Functional Diversity of Macroinvertebrate Communities in River Nature Reserves of Spain
Abstract
1. Introduction
2. Materials and Methods
2.1. Study Sites
2.2. Physicochemical Characterisation of the Sampled Sites
2.3. Macroinvertebrate Sampling, Identification, and Trait Assignation
3. Data Analysis
4. Results
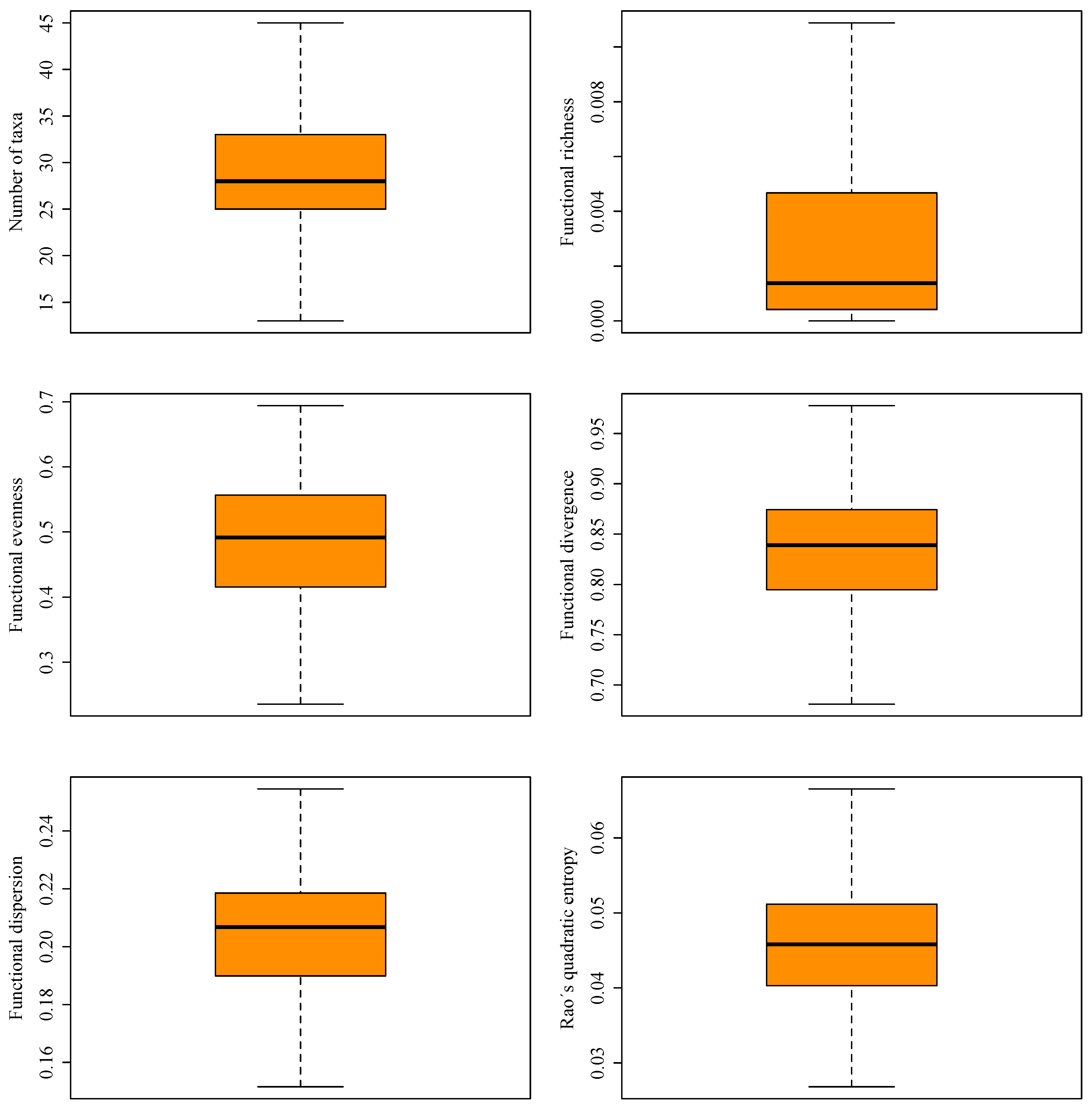
4.1. Taxonomic Diversity
4.2. Trait Characterisation of Macroinvertebrate Communities
4.3. Functional Diversity
4.4. Taxonomic and Functional Diversity Partitioning
5. Discussion
5.1. Taxonomic Diversity
5.2. Trait Characterisation of Macroinvertebrate Communities
5.3. Functional Diversity
5.4. Taxonomic and Functional Diversity Partitioning
6. Conclusions
Supplementary Materials
Author Contributions
Funding
Data Availability Statement
Acknowledgments
Conflicts of Interest
References
- Vörösmarty, C.J.; McIntyre, P.B.; Gessner, M.O.; Dudgeon, D.; Prusevich, A.; Green, P.; Glidden, S.; Bunn, S.E.; Sullivan, C.A.; Liermann, C.R.; et al. Global threats to human water security and river biodiversity. Nature 2010, 467, 555–561. [Google Scholar] [CrossRef] [PubMed]
- Tharme, R.E.; Ticker, D.; Hughes, J.M.R.; Conallin, J.; Zielinski, L. Approaches to freshwater ecology and conservation. In Freshwater Ecology and Conservation; Hughes, J.M.R., Ed.; Oxford University Press: Oxford, UK, 2019; pp. 20–47. [Google Scholar]
- Dudgeon, D.; Arthington, A.H.; Gessner, M.O.; Kawabata, Z.I.; Knowler, D.J.; Lévêque, C.; Naiman, R.J.; Prieur-Richard, A.H.; Soto, D.; Stiassny, M.L.J.; et al. Freshwater biodiversity: Importance, threats, status and conservation challenges. Biol. Rev. Camb. Philos. Soc. 2006, 81, 163–182. [Google Scholar] [CrossRef] [PubMed]
- Strayer, D.L.; Dudgeon, D. Freshwater biodiversity conservation: Recent progress and future challenges. J. N. Am. Benthol. Soc. 2010, 29, 344–358. [Google Scholar] [CrossRef]
- Millennium Ecosystem Assessment. Ecosystems and Human Well-Being: Synthesis; Island Press: Washington, DC, USA, 2005. [Google Scholar]
- Loreau, M.; Naeem, S.; Inchausti, P.; Bengtsson, J.; Grime, J.P.; Hector, A.; Hooper, D.U.; Huston, M.A.; Raffaelli, D.; Schmid, B.; et al. Biodiversity and ecosystem functioning: Current knowledge and future challenges. Science 2001, 294, 804–808. [Google Scholar] [CrossRef]
