Compound Impact of Storm Surge and Flood Characteristics in Coastal Area Based on Copula
Abstract
1. Introduction
2. Data and Methods
2.1. Data Collection
2.2. POT Model
2.3. Copula Function
2.4. Joint Return Period (JRP)
2.5. Failure Probability
3. Results
3.1. Dependence and Seasonal Variation
3.2. Marginal Distribution
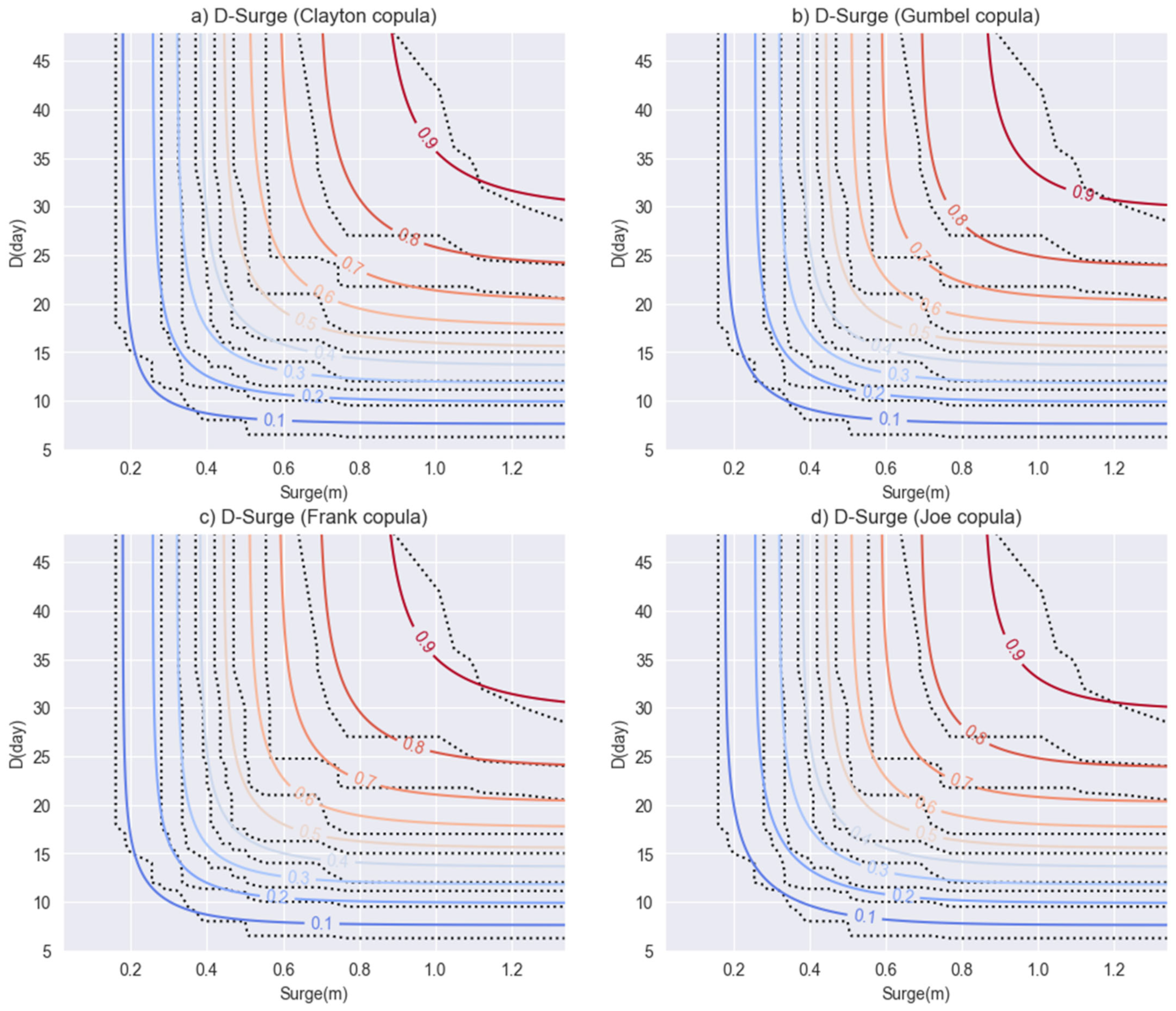
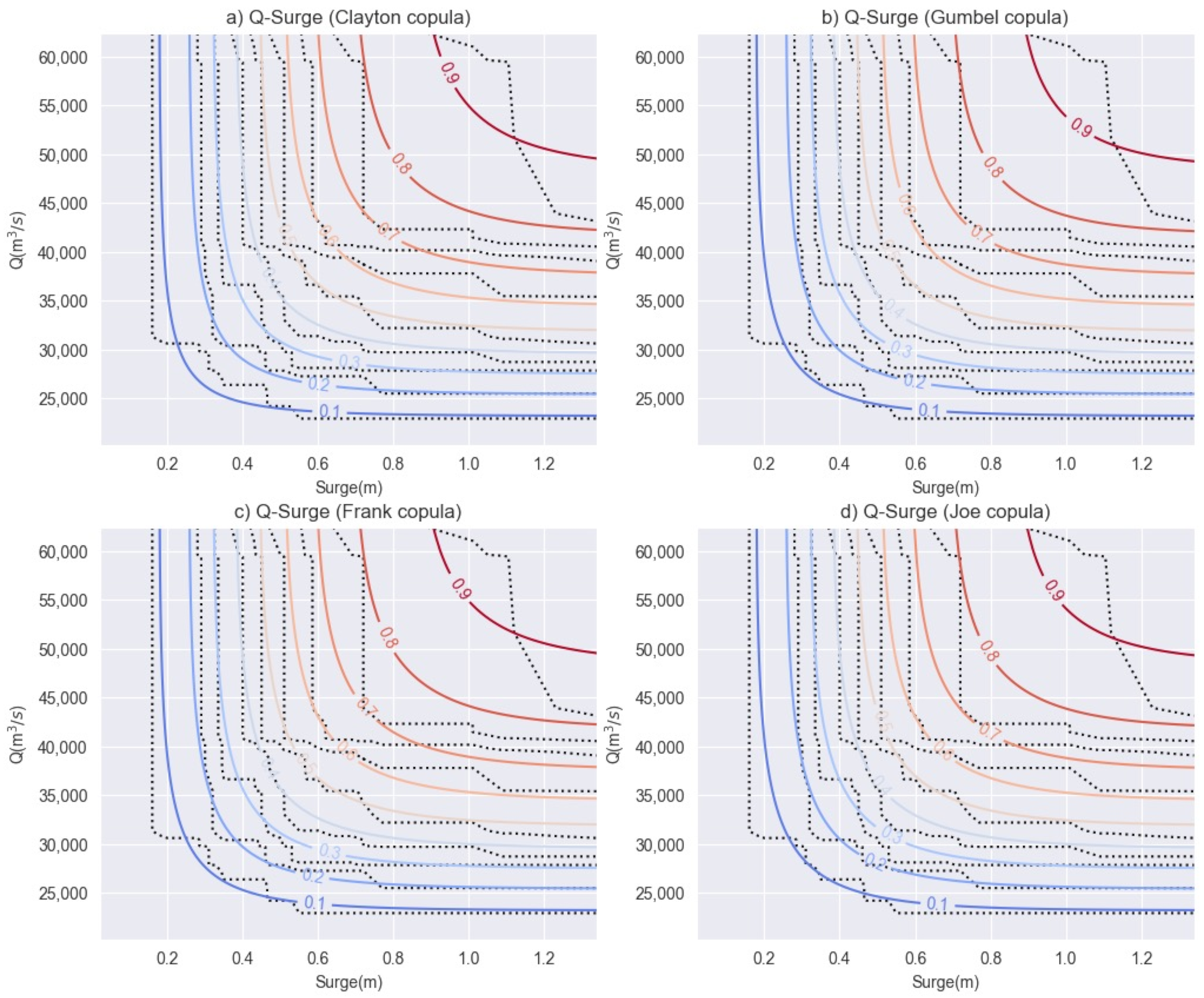
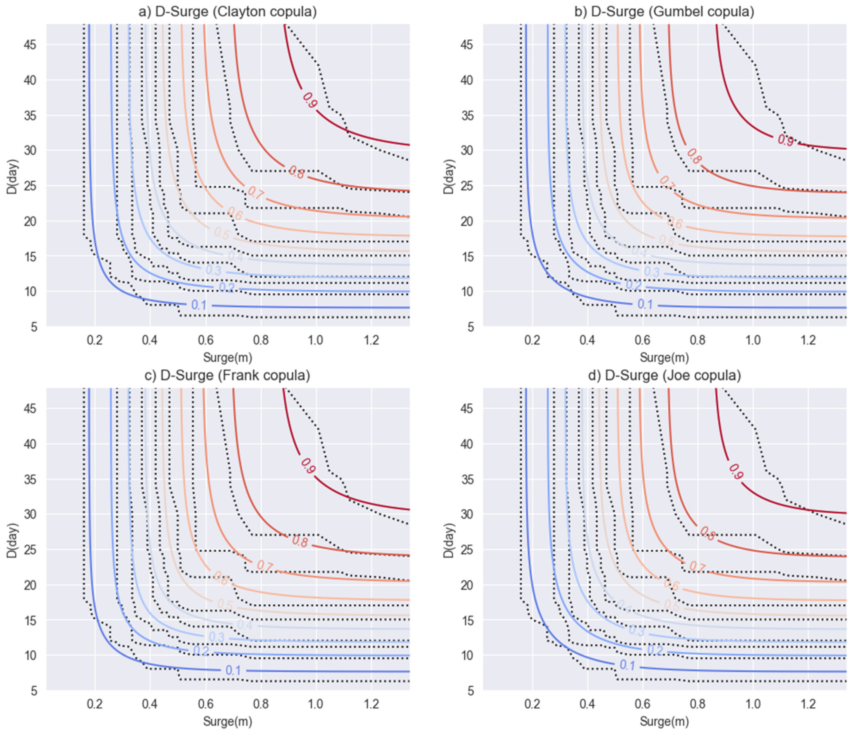
