Variation and Transformation of Evapotranspiration at Different Scales in a Desert Steppe
Abstract
1. Introduction
1.1. Advances in ET Research
1.2. Advances in the Relationship between LAS and EC Scales
2. Materials and Methods
2.1. Study Area
2.2. Climate Data
2.3. Method
2.3.1. Microscale
2.3.2. Point-Scale
- Measurement
- Energy closure analysis
- Point-scale ET
2.3.3. Surface-Scale
- Measurement
- Data processing
2.4. Scale Transformation of ET
3. Results and Discussion
3.1. Microscale Variations in Crop Photosynthesis and Transpiration
3.2. Point-Scale ET Variation
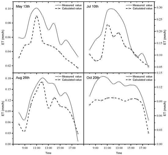
3.3. Evaporation Surface-Scale Change Rule
3.3.1. Daily Variation Rule
3.3.2. 24-h Variation Rule
3.4. Discussion
3.4.1. Impacting Factors for Microscale ET
3.4.2. Impacting Factors for Point-Scale ET
3.4.3. Micro-to-Surface Spatial Scale Expansion
4. Conclusions
Author Contributions
Funding
Data Availability Statement
Acknowledgments
Conflicts of Interest
References
- Yang, F.; Ji, Y.Q.; Zhang, Y.C.; Bridge, R.S.; Shen, Y.J. Comparative advantages of Large Aperture Scintillometer and Eddy Covariance instrument for measuring evapotranspiration in irrigated farmlands. Chin. J. Eco-Agric. 2011, 19, 1067–1071. [Google Scholar] [CrossRef]
- Kutikoff, S.; Lin, X.; Evett, S.; Gowda, P.; Moorhead, J.; Marek, G.; Colaizzi, P.; Aiken, R.; Brauer, D. Heat storage and its effect on the surface energy balance closure under advective conditions. Agric. For. Meteorol. 2019, 265, 56–69. [Google Scholar] [CrossRef]
- Koch, S.E.; Aksakal, A.; McQueen, J.T. The influence of mesoscale humidity and evapotranspiration fields on a model forecast of a cold-frontal squall line. Mon. Weather. Rev. 1997, 125, 384–409. [Google Scholar] [CrossRef]
- Bastiaanssen, W. SEBAL-based sensible and latent heat fluxes in the irrigated Gediz Basin, Turkey. J. Hydrol. 2009, 229, 87–100. [Google Scholar] [CrossRef]
- Yin, Y.T.; Hou, X.Y.; Yun, X.J. Advances in the climate change influencing grassland ecosystems in Inner Mongolia. Pratacultural Sci. 2011, 28, 1132–1139. [Google Scholar]
- Wang, J.; Zhang, R.Q.; Ling, H.P.; Lu, H.Y.; Cao, X.S.; Liu, R.C. Relationship between water consumption and meteorology-vegetation parameters in the desert grassland on different time scales. Agric. Res. Arid. Areas 2020, 38, 152–158+167. [Google Scholar]
- Zhang, B.Z.; Xu, D.; Liu, J.; Chen, H. Review of multi-scale evapotranspiration estimation and spatio-temporal scale expansion. Trans. Chin. Soc. Agric. Eng. 2015, 31, 8–16. [Google Scholar]
- Zhang, B.Z.; Liu, J.; Xu, D.; Cai, J.B.; Wei, Z. Water Carbon Coupling Simulation of Leaf and Canopy Scales in Summer Maize. Chin. Sci. Bull. 2013, 58, 1121–1130. [Google Scholar]
- Yu, G.R.; Zhuang, J.; Yu, Z.L. An attempt to establish a synthetic model of photosynthesis-transpiration based on stomatal behavior for maize and soybean plants grown in field. J. Plant Physiol. 2001, 158, 861–874. [Google Scholar] [CrossRef]
- Xu, D. Review on scaling study in irrigation hydrology. J. Hydraul. Eng. 2006, 37, 141–149. [Google Scholar]
- Bowen, I.S. The ratio of heat losses by conduction and by evaporation from any water surface. Phys. Rev. 1926, 27, 77–789. [Google Scholar] [CrossRef]