- Naeem, S.; Wright, J.P. Disentangling biodiversity effects on ecosystem functioning: Deriving solutions to a seemingly insurmountable problem. Ecol. Lett. 2003, 6, 567–579. [Google Scholar] [CrossRef]
- de Bello, F.; Lavorel, S.; Hallett, L.M.; Valencia, E.; Garnier, E.; Roscher, C.; Conti, L.; Galland, T.; Goberna, M.; Májeková, M.; et al. Functional trait effects on ecosystem stability: Assembling the jigsaw puzzle. Trends Ecol. Evol. 2021, 36, 822–836. [Google Scholar] [CrossRef]
- Mouchet, M.A.; Villéger, S.; Mason, N.W.H.; Mouillot, D. Functional diversity measures: An overview of their redundancy and their ability to discriminate community assembly rules. Funct. Ecol. 2010, 24, 867–876. [Google Scholar] [CrossRef]
- McGill, B.J.; Enquist, B.J.; Weiher, E.; Westoby, M. Rebuilding community ecology from functional traits. Trends Ecol. Evol. 2006, 21, 178–185. [Google Scholar] [CrossRef]
- Petchey, O.L.; Gaston, K.J. Functional diversity: Back to basics and looking forward. Ecol. Lett. 2006, 9, 741–758. [Google Scholar] [CrossRef]
- Cadotte, M.W.; Carscadden, K.; Mirotchnick, N. Beyond species: Functional diversity and the maintenance of ecological processes and services. J. Appl. Ecol. 2011, 48, 1079–1087. [Google Scholar] [CrossRef]
- Martini, S.; Larras, F.; Boyé, A.; Faure, E.; Aberle, N.; Archambault, P.; Bacouillard, L.; Beisner, B.E.; Bittner, L.; Castella, E.; et al. Functional trait-based approaches as a common framework for aquatic ecologists. Limnol. Oceanogr. 2021, 66, 965–994. [Google Scholar] [CrossRef]
- Mason, N.W.H.; Mouillot, D.; Lee, W.G.; Wilson, J.B. Functional richness, functional evenness and functional divergence: The primary components of functional diversity. Oikos 2005, 111, 112–118. [Google Scholar] [CrossRef]
- Villéger, S.; Mason, N.W.H.; Mouillot, D. New multidimensional functional diversity indices for a multifaceted framework in functional ecology. Ecology 2008, 89, 2290–2301. [Google Scholar] [CrossRef]
- Coetzee, B.W.T.; Gaston, K.J.; Chown, S.L. Local scale comparisons of biodiversity as a test for global protected area ecological performance: A meta-analysis. PLoS ONE 2014, 9, e105824. [Google Scholar] [CrossRef]
- Guareschi, S.; Bilton, D.T.; Velasco, J.; Millán, A.; Abellán, P. How well do protected area networks support taxonomic and functional diversity in non-target taxa? The case of Iberian freshwaters. Biol. Conserv. 2015, 187, 134–144. [Google Scholar] [CrossRef]
