Impacts of Climate Change on Ecological Water Use in the Beijing–Tianjin–Hebei Region in China
Abstract
1. Introduction
2. Materials and Methods
2.1. Data Sources
- (1)
- Spatial downscaling
- (2)
- Bias correction
- (3)
- Temporal downscaling
2.2. Methodology
2.2.1. Gray Correlation Analysis
2.2.2. Singular Spectrum Analysis
- (1)
- Decomposition
- (2)
- Reconstruction
2.2.3. Polynomial Simulation Method
2.2.4. Characterization of Spatial Distribution
3. Results
3.1. Characterization of Climate Change and Ecological Water Use in the BTH Region
3.2. The Ecological Climatic Water Use in the Beijing–Tianjin–Hebei Region
3.3. Establishment of Ecological Climatic Water-Use Model in the Beijing–Tianjin–Hebei Region
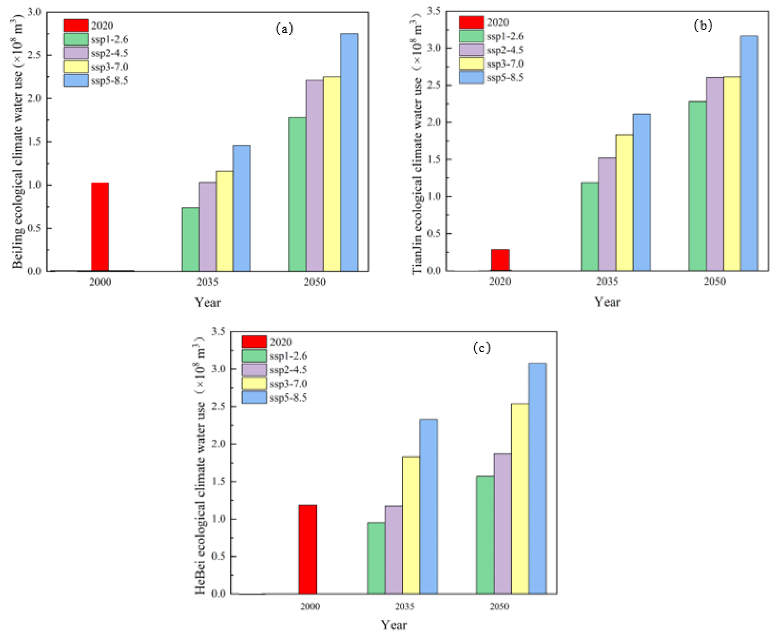
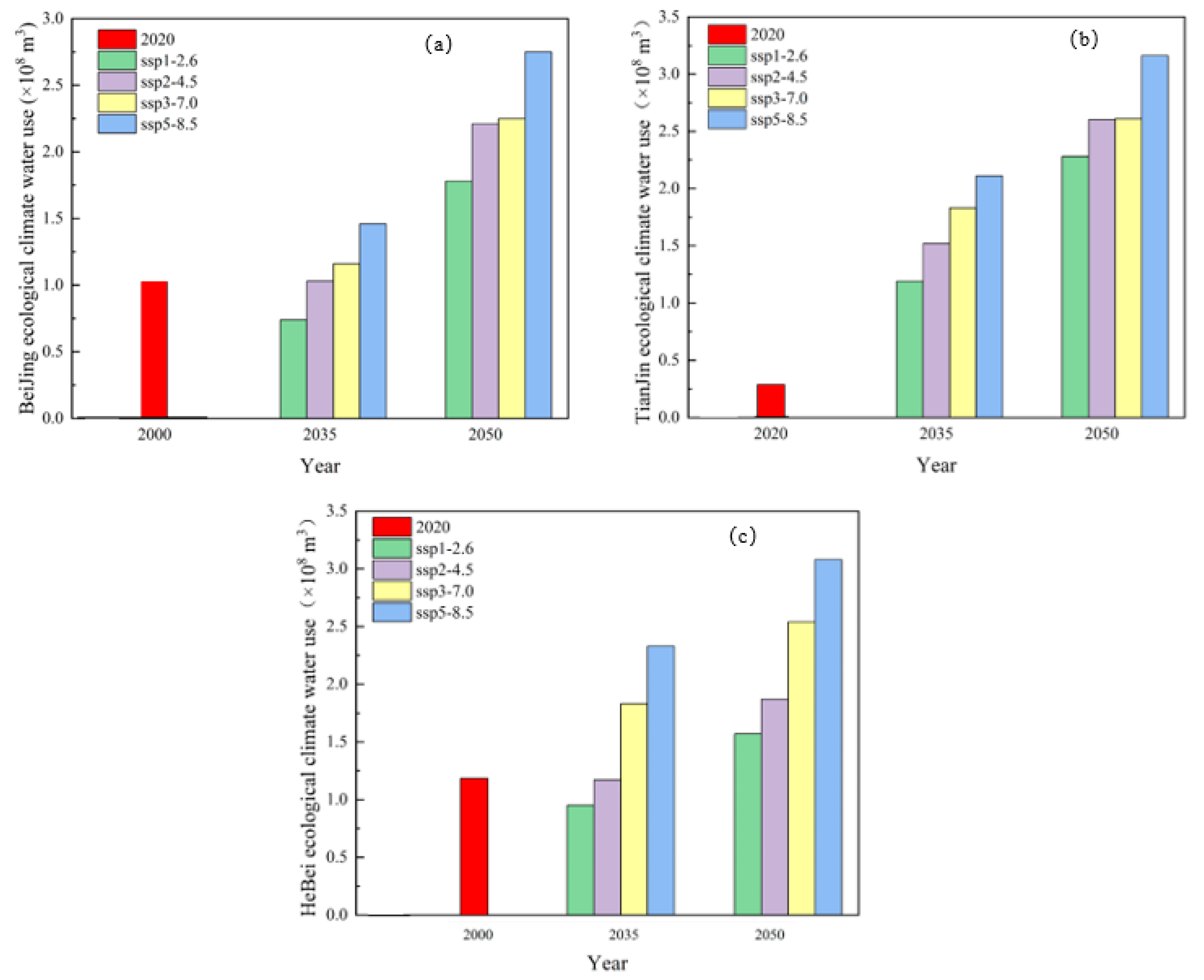
3.4. Projections of Ecological Climatic Water Use in the Beijing–Tianjin–Hebei Region under Future Scenarios
4. Discussion
5. Conclusions
Author Contributions
Funding
Data Availability Statement
Acknowledgments
Conflicts of Interest
References
- Li, Y.; Liu, T. Reconstruction of the Beijing-Tianjin-Hebei eco-environmental governance system and coordinated development idea. Huanjing Baohu Kexue 2023, 49, 52–57. [Google Scholar]
- Zhang, Z.; Yang, Z.; Yang, M. Analysis and trend prediction of ecological environment water related factors in Beijing, Tianjin and Hebei. Haihe Water Resour. 2018, 1, 4–6+25. [Google Scholar]
- Ji, L.; Li, J. Characterization of domestic water consumption of residents in urban areas of Beijing, Tianjin and Hebei. Green Sci. Technol. 2022, 24, 122–127. [Google Scholar]
- Zhen, N.; Rutherfurd, I.; Webber, M. Ecological water, a new focus of China’s water management. Sci. Total Environ. 2023, 879, 163001. [Google Scholar] [CrossRef]
- Nan, T.; Cao, W. Effect of Ecological Water Supplement on Groundwater Restoration in the Yongding River Based on Multi-Model Linkage. Water 2023, 15, 374. [Google Scholar] [CrossRef]
