuse pollutant unit loads of various transportation landuses. Desalination Water Treat. 2012, 38, 222–229. [Google Scholar] [CrossRef]
- Deletic, A.B. The first flush load of urban surface runoff. Water Res. 1998, 32, 2462–2470. [Google Scholar] [CrossRef]
- Deletic, A.B.; Maksimovic, C.T. Evaluation of water quality factors in storm runoff from paved areas. J. Environ. Eng. 1998, 124, 869–879. [Google Scholar] [CrossRef]
- Yuan, Q.; Guerra, H.B.; Kim, Y. An investigation of the relationships between rainfall conditions and pollutant wash-off from the paved road. Water 2017, 9, 232. [Google Scholar] [CrossRef]
- Salim, I.; Paule-Mercado, M.C.; Sajjad, R.U.; Memon, S.A.; Lee, B.Y.; Sukhbaatar, C.; Lee, C.H. Trend analysis of rainfall characteristics and its impact on stormwater runoff quality from urban and agricultural catchment. Membr. Water Treat. 2019, 10, 45–55. [Google Scholar]
- Soltaninia, S.; Taghavi, L.; Hosseini, S.A.; Motamedvaziri, B.; Eslamian, S. The effect of land-use type and climatic conditions on heavy metal pollutants in urban runoff in a semi-arid region. Water Reuse 2022, 12, 384–402. [Google Scholar] [CrossRef]
- Lee, S.; Maniquiz-Redillas, M.C.; Kim, L.H. Settling basin design in a constructed wetland using TSS removal efficiency and hydraulic retention time. J. Environ. Sci. 2014, 26, 1791–1796. [Google Scholar] [CrossRef]
- Justino, S.; Calheiros, C.S.; Castro, P.M.; Gonçalves, D. Constructed Wetlands as Nature-Based Solutions for Wastewater Treatment in the Hospitality Industry: A Review. Hydrology 2023, 10, 153. [Google Scholar] [CrossRef]
- O’geen, A.T.; Budd, R.; Gan, J.; Maynard, J.J.; Parikh, S.J.; Dahlgren, R.A. Mitigating nonpoint source pollution in agriculture with constructed and restored wetlands. Adv. Agron. 2010, 108, 1–76. [Google Scholar]
- Díaz, F.J.; Anthony, T.O.; Dahlgren, R.A. Agricultural pollutant removal by constructed wetlands: Implications for water management and design. Agric. Water Manag. 2012, 104, 171–183. [Google Scholar] [CrossRef]
- Minakshi, D.; Sharma, P.K.; Rani, A. Effect of filter media and hydraulic retention time on the performance of vertical constructed wetland system treating dairy farm wastewater. Environ. Eng. Res. 2022, 27, 200436. [Google Scholar] [CrossRef]
- Rozema, E.R.; VanderZaag, A.C.; Wood, J.D.; Drizo, A.; Zheng, Y.; Madani, A.; Gordon, R.J. Constructed wetlands for agricultural wastewater treatment in Northeastern North America: A review. Water 2016, 8, 173. [Google Scholar] [CrossRef]
- Dunne, E.J.; Culleton, N.; O’Donovan, G.; Harrington, R.; Olsen, A.E. An integrated constructed wetland to treat contaminants and nutrients from dairy farmyard dirty water. Ecol. Eng. 2005, 24, 219–232. [Google Scholar] [CrossRef]