- Gray, C.L.; Hill, S.L.L.; Newbold, T.; Hudson, L.N.; Boïrger, L.; Contu, S.; Hoskins, A.J.; Ferrier, S.; Purvis, A.; Scharlemann, J.P.W. Local biodiversity is higher inside than outside terrestrial protected areas worldwide. Nat. Commun. 2016, 7, 12306. [Google Scholar] [CrossRef]
- Xu, X.; Jiang, B.; Chen, M.; Bai, Y.; Yang, G. Strengthening the effectiveness of nature reserves in representing ecosystem services: The Yangtze River Economic Belt in China. Land Use Policy 2020, 96, 104717. [Google Scholar] [CrossRef]
- Guareschi, S.; Abellán, P.; Laini, A.; Green, A.J.; Sánchez-Zapata, J.A.; Velasco, J.; Millán, A. Cross-taxon congruence in wetlands: Assessing the value of waterbirds as surrogates of macroinvertebrate biodiversity in Mediterranean Ramsar sites. Ecol. Indic. 2015, 49, 204–215. [Google Scholar] [CrossRef]
- Hermoso, V.; Abell, R.; Linke, S.; Boon, P. The role of protected areas for freshwater biodiversity conservation: Challenges and opportunities in a rapidly changing world. Aquat. Conserv. Mar. Freshw. Ecosyst. 2016, 26, 3–11. [Google Scholar] [CrossRef]
- Cadotte, M.W.; Tucker, C.M. Difficult decisions: Strategies for conservation prioritization when taxonomic, phylogenetic and functional diversity are not spatially congruent. Biol. Conserv. 2018, 225, 128–133. [Google Scholar] [CrossRef]
- Royal Decree 638/2016, of December 9th, Which Modifies the Regulation of the Public Hydraulic Domain Approved by Royal Decree 849/1986, of April 11th. Available online: https://www.boe.es/buscar/doc.php?id=BOE-A-2016-12466 (accessed on 11 January 2024).
- European Commission. Directive 2000/60/EC of the European Parliament and of the Council of 23rd October 2000 Establishing a Framework for Community Action in the Field of Water Policy; Official Journal of the European Communities L327/1. 2000); European Union: Brussels, Belgium, 2000; pp. 1–73.
- MITECO. Caracterización, Diagnóstico y Medidas de Gestión de las Reservas Naturales Fluviales Intercomunitarias. Catálogo de Publicaciones de la Administración General del Estado. 2020. Available online: https://www.miteco.gob.es/content/dam/miteco/es/agua/temas/delimitacion-y-restauracion-del-dominio-publico-hidraulico/memoria_general_rnf_tcm30-508967.pdf (accessed on 11 January 2024).
