Influence of Anthropogenic and Climatic Factors on the Dynamics of Nitrogen and Phosphorus in an Urbanized River Basin
Abstract
1. Introduction
2. Study Area and Data Collection
2.1. Study Area
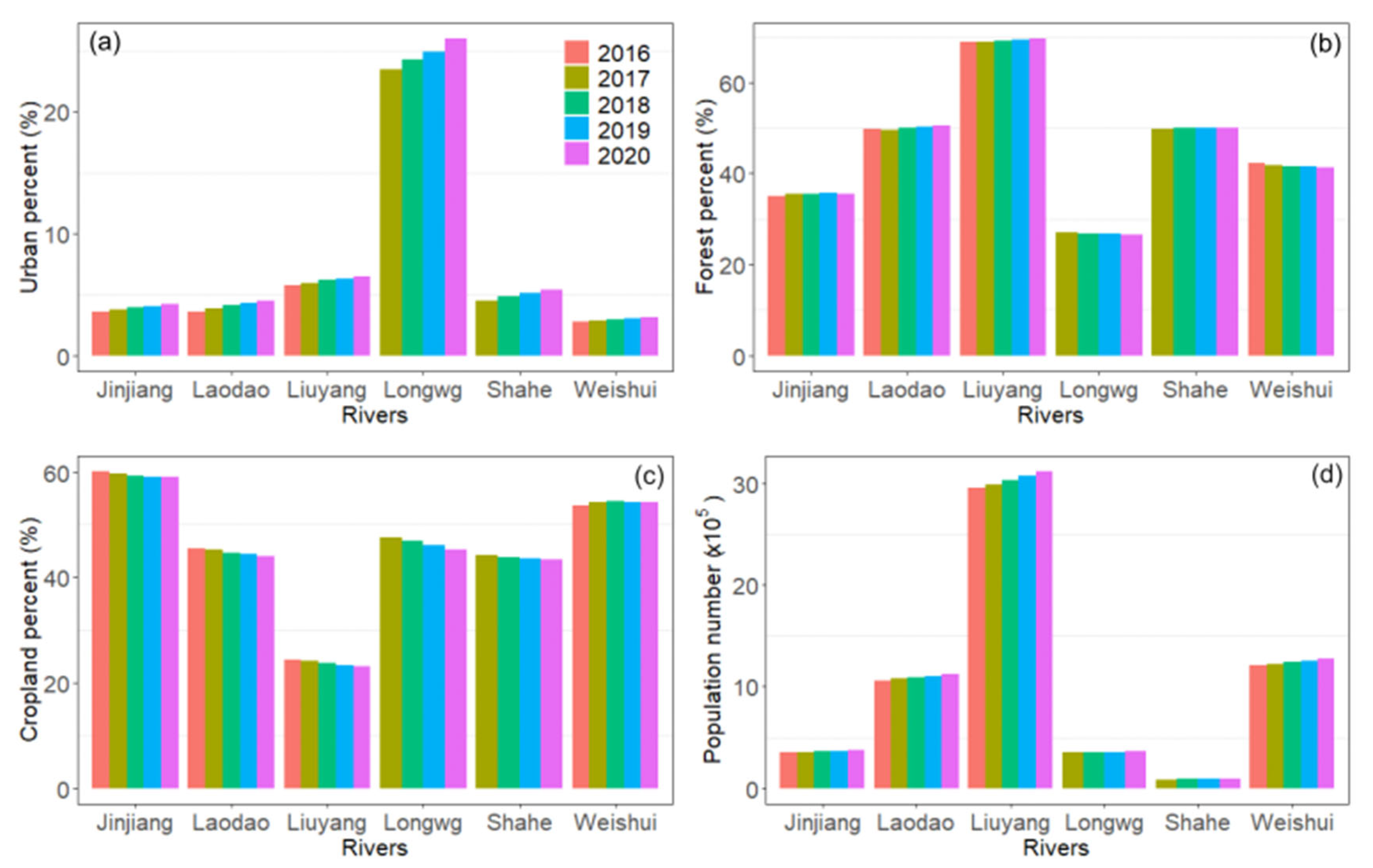
2.2. Data Collection
3. Methods
3.1. The Mann–Kendall Test and Correlation Analysis
3.2. The Water Quality Index
4. Results
4.1. Time Series of NH3-N and TP Concentrations in the Rivers and Other Anthropogenic Variables
4.2. Correlation Analyses and Water Quality Status
4.3. Correlations Between NH3-N and TP Concentrations and Other Factors
5. Discussions
5.1. Differences in the Trends of NH3-N and TP Concentrations
5.2. Water Quality Status of the Rivers
5.3. Influencing Factors of NH3-N and TP Variations
6. Conclusions
Supplementary Materials
Author Contributions
Funding
Data Availability Statement
Acknowledgments
Conflicts of Interest
References
- Oki, T.; Kanae, S. Global Hydrological Cycles and World Water Resources. Science 2006, 313, 1068. [Google Scholar] [CrossRef]
- Whitehead, P.G.; Jin, L.; Bussi, G.; Voepel, H.E.; Darby, S.E.; Vasilopoulos, G.; Manley, R.; Rodda, H.; Hutton, C.; Hackney, C.; et al. Water quality modelling of the Mekong River Basin: Climate change and socioeconomic drive flow and nutrient flux changes to the Mekong Delta. Sci. Total Environ. 2019, 673, 218–229. [Google Scholar] [CrossRef]
- Shi, X.; Mao, D.; Song, K.; Xiang, H.; Li, S.; Wang, Z. Effects of landscape changes on water quality: A global meta-analysis. Water Res. 2024, 260, 1–14. [Google Scholar] [CrossRef]
- Xue, J.; Yuan, C.; Ji, X.; Zhang, M. Predictive modeling of nitrogen and phosphorus concentrations in rivers using a machine learning framework: A case study in an urban-rural transitional area in Wenzhou China. Sci. Total Environ. 2024, 910, 1–21. [Google Scholar] [CrossRef] [PubMed]
- Wang, E.; Li, Q.; Hu, H.; Peng, F.; Zhang, P.; Li, J. Spatial characteristics and influencing factors of river pollution in China. Water Environ. Res. 2019, 91, 351–363. [Google Scholar] [CrossRef]
- Xue, J.; Wang, Q.; Zhang, M. A review of non-point source water pollution modeling for the urban-rural transitional areas of China: Research status and prospect. Sci. Total Environ. 2022, 826, 154146. [Google Scholar] [CrossRef]
- Yan, F.; Qiao, D.; Qian, B.; Ma, L.; Xing, X.; Zhang, Y.; Wang, X. Improvement of ccme wqi using grey relational method. J. Hydrol. 2016, 543, 316–323. [Google Scholar] [CrossRef]
- Feng, Y.; Li, N.; Wang, J. Ecological risk evaluation of ammonia nitrogen pollution in China based on the ecological grey water footprint model. J. Environ. Manag. 2023, 347, 119087. [Google Scholar]