- Thornthwaite, C.W. An approach toward a rational classification of climate: Geographical Review. Geogr. Rev. 1948, 38, 55–94. [Google Scholar] [CrossRef]
- Yang, Y.T.; Shang, S.H. Comparison of Dual-source Evapotranspiration Models in Estimating Potential Evaporation and Transpiration. In Evapotranspiration over Heterogeneous Vegetated Surfaces; Springer: Berlin/Heidelberg, Germany, 2015; Volume 28, pp. 15–29. [Google Scholar]
- Pasquill, F.; Smith, F.B. Atmospheric Diffusion, 3rd ed.; Wiley: New York, NY, USA, 1983; Volume 437. [Google Scholar]
- Evans, J.G.; Mcneil, D.D.; Finch, J.W.; Murray, T.; Harding, R.J.; Ward, H.C.; Verhoef, A. Determination of turbulent heat fluxes using a large aperture scintillometer over undulating mixed agricultural terrain. Agric. For. Meteorol. 2012, 166, 221–233. [Google Scholar] [CrossRef]
- Chen, J.W.; Zuo, H.C.; Wang, J.M.; Wang, S.J.; Chen, B.L.; Zhuang, S.W. Observation Study in Desert Homogeneous of Arid Region in Northwestern of China Using Large Aperture Scintillometers. Plateau Meteorol. 2013, 32, 8–9. [Google Scholar]
- Meijninger, W.; Beyrich, F.; Ludi, A.; Kohsiek, W. Scintillometer fluxes of sensible and latent heat over a heterogeneous area—A contribution to litfass-2003. Bound. -Layer Meteorol. 2005, 121, 89–110. [Google Scholar] [CrossRef]
- Zheng, N.; Zhang, J.S.; Meng, P.; Huang, H.; Gao, J.; Jia, C.R.; Ren, Y.F. Distribution of Flux Source Area and Footprint for the Scintillation Method over a Mixed Plantation in the Hilly Zone of the North China. Adv. Earth Sci. 2010, 25, 1175–1186. [Google Scholar]
- Gong, L.J.; Liu, S.M.; Shuang, X.; Cai, X.H.; Xu, Z.W. Investigation of Spatial Representativeness for Surface Flux Measurements with Eddy Covariance System and Large Aperture Scintillometer. Plateau Meteorol. 2009, 28, 246–257. [Google Scholar]
- Li, Y.; Jing, Y.S.; Qin, B.B. Characteristics of water and heat fluxes and its footprint climatology on farmland in low hilly region of red soil. Chin. J. Appl. Ecol. 2017, 28, 180–190. [Google Scholar]
- Zhu, M.J.; Zhao, Q.Y.; Liu, S.M.; Xu, Z.W.; Xu, T.R. Analysis of the Characteristics of Turbulent Flux and lts Footprint Climatology at an Agricultural Site. Adv. Earth Sci. 2013, 28, 1313–1325. [Google Scholar]
- Beyrich, F.; Bruin, H.A.R.D.; Meijninger, W.M.L.; Schipper, J.W.; Lohse, H. Results from one-year continuous operation of a large aperture scintillometer over a heterogeneous land surface. Bound.-Layer Meteorol. 2002, 105, 85–97. [Google Scholar] [CrossRef]
- Beyrich, F.; Leps, J.P.; Mauder, M.; Bange, J.; Foken, T.; Huneke, S.; Lohse, H.; Lüdi, A.; Meijninger, W.M.L.; Mironov, D.; et al. Area-Averaged surfacefluxes over the litfass Region Based on Eddy-Covariance Measurements. Bound.-Layer Meteorol. 2006, 121, 33–65. [Google Scholar] [CrossRef]
- Zhang, J.S.; Meng, P.; Zheng, N.; Huang, H.; Gao, J. The Feasibility of Using LAS Measurements of the Sensible Heat Flux from a Mixed Plantation in the Hilly Zone of the North China. Adv. Earth Sci. 2010, 25, 1283–1290. [Google Scholar]
- Lagouarde, J.P.; Bonnefond, J.M.; Kerr, Y.H.; McAneney, K.J.; Irvine, M. Integrated Sensible Heat Flux Measurements of a Two-Surface Composite Landscape using Scintillometry. Bound. -Layer Meteorol. 2002, 105, 5–35. [Google Scholar] [CrossRef]