- Rosenberg, D.M.; Resh, V.H. (Eds.) Freshwater Biomonitoring and Benthic Macroinvertebrates; Chapman & Hall: New York, NY, USA, 1993. [Google Scholar]
- MAGRAMA. Real Decreto 817/2015, de 11 de Septiembre, por el que se Establecen los Criterios de Seguimiento y Evaluación del Estado de las Aguas Superficiales y las Normas de Calidad Ambiental. 2015. Available online: https://www.boe.es/boe/dias/2015/09/12/pdfs/BOE-A-2015-9806.pdf (accessed on 11 January 2024).
- MAGRAMA. Protocolo de Muestreo y Laboratorio de Fauna Bentónica de Invertebrados en ríos Vadeables. Código: Ml-rv-i-2013. Catálogo de Publicaciones de la Administración General del Estado. 2013. Available online: https://www.miteco.gob.es/content/dam/miteco/es/agua/temas/estado-y-calidad-de-las-aguas/ML-Rv-I-2013_Muestreo%20y%20laboratorio_Fauna%20bent%F3nica%20de%20invertebrados_%20R%EDos%20vadeables_24_05_2013_tcm30-175284.pdf (accessed on 11 January 2024).
- García-Roger, E.M.; Sánchez-Montoya, M.M.; Cid, N.; Erba, S.; Karaouzas, I.; Verkaik, I.; Rieradevall, M.; Gómez, R.; Suárez, M.L.; Vidal-Abarca, M.R.; et al. Spatial scale effects on taxonomic and biological trait diversity of aquatic macroinvertebrates in Mediterranean streams. Fundam. Appl. Limnol. 2013, 183, 89–105. [Google Scholar] [CrossRef]
- Zou, Y.; van der Werf, W.; Liu, Y.; Axmacher, J.C. Predictability of species diversity by family diversity across global terrestrial animal taxa. Glob. Ecol. Biogeogr. 2020, 29, 629–644. [Google Scholar] [CrossRef]
- Tachet, H.; Richoux, P.; Bournaud, M.; Usseglio-Polatera, P. Invertébrés D’eau Douce: Systématique, Biologie, Écologie; CNRS Éditions: Paris, France, 2010. [Google Scholar]
- Bonada, N.; Dolédec, S. Do mediterranean genera not included in Tachet et al. 2020 have Mediterranean trait characteristics? Limnetica 2011, 30, 129–142. [Google Scholar] [CrossRef]
- Usseglio-Polatera, P. Représentation graphique synthétique de la signification écologique d’un peuplement: Application aux macroinvertébrés du Rhône à Lyon. B Ecol. 1991, 22, 195–202. [Google Scholar]
- R Core Team. R: A Language and Environment for Statistical Computing; R Foundation for Statistical Computing: Vienna, Austria, 2024; Available online: https://www.R-project.org/ (accessed on 11 January 2024).
- Oksanen, J.; Guillaume Blanchet, F.; Friendly, M.; Kindt, R.; Legendre, P.; McGlinn, D.; Minchin, P.R.; O’Hara, R.B.; Simpson, G.L.; Solymos, P.; et al. R Package. version 2.5-7; Vegan: Community Ecology Package. 2020. [Google Scholar]
- Laliberté, E.; Legendre, P.; Shipley, B. R Package, version 1.0-12.3; FD: Measuring functional diversity from multiple traits, and other tools for functional ecology. 2014.
- Revelle, W. R Package, version 2.1.9; Psych: Procedures for Personality and Psychological Research. 2021.
