Pervasive Microplastic Ingestion by Commercial Fish Species from a Natural Lagoon Environment
Abstract
1. Introduction
2. Materials and Methods
2.1. Study Area
Fish Species of the Negombo Lagoon
2.2. Fish Sampling
2.3. Sample Processing
2.4. Observation and Identification of Microplastics
2.5. Data Analysis
2.6. Assessment of Potential Risks from Microplastics
3. Results
3.1. Background Contamination
3.2. Abundance of Microplastics Ingested by Fish
3.3. Characterization of Microplastics (Size, Colour and Morphology) in Fish GIT
3.4. Abundance of Microplastics Inhaled by Fish
3.5. Characteristics of Microplastics (Size, Colour and Morphology) in the Fish Gill
3.6. Polymer Composition
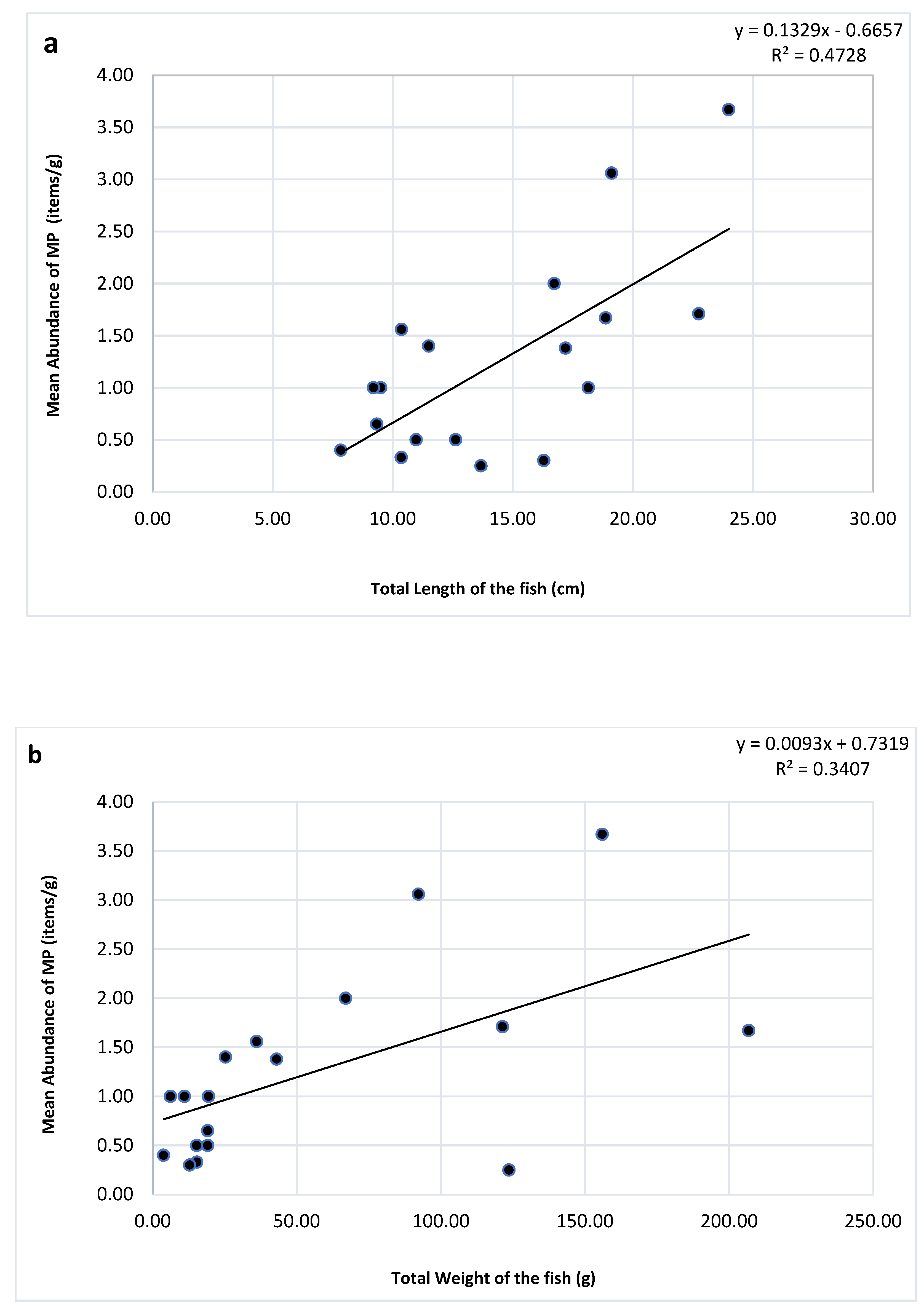
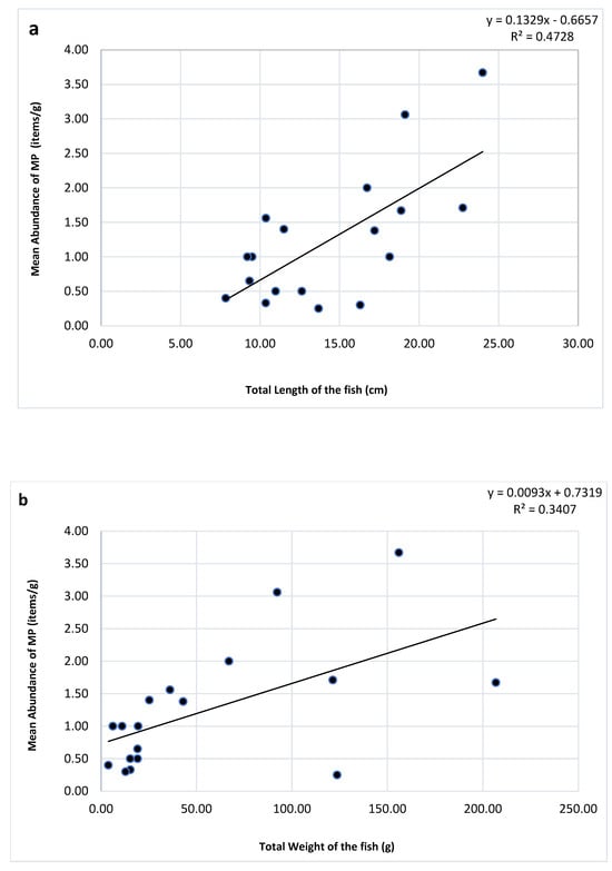
3.7. Factors Affecting MP Ingestion in Fish Species: Total Length of the Fish, Total Weight and MP Abundance
3.8. Potential Risks of the Polymers of Microplastics
4. Discussion
4.1. Factors Affecting MPs Ingestion in Fish Species: MP Abundance and Feeding Habits
4.2. Potential Risks of the Polymers of Microplastics
4.3. Ecological Impacts
5. Conclusions
Author Contributions
Funding
Data Availability Statement
Acknowledgments
Conflicts of Interest
References
- Statista. Plastic Production Forecast Worldwide 2025–2050. Available online: https://www.statista.com/statistics/664906/plastics-production-volume-forecast-worldwide/ (accessed on 10 January 2024).
- Ayeleru, O.O.; Dlova, S.; Akinribide, O.J.; Ntuli, F.; Kupolati, W.K.; Marina, P.F.; Blencowe, A.; Olubambi, P.A. Challenges of plastic waste generation and management in sub-Saharan Africa: A review. Waste Manag. 2020, 110, 24–42. [Google Scholar] [CrossRef] [PubMed]
- Plastics Europe. Plastics—The Fast Facts 2023. Available online: https://plasticseurope.org/knowledge-hub/plastics-the-fast-facts-2023/ (accessed on 19 October 2023).