- Sun, Q.; Zhang, C.; Yuan, J.; Dong, J.; Xia, L.; Zhou, Y. Characteristics and Problem Analysis of Water Supply and Demand for Urban Environments in Arid and Water-deficient Regions of North China, Using the Taiyuan Urban Area as an Example. Terr. Ecosyst. Conserv. 2022, 2, 29–38. [Google Scholar]
- Tang, Z.; Ma, X.; Sheng, L. Estimation of Ecological Water Consumption and Vegetation Ecological Construction. Huanjing Baohu 2004, 9, 1–33. [Google Scholar]
- Zhang, J.; Li, D. Analysis on variations of ecological water demand in growth periods in Heihe valley. Agric. Res. Arid Areas 2006, 24, 164–168. [Google Scholar]
- Zhao, X. Research on Ecological Water Demand and Rational Allocation of Water Resources in Harbin City. Master’s Thesis, Harbin Institute of Technology, Harbin, China, 2012. [Google Scholar]
- Wan, F.; Zhang, F.; Zheng, X.; Xiao, L. Study on Ecological Water Demand and Ecological Water Supplement in Wuliangsuhai Lake. Water 2022, 14, 1262. [Google Scholar] [CrossRef]
- Wang, D.; Zhang, S.; Wang, G.; Gu, J.; Wang, H.; Chen, X. Ecohydrological Variation and Multi-Objective Ecological Water Demand of the Irtysh River Basin. Water 2022, 14, 2876. [Google Scholar] [CrossRef]
- Fan, X.; Qin, Y.; Gao, X. Interpretation of the main conclusions and suggestions of IPCC AR6 Working GroupⅠReport. Huanjing Baohu 2021, 49, 44–48. [Google Scholar]
- Wang, Z.; Sun, C.; Liu, Y.; Jiang, Q.; Zhu, T. Spatiotemporal variation of vegetation index and its response to climate factors in Heilongjiang Province. Nanshui Beidiao Yu Shuili Keji 2022, 20, 737–747. [Google Scholar]
- Hua, S.; Cai, X.; Yu, X. Study on the Evapotranspiration Features of Vegetation Over Flat Underlying Surface and Response to Meteorological Factors. J. Soil Water Conserv. 2016, 30, 344–350+354. [Google Scholar]