- Li, S.; Liu, W.; Gu, S.; Cheng, X.; Xu, Z.; Zhang, Q. Spatio-temporal dynamics of nutrients in the upper Han River basin, China. J. Hazard. Mater. 2009, 162, 1340–1346. [Google Scholar] [CrossRef] [PubMed]
- Wang, R.; Liu, L.; Tao, Z.; Wan, B.; Wang, Y.; Tang, X.; Li, Y.; Li, X. Effect of urbanization and urban forests on water quality improvement in the Yangtze River Delta: A case study in Hangzhou, China. J. Environ. Manag. 2024, 351, 119980. [Google Scholar] [CrossRef] [PubMed]
- Zhao, M.; Wang, S.; Chen, Y.; Wu, J.; Xue, L.; Fan, T. Pollution status of the Yellow River tributaries in middle and lower reaches. Sci. Total Environ. 2020, 722, 137861. [Google Scholar] [CrossRef]
- Santy, S.; Mujumdar, P.; Bala, G. Potential impacts of climate and land use change on the water quality of Ganga River around the industrialized Kanpur Region. Sci. Rep. 2020, 10, 9107. [Google Scholar] [CrossRef] [PubMed]
- Feng, Z.; Zhang, R.; Liu, X.; Peng, Q.; Wang, L. Agricultural nonpoint source pollutant loads into water bodies in a typical basin in the middle reach of the Yangtze River. Ecotoxicol. Environ. Saf. 2023, 268, 115728. [Google Scholar] [CrossRef]
- Xiao, H.; Su, R.; Luo, Y.; Jiang, Y.; Wang, Y.; Hu, R.; Lin, S. Effects of land cover patterns on pond water nitrogen and phosphorus concentrations in a small agricultural watershed in Central China. Catena 2024, 237, 107800. [Google Scholar] [CrossRef]
- Wang, J.; Da, L.; Song, K.; Li, B. Temporal variations of surface water quality in urban, suburban and rural areas during rapid urbanization in Shanghai, China. Environ. Pollut. 2008, 152, 387–393. [Google Scholar] [CrossRef]
- Liu, Q.; Wang, W.; Luo, B.; Wang, K. Analysis on Improvement of Water Environment in Minjiang River Basin by Ten-Action Plan for Prevention and Control of Water Pollution. Sichuan Environ. 2020, 39, 80–87. [Google Scholar]
- Mi, Y.; Li, S.; Wang, Z. Spatial distribution and topographic gradient effects of habitat quality in the Chang-Zhu-Tan Urban Agglomeration, China. Sci. Rep. 2024, 14, 22563. [Google Scholar] [CrossRef] [PubMed]
- Xie, W. Analysis on the current Status and regulatory measures of water pollution in the Xiang River Basin of China. Nat. Environ. Pollut. Technol. 2016, 15, 1435–1440. [Google Scholar]
- GB3838-2002; Environmental Quality Standards for Surface Water. National Standard of the People’s Republic of China. Ministry of Ecology and Environment of the People’s Republic of China: Beijing, China, 2002.