- Lu, L.; Liu, S.M.; Xu, Z.W.; Bai, J.; Wang, J.M. The Scale Relationship of Sensible Heat Flux Measured by Large Aperture Scintillometer and Eddy Covariance System. Adv. Earth Sci. 2010, 25, 1273–1282. [Google Scholar]
- Swinbank, W.C. Measurement of vertical transfer of heat and water vapor by eddies in the lower atmosphere. J. Meteorol. 1951, 8, 135–145. [Google Scholar] [CrossRef]
- Mahrt, L. Flux sampling errors for aircraft and towers. J. Atmos. Ocean. Technol. 1998, 15, 416–429. [Google Scholar] [CrossRef]
- Gao, H.B.; Shao, M.A. Heat storage fluxes of spring wheat during growth periods in the oasis farmland in Heihe Basin. J. Irrig. Drain. 2015, 34, 33–40, 90. [Google Scholar]
- Li, Z.Q.; Yu, G.R.; Wen, X.F.; Zhang, L.M.; Ren, C.Y.; Fu, Y.L. Evaluation of the Energy Balance Closure of the China Flux Observation Network (ChinaFLUX). Sci. Sin. (Terrae) 2004, 34, 46–56. [Google Scholar]
- Oliphant, A.J.; Grimmond, C.S.B.; Zutter, H.N.; Schmid, H.P.; Su, H.-B.; Scott, S.L.; Offerle, B.; Randolph, J.C.; Ehman, J. Heat storage and energy balance fluxes for a temperate deciduous forest. Agric. For. Meteorol. 2004, 126, 185–201. [Google Scholar] [CrossRef]
- Jaime, A.R.; Philipp, B.; Peter, B. Ground energy balance for borehole heat exchangers: Vertical fluxes, groundwater and storage. Renew. Energy 2015, 83, 1341–1351. [Google Scholar]
- Bai, J.; Liu, S.M.; Ding, X.P.; Lu, L. A study of the processing method of large aperture scintillometer observation data. Adv. Earth Sci. 2010, 25, 1148–1165. [Google Scholar]
- Wang, T.; Ochs, G.R.; Clifford, S.F. A saturation resistant optical Scintillometer to measure Cn2. J. Opt. Soc. Am. 1978, 68, 3334–3338. [Google Scholar] [CrossRef]
- Wesely, M.L. The combined effect of temperature and humidity fluctuation on refractive index. J. Appl. Meteorol. 1976, 15, 43–49. [Google Scholar] [CrossRef]
- Hao, L.; Tang, P.C.; Li, X.Y.; Xu, B.; Hou, C.L.; Li, P.D.; Tian, D.L. Law of evapotranspiration at different scales and optimization of scale relationship in Xilamuren desert steppe. J. Northeast. Agric. Univ. 2022, 53, 17–25. [Google Scholar]
- Yu, L.; Cheng, J.M.; Wan, H.E. Daily Variation of Photosynthetic Rate and lts Influence Factors on Onobrvchis viciaefolia Seedlings. Bull. Soil Water Conserv. 2012, 32, 66–70. [Google Scholar]
- Dong, Z.; Ma, Y.F.; Li, H.L.; Ren, G.Y.; Zhang, H. Analysis on Diurnal Changes of Photosynthesis and Transpiration Rate and Effecting Factors of Four Alfalfa at Branching Stage. Chin. J. Grassl. 2009, 31, 67–71. [Google Scholar]
- Yuan, D.H.; Jin, Z.F.; Jing, Y.S.; Hong, Y. Diurnal Change of Photosynthetic Rate of Myrica Rubra and Relationship with Climate Ecology Factors. Bull. Sci. Technol. 2010, 26, 560–562. [Google Scholar]
- Zhu, W.Z.; Wang, J.X.; Xue, J.H.; Yan, W.X. Studies on the Physiological Characteristics of Photosynthesis of Alnus cremastogyme. J. Southwest For. Univ. (Nat. Sci.) 2001, 21, 196–204. [Google Scholar]
- Huang, G.H.; Liang, K.N.; Zhou, Z.Z.; Ma, H.M. Diurnal and seasonal photosynthetic characteristics and influencing factors in teak clones. J. Cent. South Univ. For. Technol. 2016, 36, 11–16. [Google Scholar]
- Zhu, G.L.; Tong, S.Z.; Zhao, C.Z. Spatio-temporal variation of reference crop evapotranspiration and its climatic mechanism in Nenjiang River Basin, China. Chin. J. Appl. Ecol. 2022, 33, 201–209. [Google Scholar]
