Numerical Simulation of the External Water Pressure in Seepage Anisotropy Under Heterogeneous Conditions
Abstract
1. Introduction
2. Research Background and Geological Conditions
2.1. Project Profile
2.2. Geological Conditions
3. Calculation of Seepage
3.1. Analytical Solution
- (1)
- Analytical formula for the seepage volume in the Harr Tunnel
- (2)
- Analytical formula for seepage flow in the Goodman Tunnel
- (3)
- Analytical formula for seepage flow in the Ying Hongwei Tunnel
3.2. Numerical Calculation Method
- (1)
- The tunnel has a circular cross-section.
- (2)
- The water table line is the upper border. The water pressure at the left and right boundaries is set according to the gradient of the groundwater depth change. Also, the model′s bottom is set to an impermeable border. Drainage is accomplished through consistent seepage through the lining.
- (3)
- The soils are all continuous, anisotropic media, the soils and water are incompressible, and there is adequate groundwater recharge in the seepage field.
- (4)
- The amount of tunnel drainage does not affect the groundwater level, i.e., there is a fixed distance between the center of the tunnel and the line that represents the groundwater level.
- (5)
- Isotropic homogeneous continuous media are used for the grout rings, initial support, and secondary lining.
- (6)
- The seepage obeys Darcy′s law and the tunnel is in a steady state of seepage.
3.3. Comparison of Analytical and Numerical Calculations
4. Discussion
4.1. Analytical Formulas
4.2. Calculation Results Analysis
5. Parametric Analysis
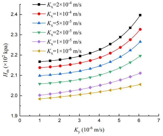
5.1. Horizontal and Vertical Permeability Coefficient of Surrounding Rock
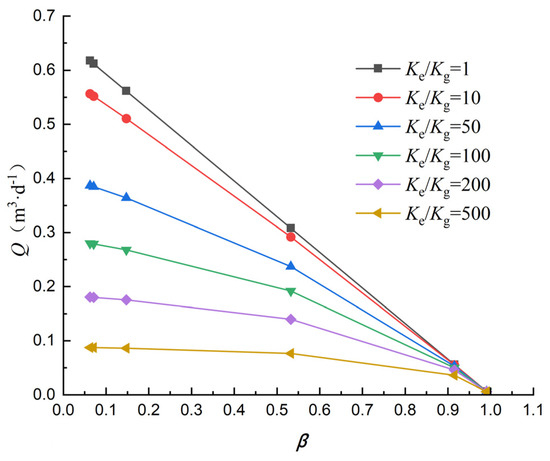
5.2. Grout Ring′s Parameters
5.3. Lining Parameters
5.4. Relationship Between Tunnel Lining Drainage and External Water Pressure Reduction Factor
6. Conclusions
Author Contributions
Funding
Data Availability Statement
Conflicts of Interest
References
- Hu, S.H.; Chen, Y.F.; Liu, W.; Zhou, S. Effect of seepage control on stability of a tailings dam during its staged construction with a stepwise-coupled hydro-mechanical model. Int. J. Min. Reclam. Environ. 2015, 29, 125–140. [Google Scholar] [CrossRef]
- Dong, L.H.; Wang, H.; Song, D.Q.; Chen, J.D.; Liu, C. Analysis of the Catastrophe Mechanism and Treatment Countermeasures of a Sudden Water Inrush Disaster in a Long and Deeply Buried Tunnel in the Karst Area. J. Perform. Constr. Fac. 2023, 37, 06023002. [Google Scholar] [CrossRef]
- Yuan, J.Q.; Chen, W.Z.; Tan, X.J.; Yang, D.S.; Wang, S.Y. Countermeasures of water and mud inrush disaster in completely weathered granite tunnels: A case study. Environ. Earth Sci. 2019, 78, 576. [Google Scholar] [CrossRef]
- Cagri GLi, Y.D.; Yoram, R.; Li, X.J. Stochastic modeling of groundwater drawdown response induced by tunnel drainage. Eng. Geol. 2022, 297, 106529. [Google Scholar]
- Luo, S.; Xu, M.; Kang, X.B.; Li, X.X.; Rao, L.F. Analytical solution of external water pressure on deep tunnel lining in horizontally layered hydrogeological structures. Bull. Eng. Geol. Environ. 2022, 81, 253. [Google Scholar] [CrossRef]
- Su, K.; Yang, F.J.; Nian, F.X.; Zhu, H.Z. Anti-seepage and drainage measures of ultra-deep buried tunnel and distribution law of external water pressure of lining. J. Cent. South Univ. 2024, 55, 222–2235. [Google Scholar]