- Cao, S.T.; Tran, H.P.; Le, H.T.T.; Bui, H.P.K.; Nguyen, G.T.H.; Nguyen, L.T.; Nguyen, B.T.; Luong, A.D. Impacts of effluent from different livestock farm types (pig, cow, and poultry) on surrounding water quality: A comprehensive assessment using individual parameter evaluation method and water quality indices. Environ. Sci. Pollut. 2021, 28, 50302–50315. [Google Scholar] [CrossRef] [PubMed]
- Mallin, M.A.; Johnson, V.L.; Ensign, S.H. Comparative impacts of stormwater runoff on water quality of an urban, a suburban, and a rural stream. Environ. Monit. Assess. 2009, 159, 475–491. [Google Scholar] [CrossRef]
- Kayhanian, M.; Fruchtman, B.D.; Gulliver, J.S.; Montanaro, C.; Ranieri, E.; Wuertz, S. Review of highway runoff characteristics: Comparative analysis and universal implications. Water Res. 2012, 46, 6609–6624. [Google Scholar] [CrossRef]
- Huang, J.L.; Du, P.F.; Ao, C.T.; Lei, M.H.; Zhao, D.Q.; Ho, M.H.; Wang, Z.S. Characterization of surface runoff from a subtropics urban catchment. J. Environ. Sci. 2007, 19, 148–152. [Google Scholar] [CrossRef]
- Zhao, H.; Ma, Y.; Fang, J.; Hu, L.; Li, X. Particle size distribution and total suspended solid concentrations in urban surface runoff. Sci. Total Environ. 2022, 815, 152533. [Google Scholar] [CrossRef]
- He, J.; Valeo, C.; Chu, A.; Neumann, N.F. Characterizing physicochemical quality of storm-water runoff from an urban area in Calgary, Alberta. J. Environ. Eng. 2010, 136, 1206–1217. [Google Scholar] [CrossRef]
- Koottatep, T.; Polprasert, C. Role of plant uptake on nitrogen removal in constructed wetlands located in the tropics. Water Sci. Technol. 1997, 36, 1–8. [Google Scholar] [CrossRef]
- Vymazal, J. Removal of nutrients in various types of constructed wetlands. Sci. Total Environ. 2007, 380, 48–65. [Google Scholar] [CrossRef] [PubMed]
- Hu, Y.; He, F.; Ma, L.; Zhang, Y.; Wu, Z. Microbial nitrogen removal pathways in integrated vertical-flow constructed wetland systems. Bioresour. Technol. 2016, 207, 339–345. [Google Scholar] [CrossRef] [PubMed]
- Ilyas, H.; Masih, I. The performance of the intensified constructed wetlands for organic matter and nitrogen removal: A review. J. Environ. Manag. 2017, 198, 372–383. [Google Scholar] [CrossRef] [PubMed]
- Lu, S.Y.; Wu, F.C.; Lu, Y.F.; Xiang, C.S.; Zhang, P.Y.; Jin, C.X. Phosphorus removal from agricultural runoff by constructed wetland. Ecol. Eng. 2009, 35, 402–409. [Google Scholar] [CrossRef]
- Saliu, T.D.; Oladoja, N.A. Assessing the suitability of solid aggregates for nutrient recovery from aqua systems. J. Water Process. Eng. 2020, 33, 101000. [Google Scholar] [CrossRef]
- Wang, S.; Yang, H.; Che, F.; Huang, W.; Yang, D. Removal efficacy of fly ash composite filler on tailwater nitrogen and phosphorus and its application in constructed wetlands. Front. Chem. 2020, 11, 1160489. [Google Scholar] [CrossRef] [PubMed]
- Hooda, P.S.; Edwards, A.C.; Anderson, H.A.; Miller, A. A review of water quality concerns in livestock farming areas. Sci. Total Environ. 2000, 250, 143–167. [Google Scholar] [CrossRef]