- Eriksen, M.; Lebreton, L.C.M.; Carson, H.S.; Thiel, M.; Moore, C.J.; Borerro, J.C.; Galgani, F.; Ryan, P.G.; Reisser, J. Plastic Pollution in the World’s Oceans: More than 5 trillion Plastic Pieces Weighing over 250,000 Tons Afloat at Sea. PLoS ONE 2014, 9, e111913. [Google Scholar] [CrossRef] [PubMed]
- Gregory, M.R. Environmental implications of plastic debris in marine settings—Entanglement, ingestion, smothering, hangers-on, hitch-hiking and alien invasions. Philosophical Transactions—Royal Society. Biol. Sci. 2009, 364, 2013–2025. [Google Scholar] [CrossRef]
- Thompson, R.C.; Olsen, Y.; Mitchell, R.P.; Davis, A.; Rowland, S.J.; John, A.W.G.; McGonigle, D.; Russell, A.E. Lost at sea: Where is all the plastic? Science 2004, 304, 838. [Google Scholar] [CrossRef] [PubMed]
- Frias, J.; Pagter, E.; Nash, R.; O’Connor, I.; Carretero, O.; Filgueiras, A.; Viñas, L.; Gago, J.; Antunes, J.; Bessa, F.; et al. Standardised Protocol for Monitoring Microplastics in Sediments. Deliverable 4.2; JPI-Oceans BASEMAN: Brussels, Belgium, 2018. [Google Scholar] [CrossRef]
- GESAMP. Sources, Fate & Effects of Microplastics in the Marine Environment—A Global Assessment; International Maritime Organization: London, UK, 2015. [Google Scholar]
- Wang, L.; Wu, W.; Bolan, N.S.; Tsang, D.C.; Li, Y.; Qin, M.; Hou, D. Environmental fate, toxicity and risk management strategies of nanoplastics in the environment: Current status and future perspectives. J. Hazard. Mater. 2021, 401, 123415. [Google Scholar] [CrossRef]
- Lechthaler, S.; Schwarzbauer, J.; Reicherter, K.; Stauch, G.; Schüttrumpf, H. Regional study of microplastics in surface waters and deep-sea sediments south of the Algarve Coast. Reg. Stud. Mar. Sci. 2020, 40, 101488. [Google Scholar] [CrossRef]
- Ikenoue, T.; Nakajima, R.; Fujiwara, A.; Onodera, J.; Itoh, M.; Toyoshima, J.; Watanabe, E.; Murata, A.; Nishino, S.; Kikuchi, T. Horizontal distribution of surface microplastic concentrations and water-column microplastic inventories in the Chukchi Sea, western Arctic Ocean. Sci. Total Environ. 2023, 855, 159564. [Google Scholar] [CrossRef]
- Pan, Z.; Liu, Q.; Sun, X.; Li, W.; Zou, Q.; Cai, S.; Lin, H. Widespread occurrence of microplastic pollution in open sea surface waters: Evidence from the mid-North Pacific Ocean. Gondwana Res. 2022, 108, 31–40. [Google Scholar] [CrossRef]
- Cincinelli, A.; Martellini, T.; Guerranti, C.; Scopetani, C.; Chelazzi, D.; Giarrizzo, T. A potpourri of microplastics in the sea surface and water column of the Mediterranean Sea. TrAC. Trends Anal. Chem. 2019, 110, 321–326. [Google Scholar] [CrossRef]
- Rathnayaka, V.L.; Amarathunga, A.A.D.; Jayasiri, H.B.; Liyanage, H.D. Microplastics Contamination in Selected Beaches of Sri Lanka; The Ocean University of Sri Lanka: Colombo, Sri Lanka, 2019; 34p. [Google Scholar]
- Kim, S.; Kim, J.; Kim, S.; Song, N.; La, H.S.; Yang, E.J. Arctic Ocean sediments as important current and future sinks for marine microplastics missing in the global microplastic budget. Sci. Adv. 2023, 9, eadd2348. [Google Scholar] [CrossRef]
- Peeken, I.; Primpke, S.; Beyer, B.; Gütermann, J.; Katlein, C.; Krumpen, T.; Bergmann, M.; Hehemann, L.; Gerdts, G. Arctic sea ice is an important temporal sink and means of transport for microplastic. Nat. Commun. 2018, 9, 1505. [Google Scholar] [CrossRef] [PubMed]
- Rota, E.; Bergami, E.; Corsi, I.; Bargagli, R. Macro- and microplastics in the Antarctic environment: Ongoing assessment and perspectives. Environments 2022, 9, 93. [Google Scholar] [CrossRef]
- Kühn, S.; Van Franeker, J.A. Quantitative overview of marine debris ingested by marine megafauna. Mar. Pollut. Bull. 2020, 151, 110858. [Google Scholar] [CrossRef] [PubMed]
- Cole, M.; Lindeque, P.; Halsband, C.; Galloway, T.S. Microplastics as contaminants in the marine environment: A review. Mar. Pollut. Bull. 2011, 62, 2588–2597. [Google Scholar] [CrossRef]
- Lusher, A.L.; Welden, N.A.; Sobral, P.; Cole, M. Sampling, isolating and identifying microplastics ingested by fish and invertebrates. Anal. Methods 2017, 9, 1346–1360. [Google Scholar] [CrossRef]
- Rochman, C.M.; Tahir, A.; Williams, S.L.; Baxa, D.V.; Lam, R.; Miller, J.T.; Teh, F.; Werorilangi, S.; Teh, S.J. Anthropogenic debris in seafood: Plastic debris and filaments from textiles in fish and bivalves sold for human consumption. Sci. Rep. 2015, 5, 1–10. [Google Scholar] [CrossRef] [PubMed]
- Terepocki, A.K.; Brush, A.T.; Kleine, L.U.; Shugart, G.W.; Hodum, P. Size and dynamics of microplastic in gastrointestinal tracts of Northern Fulmars (Fulmarus glacialis) and Sooty Shearwaters (Ardenna grisea). Mar. Pollut. Bull. 2017, 116, 143–150. [Google Scholar] [CrossRef]
- Fossi, M.C.; Marsili, L.; Baini, M.; Giannetti, M.; Coppola, D.; Guerranti, C.; Caliani, I.; Minutoli, R.; Lauriano, G.; Finoia, M.G.; et al. Fin whales and microplastics: The Mediterranean Sea and the Sea of Cortez scenarios. Environ. Pollut. 2016, 209, 68–78. [Google Scholar] [CrossRef]
- Cole, M.; Liddle, C.; Consolandi, G.; Drago, C.; Hird, C.; Lindeque, P.K.; Galloway, T.S. Microplastics, microfilaments and nanoplastics cause variable sub-lethal responses in mussels (Mytilus spp.). Mar. Pollut. Bull. 2020, 160, 111552. [Google Scholar] [CrossRef]
- Setälä, O.; Fleming-Lehtinen, V.; Lehtiniemi, M. Ingestion and transfer of microplastics in the planktonic food web. Environ. Pollut. 2014, 185, 77–83. [Google Scholar] [CrossRef]
- De Sá, L.C.; Luís, L.G.; Guilhermino, L. Effects of microplastics on juveniles of the common goby (Pomatoschistus microps): Confusion with prey, reduction of the predatory performance and efficiency, and possible influence of developmental conditions. Environ. Pollut. 2015, 196, 359–362. [Google Scholar] [CrossRef] [PubMed]
- Saikumar, S.; Mani, R.; Ganesan, M.; Dhinakarasamy, I.; Palanisami, T.; Gopal, D. Trophic transfer and their impact of microplastics on estuarine food chain model. J. Hazard. Mater. 2024, 464, 132927. [Google Scholar] [CrossRef] [PubMed]