- Ahmad, S.; Naji, M.A.; Hussain, I.; Rehman, H.; Yoo, H. Ground Saturation Response During First Filling of Lined Pressure Tunnels: A Case Study. Rock Mech. Rock Eng. 2020, 54, 513–535. [Google Scholar] [CrossRef]
- Harr, M.E. Groundwater and Seepage; McGraw-Hill: New York, NY, USA, 1962; pp. 249–255. [Google Scholar]
- Goodman, R.E.; Moye, D.G.; Schalkwyk, A.; Javandel, I. Groundwater in flows during tunnel driving. Eng. Geol. 1965, 2, 39–56. [Google Scholar]
- Kolymbas, D.; Wagner, P. Groundwater ingress to tunnels–The exact analytical solution. Tunn. Undergr. Space Technol. 2006, 22, 23–27. [Google Scholar] [CrossRef]
- Ying, H.W.; Zhu, C.W.; Gong, X.N. Analytic solution on seepage field of underwater tunnel considering grouting circle. J. Zhejiang Univ. 2016, 50, 1018–1023. (In Chinese) [Google Scholar]
- Yu, J.; Zhang, Y.; Li, D.K.; Zheng, J.F.; Zhang, W.J. Analytical study of steady state seepage field in tunnels with localized water leakage under the effect of grouting circle. Tunn. Undergr. Space Tech. 2024, 150, 150105854. [Google Scholar] [CrossRef]
- Duan, S.Q.; Jiang, X.Q.; Jiang, Q.; Xiong, J.C.; Li, C.Y. Theoretical solution and failure analysis of water pressure on lining of deep-buried non-circular hydraulic tunnel based on the equivalent hydraulic radius method. Eng. Fail. Anal. 2023, 148, 107163. [Google Scholar] [CrossRef]
- Zhao, J.P.; Tan, Z.S.; Ma, N. Development and Application of a New Reduction Coefficient of Water Pressure on Sub-Sea Tunnel Lining. Appl. Sci. 2022, 12, 2496. [Google Scholar] [CrossRef]
- Yu, J.; Li, D.K.; Zheng, J.F.; Zhang, Z.H.; He, Z.; Fan, Y. Analytical study on the seepage field of different drainage and pressure relief options for tunnels in high water-rich areas. Tunn. Undergr. Space Tech. 2023, 134, 105018. [Google Scholar] [CrossRef]
- Liu, J.H.; Li, X.J. Analytical solution for estimating groundwater inflow into lined tunnels considering waterproofing and drainage systems. Bull. Eng. Geol. Environ. 2021, 80, 6827–6839. [Google Scholar] [CrossRef]
- Bi, J.F.; Jiang, H. Water infiltration in drained circular tunnels: An analytical solution and its simplification. Géotechnique 2023, in press. [Google Scholar] [CrossRef]
- Wang, X.R.; Liu, X.F.; Wang, E.Y.; Liu, S.X.; Shan, T.C. Microcracking Characterization in Tensile Failure of Hard Coal: An Experimental and Numerical Approach. Rock Mech. Rock Eng. 2024, 57, 6441–6460. [Google Scholar] [CrossRef]
- Hassani, N.A.; Farhadian, H.; Katibeh, H. A comparative study on evaluation of steady-state groundwater inflow into a circular shallow tunnel. Tunn. Undergr. Space Tech. 2018, 73, 15–25. [Google Scholar] [CrossRef]
- Arjnoi, P.; Jeong, J.H.; Kim, C.Y.; Park, K.H. Effect of drainage conditions on porewater pressure distributions and lining stresses in drained tunnels. Tunn. Undergr. Space Tech. 2009, 24, 376–389. [Google Scholar] [CrossRef]
- Zhang, Z.J.; Zeng, C.P.; Li, H.; Gao, Y.; Guo, L.; Li, Y.X.; Liang, H.F.; Zhang, E.Z. Optimal Design of the Seepage Control for Xianglushan Diversion Tunnel Under High External Water Pressure. Geotech. Geol. Eng. 2022, 40, 4595–4615. [Google Scholar] [CrossRef]
