Adsorption of Vanadium (V) on Amorphous and Modified Silica
Abstract
1. Introduction
2. Materials and Methods
2.1. Materials
2.2. Characterization Methods
2.3. Preparation of Adsorbents
2.4. Experiment Methodology
2.5. Adsorption Isotherms
3. Results and Discussion
3.1. Study of the Sorption Process on SiO2
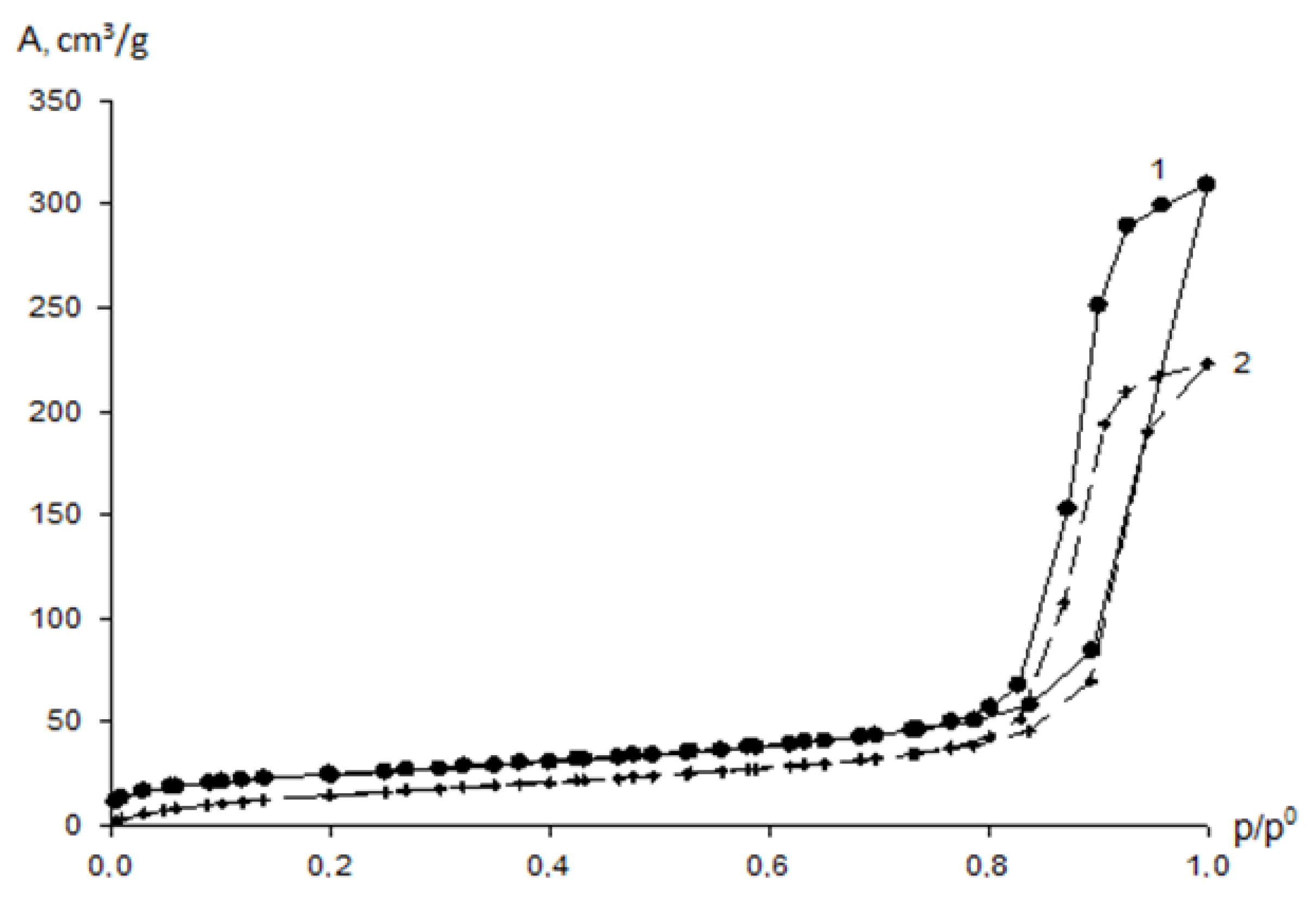
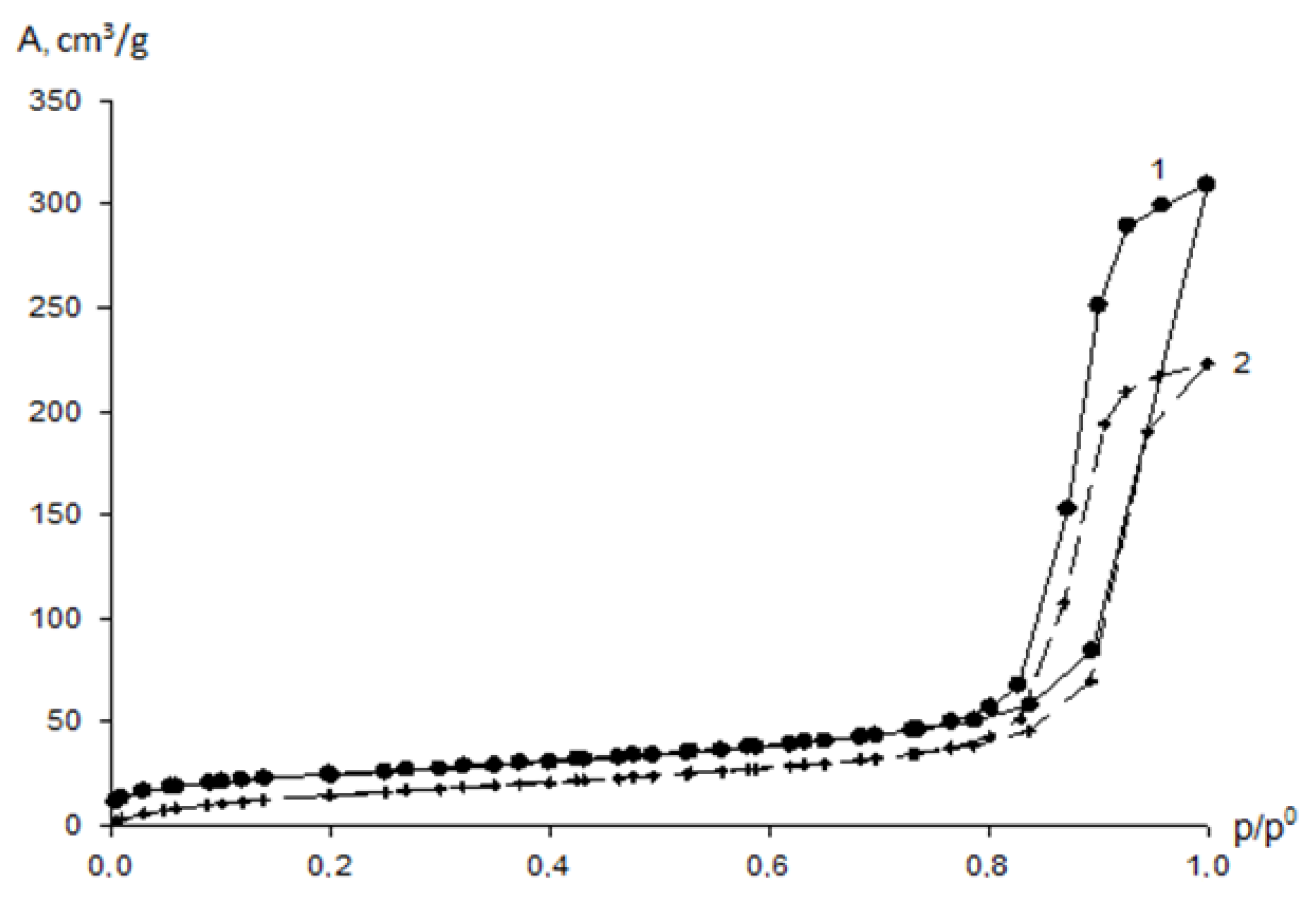
3.1.1. Specific Surface Area Effect
3.1.2. Time Effect
3.1.3. pH Effect
3.1.4. Temperature Effect
3.2. Study of the Sorption Process on Modified SiO2
3.2.1. SEM
3.2.2. Adsorption Isotherms Study
3.3. Comparison with Other Sorbents
4. Conclusions
Author Contributions
Funding
Data Availability Statement
Conflicts of Interest
References
- Nasimifar, A.; Mehrabani, J.V. A review on the extraction of vanadium pentoxide from primary, secondary, and co-product sources. Int. J. Min. Geo-Eng. 2022, 56, 361–382. [Google Scholar] [CrossRef]
- Babar, B.; Pisal, K.; Sutar, S.; Mujawar, S.; Kadam, L.; Pathan, H.; Pawar, U.; Kadam, P.; Patil, P. Hydrothermally Prepared vanadium oxide nanostructures for photocatalytic application. ES Energy Environ. 2022, 15, 82–91. [Google Scholar] [CrossRef]
- Chundan, G.; Meng, L.; Juan, L.; Jinyan, Y. Adsorption and desorption characteristics of vanadium (V) on silica. Water Air Soil Pollut. 2020, 231, 10. [Google Scholar] [CrossRef]
- Liu, Z.; Bai, J. Study on Adsorption properties of vanadium catalysts for NH3. In Proceedings of the International Conference on Material and Environmental Engineering (ICMAEE 2014), Jiujiang, China, 21–23 March 2014. [Google Scholar]
- Peel, H.R.; Balogun, F.O.; Bowers, C.A.; Miller, C.T.; Obeidy, C.S.; Polizzotto, M.L.; Tashnia, S.U.; Vinson, D.S.; Duckworth, O.W. Towards understanding factors affecting arsenic, chromium, and vanadium mobility in the subsurface. Water 2022, 14, 3687. [Google Scholar] [CrossRef]
- Peng, H.; Liu, Z.; Tao, C. Adsorption process of vanadium (V) with melamine. Water Air Soil Pollut. 2017, 117, 228. [Google Scholar] [CrossRef]