- Zhang, Q.; Li, Z.; Zeng, G.; Li, J.; Fang, Y.; Yuan, Q.; Wang, Y.; Ye, F. Assessment of surface water quality using multivariate statistical techniques in red soil hilly region: A case study of Xiangjiang watershed, China. Environ. Monit. Assess. 2009, 152, 123–131. [Google Scholar] [CrossRef]
- Zhang, Z.; Tao, F.; Du, J.; Shi, P.; Yu, D.; Meng, Y.; Sun, Y. Surface water quality and its control in a river with intensive human impacts-a case study of the Xiangjiang River, China. J. Environ. Manag. 2010, 91, 2483–2490. [Google Scholar] [CrossRef] [PubMed]
- Duan, W.; He, B.; Chen, Y.; Zou, S.; Wang, Y.; Nover, D. Identification of long-term trends and seasonality in high-frequency water quality data from the Yangtze River basin, China. PLoS ONE 2018, 13, e0188889. [Google Scholar] [CrossRef]
- He, J.; Ma, L.; Wang, D.; Zhao, Y. A Working Drawing of Action Plan for Prevention and Control of Water Pollution: National Plan for Water Pollution Prevention and Control in Key River-Basins during the 13th Five-Year Plan Period. Environ. Prot. 2017, 45, 7–10. [Google Scholar]
- Peng, P.; Liu, B.; Deng, N.; Deng, Y.; Li, X.; Tian, Y.; Ma, F.; Song, Q. Climate change trends and characteristics of Changsha City from 1975 to 2015. Hunan For. Sci. Technol. 2021, 48, 56–63. (In Chinese) [Google Scholar]
- Yang, J.; Huang, X. The 30 m Annual Land Cover Datasets and Its Dynamics in CHINA from 1990 to 2021. 9 August 2022. Available online: https://zenodo.org/record/5816591 (accessed on 20 February 2023).
- Mann, H.B. Nonparametric tests against trend. Econometrica 1945, 13, 245–259. [Google Scholar] [CrossRef]
- Kendall, M.G. Rank Correlation Methods; Charles Griffin: London, UK, 1975. [Google Scholar]
- Gocic, M.; Trajkovic, S. Analysis of changes in meteorological variables using Mann-Kendall and Sen’s slope estimator statistical tests in Serbia. Glob. Planet. Change 2013, 100, 172–182. [Google Scholar] [CrossRef]
- Bayo, J.; Lopez-Castellanos, J. Principal factor and hierarchical cluster analyses for the performance assessment of an urban wasterwater treatment plant in the Southeast of Spain. Chemosphere 2016, 155, 152–162. [Google Scholar] [CrossRef] [PubMed]
- Benjamini, Y.; Hochberg, Y. Controlling the false discovery rate: A practical and powerful approach to multiple testing. J. R. Stat. Soc. Ser. B (Methodol.) 1995, 57, 289–300. [Google Scholar] [CrossRef]
- Pohlert, T. Trend: Non-Parametric Trend Tests and Change-Point Detection. R Package version 1.1.6. 2023. Available online: https://CRAN.R-project.org/package=trend (accessed on 1 January 2023).
- R Core Team. R: A Language and Environment for Statistical Computing; R Foundation for Statistical Computing: Vienna, Austria, 2024; Available online: https://www.R-project.org/ (accessed on 1 January 2023).