- Ghaly, A.E.; Ramakrishnan, V.V. Nitrogen sources and cycling in the ecosystem and its role in air, water and soil pollution: A critical review. J. Ind. Pollut. Control 2015, 3, 1–26. [Google Scholar]
- Vymazal, J.; Kröpfelová, L. Removal of nitrogen in constructed wetlands with horizontal sub-sureface flow: A review. Wetlands 2009, 29, 1114–1124. [Google Scholar] [CrossRef]
- Vymazal, J. Constructed wetlands for treatment of industrial wastewaters: A review. Ecol. Eng. 2014, 73, 724–751. [Google Scholar] [CrossRef]
- Bakhshoodeh, R.; Alavi, N.; Oldham, C.; Santos, R.M.; Babaei, A.A.; Vymazal, J.; Paydary, P. Constructed wetlands for landfill leachate treatment: A review. Ecol. Eng. 2020, 146, 105725. [Google Scholar] [CrossRef]
- Kadlec, R.H.; Wallace, S. Treatment Wetlands; CRC Press: Cleveland, OH, USA, 2008. [Google Scholar]
- Salem, M.; Mohamed, E.L.; Mossad, M.; Mahanna, H. Random Forest modelling and evaluation of the performance of a full-scale subsurface constructed wetland plant in Egypt. Ain Shams Eng. J. 2022, 13, 101778. [Google Scholar] [CrossRef]
- Povilaitis, A. Source apportionment and retention of nutrients and organic matter in the Merkys river basin in southern Lithuania. J. Environ. Eng. Landsc. 2008, 16, 195–204. [Google Scholar] [CrossRef]
- Li, D.; Wan, J.; Ma, Y.; Wang, Y.; Huang, M.; Chen, Y. Stormwater runoff pollutant loading distributions and their correlation with rainfall and catchment characteristics in a rapidly industrialized city. PLoS ONE 2015, 10, e0118776. [Google Scholar] [CrossRef] [PubMed]
- Liu, R.; Wang, J.; Shi, J.; Chen, Y.; Sun, C.; Zhang, P.; Shen, Z. Runoff characteristics and nutrient loss mechanism from plain farmland under simulated rainfall conditions. Sci. Total Environ. 2014, 468, 1069–1077. [Google Scholar] [CrossRef]
- Brodie, I.M.; Egodawatta, P. Relationships between rainfall intensity, duration and suspended particle washoff from an urban road surface. Hydrol. Res. 2011, 42, 239–249. [Google Scholar] [CrossRef]
- Gong, Y.; Fu, H.; Li, H.; Chen, Y.; Zhang, W.; Wu, L.; Li, Y. Influences of time scale on green stormwater infrastructure’s effect on suspended solids in urban rainfall runoff. J. Hydrol. 2021, 598, 126439. [Google Scholar] [CrossRef]
- Kjellin, J.; Wörman, A.; Johansson, H.; Lindahl, A. Controlling factors for water residence time and flow patterns in Ekeby treatment wetland, Sweden. Adv. Water Resour. 2007, 30, 838–850. [Google Scholar] [CrossRef]









| No. | City | Code | Land Use | Catchment Area (CA), ha | Volume Capacity (m3/day) | Constructed Wetland Type | Year Constructed |
|---|---|---|---|---|---|---|---|
| 1 | Andong | A-1 | Agricultural | 558 | 41,850 | Cell-FWS | 2020 |
| 2 | Anseong | A-2 | Livestock | 83.7 | 4180 | Flow-FWS | 2017 |
| 3 | Anseong | A-3 | Livestock | 125.7 | 9690 | Flow-FWS | 2017 |
| 4 | Anseong | A-4 | Agricultural | 87.87 | 5000 | Cell-FWS | 2017 |
| 5 | Boseong | B-1 | Agricultural | 64.973 | 15,000 | Flow-FWS | 2020 |
| 6 | Boseong | B-2 | Agricultural | 17.384 | 15,000 | Flow-FWS | 2020 |