- Song, Q.-y.; Liu, M.; Lu, J.; Liao, Y.l.; Chen, L.; Yang, J.-y. Adsorption and desorption characteristics of vanadium (V) on coexisting humic acid and silica. Water Air Soil Pollut. 2020, 231, 460. [Google Scholar] [CrossRef]
- Larsson, M.A.; Baken, S.; Smolders, E.; Cubadda, F.; Gustafsson, J.P. Vanadium bioavailability in soils amended with blast furnace slag. J. Hazard. Mater. 2015, 296, 158–165. [Google Scholar] [CrossRef]
- Zharskij, I.M.; Orehova, S.E.; Kurilo, I.I.; Kryshilovich, E.V. Reduction of vanadium-containing compounds in leaching solutions of spent vanadium catalysts. Trudy BGTU Him. Tehnol. Neorg. Veshhestv. 2011, 3, 3–7. [Google Scholar]
- Dash, H.; Rout, D.; Kar, B. Extraction of vanadium from vanadium bearing spent catalyst through heat treatment method. Int. J. Innov. Res. Sci. Eng. Technol. 2013, 2, 3201–3203. [Google Scholar]
- Painuly, A. Separation and recovery of vanadium from spent vanadium pentaoxide catalyst by Cyanex 272. Environ. Syst. Res. 2015, 4, 7. [Google Scholar] [CrossRef]
- Anirudhan, T.S.; Radhakrishnan, P.G. Adsorptive performance of an amine-functionalized poly(hydroxyethylmethacrylate)-grafted tamarind fruit shell for vanadium(V) removal from aqueous solutions. Chem. Eng. J. 2010, 165, 142–150. [Google Scholar] [CrossRef]
- Kumar, D.; Malik, S.; Rani, R.; Kumar, R.; Duhan, J.S. Behavior, risk, and bioremediation potential of heavy metals/metalloids in the soil system. Rend. Lincei Sci. Fis. Nat. 2023, 34, 809–831. [Google Scholar] [CrossRef]
- Gurjar, V.; Koujalagi, P.; Revankar, H.; Kulkarni, R. Adsorptive removal of vanadium from aqueous media by ion exchange resin. Emergent Mater. 2021, 5, 1543–1551. [Google Scholar] [CrossRef]
- Wołowicz, A.; Hubicki, Z. Vanadium (V) Removal from aqueous solutions and real wastewaters onto anion exchangers and lewatit AF5. Molecules 2022, 27, 5432. [Google Scholar] [CrossRef] [PubMed]
- Zeinali, S.; Tatian, S. Vanadium removal from fuel oil and waste water in power plant using humic acid coated magnetic nanoparticles. Int. J. Nanosci. Nanotechnol. 2019, 15, 249–263. [Google Scholar]
- Chaudhari, U.E. Vanadium removal by adsorption on coconut shell. J. Industrial Pollut. Control 2007, 23, 345–350. [Google Scholar]