- Yu, B.X.; Chen, Z.Q.; Li, Z.; Chen, K.P.; Zhang, H.; He, C. Analysis of water pressure distribution and optimization of waterproof-drainage system for tunnels in water-rich region. Bull. Eng. Geol. Environ. 2024, 83, 137. [Google Scholar] [CrossRef]
- Li, P.F.; Liu, H.C.; Zhao, Y.; Li, Z. A bottom-to-up drainage and water pressure reduction system for railway tunnels. Tunn. Undergr. Space Tech. 2018, 81, 296–305. [Google Scholar] [CrossRef]
- Lv, Y.X.; Jiang, J.; Chen, L.; Hu, W.; Jiang, Y.J. Elaborate simulation and predication of the tunnel drainage effect on karst groundwater field and discharge based on Visual MODFLOW. J. Hydrol. 2022, 612, 128023. [Google Scholar] [CrossRef]
- Park, K.; Owatsiriwong, A.; Lee, J. Analytical solution for steady-state groundwater inflow into a drained circular tunnel in a semi-infinite aquifer: A revisit. Tunn. Undergr. Space Technol. 2007, 23, 206–209. [Google Scholar] [CrossRef]
- Zhang, J.W.; Zeng, X.T.; Tan, Y. Analytical solution for deep pressure tunnels using composite stratum under a groundwater table. Ain Shams Eng. J. 2020, 12, 1419–1434. [Google Scholar]
- Li, L.; Chen, H.H.; Li, J.P.; Sun, D. A semi-analytical solution to steady-state groundwater inflow into a circular tunnel considering anisotropic permeability. Tunn. Undergr. Space Tech. 2021, 116, 104115. [Google Scholar] [CrossRef]
- Yan, Q.X.; Zhang, T.; Zhang, C.; Guo, D.P.; Qing, S.Y. Analytical solution for steady seepage into a circular deep-buried mountain tunnel with grouted zone in anisotropic strata. J. Mt. Sci. 2022, 19, 2987–2998. [Google Scholar] [CrossRef]












| Material | E/GPa | K/(m·s−1) | µ |
|---|---|---|---|
| Heavy silt loam | 5.6 | 1.2 × 10−5 | 0.4 |
| Mudstone | 11.0 | 1 × 10−7 | 0.32 |
| Sandstone | 15.0 | 1 × 10−6 | 0.25 |
| Grouting ring | 20.0 | 2 × 10−7 | 0.3 |
| Secondary lining | 26.5 | 1.5 × 10−9 | 0.2 |
Disclaimer/Publisher’s Note: The statements, opinions and data contained in all publications are solely those of the individual author(s) and contributor(s) and not of MDPI and/or the editor(s). MDPI and/or the editor(s) disclaim responsibility for any injury to people or property resulting from any ideas, methods, instructions or products referred to in the content. |
© 2024 by the authors. Licensee MDPI, Basel, Switzerland. This article is an open access article distributed under the terms and conditions of the Creative Commons Attribution (CC BY) license (https://creativecommons.org/licenses/by/4.0/).
Share and Cite
Shen, J.; Ma, H.; Du, H.; Xin, Y.; Liu, H.; Ma, W. Numerical Simulation of the External Water Pressure in Seepage Anisotropy Under Heterogeneous Conditions. Water 2024, 16, 3173. https://doi.org/10.3390/w16223173
Shen J, Ma H, Du H, Xin Y, Liu H, Ma W. Numerical Simulation of the External Water Pressure in Seepage Anisotropy Under Heterogeneous Conditions. Water. 2024; 16(22):3173. https://doi.org/10.3390/w16223173
Chicago/Turabian StyleShen, Jixian, Hongbin Ma, Hengheng Du, Yawen Xin, Haining Liu, and Wenjia Ma. 2024. "Numerical Simulation of the External Water Pressure in Seepage Anisotropy Under Heterogeneous Conditions" Water 16, no. 22: 3173. https://doi.org/10.3390/w16223173
APA StyleShen, J., Ma, H., Du, H., Xin, Y., Liu, H., & Ma, W. (2024). Numerical Simulation of the External Water Pressure in Seepage Anisotropy Under Heterogeneous Conditions. Water, 16(22), 3173. https://doi.org/10.3390/w16223173