- Wright, S.L.; Thompson, R.C.; Galloway, T.S. The physical impacts of microplastics on marine organisms: A review. Environ. Pollut. 2013, 178, 483–492. [Google Scholar] [CrossRef]
- Amarathunga, A.A.D.; Kazama, F. Photodegradation of chlorpyrifos with humic acid-bound suspended matter. J. Hazard. Mater. 2014, 280, 671–677. [Google Scholar] [CrossRef] [PubMed]
- Hermabessiere, L.; Dehaut, A.; Paul-Pont, I.; Lacroix, C.; Jezequel, R.; Soudant, P.; Duflos, G. Occurrence and effects of plastic additives on marine environments and organisms: A review. Chemosphere 2017, 182, 781–793. [Google Scholar] [CrossRef]
- Menéndez-Pedriza, A.; Jaumot, J. Interaction of Environmental Pollutants with Microplastics: A Critical Review of Sorption Factors, Bioaccumulation and Ecotoxicological Effects. Toxics 2020, 8, 40. [Google Scholar] [CrossRef]
- Bakir, A.; Rowland, S.J.; Thompson, R.C. Transport of persistent organic pollutants by microplastics in estuarine conditions. Estuar. Coast. Shelf Sci. 2014, 140, 14–21. [Google Scholar] [CrossRef]
- Browne, M.A.; Niven, S.J.; Galloway, T.S.; Rowland, S.J.; Thompson, R.C. Microplastic moves pollutants and additives to worms, reducing functions linked to health and biodiversity. CB/Curr. Biol. 2013, 23, 2388–2392. [Google Scholar] [CrossRef]
- Ferreira, P.; Fonte, E.; Soares, M.E.; Carvalho, F.; Guilhermino, L. Effects of multi-stressors on juveniles of the marine fish Pomatoschistus microps:Gold nanoparticles, microplastics and temperature. Aquat. Toxicol. 2016, 170, 89–103. [Google Scholar] [CrossRef]
- Ribeiro, F.; O’Brien, J.W.; Galloway, T.; Thomas, K.V. Accumulation and fate of nano- and micro-plastics and associated contaminants in organisms. TrAC. Trends Anal. Chem. 2019, 111, 139–147. [Google Scholar] [CrossRef]
- Dehaut, A.; Cassone, A.; Frère, L.; Hermabessiere, L.; Himber, C.; Rinnert, E.; Rivière, G.; Lambert, C.; Soudant, P.; Huvet, A.; et al. Microplastics in seafood: Benchmark protocol for their extraction and characterization. Environ. Pollut. 2016, 215, 223–233. [Google Scholar] [CrossRef]
- Alomar, C.; Sureda, A.; Capó, X.; Guijarro, B.; Tejada, S.; Deudero, S. Microplastic ingestion by Mullus surmuletus Linnaeus, 1758 fish and its potential for causing oxidative stress. Environ. Res. 2017, 159, 135–142. [Google Scholar] [CrossRef]
- Foekema, E.M.; De Gruijter, C.; Mergia, M.T.; Van Franeker, J.A.; Murk, A.J.; Koelmans, A.A. Plastic in North Sea fish. Environ. Sci. Technol. 2013, 47, 8818–8824. [Google Scholar] [CrossRef] [PubMed]
- Neves, D.; Sobral, P.; Ferreira, J.L.; Pereira, T. Ingestion of microplastics by commercial fish off the Portuguese coast. Mar. Pollut. Bull. 2015, 101, 119–126. [Google Scholar] [CrossRef] [PubMed]
- Bellas, J.; Martínez-Armental, J.; Martínez-Cámara, A.; Besada, V.; Martínez-Gómez, C. Ingestion of microplastics by demersal fish from the Spanish Atlantic and Mediterranean coasts. Mar. Pollut. Bull. 2016, 109, 55–60. [Google Scholar] [CrossRef] [PubMed]
- Boerger, C.M.; Lattin, G.L.; Moore, S.L.; Moore, C.J. Plastic ingestion by planktivorous fishes in the North Pacific Central Gyre. Mar. Pollut. Bull. 2010, 60, 2275–2278. [Google Scholar] [CrossRef]
- Possatto, F.E.; Barletta, M.; Costa, M.F.; Sul, J.I.D.; Dantas, D.V. Plastic debris ingestion by marine catfish: An unexpected fisheries impact. Mar. Pollut. Bull. 2011, 62, 1098–1102. [Google Scholar] [CrossRef]
- Vendel, A.; Bessa, F.; Alves, V.; Amorim, A.; Patrício, J.; Palma, A. Widespread microplastic ingestion by fish assemblages in tropical estuaries subjected to anthropogenic pressures. Mar. Pollut. Bull. 2017, 117, 448–455. [Google Scholar] [CrossRef]
- Collard, F.; Gasperi, J.; Gabrielsen, G.W.; Tassin, B. Plastic particle ingestion by wild freshwater fish: A critical review. Environ. Sci. Technol. 2019, 53, 12974–12988. [Google Scholar] [CrossRef]
- Vorobiev, D.S.; Frank, Y.A.; Rakhmatullina, S.N.; Vorobiev, E.D.; Poskrebysheva, Y.R.; Oladele, O.; Trifonov, A.A. Microplastic ingestion by fish with different feeding habits in the Ob and Yenisei Rivers. Tomsk. State Univ. J. Biol. 2024, 66, 252–266. [Google Scholar] [CrossRef]
- Coyle, R.; Hardiman, G.; Driscoll, K.O. Microplastics in the marine environment: A review of their sources, distribution processes, uptake and exchange in ecosystems. Case Stud. Chem. Environ. Eng. 2020, 2, 100010. [Google Scholar] [CrossRef]
- Alberghini, L.; Truant, A.; Santonicola, S.; Colavita, G.; Giaccone, V. Microplastics in fish and Fishery products and Risks for Human Health: A review. Int. J. Environ. Res. Public Health 2022, 20, 789. [Google Scholar] [CrossRef] [PubMed]
- Horton, A.A.; Walton, A.; Spurgeon, D.J.; Lahive, E.; Svendsen, C. Microplastics in freshwater and terrestrial environments: Evaluating the current understanding to identify the knowledge gaps and future research priorities. Sci. Total Environ. 2017, 586, 127–141. [Google Scholar] [CrossRef] [PubMed]
- Amarathunga, A.A.D.; Kazama, F. Impact of Farmer Perceptions and Land Use Pattern on Pesticide Loading into Upper Kotmale Sub-watershed of Mahaweli River Basin in Sri Lanka. Asian J. Water Environ. Pollut. 2017, 14, 43–59. [Google Scholar] [CrossRef]
- Costanza, R.; D’Arge, R.; De Groot, R.; Farber, S.; Grasso, M.; Hannon, B.; Limburg, K.; Naeem, S.; O’Neill, R.V.; Paruelo, J.; et al. The value of the world’s ecosystem services and natural capital. Nature 1997, 387, 253–260. [Google Scholar] [CrossRef]
- Suwandhahannadi, W.; Amarathunga, A.; Dahanayaka, D. Temporal Variation of Physico-Chemical Parameters and Primary Productivity in Malala Lagoon, Sri Lanka, 2020. Available online: https://www.researchgate.net/publication/350121904_Temporal_variation_of_physico-chemical_parameters_and_primary_productivity_in_Malala_Lagoon_Sri_Lanka (accessed on 25 June 2024).