- Peacock, C.L.; Sherman, D.M. Vanadium (V) adsorption onto goethite (-FeOOH) at pH 1.5 to 12: A surface complexation model based on ab initio molecular geometries and EXAFS spectroscopy. Geochim. Cosmochim. Acta 2004, 68, 1723–1733. [Google Scholar] [CrossRef]
- Anjaneyulu, Y.; Reddy, M.R.P.; Kumar, P.V.S.; Kavipurapu, C.S.; Rao, B.V. Selective and sensitive extraction spectrophotometric method for the determination of vanadium (V) as a mixed ligand complex with N-phenyl benzohydroxamic acid and 4-(2-pyridylazo)resorcinol in non-aqueous media. Microchim. Acta 1990, 100, 87–94. [Google Scholar] [CrossRef]
- He, J.; Tao, W.; Dong, G. Study on extraction performance of vanadium (V) from aqueous solution by octyl-imidazole ionic liquids extractants. Metals 2022, 12, 854. [Google Scholar] [CrossRef]
- Ojo, J.; Oyegoke, D. On the extraction of vanadium (V) by alkanols: A comparative study of 1-pentanol and 3-methyl-1-butanol isomers as extractants for vanadium (V) extraction from hydrochloric acid solutions. Int. J. Chem. 2016, 8, 9–18. [Google Scholar] [CrossRef]
- Wang, M.; Zhang, G.; Wang, X.; Zhang, J. Solvent extraction of vanadium from sulfuric acid solution. Rare Metals 2009, 28, 209–211. [Google Scholar] [CrossRef]
- Abidli, A.; Ben Rejeb, Z.; Zaoui, A.; Naguib, N.E.; Park, C.B. Comprehensive insights into the application of graphene-based aerogels for metals removal from aqueous media: Surface chemistry, mechanisms, and key features. Adv. Colloid Interface Sci. 2024, 335, 103338. [Google Scholar] [CrossRef] [PubMed]
- Wang, Y.; Li, H.; Lin, S. Advances in the Study of Heavy Metal Adsorption from Water and Soil by Modified Biochar. Water 2022, 14, 3894. [Google Scholar] [CrossRef]
- Li, M.; Zhang, B.; Zou, S.; Liu, Q.; Yang, M. Highly selective adsorption of vanadium (V) by nano-hydrous zirconium oxide-modified anion exchange resin. J. Hazard. Mat. 2019, 384, 121386. [Google Scholar] [CrossRef]
- Afkhami, A.; Conway, B. Investigation of removal of Cr(VI), Mo(VI), W(VI), V(IV), and V(V) oxy-ions from industrial waste-waters by adsorption and electrosorption at high-area carbon cloth. J. Colloid Interface Sci. 2002, 251, 248–255. [Google Scholar] [CrossRef]