- Stambuk-Giljanovic, N. Water quality evaluation by index in Dalmatia. Water Res. 1999, 33, 3423–3440. [Google Scholar] [CrossRef]
- Bordalo, A.A.; Nilsumranchit, W.; Chalermwat, K. Water quality and uses of the Bangpakong River (Eastern Thailand). Water Res. 2001, 35, 3635–3642. [Google Scholar] [CrossRef]
- Cude, C.G. Oregon water quality index: A tool for evaluating water quality management effectiveness. J. Am. Water Resour. Assoc. 2001, 37, 125–137. [Google Scholar] [CrossRef]
- Wali, S.U.; Alias, N.B.; Harun, S.B.; Umar, K.J.; Gada, M.A.; Dankani, I.M.; Kaoje, I.U.; Usman, A.A. Water quality indices and multivariate statistical analysis of urban groundwater in semi-arid Sokoto Basin, Northwestern Nigeria. Groundw. Sustain. Dev. 2022, 18, 100779. [Google Scholar] [CrossRef]
- Varol, M.; Karakaya, G.; Alpaslan, K. Water quality assessment of the Karasu River (Turkey) using various indices, multivariate statistics and APCS-MLR model. Chemosphere 2022, 308, 136415. [Google Scholar] [CrossRef] [PubMed]
- People’s Government of Hunan Province. Water Pollution Prevention and Control Action Plan. 2016. Available online: http://hunan.gov.cn/hnszf/szf/hnzb/2016/2016nd3q/szfwj_98977/201711/t20171118_4701811.html (accessed on 1 January 2023).
- Zhang, J.; Ni, S.; Wu, W.; Huang, X.; Jiang, H.; Li, Q.; Wang, J.; Wu, G.; Zorn, C.; Yu, C. Evaluating the effectiveness of the pollutant discharge permit program in China: A case study of the Nenjiang River Basin. J. Environ. Manag. 2019, 251, 109501. [Google Scholar] [CrossRef] [PubMed]
- Chen, L.; Han, L.; Tan, J.; Zhang, F.; Lin, Y. Optimal allocation model of point and non-point pollution loads in river network based on water quality standard of multiple control sections. Water Resour. Prot. 2021, 37, 128–134. [Google Scholar]
- Bai, H.; Chen, Y.; Wang, Y.; Song, Z.; Tong, H.; Wei, Y.; Yu, Q.; Xu, Z.; Yang, S. Contribution rates analysis for sources apportionment to special river sections in Yangtze River Basin. J. Hydrol. 2021, 600, 126519. [Google Scholar] [CrossRef]
- Astaraie-Imani, M.; Kapelan, Z.; Fu, G.; Butler, D. Assessing the combined effects of urbanization and climate change on the river water quality in an integrated urban wastewater system in the UK. J. Environ. Manag. 2012, 112, 1–9. [Google Scholar] [CrossRef] [PubMed]
- Kannel, P.R.; Lee, S.; Lee, Y.-S.; Kanel, S.R.; Khan, S.P. Application of Water Quality Indices and Dissolved Oxygen as Indicators for River Water Classification and Urban Impact Assessment. Environ. Monit. Assess. 2007, 132, 93–110. [Google Scholar] [CrossRef]
- Huang, J.; Zhang, Y.; Bing, H.; Peng, J.; Dong, F.; Gao, J.; Arhonditsis, G.B. Characterizing the river water quality in China: Recent progress and on-going challenges. Water Res. 2021, 201, 117309. [Google Scholar] [CrossRef]
- Gardner, L.R. The role of rock weathering in the phosphorus budget of terrestrial watersheds. Biogeochemistry 1990, 11, 970110. [Google Scholar] [CrossRef]
- Xing, J.; Song, J.; Yuan, H.; Wang, Q.; Li, X.; Li, N.; Duan, L.; Qu, B. Water-soluble nitrogen and phosphorus in aerosols and dry deposition in Jiaozhou Bay, North China: Deposition velocities, origins and biogeochemical implications. Atmos. Res. 2018, 207, 90–99. [Google Scholar] [CrossRef]
- Cui, M.; Guo, Q.; Wei, R.; Chen, T. Temporal-spatial dynamics of anthropogenic nitrogen inputs and hotspots in a large river basin. Chemosphere 2021, 269, 129411. [Google Scholar] [CrossRef] [PubMed]
- Lu, J.; Zhou, N.; Zhou, Z.; Zeng, H. Effect and mechanism of the “Ten-point Water Plan” on the intensity of industrial water pollution. China Popul. Resour. Environ. 2021, 31, 90–99. [Google Scholar]