| 7 | Boseong | B-3 | Agricultural | 26.43 | 795 | Flow-FWS | 2013 |
| 8 | Buan | B-4 | Urban | 67 | 5794 | Cell-FWS | 2020 |
| 9 | Busan | B-5 | Agricultural | 5.7298 | 6540 | Flow-FWS | 2015 |
| 10 | Busan | B-6 | Agricultural | 1591 | 4500 | Cell-FWS | 2017 |
| 11 | Busan | B-7 | Agricultural | 4.73 | 6100 | Cell-FWS | 2018 |
| 12 | Changnyeong | C-1 | Livestock | 46 | 2060 | Flow-FWS | 2017 |
| 13 | Chungju | C-2 | Agricultural | 18.19 | 960 | Flow-FWS | 2013 |
| 14 | Chungju | C-3 | Agricultural | 321 | 5905 | Flow-FWS | 2013 |
| 15 | Daejeon | D-1 | Agricultural | 55.2 | 7002 | Flow-FWS | 2013 |
| 16 | Daejeon | D-2 | Agricultural | 66 | 3340 | Flow-FWS | 2013 |
| 17 | Damyang | D-3 | Urban | 50.5 | 2485 | Cell-FWS | 2014 |
| 18 | Damyang | D-4 | Urban | 20.044 | 100 | Flow-FWS | 2014 |
| 19 | Dangjin | D-5 | Agricultural | 79.7 | 2700 | Flow-FWS | 2022 |
| 20 | Danyang | D-6 | Agricultural | 614 | 7200 | Hybrid-FWS | 2010 |
| 21 | Geochang | G-1 | Agricultural | 154 | 7862 | Flow-FWS | 2014 |
| 22 | Goesan | G-2 | Agricultural | 5.18 | 5732 | Flow-FWS | 2015 |
| 23 | Goryeong | G-3 | Livestock | 43.7 | 2185 | Flow-FWS | 2014 |
| 24 | Goseong | G-4 | Livestock | 26.4 | 7320 | Cell-FWS | 2019 |
| 25 | Hadong | H-1 | Livestock | 29.1 | 2740 | Cell-FWS | 2017 |
| 26 | Haman | H-2 | Agricultural | 454.8 | 13,474.5 | Cell-FWS | 2017 |
| 27 | Hapcheon | H-3 | Livestock | 47.3 | 2440 | Cell-FWS | 2018 |
| 28 | Hwasun | H-4 | Livestock | 59.4 | 3200 | Flow-FWS | 2013 |
| 29 | Hwasun | H-5 | Agricultural | 577 | 29,000 | Flow-FWS | 2015 |
| 30 | Hwasun | H-6 | Urban | 15.6 | 1800 | Hybrid-FWS | 2013 |
| 31 | Hwasun | H-7 | Urban | 74.1 | 3700 | Flow-FWS | 2021 |
| 32 | Icheon | I-1 | Urban | 237 | 11,900 | Cell-FWS | 2021 |
| 33 | Imsil | L-1 | Urban | 96.2 | 4800 | Hybrid | 2013 |
| 34 | Imsil | L-2 | Agricultural | 22 | 1100 | Hybrid | 2017 |
| 35 | Jangseong | J-1 | Urban | 31.9441 | 1600 | Cell-FWS | 2014 |
| 36 | Jangseong | J-2 | Agricultural | 55.9609 | 2800 | Flow-FWS | 2014 |
| 37 | Jecheon | J-3 | Agricultural | 323.5 | 2000 | Flow-FWS | 2020 |
| 38 | Jeungpyeong | J-4 | Urban | 205.8 | 10,500 | Hybrid-FWS | 2013 |
| 39 | Jinan | J-5 | Agricultural | 215 | 10,750 | Cell-FWS | 2016 |
| 40 | Jinan | J-6 | Agricultural | 438.5 | 22,000 | Cell-FWS | 2020 |
| 41 | Naju | N-1 | Agricultural | 87 | 6403 | Cell-FWS | 2017 |
| 42 | Naju | N-2 | Agricultural | 87 | 4184 | Cell-FWS | 2017 |
| 43 | Namyangju | N-3 | Urban | 161 | 8200 | Flow-FWS | 2011 |
| 44 | Namyangju | N-4 | Urban | 123.4 | 6200 | Cell-FWS | 2012 |
| 45 | Namyangju | N-5 | Agricultural | 8.1 | 487 | Flow-FWS | 2011 |
| 46 | Namyangju | N-6 | Agricultural | 6.1 | 1300 | Flow-FWS | 2011 |
| 47 | Okcheon | O-1 | Agricultural | 57.9 | 3000 | Flow-FWS | 2020 |
| 48 | Pohang | P-1 | Urban | 626 | 31,300 | Flow-FWS | 2015 |
| 49 | Seoncheon | S-1 | Agricultural | 23 | 18,722 | Flow-FWS | 2012 |