- Erdem, A.; Shahwanb, T.; Cagır, A.; Eroglu, A. Synthesis of aminopropyl triethoxysilane-functionalized silica and its application in speciation studies of vanadium(IV) and vanadium(V). Chem. Eng. J. 2011, 174, 76–85. [Google Scholar] [CrossRef]
- Polyshchuk, L.N.; Yanovskaya, E.S.; Yanishpol’skii, V.V.; Tertykh, V.A.; Sukhoi, K.M.; Burmistr, M.V. Sorption of Mo(VI), W(VI), Cr(VI), and V(V) anions on a silica gel modified with immobilized polyionene. Russ. J. Appl. Chem. 2007, 80, 1590–1593. [Google Scholar] [CrossRef]
- Sirvo, J.A.; Hasa, T.; Leiviska, T.; Liimatainen, H.; Hormi, O. Bisphosphonate nanocellulose in the removal of vanadium (V) from water. Cellulose 2016, 23, 689–697. [Google Scholar] [CrossRef]
- Meng, R.; Chen, T.; Zhang, Y.; Lu, W.; Liu, Y.; Lu, T.; Liu, Y.; Wang, H. Development, modification, and application of low-cost and available biochar derived from corn straw for the removal of vanadium(V) from aqueous solution and real contaminated groundwater. RSC Adv. 2018, 8, 21480–21494. [Google Scholar] [CrossRef]
- Zhang, R.; Lu, J.; Dopson, M.; Leiviska, T. Vanadium removal from mining ditch water using commercial iron products and ferric groundwater treatment residual-based materials. Chemosphere 2022, 286, 131817. [Google Scholar] [CrossRef]
- Bhatnagar, A.; Minocha, A.K.; Pudasainee, D.; Chung, H.-K.; Kim, S.-H.; Kim, H.-S.; Lee, G.; Min, B.; Jeon, B.-J. Vanadium removal from water by waste metal sludge and cement immobilization. Chem. Eng. J. 2008, 144, 197–204. [Google Scholar] [CrossRef]
- Ekinci, C.; Koklu, U. Determination of vanadium, manganese, silver and lead by graphite furnace atomic absorption spectrometry after preconcentration on silica-gel modified with 3-aminopropyltriethoxysilane. Spectrochim. Acta Part B 2000, 55, 1491–1495. [Google Scholar] [CrossRef]
- Yan, F.; Jiang, J.; Tian, S.; Liu, Z.; Shi, J.; Li, K.; Chen, X.; Xu, Y. A green and facile synthesis of ordered mesoporous nanosilica using coal fly ash. ACS Sustain. Chem. Eng. 2016, 4, 4654–4661. [Google Scholar] [CrossRef]