- Cheng, X.; Chen, L.; Sun, R.; Kong, P. Land use changes and socio-economic development strongly deteriorate river ecosystem health in one of the largest basins in China. Sci. Total Environ. 2018, 616–617, 376–385. [Google Scholar] [CrossRef]
- Liu, S.M.; Zhang, J.; Chen, H.T.; Wu, Y.; Xiong, H.; Zhang, Z.F. Nutrients in the Changjiang and its tributaries. Biogeochemistry 2003, 62, 1–18. [Google Scholar] [CrossRef]
- Ludwig, W.; Bouwman, A.F.; Dumont, E.; Lespinas, F. Water and nutrient fluxes from major Mediterranean and Black Sea rivers: Past and future trends and their implications for the basin-scale budges. Glob. Biogeochem. Cycles 2010, 24, GB0A13. [Google Scholar] [CrossRef]
- Voulvoulis, N.; Arpon, K.D.; Giakoumis, T. The EU Water Framework Directive: From great expectations to problems with implementation. Sci. Total Environ. 2017, 575, 358–366. [Google Scholar] [CrossRef]







| Parameters | Jinjiang | Longwanggang | Liuyang | Laodao | Weishui | Shahe | Xiangjiang | |
|---|---|---|---|---|---|---|---|---|
| NH3-N | Average | 0.48 | 1.38 | 0.99 | 0.63 | 0.75 | 0.441 | 0.22 |
| Std | 0.33 | 1.65 | 0.74 | 0.43 | 1.08 | 0.30 | 0.18 | |
| Z statistic | −4.72 | −0.47 | −4.67 | −4.87 | −4.52 | −2.27 | −2.33 | |
| p-value | 0.00 | 0.64 | 0.00 | 0.00 | 0.00 | 0.02 | 0.02 | |
| TP | Average | 0.07 | 0.14 | 0.17 | 0.13 | 0.13 | 0.11 | 0.05 |
| Std | 0.03 | 0.14 | 0.08 | 0.06 | 0.11 | 0.05 | 0.02 | |
| Z statistic | −4.36 | −0.89 | −6.08 | −3.55 | −4.10 | −2.16 | −2.95 | |
| p-value | 0.00 | 0.37 | 0.00 | 0.00 | 0.00 | 0.03 | 0.00 | |
| Statistics | Jinjiang | Longwanggang | Liuyang | Laodao | Weishui | Shahe | Xiangjiang |
|---|---|---|---|---|---|---|---|
| Minimum | 27.61 | 26.29 | 33.90 | 27.95 | 40.59 | 29.03 | 21.44 |
| Maximum | 150.68 | 514.97 | 251.21 | 163.57 | 508.35 | 89.79 | 77.66 |
| Average | 56.59 | 123.29 | 91.76 | 70.85 | 84.72 | 58.40 | 33.86 |
| Std | 19.09 | 119.69 | 49.18 | 26.21 | 76.88 | 19.31 | 8.19 |
Disclaimer/Publisher’s Note: The statements, opinions and data contained in all publications are solely those of the individual author(s) and contributor(s) and not of MDPI and/or the editor(s). MDPI and/or the editor(s) disclaim responsibility for any injury to people or property resulting from any ideas, methods, instructions or products referred to in the content. |
© 2024 by the authors. Licensee MDPI, Basel, Switzerland. This article is an open access article distributed under the terms and conditions of the Creative Commons Attribution (CC BY) license (https://creativecommons.org/licenses/by/4.0/).
Share and Cite
Zhang, Q.; Liu, F.; Tan, F.; Qadeer, A. Influence of Anthropogenic and Climatic Factors on the Dynamics of Nitrogen and Phosphorus in an Urbanized River Basin. Water 2024, 16, 3635. https://doi.org/10.3390/w16243635
Zhang Q, Liu F, Tan F, Qadeer A. Influence of Anthropogenic and Climatic Factors on the Dynamics of Nitrogen and Phosphorus in an Urbanized River Basin. Water. 2024; 16(24):3635. https://doi.org/10.3390/w16243635
Chicago/Turabian StyleZhang, Qinghuan, Fuzhen Liu, Fenfang Tan, and Abdul Qadeer. 2024. "Influence of Anthropogenic and Climatic Factors on the Dynamics of Nitrogen and Phosphorus in an Urbanized River Basin" Water 16, no. 24: 3635. https://doi.org/10.3390/w16243635
APA StyleZhang, Q., Liu, F., Tan, F., & Qadeer, A. (2024). Influence of Anthropogenic and Climatic Factors on the Dynamics of Nitrogen and Phosphorus in an Urbanized River Basin. Water, 16(24), 3635. https://doi.org/10.3390/w16243635