- Liu, G.S.; Liu, J.; Cai, J.B.; Xu, D. Study on scale effect of farmland evapotranspiration and relationship with meteorological factors. J. Hydraul. Eng. 2011, 42, 284–289. [Google Scholar]
- Liu, H.; Zhang, Q.L. Characteristics of evapotranspiration in Larix melinii forest during growing seasons. J. Cent. South Univ. For. Technol. 2021, 41, 149–156. [Google Scholar]
- Cui, Y.L.; Dong, B.; Li, Y.H.; Cai, X.L. Assessment indicators and scales of water saving in agricultural irrigation. Trans. Chin. Soc. Agric. Eng. 2007, 23, 1–7. [Google Scholar]
- Sun, B.D.; Cui, L.J.; Li, W.; Kang, X.M.; Zhang, M.Y. A review of spatial-scale transformation in wetland ecosystem service evaluation. Acta Ecol. Sin. 2018, 38, 2607–2615. [Google Scholar]
- Hu, L.Q.; Wu, R.Z.; Fang, Z.Y. Large Aperture Scintillometer and its Application to Surface Energy Balance Monitoring. J. Appl. Meteorol. Sci. 2003, 14, 197–205. [Google Scholar]











| Scale Range | Instruments | Producer | Measurement Type | Result |
|---|---|---|---|---|
| Microscale | LCPro+ | ΔT company in England | Direct measurement | Transpiration |
| Point-scale | Eddy-covariance system (EC) | Licor company in the United States | Direct measurement | Evaporation+ Transpiration |
| Surface-scale | Large aperture scintillator (LAS) | AVALON company in the United States | Indirect measurement | Evaporation+ Transpiration |
| Device | Slope | Intercept | R2 | Data Point |
|---|---|---|---|---|
| ECa | 0.782 | 11.728 | 0.736 | 1618 |
| ECb | 0.833 | 1.471 | 0.794 | 2041 |
| Target | b | R2 | RMSE | Measured Mean | Calculated Mean |
|---|---|---|---|---|---|
| 0.69 | 0.81 | 0.04 mm·h−1 | 0.12 mm·h−1 | 0.09 mm·h−1 |
Disclaimer/Publisher’s Note: The statements, opinions and data contained in all publications are solely those of the individual author(s) and contributor(s) and not of MDPI and/or the editor(s). MDPI and/or the editor(s) disclaim responsibility for any injury to people or property resulting from any ideas, methods, instructions or products referred to in the content. |
© 2024 by the authors. Licensee MDPI, Basel, Switzerland. This article is an open access article distributed under the terms and conditions of the Creative Commons Attribution (CC BY) license (https://creativecommons.org/licenses/by/4.0/).
Share and Cite
Tang, P.; Guo, J.; Gao, X.; Zheng, Y.; Wang, B.; Hao, L.; Wang, J. Variation and Transformation of Evapotranspiration at Different Scales in a Desert Steppe. Water 2024, 16, 288. https://doi.org/10.3390/w16020288
Tang P, Guo J, Gao X, Zheng Y, Wang B, Hao L, Wang J. Variation and Transformation of Evapotranspiration at Different Scales in a Desert Steppe. Water. 2024; 16(2):288. https://doi.org/10.3390/w16020288
Chicago/Turabian StyleTang, Pengcheng, Jianying Guo, Xiaoyu Gao, Ying Zheng, Bo Wang, Lei Hao, and Jiashuang Wang. 2024. "Variation and Transformation of Evapotranspiration at Different Scales in a Desert Steppe" Water 16, no. 2: 288. https://doi.org/10.3390/w16020288
APA StyleTang, P., Guo, J., Gao, X., Zheng, Y., Wang, B., Hao, L., & Wang, J. (2024). Variation and Transformation of Evapotranspiration at Different Scales in a Desert Steppe. Water, 16(2), 288. https://doi.org/10.3390/w16020288