- Weissermel, K.; Arpe, H.-J. Industrial Organic Chemistry, Completely Rev. ed.; Lindl, C.R., Translator; VCH: Weinheim, Germany, 1997; 464p. [Google Scholar]
- Batueva, T.D.; Bajgacheva, E.V.; Nasrtdinova, T.Y. Extraction of vanadium(V) from sulfuric acid and hydrochloric media by hydrazides and N’,N’-dialkylhydrazides of Versatic acids. J. Inorg. Chem. 2016, 61, 416–420. [Google Scholar] [CrossRef]
- Batueva, T.D.; Kondrashova, N.B.; Scherban, M.G. Mesoporous silica materials and their sorption capacity for tungsten (VI) and molybdenum (VI) ions. Inorg. Mat. 2019, 55, 1146–1150. [Google Scholar] [CrossRef]
- Batueva, T.D.; Kondrashova, N.B.; Scherban, M.G. Modified MCM-48 mesoporous materials and their sorption capacity for nonferrous ions. Inorg. Mat. 2020, 56, 360–365. [Google Scholar] [CrossRef]
- Kasikov, A.G.; Shchelokova, E.A.; Dvornikova, A.M. Recovery of rhenium from sulfuric acid solution by TOPO-impregnated silica sorbents. Sep. Sci. Technol. 2020, 56, 242–251. [Google Scholar] [CrossRef]
- Kasikov, A.G.; Shchelokova, E.A.; Timoshchik, O.A.; Semushin, V.V. Deep Processing of Dump Slag from the Copper-Nickel Industry. Metals 2023, 13, 1265. [Google Scholar] [CrossRef]
- Timoshchik, O.A.; Shchelokova, E.A.; Kasikov, A.G. Vliyanie uslovij polucheniya amorfnogo kremnezema zol’-gel’ metodom na ego svojstva. Trudy Kol’skogo Nauchnogo Centra RAN 2019, 10, 368–375. [Google Scholar] [CrossRef]
- Batueva, T.D.; Kondrashova, N.B.; Scherban, M.G. Sorbents based on mesoporous silicas modified with hydrazide functional groups. Karaganda Univ. Bull. Ser. Chem. 2019, 95, 52–60. [Google Scholar] [CrossRef]
- Kokotov, Y.A.; Zolotarev, P.P.; El’kin, G.E. Teoreticheskie Osnovy Ionnogo Obmena Slozhnye Ionoobmennye Sistemy; Khimiya Publication: Leningrad, Russia, 1986; 280p. [Google Scholar]
- Alosmanov, R.M. Issledovanie kinetiki sorbtsii ionov svintsa i tsinka fosforsoderzhashchim kationitom. Vestn. Mosk. Univ. Seriya 2 Khimiya 2011, 52, 145–148. [Google Scholar]
- Naeem, A.; Westerhoff, P.; Mustafa, S. Vanadium removal by metal (hydr)oxide adsorbents. Water Res. 2007, 41, 1596–1602. [Google Scholar] [CrossRef] [PubMed]