- Kembel, S.W.; Cowan, P.D.; Helmus, M.R.; Cornwell, W.K.; Morlon, H.; Ackerly, D.D.; Blomberg, S.P.; Webb, C.O. Picante: R tools for integrating phylogenies and ecology. Bioinformatics 2010, 26, 1463–1464. [Google Scholar] [CrossRef]
- Thioulouse, J.; Dray, S.; Dufour, A.; Siberchicot, A.; Jombart, T.; Pavoine, S. Multivariate Analysis of Ecological Data with ade4; Springer: New York, NY, USA, 2018. [Google Scholar]
- de Bello, F.; Carmona, C.P.; Dias, A.T.; Götzenberger, L.; Moretti, M.; Berg, M.P. Handbook of Trait-Based Ecology: From Theory to R Tools; Cambridge University Press: Cambridge, UK, 2021. [Google Scholar]
- Legendre, P.; Legendre, L. Numerical Ecology, 2nd ed.; English edition; Elsevier: Amsterdam, The Netherlands, 1998. [Google Scholar]
- de Bello, F.; Lavergne, S.; Meynard, C.N.; Lepš, J.; Thuiller, W. The partitioning of diversity: Showing Theseus a way out of the labyrinth. J. Veg. Sci. 2010, 21, 992–1000. [Google Scholar] [CrossRef]
- Rao, C.R. Diversity: Its measurement, decomposition, apportionment and analysis. Sankhya Ser. A 1982, 44, 1–22. Available online: https://www.jstor.org/stable/25050293 (accessed on 11 January 2024).
- Toro, M.; Robles, S.; Tejero, I.; Prat, N.; Solá, C.; Beltrán, D. Aguas continentales corrientes. Ecosistemas lóticos. In Bases Ecológicas Preliminares para la Conservación de los Tipos de Hábitat de Interés Comunitario en España. Aa.Va.; Dirección General de Medio Natural y Política Forestal, Ministerio de Medio Ambiente, y Medio Rural y Marino: Madrid, Spain, 2009; Available online: https://www.miteco.gob.es/content/dam/miteco/es/biodiversidad/temas/espacios-protegidos/32_tcm30-196771.pdf (accessed on 11 January 2024).
- López-Rodríguez, M.J.; Márquez Muñoz, C.; Ripoll-Martín, E.; Tierno de Figueroa, J.M. Effect of shifts in habitats and flow regime associated to water diversion for agriculture on the macroinvertebrate community of a small watershed. Aquat. Ecol. 2019, 53, 483–495. [Google Scholar] [CrossRef]
- Scotti, A.; Füreder, L.; Marsoner, T.; Tappeiner, U.; Stawinoga, A.E.; Bottarin, R. Effects of land cover type on community structure and functional traits of alpine stream benthic macroinvertebrates. Freshw. Biol. 2020, 65, 524–539. [Google Scholar] [CrossRef]
- Yadamsuren, O.; Chuluunbat, S.; Enkhtaivan, S.; Hayford, B.; Goulden, C. Effects of grazing on taxonomic and functional diversity of benthic macroinvertebrates of six tributary streams of the eastern shore of Lake Hövsgöl, Mongolia. Inland Waters 2022, 12, 526–538. [Google Scholar] [CrossRef]
- Clarke, A.; Mac Nally, R.; Bond, N.; Lake, P.S. Macroinvertebrate diversity in headwater streams: A review. Freshw. Biol. 2008, 53, 1707–1721. [Google Scholar] [CrossRef]
- Shackleton, M.; Holland, A.; Stitz, L.; McInerney, P. Macroinvertebrate responses to conductivity in different bioregions of Victoria, Australia. Environ. Toxicol. Chem. 2019, 38, 1334–1342. [Google Scholar] [CrossRef] [PubMed]
- Bonada, N.; Dolédec, S.; Statzner, B. Taxonomic and biological trait differences of stream macroinvertebrate communities between mediterranean and temperate regions: Implications for future climatic scenarios. Glob. Chang. Biol. 2007, 13, 1658–1671. [Google Scholar] [CrossRef]
- Townsend, C.R.; Hildrew, A.G. Species traits in relation to a habitat templet for river systems. Freshw. Biol. 1994, 31, 265–275. [Google Scholar] [CrossRef]