- Madusanka, M.; Amarathunga, D.; Aruna Kumara, K. Nutrients Dynamics in the Water and Sediment and Its Impact to Planktonic Species Diversity in Ratgama; Ocean University of Sri Lanka: Colombo, Sri Lanka, 2020. [Google Scholar]
- Rodrigues-Filho, J.L.; Macêdo, R.L.; Sarmento, H.; Pimenta, V.R.A.; Alonso, C.; Teixeira, C.R.; Pagliosa, P.R.; Netto, S.A.; Santos, N.C.L.; Daura-Jorge, F.G.; et al. From ecological functions to ecosystem services: Linking coastal lagoons biodiversity with human well-being. Hydrobiologia 2023, 850, 2611–2653. [Google Scholar] [CrossRef]
- Martinho, F.; Viegas, I.; Dolbeth, M.; Leitão, R.; Cabral, H.; Pardal, M. Assessing estuarine environmental quality using fish-based indices: Performance evaluation under climatic instability. Mar. Pollut. Bull. 2008, 56, 1834–1843. [Google Scholar] [CrossRef]
- Garcés-Ordóñez, O.; Saldarriaga-Vélez, J.F.; Espinosa-Díaz, L.F.; Canals, M.; Sánchez-Vidal, A.; Thiel, M. A systematic review on microplastic pollution in water, sediments, and organisms from 50 coastal lagoons across the globe. Environ. Pollut. 2022, 315, 120366. [Google Scholar] [CrossRef]
- Pérez-Ruzafa, A.; Pérez-Ruzafa, I.M.; Newton, A.; Marcos, C. Coastal lagoons: Environmental variability, ecosystem complexity, and goods and services uniformity. In Coasts and Estuaries; Elsevier: Amsterdam, The Netherlands, 2019; pp. 253–276. [Google Scholar] [CrossRef]
- Bottari, T.; Houssa, R.; Brundo, M.V.; Mghili, B.; Maaghloud, H.; Mancuso, M. Plastic litter colonization in a brackish water environment. Sci. Total Environ. 2024, 912, 169177. [Google Scholar] [CrossRef]
- Athukorala, A.; Amarathunga, A.A.D.; De Silva, D.S.M.; Bakir, A.; McGoran, A.; Sivyer, D.; De Silva, R.C.L. Microplastics in Lagoon Ecosystems: A review on occurrence and methods for microplastic detection. Biol. Environ. 2023, 123, 121–135. [Google Scholar] [CrossRef]
- Amarathunga, A.A.D.; Sureshkumar, N. An assessment of the water quality in major streams of the Madu Ganga catchment and pollution loads draining into the Madu Ganga from its own catchment. J. Natl. Aquat. Resour. Res. Dev. Agency 2013, 42, 1–23. [Google Scholar]
- Wakkaf, T.; Zrelli, R.E.; Kedzierski, M.; Balti, R.; Shaiek, M.; Mansour, L.; Tlig-Zouari, S.; Bruzaud, S.; Rabaoui, L. Characterization of microplastics in the surface waters of an urban lagoon (Bizerte lagoon, Southern Mediterranean Sea): Composition, density, distribution, and influence of environmental factors. Mar. Pollut. Bull. 2020, 160, 111625. [Google Scholar] [CrossRef]
- Quesadas-Rojas, M.; Enriquez, C.; Valle-Levinson, A. Natural and anthropogenic effects on microplastic distribution in a hypersaline lagoon. Sci. Total Environ. 2021, 776, 145803. [Google Scholar] [CrossRef]
- Vianello, A.; Boldrin, A.; Guerriero, P.; Moschino, V.; Rella, R.; Sturaro, A.; Da Ros, L. Microplastic particles in sediments of Lagoon of Venice, Italy: First observations on occurrence, spatial patterns and identification. Estuar. Coast. Shelf Sci. 2013, 130, 54–61. [Google Scholar] [CrossRef]
- Espinosa-Díaz, L.F.; Zapata-Rey, Y.; Ibarra-Gutierrez, K.; Bernal, C.A. Spatial and temporal changes of dissolved oxygen in waters of the Pajarales complex, Ciénaga Grande de Santa Marta: Two decades of monitoring. Sci. Total Environ. 2021, 785, 147203. [Google Scholar] [CrossRef]
- Joseph, L. Fisheries and Environmental Profile of Negombo Lagoon: A Literature Review. 2011. Available online: https://openknowledge.fao.org/server/api/core/bitstreams/4ece3377-c699-4d71-a5ac-c4d21c7e1e84/content (accessed on 14 January 2024).
- Silva, E.I.L.; Katupotha, J.; Amarasinghe, O.; Manthrithilake, H.; Ariyaratna, R. Lagoons of Sri Lanka: From the Origins to the Present; International Water Management Institute (IWMI): Colombo, Sri Lanka, 2013. [Google Scholar] [CrossRef]
- Sewwandi, M.; Perera, K.I.; Reddy, C.M.; James, B.D.; Amarathunga, A.A.D.; Wijerathna, I.H.K.; Vithanage, M. Plastics, Nurdles, and Pyrogenic Microplastics in the Coastal Marine Environment; CRC Press: Boca Raton, FL, USA, 2023; pp. 134–154. [Google Scholar] [CrossRef]
- Sewwandi, M.; Hettithanthri, O.; Egodage, S.M.; Amarathunga, A.A.D.; Vithanage, M. Unprecedented marine microplastic contamination from the X-Press Pearl container vessel disaster. Sci. Total Environ. 2022, 828, 154374. [Google Scholar] [CrossRef]
- Athukorala, A.; Amarathunga, A.A.D.; De Silva, D.S.M.; Bakir, A.; McGoran, A.; Sivyer, D.B. Occurrence and abundance of microplastics in surface waters and sediment from the Negombo Lagoon, Sri Lanka. In Proceedings of the 16th International Conference on the Environmental Effects of Nanoparticles and Nanomaterials, Plymouth, UK, 5–8 September 2023; p. 32. [Google Scholar]
- Kanishka, W.; De Silva, D.S.M.; Amarathunga, A.A.D.; Sivyer, D.B. Microplastic contaminations in mangrove ecosystem in Negombo Lagoon, Sri Lanka. In Proceedings of the 16th International Conference on the Environmental Effects of Nanoparticles and Nanomaterials, Plymouth, UK, 5–8 September 2023; p. 31. [Google Scholar]
- Lawan, P.L.M.J.H.; De Silva, D.S.M.; Amarathunga, A.a.D.; McGoran, A.; Bakir, A.; Sivyer, D.B.; Reeve, C. Microplastic Contamination in Shrimps from the Negombo Lagoon—Sri Lanka. Water 2024, 16, 447. [Google Scholar] [CrossRef]
- Dias, B.C.G.; Amarathunga, A.A.D.; De Silva, D.S.M.; Sivyer, D.B.; Maddumage, M.D.S.R. Abundance and Microplastic Characterization Found in the Mud Crab Scylla Serrata Inhabiting Negombo Lagoon, Sri Lanka. 2023. Available online: http://repository.kln.ac.lk/handle/123456789/26854 (accessed on 14 January 2024).