- Zhang, L.; Liu, X.; Xia, W.; Zhang, W. Preparation and characterization of chitosan-zirconium(IV) composite for adsorption of vanadium(V). Int. J. Biol. Macromol. 2014, 64, 155–161. [Google Scholar] [CrossRef] [PubMed]
- Prathap, K.; Namasivayam, C. Adsorption of vanadate(V) on Fe(III)/Cr(III) hydroxide waste. Environ. Chem. Lett. 2010, 8, 363–371. [Google Scholar] [CrossRef]








| Sample SiO2 | CSiO2, g/L | CH2SO4, % | pH | SBET, m2/g | dpor., nm | vpor., cm3/g |
|---|---|---|---|---|---|---|
| 1 | 80 | 17 | 7 | 136.8 | 2.30 | 0.22 |
| 2 | 80 | 17 | 7 | 249.8 | 2.99 | 0.40 |
| 3 | 80 | 17 | 2 | 693.7 | 5.73 | 0.55 |
| 4 | - | - | - | 645.8 | 2.41 | 0.33 |
| Structural Fragments | OH, H2O | NH | C=O | C-N | C=N | C-O | Has Si-O-Si | Has O-Si-O | Hs Si-O-Si |
|---|---|---|---|---|---|---|---|---|---|
| Sample | |||||||||
| SiO2 | 4000–3000 | - | 1636 | - | - | - | 1236–1091 | 969 | 802 |
| DMHD | - | 3252 | 1658 | 1523 | - | - | - | - | - |
| HD | - | 3295 | 1699 | 1521 | - | - | - | - | - |
| SiO2-DMHD | 3700–3000 | 3427 | 1653 | 1533 | 1469 | 1381 | 1239–1157–1080 | 968 | 805 |
| SiO2-HD | 3700–3000 | 3427 | 1660 | 1533 | 1469 | 1381 | 1239–1157–1080 | 968 | 805 |
| № | Sorbents and Modification Conditions | SiO2:DMHD | SBET, m2/g | Vpor, cm3/g | dpor, nm | pHIEP | SECH+, mmol/g | pKa1 |
|---|---|---|---|---|---|---|---|---|
| I | SiO2-I | - | 693.7 | 0.55 | 5.73 | 8.34 | 1.07 | 6.60 |
| II | I+DMHD 1019, t = 25 °C | 1:0.1 | 2.69 | 2.8 × 10−3 | 4.35 | 7.35 | 0.80 | 4.38 |
| III | I+HD 1019, t = 25 °C | 1:0.1 | 0.06 | 1.8 × 10−4 | - | 7.22 | 0.95 | 4.68 |
| IV | I+DMHD 1019, t = 25 °C | 1:0.01 | 60.80 | 0.35 | 15.29 | 8.73 | 1.15 | 5.78 |
| V | I+DMHD 1019, t = 80 °C | 1:0.01 | 71.56 | 0.44 | 17.39 | 8.58 | 1.15 | 5.98 |
| Metal | R2 | |
|---|---|---|
| Pseudo-First-Order | Pseudo-Second-Order | |
| V | 0.350 | 0.999 |
| Equation of Dependence | R2 | Emax, mmol/g | K | ||
|---|---|---|---|---|---|
| V(V)/sorbent IV | |||||
| Langmuir | y = 4.56x + 1382 | 0.9971 | 0.72 | 303 | |
| Freundlich | y = 0.31x − 6.18 | 0.9231 | n | 3.22 | 0.002 |