- Yang, L.; Feng, Q.; Zhu, M.; Wang, L.; Alizadeh, M.R.; Adamowski, J.F.; Wen, X.; Yin, Z. Variation in actual evapotranspiration and its ties to climate change and vegetation dynamics in northwest China. J. Hydrol. 2022, 607, 127533. [Google Scholar] [CrossRef]
- King, D.A.; Bachelet, D.M.; Symstad, A.J.; Ferschweiler, K.; Hobbins, M. Estimation of potential evapotranspiration from extraterrestrial radiation, air temperature and humidity to assess future climate change effects on the vegetation of the Northern Great Plains, USA. Ecol. Modell. 2015, 297, 86–97. [Google Scholar] [CrossRef]
- Rankinen, K.; Holmberg, M.; Peltoniemi, M.; Akujärvi, A.; Anttila, K.; Manninen, T.; Markkanen, T. Framework to Study the Effects of Climate Change on Vulnerability of Ecosystems and Societies: Case Study of Nitrates in Drinking Water in Southern Finland. Water 2021, 13, 472. [Google Scholar] [CrossRef]
- Saraphirom, P.; Wirojanagud, W.; Srisuk, K. Potential Impact of Climate Change on Area Affected by Waterlogging and Saline Groundwater and Ecohydrology Management in Northeast Thailand. EnvironmentAsia 2013, 6, 19–28. [Google Scholar]
- Zhao, B.; Huang, J.; Li, Z.; Li, J.; Zhou, Y. Comprehensive Evaluation and Influencing Factor Analysis of Urban Ecological Water Security in Gansu Province Based on AHP-Entropy Method. Bull. Soil Water Conserv. 2023, 43, 167–173+213. [Google Scholar]
- Liu, D.; Zuo, H. Statistical downscaling of daily climate variables for climate change impact assessment over New South Wales, Australia. Clim. Change 2012, 115, 629–666. [Google Scholar] [CrossRef]
- Richardson, C.W.; Wright, D.A. WGEN: A Model for Generating Daily Weather Variables; Computer Science, Agricultural and Food Sciences, Environmental Science; United States Department of Agriculture, Agricultural Research Services: Washington, DC, USA, 1984.