- Rathnayake, L.; Amarathunga, A.A.D.; De Silva, D.S.M.; Sivyer, D.B. Accumulation of Microplastics in Macrophytes of Negombo lagoon, Sri Lanka. In Proceedings of the 16th International Conference on the Environmental Effects of Nanoparticles and Nanomaterials, Plymouth, UK, 5–8 September 2023; p. 48. [Google Scholar]
- Dahanayaka, D.; Tonooka, H.; Wijeyaratne, M.; Minato, A.; Ozawa, S. Monitoring Land Use Changes and their Impacts on the Productivity of Negombo Estuary, Sri Lanka Using Time Series Satellite Data. Asian Fish. Sci. 2012, 25, 97–212. [Google Scholar] [CrossRef]
- Hsieh, H.; Chuang, M.; Shih, Y.; Weerakkody, W.S.; Huang, W.; Hung, C.; Muller, F.L.L.; Ranatunga, R.R.M.K.P.; Wijethunga, D.S. Eutrophication and hypoxia in tropical Negombo Lagoon, Sri Lanka. Front. Mar. Sci. 2021, 8, 678832. [Google Scholar] [CrossRef]
- De Silva, S.S.; De Silva, C.D. Coastal lagoons. In Monographiae Biologicae; Springer: Berlin/Heidelberg, Germany, 1984; pp. 297–320. [Google Scholar] [CrossRef]
- Chandrasekara, C.M.K.N.K.; Weerasinghe, K.D.N.; Pathirana, S.; Piyadasa, R.U.K. Mangrove diversity across salinity gradient in Negombo Estuary-Sri Lanka. In Advances in Geographical and Environmental Sciences; Springer: Berlin/Heidelberg, Germany, 2016; pp. 287–304. [Google Scholar] [CrossRef]
- IUCN Sri Lanka. Wetland Conservation in Sri Lanka. In Proceedings of the National Symposium on Wetland Conservation and Management, Colombo, Sri Lanka, 19–20 June 2003. [Google Scholar]
- Jayasiri, H.B.; Haputhanthri, S.S.K. Ecologically or Biologically Significant Marine Areas: Negombo Lagoon, Sri Lanka. In Proceedings of the CBD Regional Workshop to Facilitate the Description for Ecologically or Biologically Significant Marine Areas in the North-East Indian Ocean Region, and Training Session on EBSAs, Colombo, Sri Lanka, 22–27 March 2015. [Google Scholar]
- Wijeyaratne, M.J.S.; Perera, W.M.D.S.K. Present status of the Seine Fishery in Negombo Lagoon of Sri Lanka. Vidyodaya J. Sci. 1992, 4, 117. [Google Scholar] [CrossRef]
- Macintosh, D.J. Chapter 14 Aquaculture. In Coastal Lagoons; Elsevier: Amsterdam, The Netherlands, 1994; pp. 401–442. [Google Scholar] [CrossRef]
- Mahrad, B.E.; Newton, A.; Murray, N. Coastal lagoons: Important ecosystems. Front. Young Minds 2022, 10, 637578. [Google Scholar] [CrossRef]
- Rainboth, W. Inland fishes of India and adjacent countries. In Reviews in Fish Biology and Fisheries; Springer: Berlin/Heidelberg, Germany, 1994; pp. 135–136. [Google Scholar] [CrossRef]
- Froese, R.; Demirel, N.; Coro, G.; Kleisner, K.M.; Winker, H. Estimating fisheries reference points from catch and resilience. Fish Fish. 2016, 18, 506–526. [Google Scholar] [CrossRef]
- Bakir, A.; Van Der Lingen, C.D.; Preston-Whyte, F.; Bali, A.; Geja, Y.; Barry, J.; Mdazuka, Y.; Mooi, G.; Doran, D.; Tooley, F.; et al. Microplastics in commercially important small pelagic fish species from South Africa. Front. Mar. Sci. 2020, 7, 574663. [Google Scholar] [CrossRef]
- Bakir, A.; Desender, M.; Wilkinson, T.; Van Hoytema, N.; Amos, R.; Airahui, S.; Graham, J.; Maes, T. Occurrence and abundance of meso and microplastics in sediment, surface waters, and marine biota from the South Pacific region. Mar. Pollut. Bull. 2020, 160, 111572. [Google Scholar] [CrossRef]
- Bakir, A.; McGoran, A.R.; Silburn, B.; Russell, J.; Nel, H.; Lusher, A.L.; Amos, R.; Shadrack, R.S.; Arnold, S.J.; Castillo, C.; et al. Creation of an international laboratory network towards global microplastics monitoring harmonisation. Sci. Rep. 2024, 14, 12714. [Google Scholar] [CrossRef]
- Pan, Z.; Zhang, C.; Wang, S.; Sun, D.; Zhou, A.; Xie, S.; Xu, G.; Zou, J. Occurrence of Microplastics in the Gastrointestinal Tract and Gills of Fish from Guangdong, South China. J. Mar. Sci. Eng. 2021, 9, 981. [Google Scholar] [CrossRef]
- Galgani, L.; Tsapakis, M.; Pitta, P.; Tsiola, A.; Tzempelikou, E.; Kalantzi, I.; Esposito, C.; Loiselle, A.; Tsotskou, A.; Zivanovic, S.; et al. Microplastics increase the marine production of particulate forms of organic matter. Environ. Res. Lett. 2019, 14, 124085. [Google Scholar] [CrossRef]
- Leistenschneider, C.; Burkhardt-Holm, P.; Mani, T.; Primpke, S.; Taubner, H.; Gerdts, G. Microplastics in the Weddell Sea (Antarctica): A Forensic Approach for Discrimination between Environmental and Vessel-Induced Microplastics. Environ. Sci. Technol. 2021, 55, 15900–15911. [Google Scholar] [CrossRef]
- Biswas, A.; Kanon, K.F.; Rahman, M.A.; Alam, M.S.; Ghosh, S.; Farid, M.A. Assessment of human health hazard associated with heavy metal accumulation in popular freshwater, coastal and marine fishes from south-west region, Bangladesh. Heliyon 2023, 9, e20514. [Google Scholar] [CrossRef]
- Nithin, A.; Sundaramanickam, A.; Iswarya, P.; Babu, O.G. Hazard index of microplastics contamination in various fishes collected off Parangipettai, Southeast coast of India. Chemosphere 2022, 307, 136037. [Google Scholar] [CrossRef]
- Azad, S.M.O.; Towatana, P.; Pradit, S.; Patricia, B.G.; Hue, H.T.T.; Jualaong, S. First evidence of existence of microplastics in stomach of some commercial fishes in the lower gulf of thailand. Appl. Ecol. Environ. Res. 2018, 16, 7345–7360. [Google Scholar] [CrossRef]
- Zhang, D.; Cui, Y.; Zhou, H.; Jin, C.; Yu, X.; Xu, Y.; Li, Y.; Zhang, C. Microplastic pollution in water, sediment, and fish from artificial reefs around the Ma’an Archipelago, Shengsi, China. Sci. Total Environ. 2020, 703, 134768. [Google Scholar] [CrossRef] [PubMed]
- Hossain, M.S.; Sobhan, F.; Uddin, M.N.; Sharifuzzaman, S.; Chowdhury, S.R.; Sarker, S.; Chowdhury, M.S.N. Microplastics in fishes from the Northern Bay of Bengal. Sci. Total Environ. 2019, 690, 821–830. [Google Scholar] [CrossRef] [PubMed]
- Jabeen, K.; Su, L.; Li, J.; Yang, D.; Tong, C.; Mu, J.; Shi, H. Microplastics and mesoplastics in fish from coastal and fresh waters of China. Environ. Pollut. 2017, 221, 141–149. [Google Scholar] [CrossRef]