- Maasri, A.; Bonada, N. 2024. Ecology of Mediterranean freshwater ecosystems. In Identification and Ecology of Freshwater Arthropods in the Mediterranean Basin; Maasri, A., Thorp, J.H., Eds.; Elsevier: Amsterdam, The Netherlands, 2024; pp. 5–16. [Google Scholar]
- García-Ruiz, J.M.; López-Moreno, J.I.; Vicente-Serrano, S.M.; Lasanta–Martínez, T.; Beguería, S. Mediterranean water resources in a global change scenario. Earth-Sci. Rev. 2011, 105, 121–139. [Google Scholar] [CrossRef]
- Alba-Tercedor, J.; Sáinz-Bariáin, M.; Poquet, J.M.; Rodríguez-López, R. Predicting river macroinvertebrate communities distributional shifts under future global change scenarios in the Spanish Mediterranean area. PLoS ONE 2017, 12, e0167904. [Google Scholar] [CrossRef]
- Theodoropoulos, C.; Karaouzas, I. Climate change and the future of Mediterranean freshwater macroinvertebrates: A model-based assessment. Hydrobiologia 2021, 848, 5033–5050. [Google Scholar] [CrossRef]
- Hering, D.; Haidekker, A.; Schmidt-Kloiber, A.; Barker, T.; Buisson, L.; Graf, W.; Grenouillet, G.; Lorenz, A.; Sandin, L.; Stendera, S. Monitoring the responses of freshwater ecosystems to climate change. In Climate Change Impacts on Freshwater Ecosystems; Kernan, M., Battarbee, R., Moss, B., Eds.; Wiley-Blackwell: West Sussex, UK, 2010; pp. 84–118. [Google Scholar]
- Peralta-Maraver, I.; López-Rodríguez, M.J.; Robertson, A.L.; Tierno de Figueroa, J.M. Anthropogenic flow intermittency shapes food-web topology and community delineation in Mediterranean rivers. Int. Rev. Hydrobiol. 2020, 105, 74–84. [Google Scholar] [CrossRef]
- Legras, G.; Loiseau, N.; Gaertner, J.-C. Functional richness: Overview of indices and underlying concepts. Acta Oecolog. 2018, 87, 34–44. [Google Scholar] [CrossRef]
- Cornwell, W.K.; Schwilk, D.W.; Ackerly, D.D. A trait-based test for habitat filtering: Convex hull volume. Ecology 2006, 87, 1465–1471. [Google Scholar] [CrossRef]
- Yachi, S.; Loreau, M. Biodiversity and ecosystem productivity in a fluctuating environment: The insurance. Ecology 1999, 96, 1463–1468. [Google Scholar] [CrossRef] [PubMed]
- Laliberté, E.; Legendre, P. A distance-based framework for measuring functional diversity from multiple traits. Ecology 2010, 91, 299–305. [Google Scholar] [CrossRef] [PubMed]
- Loreau, M. From Populations to Ecosystems: Theoretical Foundations for a New Ecological Synthesis; Princeton University Press: Princeton, NJ, USA, 2010. [Google Scholar]
- Laughlin, D.C. Applying trait-based models to achieve functional targets for theory-driven ecological restoration. Ecol. Lett. 2014, 17, 771–784. [Google Scholar] [CrossRef] [PubMed]









| Biological Trait | Category | Short Code |
|---|---|---|
| Maximal potential size | ≤0.25 cm | V1.1 |
| >0.25–0.5 cm | V1.2 | |
| >0.5–1 cm | V1.3 | |
| >1–2 cm | V1.4 | |
| >2–4 cm | V1.5 | |
| >4–8 cm | V1.6 | |
| >8 cm | V1.7 | |
| Life cycle duration | ≤1 year | V2.1 |
| >1 year | V2.2 | |
| Potential number of cycles per year | <1 | V3.1 |
| 1 | V3.2 | |
| >1 | V3.3 | |
| Aquatic stages | egg | V4.1 |
| larva | V4.2 | |
| nymph | V4.3 | |
| adult | V4.4 | |
| Reproduction | ovoviviparity | V5.1 |
| isolated eggs, free | V5.2 | |
| isolated eggs, cemented | V5.3 | |
| clutches, cemented or fixed | V5.4 | |
| clutches, free | V5.5 | |
| clutches, in vegetation | V5.6 | |
| clutches, terrestrial | V5.7 | |
| asexual reproduction | V5.8 | |
| Dispersal | aquatic passive | V6.1 |
| aquatic active | V6.2 | |
| aerial passive | V6.3 | |