| Sorbent | Sorption Capacity | Time | Reference |
|---|---|---|---|
| SiO2 | 0.083 mg/g | 240 min | [3] |
| Coconut shell | 5.86 mg/g | 15 min | [17] |
| HZrO@D201 | 141.3 mg/g | 24 h | [25] |
| 3-APTES | 3.02 mmol/g | 30 min | [27] |
| Bisphosphonate nanocellulose | 1.98 mmol/g | 24 h | [29] |
| CFH-12 | 8.5 mg/g | 10–30 min | [31] |
| GEH 101 | 21.6mg/g | ||
| GWTR-Peat | 7.2 mg/g | ||
| Metal (hydr)oxide | 45.66/111.1 mg/g | 6 h | [45] |
| Chitosan-Zr(IV) composite | 208 mg/g | 4 h | [46] |
| Fe(III)/Cr(III) hydroxide waste | 11.43 mg/g | 20–80 min | [47] |
| SiO2 | 0.19 mmol/g | 1 h | Present work |
| SiO2-DMHD | 4.54 mmol/g | 10 min | |
| SiO2-HD | 3.21 mmol/g | 10 min |
Disclaimer/Publisher’s Note: The statements, opinions and data contained in all publications are solely those of the individual author(s) and contributor(s) and not of MDPI and/or the editor(s). MDPI and/or the editor(s) disclaim responsibility for any injury to people or property resulting from any ideas, methods, instructions or products referred to in the content. |
© 2024 by the authors. Licensee MDPI, Basel, Switzerland. This article is an open access article distributed under the terms and conditions of the Creative Commons Attribution (CC BY) license (https://creativecommons.org/licenses/by/4.0/).
Share and Cite
Timoshchik, O.A.; Batueva, T.D.; Belogurova, E.A.; Kasikov, A.G. Adsorption of Vanadium (V) on Amorphous and Modified Silica. Water 2024, 16, 3628. https://doi.org/10.3390/w16243628
Timoshchik OA, Batueva TD, Belogurova EA, Kasikov AG. Adsorption of Vanadium (V) on Amorphous and Modified Silica. Water. 2024; 16(24):3628. https://doi.org/10.3390/w16243628
Chicago/Turabian StyleTimoshchik, Olga A., Tatiana D. Batueva, Elena A. Belogurova, and Alexander G. Kasikov. 2024. "Adsorption of Vanadium (V) on Amorphous and Modified Silica" Water 16, no. 24: 3628. https://doi.org/10.3390/w16243628
APA StyleTimoshchik, O. A., Batueva, T. D., Belogurova, E. A., & Kasikov, A. G. (2024). Adsorption of Vanadium (V) on Amorphous and Modified Silica. Water, 16(24), 3628. https://doi.org/10.3390/w16243628