- Hu, Y.; Cai, G.; Xu, X.; Zhang, M. Empirical Study on Driving Forces of Construction Land Expansion in Wuhan City Based on Grey Relational Analysis. Bull. Soil Water Conserv. 2014, 34, 214–218. [Google Scholar]
- Huang, X.; Huang, D. Statistical Characteristics of Guangxi Agricultural Meteorological Disaster Situation and Grey Relation Analysis. J. Meteorol. Res. Appl. 2014, 35, 67–70+90. [Google Scholar]
- Zhang, D. Grey Correlation Analysis between Meteorological Factors and Regional Air Pollution Concentration. Environ. Sci. Manag. 2019, 44, 79–83. [Google Scholar]
- Lu, W.; Wen, Y. Singular Spectrum Analysis on the Climatic Characteristics of Minle County during 1968–2007. Anhui Nongye Kexue 2011, 39, 16831–16832+16928. [Google Scholar]
- Krishnan, C.; Mahesha, A. Assessment of Bi-Decadal Groundwater Fluctuations in a Coastal Region Using Innovative Trends and Singular Spectrum Analysis. J. Geol. Soc. India 2023, 99, 111–119. [Google Scholar] [CrossRef]
- Zhao, L.; Liu, Y. Singular Spectrum Analysis on Carbon Dioxide Emissions of Energy Consumption in Beijing Municipality and Shanghai Municipality. Sci. Technol. Manag. Res. 2015, 35, 236–244. [Google Scholar]
- Zhu, W.; Dou, H.; Yin, N.; Cheng, Y.; Zhang, S.; Zhang, Q. Deformation characteristics analysis of the expansive soil slope by integrating of InSAR and SSA techniques: A case study of the South-to-North Water Diversion Project. Cehui Xuebao 2022, 51, 2083–2092. [Google Scholar]
- Hudson, L.I.; Keatley, R.M. Singular Spectrum Analytic (SSA) Decomposition and Reconstruction of Flowering: Signatures of Climatic Impacts. Environ. Model. Assess. 2017, 22, 37–52. [Google Scholar] [CrossRef]
- Xiao, S.; Wang, G.; Tu, Y. The SSA+FBPF Method and Its Application on Extracting the Periodic Term from BeiDou Satellite Clock Bais. Cehui Xuebao 2017, 45, 172–178. [Google Scholar]
- Du, X.; Zhao, X.; Wang, H.; He, B. Responses of terrestrial ecosystem water use efficiency to climate change: A review. Shengtai Xuebao 2018, 38, 8296–8305. [Google Scholar]
- Lei, Y. Impact of Climate Change on Ecological Environment and Ecological Water Requirement in the Yellow River Basin. Water Conserv. Sci. Technol. Econ. 2018, 24, 31–37. [Google Scholar]
- Dou, Y. Economic Growth and Climate Change Impact on Domestic Water Changes and Grey Correlation Analysis in Urumqi City. Water Conserv. Sci. Technol. Econ. 2015, 21, 1–3. [Google Scholar]
- Wu, H.; Long, B.; Pan, Z.; Lun, F.; Song, Y.; Wang, J.; Zhang, Z.; Gu, H.; Men, J. Response of Domestic Water in Beijing to Climate Change. Water 2022, 14, 1487. [Google Scholar] [CrossRef]
- Wei, J.; Chen, Z.; Peng, Y. Correlation Analysis on Daily Water Supply and Meteorological Factors in Wuhan City. Meteorol. Mon. 2000, 26, 27–29+51. [Google Scholar]
- Xu, C.; Lu, C.; Wang, J. Characteristics of climate change in Beijing-Tianjin-Hebei region in recent 60 years. Water Resour. Hydropower Eng. 2021, 52, 12–20. [Google Scholar]
- Lu, D.; Yan, L.; Xu, X.; Li, J.; Xu, D.; Yao, R. Analysis of Extreme Precipitation Trend in Beijing-Tianjin-Hebei Region Based on Various Trend Analysis Methods. Renmin Huanghe 2022, 44, 26–32. [Google Scholar]