| 50 | Seongju | S-2 | Livestock | 35 | 2400 | Hybrid-FWS | 2016 |
| 51 | Seosan | S-3 | Agricultural | 248.5 | 2484 | Cell-FWS | 2017 |
| 52 | Seosan | S-4 | Agricultural | 1614 | 9600 | Flow-FWS | 2018 |
| 53 | Taeback | T-1 | Urban | 6005 | 15,000 | Flow-FWS | 2014 |
| 54 | Uiryeong | U-1 | Livestock | 16.5 | 3182 | Flow-FWS | 2014 |
| 55 | Uiwang | U-2 | Urban | 666 | 14,789 | Flow-FWS | 2013 |
| 56 | Wanju | W-1 | Urban | 75 | 7450 | Flow-FWS | 2013 |
| 57 | Wonju | W-2 | Livestock | 45.6 | 4430 | Flow-FWS | 2016 |
| 58 | Yangsan | Y-1 | Agricultural | 145.6 | 23,500 | Cell-FWS | 2018 |
| 59 | Yangsan | Y-2 | Livestock | 53.32 | 4540 | Hybrid | 2018 |
| 60 | Yecheon | Y-3 | Agricultural | 11.1 | 31,300 | Hybrid-FWS | 2017 |
| 61 | yeongcheon | Y-4 | Agricultural | 63.7 | 10,616 | Cell-FWS | 2017 |
| 62 | yeongcheon | Y-5 | Agricultural | 640 | 33,000 | Flow-FWS | 2013 |
| 63 | Yeongdong | Y-6 | Livestock | 12 | 70,000 | Flow-FWS | 2022 |
| Classification | Considerations |
|---|---|
| Watershed characteristics |
|
| Watershed characteristics |
|
| Meteorological characteristics in the region of application |
|
| Maintenance procedures |
|
| Design and operational characteristics |
|
| Other factors (possibility of acceptance by the local community, adequacy of cost, etc.) |
|
Disclaimer/Publisher’s Note: The statements, opinions and data contained in all publications are solely those of the individual author(s) and contributor(s) and not of MDPI and/or the editor(s). MDPI and/or the editor(s) disclaim responsibility for any injury to people or property resulting from any ideas, methods, instructions or products referred to in the content. |
© 2024 by the authors. Licensee MDPI, Basel, Switzerland. This article is an open access article distributed under the terms and conditions of the Creative Commons Attribution (CC BY) license (https://creativecommons.org/licenses/by/4.0/).
Share and Cite
Choi, H.; Jeon, M.; Geronimo, F.K.; Kim, L.-H.; Min, J.-H. Evaluation of the Performance of Nature-Based Constructed Wetlands for Treating Wastewater from Various Land Uses in Korea. Water 2024, 16, 381. https://doi.org/10.3390/w16030381
Choi H, Jeon M, Geronimo FK, Kim L-H, Min J-H. Evaluation of the Performance of Nature-Based Constructed Wetlands for Treating Wastewater from Various Land Uses in Korea. Water. 2024; 16(3):381. https://doi.org/10.3390/w16030381
Chicago/Turabian StyleChoi, Hyeseon, Minsu Jeon, Franz Kevin Geronimo, Lee-Hyung Kim, and Joong-Hyuk Min. 2024. "Evaluation of the Performance of Nature-Based Constructed Wetlands for Treating Wastewater from Various Land Uses in Korea" Water 16, no. 3: 381. https://doi.org/10.3390/w16030381
APA StyleChoi, H., Jeon, M., Geronimo, F. K., Kim, L.-H., & Min, J.-H. (2024). Evaluation of the Performance of Nature-Based Constructed Wetlands for Treating Wastewater from Various Land Uses in Korea. Water, 16(3), 381. https://doi.org/10.3390/w16030381