- McNeish, R.E.; Kim, L.H.; Barrett, H.A.; Mason, S.A.; Kelly, J.J.; Hoellein, T.J. Microplastic in riverine fish is connected to species traits. Sci. Rep. 2018, 8, 11639. [Google Scholar] [CrossRef] [PubMed]
- Tanaka, K.; Takada, H. Microplastic fragments and microbeads in digestive tracts of planktivorous fish from urban coastal waters. Sci. Rep. 2016, 6, srep34351. [Google Scholar] [CrossRef]
- Lusher, A.L.; Burke, A.; O’Connor, I.; Officer, R. Microplastic pollution in the Northeast Atlantic Ocean: Validated and opportunistic sampling. Mar. Pollut. Bull. 2014, 88, 325–333. [Google Scholar] [CrossRef]
- Woodall, L.C.; Gwinnett, C.; Packer, M.; Thompson, R.C.; Robinson, L.F.; Paterson, G.L. Using a forensic science approach to minimize environmental contamination and to identify microfibres in marine sediments. Mar. Pollut. Bull. 2015, 95, 40–46. [Google Scholar] [CrossRef]
- Lusher, A.; McHugh, M.; Thompson, R. Occurrence of microplastics in the gastrointestinal tract of pelagic and demersal fish from the English Channel. Mar. Pollut. Bull. 2013, 67, 94–99. [Google Scholar] [CrossRef]
- Lim, K.P.; Lim, P.E.; Yusoff, S.; Sun, C.; Ding, J.; Loh, K.H. A Meta-Analysis of the characterisations of plastic ingested by fish globally. Toxics 2022, 10, 186. [Google Scholar] [CrossRef]
- Cole, M.; Lindeque, P.; Fileman, E.; Halsband, C.; Goodhead, R.; Moger, J.; Galloway, T.S. Microplastic Ingestion by Zooplankton. Environ. Sci. Technol. 2013, 47, 6646–6655. [Google Scholar] [CrossRef] [PubMed]
- Akhbarizadeh, R.; Moore, F.; Keshavarzi, B. Investigating a probable relationship between microplastics and potentially toxic elements in fish muscles from northeast of Persian Gulf. Environ. Pollut. 2018, 232, 154–163. [Google Scholar] [CrossRef] [PubMed]
- Pegado, T.; Brabo, L.; Schmid, K.; Sarti, F.; Gava, T.T.; Nunes, J.; Chelazzi, D.; Cincinelli, A.; Giarrizzo, T. Ingestion of microplastics by Hypanus guttatus stingrays in the Western Atlantic Ocean (Brazilian Amazon Coast). Mar. Pollut. Bull. 2021, 162, 111799. [Google Scholar] [CrossRef] [PubMed]
- Horton, A.A.; Jürgens, M.D.; Lahive, E.; Van Bodegom, P.M.; Vijver, M.G. The influence of exposure and physiology on microplastic ingestion by the freshwater fish Rutilus rutilus (roach) in the River Thames, UK. Environ. Pollut. 2018, 236, 188–194. [Google Scholar] [CrossRef]
- Parvin, F.; Jannat, S.; Tareq, S.M. Abundance, characteristics and variation of microplastics in different freshwater fish species from Bangladesh. Sci. Total Environ. 2021, 784, 147137. [Google Scholar] [CrossRef]
- Gopakumar, G.; Nathan, D.S.; Harikrishnan, S.; Sridharan, M.; Jilsha, V. An investigation on the presence and risk assessment of microplastics in Quilon Beach, South West Coast of India. Environ. Pollut. Manag. 2024, 1, 99–108. [Google Scholar] [CrossRef]
- Lithner, D.; Larsson, Å.; Dave, G. Environmental and health hazard ranking and assessment of plastic polymers based on chemical composition. Sci. Total Environ. 2011, 409, 3309–3324. [Google Scholar] [CrossRef]
- Ryan, P.G. Ingestion of plastics by marine organisms. In The Handbook of Environmental Chemistry; Springer: Berlin/Heidelberg, Germany, 2016; pp. 235–266. [Google Scholar] [CrossRef]
- Conowall, P.; Schreiner, K.M.; Marchand, J.; Minor, E.C.; Schoenebeck, C.W.; Maurer-Jones, M.A.; Hrabik, T.R. Variability in the drivers of microplastic consumption by fish across four lake ecosystems. Front. Earth Sci. 2024, 12, 1339822. [Google Scholar] [CrossRef]
- Roch, S.; Ros, A.F.H.; Friedrich, C.; Brinker, A. Microplastic evacuation in fish is particle size-dependent. Freshw. Biol. 2021, 66, 926–935. [Google Scholar] [CrossRef]
- Jantz, L.A.; Morishige, C.L.; Bruland, G.L.; Lepczyk, C.A. Ingestion of plastic marine debris by longnose lancetfish (Alepisaurus ferox) in the North Pacific Ocean. Mar. Pollut. Bull. 2013, 69, 97–104. [Google Scholar] [CrossRef]
- Savoca, M.S.; McInturf, A.G.; Hazen, E.L. Plastic ingestion by marine fish is widespread and increasing. Glob. Change Biol. 2021, 27, 2188–2199. [Google Scholar] [CrossRef] [PubMed]
- Erni-Cassola, G.; Gibson, M.I.; Thompson, R.C.; Christie-Oleza, J.A. Lost, but found with Nile Red: A Novel Method for Detecting and Quantifying Small Microplastics (1 mm to 20 μm) in Environmental Samples. Environ. Sci. Technol. 2017, 51, 13641–13648. [Google Scholar] [CrossRef] [PubMed]
- McGoran, A.R.; Maclaine, J.S.; Clark, P.F.; Morritt, D. Synthetic and Semi-Synthetic Microplastic Ingestion by Mesopelagic Fishes from Tristan da Cunha and St Helena, South Atlantic. Front. Mar. Sci. 2021, 8, 633478. [Google Scholar] [CrossRef]
- Lestari, P.; Trihadiningrum, Y.; Warmadewanthi, I. Investigation of microplastic ingestion in commercial fish from Surabaya River, Indonesia. Environ. Pollut. 2023, 331, 121807. [Google Scholar] [CrossRef] [PubMed]
- Peters, C.A.; Bratton, S.P. Urbanization is a major influence on microplastic ingestion by sunfish in the Brazos River Basin, Central Texas, USA. Environ. Pollut. 2016, 210, 380–387. [Google Scholar] [CrossRef]
- Silva-Cavalcanti, J.S.; Silva, J.D.B.; De França, E.J.; De Araújo, M.C.B.; Gusmão, F. Microplastics ingestion by a common tropical freshwater fishing resource. Environ. Pollut. 2017, 221, 218–226. [Google Scholar] [CrossRef]
- McGoran, A.R.; Clark, P.F.; Smith, B.D.; Morritt, D. High prevalence of plastic ingestion by Eriocheir sinensis and Carcinus maenas (Crustacea: Decapoda: Brachyura) in the Thames Estuary. Environ. Pollut. 2020, 265, 114972. [Google Scholar] [CrossRef]
- Osorio, E.D.; Tanchuling, M.A.N.; Diola, M.B.L.D. Microplastics occurrence in surface waters and sediments in five river mouths of Manila Bay. Front. Environ. Sci. 2021, 9, 719274. [Google Scholar] [CrossRef]
- Koongolla, J.B.; Lin, L.; Pan, Y.; Yang, C.; Sun, D.; Liu, S.; Xu, X.; Maharana, D.; Huang, J.; Li, H. Occurrence of microplastics in gastrointestinal tracts and gills of fish from Beibu Gulf, South China Sea. Environ. Pollut. 2020, 258, 113734. [Google Scholar] [CrossRef]