| aerial active | V6.4 | |
| Resistance forms | eggs, statoblasts | V7.1 |
| cocoons | V7.2 | |
| housings against desiccation | V7.3 | |
| diapause or dormancy | V7.4 | |
| none | V7.5 | |
| Respiration | tegument | V8.1 |
| gill | V8.2 | |
| plastron | V8.3 | |
| spiracle | V8.4 | |
| Food | microorganisms | V9.1 |
| detritus < 1 mm | V9.2 | |
| dead plant ≥ 1 mm | V9.3 | |
| living microphytes | V9.4 | |
| living macrophytes | V9.5 | |
| dead animal ≥ 1 mm | V9.6 | |
| living microinvertebrates | V9.7 | |
| living macroinvertebrates | V9.8 | |
| vertebrates | V9.9 | |
| Feeding habits | absorber | V10.1 |
| deposit feeder | V10.2 | |
| shredder | V10.3 | |
| scraper | V10.4 | |
| filter-feeder | V10.5 | |
| piercer | V10.6 | |
| predator | V10.7 | |
| parasite | V10.8 | |
| Temperature | psychrophilic | V11.1 |
| thermophilic | V11.2 | |
| eurythermic | V11.3 | |
| Locomotion and substrate relation | flier | V12.1 |
| surface swimmer | V12.2 | |
| full water swimmer | V12.3 | |
| crawler | V12.4 | |
| burrower | V12.5 | |
| interstitial | V12.6 | |
| temporarily attached | V12.7 | |
| permanently attached | V12.8 | |
| Longitudinal distribution | crenon | V13.1 |
| epirithron | V13.2 | |
| metarithron | V13.3 | |
| hyporithron | V13.4 | |
| epipotamon | V13.5 | |
| metapotamon | V13.6 | |
| estuary | V13.7 | |
| outside river system | V13.8 | |
| Substrate (preferendum) | flags/boulders/cobbles/pebbles | V14.1 |
| gravel | V14.2 | |
| sand | V14.3 | |
| silt | V14.4 | |
| macrophytes | V14.5 | |
| microphytes | V14.6 | |
| twigs/roots | V14.7 | |
| organic detritus/litter | V14.8 | |
| mud | V14.9 | |
| Current velocity (preferendum) | null | V15.1 |
| slow | V15.2 | |
| medium | V15.3 | |
| fast | V15.4 |
Disclaimer/Publisher’s Note: The statements, opinions and data contained in all publications are solely those of the individual author(s) and contributor(s) and not of MDPI and/or the editor(s). MDPI and/or the editor(s) disclaim responsibility for any injury to people or property resulting from any ideas, methods, instructions or products referred to in the content. |
© 2024 by the authors. Licensee MDPI, Basel, Switzerland. This article is an open access article distributed under the terms and conditions of the Creative Commons Attribution (CC BY) license (https://creativecommons.org/licenses/by/4.0/).
Share and Cite
López-Rodríguez, M.J.; Luzón-Ortega, J.M.; Díez Castro, J.; Tierno-Cinque, A.; Tierno de Figueroa, J.M. Functional Diversity of Macroinvertebrate Communities in River Nature Reserves of Spain. Water 2024, 16, 3290. https://doi.org/10.3390/w16223290
López-Rodríguez MJ, Luzón-Ortega JM, Díez Castro J, Tierno-Cinque A, Tierno de Figueroa JM. Functional Diversity of Macroinvertebrate Communities in River Nature Reserves of Spain. Water. 2024; 16(22):3290. https://doi.org/10.3390/w16223290
Chicago/Turabian StyleLópez-Rodríguez, Manuel Jesús, Julio Miguel Luzón-Ortega, Jesús Díez Castro, Alejandra Tierno-Cinque, and José Manuel Tierno de Figueroa. 2024. "Functional Diversity of Macroinvertebrate Communities in River Nature Reserves of Spain" Water 16, no. 22: 3290. https://doi.org/10.3390/w16223290
APA StyleLópez-Rodríguez, M. J., Luzón-Ortega, J. M., Díez Castro, J., Tierno-Cinque, A., & Tierno de Figueroa, J. M. (2024). Functional Diversity of Macroinvertebrate Communities in River Nature Reserves of Spain. Water, 16(22), 3290. https://doi.org/10.3390/w16223290