- Zhang, Y.; Kang, W.; Qiao, H.; Long, Y.; Zhang, C. Estimated ecological water demand in the context of climate change—Take the Haoxi River Basin as an example. Nanshui Beidiao Yu Shuili Keji 2023, 21, 313–323. [Google Scholar]
- Wang, Y.; Yang, W.; Xing, B.; Luo, Y. A study of influencing factors of spatio-temporal evapotranspiration variation across the Yellow River Basin under the Budyko framework. Shuiwen Dizhi Gongcheng Dizhi 2023, 50, 23–33. [Google Scholar]
- Chao, T.; Lin, L.C.; Ting, T.Y. Impacts of anthropogenic and biophysical factors on ecological land using logistic regression and random forest: A case study in Mentougou District, Beijing, China. J. Mt. Sci. 2022, 19, 433–445. [Google Scholar]












| Regions | Average Temperature | Annual Precipitation | Green Space Area | Wetland Area | Green Coverage Rate |
|---|---|---|---|---|---|
| Beijing | 0.80 | 0.793 | 0.967 | 0.932 | 0.916 |
| Tianjin | 0.771 | 0.838 | 0.982 | 0.973 | 0.946 |
| Hebei | 0.767 | 0.747 | 0.995 | 0.942 | 0.923 |
| Region | Beijing Ecological Climatic Water Use (×108 m3) | Tianjin Ecological Climatic Water Use (×108 m3) | Hebei Ecological Climatic Water Use (×108 m3) | |
|---|---|---|---|---|
| Meteorologic Elements | ||||
| Average annual temperature rise of 1 °C | 0.84 | 0.73 | 1.09 | |
| Reduction in annual precipitation by 100 mm | 0.49 | 0.62 | 0.88 | |
Disclaimer/Publisher’s Note: The statements, opinions and data contained in all publications are solely those of the individual author(s) and contributor(s) and not of MDPI and/or the editor(s). MDPI and/or the editor(s) disclaim responsibility for any injury to people or property resulting from any ideas, methods, instructions or products referred to in the content. |
© 2024 by the authors. Licensee MDPI, Basel, Switzerland. This article is an open access article distributed under the terms and conditions of the Creative Commons Attribution (CC BY) license (https://creativecommons.org/licenses/by/4.0/).
Share and Cite
Wu, H.; Long, B.; Huang, N.; Lu, N.; Qian, C.; Pan, Z.; Men, J.; Zhang, Z. Impacts of Climate Change on Ecological Water Use in the Beijing–Tianjin–Hebei Region in China. Water 2024, 16, 319. https://doi.org/10.3390/w16020319
Wu H, Long B, Huang N, Lu N, Qian C, Pan Z, Men J, Zhang Z. Impacts of Climate Change on Ecological Water Use in the Beijing–Tianjin–Hebei Region in China. Water. 2024; 16(2):319. https://doi.org/10.3390/w16020319
Chicago/Turabian StyleWu, Hao, Buju Long, Na Huang, Nan Lu, Chuanhai Qian, Zhihua Pan, Jingyu Men, and Zhenzhen Zhang. 2024. "Impacts of Climate Change on Ecological Water Use in the Beijing–Tianjin–Hebei Region in China" Water 16, no. 2: 319. https://doi.org/10.3390/w16020319
APA StyleWu, H., Long, B., Huang, N., Lu, N., Qian, C., Pan, Z., Men, J., & Zhang, Z. (2024). Impacts of Climate Change on Ecological Water Use in the Beijing–Tianjin–Hebei Region in China. Water, 16(2), 319. https://doi.org/10.3390/w16020319