- Rios-Fuster, B.; Compa, M.; Alomar, C.; Morató, M.; Ryfer, D.; Villalonga, M.; Deudero, S. Are seafloor habitats influencing the distribution of microplastics in coastal sediments of a Marine Protected Area? Environ. Sci. Pollut. Res. Int. 2023, 30, 49875–49888. [Google Scholar] [CrossRef]
- Arat, S.A. An overview of microplastic in marine waters: Sources, abundance, characteristics and negative effects on various marine organisms. Desalination Water Treat. 2024, 317, 100138. [Google Scholar] [CrossRef]
- Frias, J.; Nash, R. Microplastics: Finding a consensus on the definition. Mar. Pollut. Bull. 2019, 138, 145–147. [Google Scholar] [CrossRef] [PubMed]
- Li, J.; Ouyang, Z.; Liu, P.; Zhao, X.; Wu, R.; Zhang, C.; Lin, C.; Li, Y.; Guo, X. Distribution and characteristics of microplastics in the basin of Chishui River in Renhuai, China. Sci. Total Environ. 2021, 773, 145591. [Google Scholar] [CrossRef]
- Park, T.; Lee, S.; Lee, M.; Lee, J.; Lee, S.; Zoh, K. Occurrence of microplastics in the Han River and riverine fish in South Korea. Sci. Total Environ. 2020, 708, 134535. [Google Scholar] [CrossRef]
- Lehtiniemi, M.; Hartikainen, S.; Näkki, P.; Engström-Öst, J.; Koistinen, A.; Setälä, O. Size matters more than shape: Ingestion of primary and secondary microplastics by small predators. Food Webs 2018, 17, e00097. [Google Scholar] [CrossRef]
- Gago, J.; Carretero, O.; Filgueiras, A.; Viñas, L. Synthetic microfilaments in the marine environment: A review on their occurrence in seawater and sediments. Mar. Pollut. Bull. 2018, 127, 365–376. [Google Scholar] [CrossRef]
- Ranatunga, R.R.M.K.P.; Wijetunge, D.; Ranaweera, W.V.P.H.; Hung, C.; Liu, S.V.; Schuyler, Q.; Lawson, T.J.; Hardesty, B.D. Ranking Sri Lanka among the World’s Top Mismanaged Waste Polluters: Does Model Data Change the Story? Sustainability 2023, 15, 2687. [Google Scholar] [CrossRef]
- Jayawardana, S.A.S.; Samarasekera, J.K.R.R.; Hettiarachchi, G.H.C.M.; Gooneratne, J.; Mazumdar, S.D.; Banerjee, R. Dietary filaments, starch fractions and nutritional composition of finger millet varieties cultivated in Sri Lanka. J. Food Compos. Anal. 2019, 82, 103249. [Google Scholar] [CrossRef]
- Andrady, A.L. Microplastics in the marine environment. Mar. Pollut. Bull. 2011, 62, 1596–1605. [Google Scholar] [CrossRef]
- Gallagher, A.; Randall, P.; Sivyer, D.; Binetti, U.; Lokuge, G.; Munas, M. Abandoned, lost or otherwise discarded fishing gear (ALDFG) in Sri Lanka—A pilot study collecting baseline data. Mar. Policy 2023, 148, 105386. [Google Scholar] [CrossRef]
- Li, B.; Liang, W.; Liu, Q.; Fu, S.; Ma, C.; Chen, Q.; Su, L.; Craig, N.J.; Shi, H. Fish ingest microplastics unintentionally. Environ. Sci. Technol. 2021, 55, 10471–10479. [Google Scholar] [CrossRef] [PubMed]
- Ranatunga, R.R.M.K.P.; Wijetunge, D.S.; Karunarathna, K.P.R. Microplastics in beach sand and potential contamination of planktivorous fish inhabiting in coastal waters of Negombo, Sri Lanka. Sri Lanka J. Aquat. Sci. 2021, 26, 37–54. [Google Scholar] [CrossRef]
- Martí, E.; Martin, C.; Galli, M.; Echevarría, F.; Duarte, C.M.; Cózar, A. The colours of the ocean plastics. Environ. Sci. Technol. 2020, 54, 6594–6601. [Google Scholar] [CrossRef] [PubMed]
- Ory, N.C.; Sobral, P.; Ferreira, J.L.; Thiel, M. Amberstripe scad Decapterus muroadsi (Carangidae) fish ingest blue microplastics resembling their copepod prey along the coast of Rapa Nui (Easter Island) in the South Pacific subtropical gyre. Sci. Total Environ. 2017, 586, 430–437. [Google Scholar] [CrossRef] [PubMed]
- Carson, H.S. The incidence of plastic ingestion by fishes: From the prey’s perspective. Mar. Pollut. Bull. 2013, 74, 170–174. [Google Scholar] [CrossRef]
- Herring, P.J. Blue pigment of a surface-living oceanic copepod. Nature 1965, 205, 103–104. [Google Scholar] [CrossRef]
- Barboza, L.G.A.; Cunha, S.C.; Monteiro, C.; Fernandes, J.O.; Guilhermino, L. Bisphenol A and its analogs in muscle and liver of fish from the North East Atlantic Ocean in relation to microplastic contamination. Exposure and risk to human consumers. J. Hazard. Mater. 2020, 393, 122419. [Google Scholar] [CrossRef]
- Woodall, L.C.; Sanchez-Vidal, A.; Canals, M.; Paterson, G.L.; Coppock, R.; Sleight, V.; Calafat, A.; Rogers, A.D.; Narayanaswamy, B.E.; Thompson, R.C. The deep sea is a major sink for microplastic debris. R. Soc. Open Sci. 2014, 1, 140317. [Google Scholar] [CrossRef]
- Zazouli, M.; Nejati, H.; Hashempour, Y.; Dehbandi, R.; Nam, V.T.; Fakhri, Y. Occurrence of microplastics (MPs) in the gastrointestinal tract of fishes: A global systematic review and meta-analysis and meta-regression. Sci. Total Environ. 2022, 815, 152743. [Google Scholar] [CrossRef]
- Roch, S.; Friedrich, C.; Brinker, A. Uptake routes of microplastics in fishes: Practical and theoretical approaches to test existing theories. Sci. Rep. 2020, 10, 3896. [Google Scholar] [CrossRef]
- Dantas, N.C.; Duarte, O.S.; Ferreira, W.C.; Ayala, A.P.; Rezende, C.F.; Feitosa, C.V. Plastic intake does not depend on fish eating habits: Identification of microplastics in the stomach contents of fish on an urban beach in Brazil. Mar. Pollut. Bull. 2020, 153, 110959. [Google Scholar] [CrossRef] [PubMed]
- Huang, W.; Song, B.; Liang, J.; Niu, Q.; Zeng, G.; Shen, M.; Deng, J.; Luo, Y.; Wen, X.; Zhang, Y. Microplastics and associated contaminants in the aquatic environment: A review on their ecotoxicological effects, trophic transfer, and potential impacts to human health. J. Hazard. Mater. 2021, 405, 124187. [Google Scholar] [CrossRef] [PubMed]
- Romeo, T.; Pietro, B.; Pedà, C.; Consoli, P.; Andaloro, F.; Fossi, M.C. First evidence of presence of plastic debris in stomach of large pelagic fish in the Mediterranean Sea. Mar. Pollut. Bull. 2015, 95, 358–361. [Google Scholar] [CrossRef] [PubMed]
- De Sales-Ribeiro, C.; Brito-Casillas, Y.; Fernandez, A.; Caballero, M.J. An end to the controversy over the microscopic detection and effects of pristine microplastics in fish organs. Sci. Rep. 2020, 10, 12434. [Google Scholar] [CrossRef] [PubMed]
- Seetapan, K.; Prommi, T.O. Microplastics in commercial fish digestive tracts from freshwater habitats in Northern Thailand. Ecol. Montenegrina 2023, 68, 48–65. [Google Scholar] [CrossRef]
- López, A.G.; Najjar, R.G.; Friedrichs, M.A.M.; Hickner, M.A.; Wardrop, D.H. Estuaries as filters for riverine microplastics: Simulations in a large, Coastal-Plain estuary. Front. Mar. Sci. 2021, 8, 715924. [Google Scholar] [CrossRef]
- Kolandhasamy, P.; Su, L.; Li, J.; Qu, X.; Jabeen, K.; Shi, H. Adherence of microplastics to soft tissue of mussels: A novel way to uptake microplastics beyond ingestion. Sci. Total Environ. 2018, 610–611, 635–640. [Google Scholar] [CrossRef]
- Shams, M.; Alam, I.; Mahbub, S. Plastic pollution during COVID-19: Plastic waste directives and its long-term impact on the environment. Environ. Adv. 2021, 5, 100119. [Google Scholar] [CrossRef]
- Cubas, A.L.V.; Moecke, E.H.S.; Provin, A.P.; Dutra, A.R.A.; Machado, M.M.; Gouveia, I.C. The impacts of plastic waste from personal protective equipment used during the covid-19 pandemic. Polymers 2023, 15, 3151. [Google Scholar] [CrossRef]







| Fish Species | Habitat | Feeding Habit | Samples | Total Length (cm) | Total Weight—Wet Weight (g) | Number of MPs per g in Fish GIT (Mean ± SD) | Number of MPs per g in Fish Gill (Mean ± SD) | Number of MPs per Individual | Number of MPs per Individual |
|---|---|---|---|---|---|---|---|---|---|
| (Mean ± SD) | (Mean ± SD) | ||||||||
| GIT | Gill | ||||||||
| Leognathus equula | Demersal | Omnivore | 3 | 7.9–11.6 | 19.2 ± 7.51 | 0.41 ± 0.67 | 0.25 ± 0.71 | 0.53 ± 0.8 | 0.12 ± 0.33 |
| Scatophagus argus | Omnivore | 3 | 16.8–20.8 | 207 ± 63.8 | 0.05 ± 0.01 | 0.50 ± 1.00 | 1.33 ± 0.58 | 0.33 ± 0.58 | |
| Sillago vincenti | Omnivore | 8 | 14.7–23.5 | 43.0 ± 18.1 | 0.79 ± 1.11 | 0.30 ± 0.52 | 0.63 ± 0.74 | 0.75 ± 0.71 | |
| Gerres filamentous | Omnivore | 12 | 10.7–22.2 | 123.7 ± 70.5 | 0.90 ± 1.20 | 0.12 ± 0.21 | 0.25 ± 0.45 | 0.00 ± 0.00 | |
| Gerres oyena | Omnivore | 5 | 10.8–12.2 | 25.3 ± 8.08 | 0.57 ± 1.28 | 0.00 ± 0.00 | 1.40 ± 1.17 | 0.00 ± 0.00 | |
| Monodactylus argenteus | Omnivore | 3 | 9.0–10.0 | 19.4 ± 2.86 | 0.68 ± 0.63 | 0.83 ± 1.44 | 0.67 ± 0.58 | 0.33 ± 0.58 | |
| Nemapteryx caelata | Carnivore | 3 | 18.0–18.3 | 6.20 ± 0.49 | 0.09 ± 0.15 | 0.30 ± 0.26 | 0.33 ± 0.58 | 0.67 ± 0.58 | |
| Eubleekeria splendens | Planktivore | 18 | 9.2–12.3 | 15.34 ± 5.95 | 1.41 ± 2.52 | 1.17 ± 1.62 | 0.33 ± 0.49 | 0.22 ± 0.43 | |
| Nuchequula blochii | Planktivore | 5 | 8.4–9.9 | 11.02 ± 0.6 | 0.80 ± 1.79 | 1.00 ± 3.16 | 0.40 ± 0.55 | 0.60 ± 0.55 | |
| Strongylura leiura | Omnivore | 10 | 15.7–17.3 | 12.9 ± 2.24 | 0.18 ± 0.39 | 0.00 ± 0.00 | 0.20 ± 0.42 | 0.10 ± 0.32 | |
| Caranx heberi | Carnivore | 6 | 10.1–12.1 | 19.1 ± 4.8 | 0.40 ± 0.68 | 0.00 ± 0.00 | 0.33 ± 0.52 | 0.17 ± 0.41 | |
| Hilsa kelee | Pelagic | Omnivore | 3 | 14.0–20.2 | 67.0 ± 34.5 | 0.75 ± 1.18 | 0.99 ± 2.28 | 2.00 ± 2.00 | 0.00 ± 0.00 |
| Crenimugil buchanani | Herbivore | 7 | 21.9–24.4 | 121.4 ± 14.2 | 0.18 ± 0.33 | 0.00 ± 0.00 | 1.00 ± 0.82 | 0.71 ± 0.76 | |
| Thyrissa hamiltoni | Omnivore | 4 | 11.7–13.5 | 15.3 ± 2.06 | 0.50 ± 1.00 | 0.24 ± 0.58 | 0.25 ± 0.5 | 0.25 ± 0.50 | |
| Nematalosa nasus | Omnivore | 3 | 22.4–25.5 | 156 ± 15.8 | 0.15 ± 0.12 | 0.73 ± 0.44 | 2.67 ± 2.08 | 1.00 ± 0.00 | |
| Mugil cephalus | Omnivore | 31 | 11.9–25.7 | 92.3 ± 41.3 | 0.26 ± 0.25 | 0.26 ± 0.42 | 2.94 ± 2.26 | 0.13 ± 0.34 | |
| Siganus javus | Herbivore | 9 | 7.3–15.2 | 36.1 ± 23.4 | 0.44 ± 0.44 | 1.17 ± 1.62 | 1.33 ± 0.89 | 0.22 ± 0.44 | |
| Stolephorus indicus | Planktivore | 10 | 15.7–17.3 | 3.82 ± 0.63 | 0.66 ± 0.91 | 1.38 ± 1.30 | 0.40 ± 0.52 | 0.00 ± 0.00 |
| Polymer Type | Percentage (%) | Hazard Index (PHI) | Hazard Category | Risk Category |
|---|---|---|---|---|
| Polyester | 26 | 1.04 | (II) 1–10 | Medium |
| Polypropylene | 23 | 0.23 | (I) <1 | Minor |
| Polyethylene | 7 | 0.77 | (I) <1 | Minor |
| Polypropylene–polyethylene copolymer | 6 | 0.06 | (I) <1 | Minor |
| Polyamide | 3 | 1.14 | (II) 1–10 | Medium |
| Polystyrene–polyethylene copolymer | 3 | 0.33 | (I) <1 | Minor |
| Spandex (Polyurethane) | 3 | 0.87 | (I) <1 | Minor |
Disclaimer/Publisher’s Note: The statements, opinions and data contained in all publications are solely those of the individual author(s) and contributor(s) and not of MDPI and/or the editor(s). MDPI and/or the editor(s) disclaim responsibility for any injury to people or property resulting from any ideas, methods, instructions or products referred to in the content. |
© 2024 by the authors. Licensee MDPI, Basel, Switzerland. This article is an open access article distributed under the terms and conditions of the Creative Commons Attribution (CC BY) license (https://creativecommons.org/licenses/by/4.0/).
Share and Cite
Athukorala, A.; Amarathunga, A.A.D.; De Silva, D.S.M.; Bakir, A.; McGoran, A.R.; Sivyer, D.B.; Dias, B.C.G.; Kanishka, W.S.; Reeve, C. Pervasive Microplastic Ingestion by Commercial Fish Species from a Natural Lagoon Environment. Water 2024, 16, 2909. https://doi.org/10.3390/w16202909
Athukorala A, Amarathunga AAD, De Silva DSM, Bakir A, McGoran AR, Sivyer DB, Dias BCG, Kanishka WS, Reeve C. Pervasive Microplastic Ingestion by Commercial Fish Species from a Natural Lagoon Environment. Water. 2024; 16(20):2909. https://doi.org/10.3390/w16202909
Chicago/Turabian StyleAthukorala, Ashini, A. A. D. Amarathunga, D. S. M. De Silva, A. Bakir, A. R. McGoran, D. B. Sivyer, B. C. G. Dias, W. S. Kanishka, and C. Reeve. 2024. "Pervasive Microplastic Ingestion by Commercial Fish Species from a Natural Lagoon Environment" Water 16, no. 20: 2909. https://doi.org/10.3390/w16202909
APA StyleAthukorala, A., Amarathunga, A. A. D., De Silva, D. S. M., Bakir, A., McGoran, A. R., Sivyer, D. B., Dias, B. C. G., Kanishka, W. S., & Reeve, C. (2024). Pervasive Microplastic Ingestion by Commercial Fish Species from a Natural Lagoon Environment. Water, 16(20), 2909. https://doi.org/10.3390/w16202909