3.3. Joint Distribution
3.4. Bivariate RP
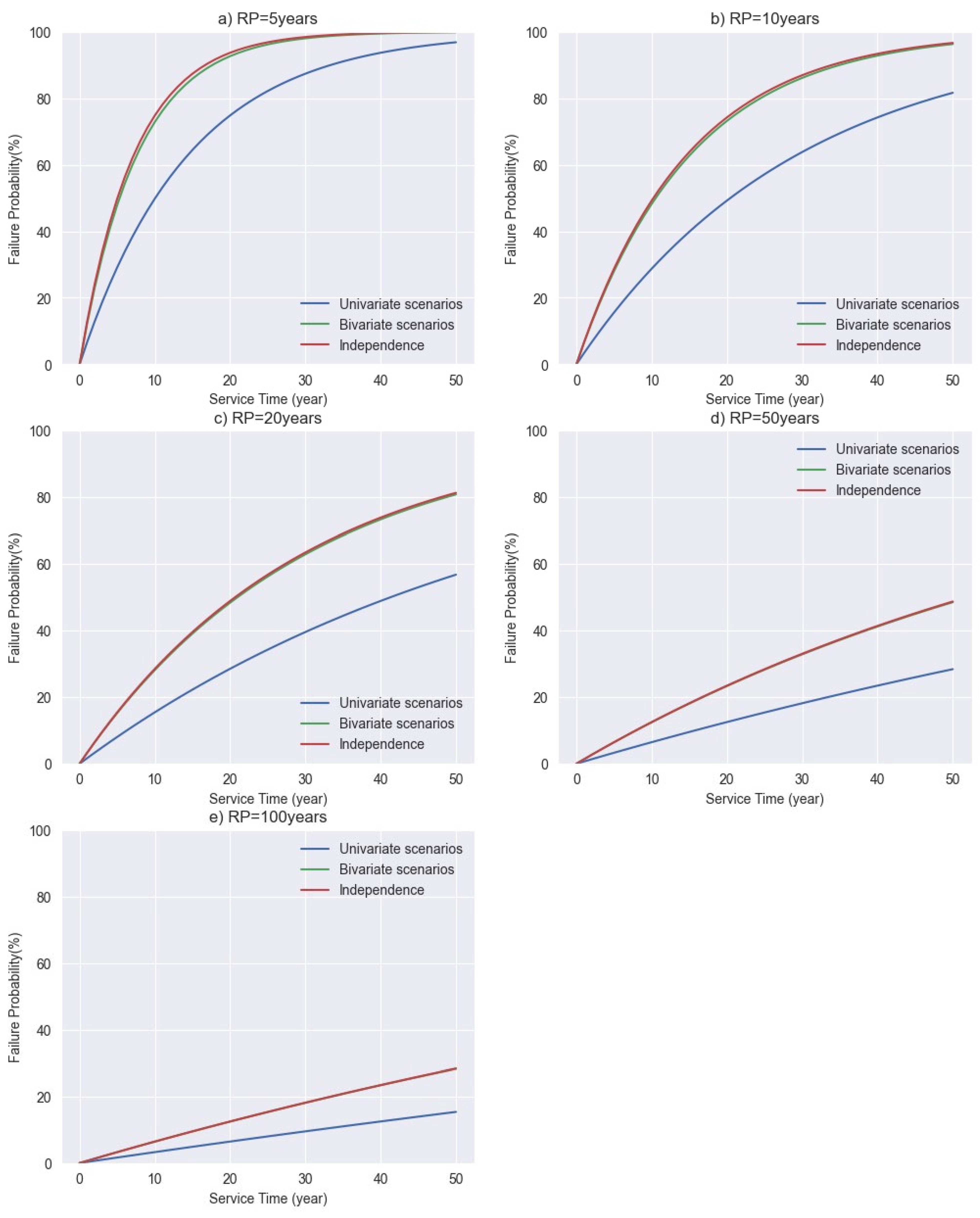
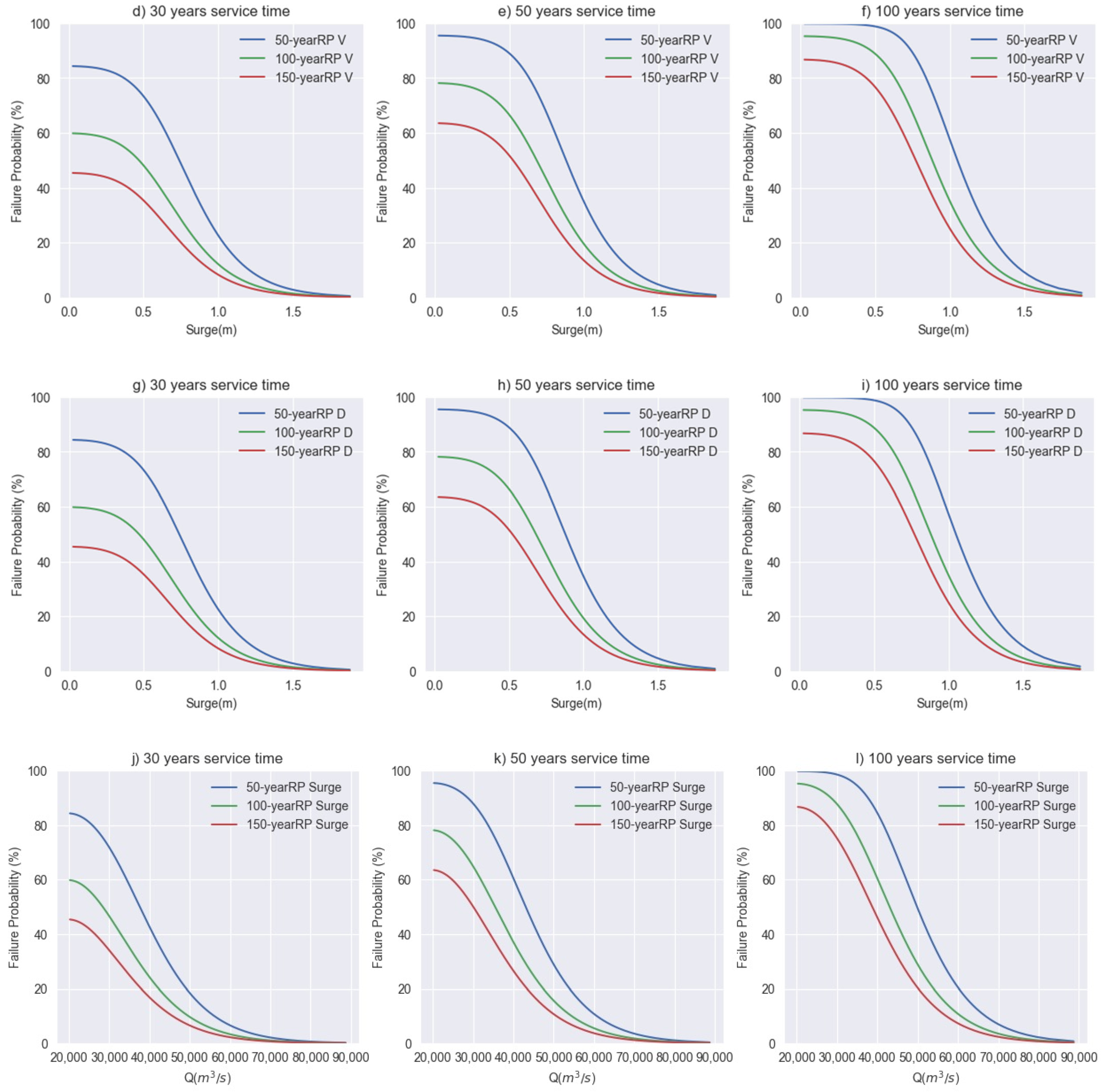
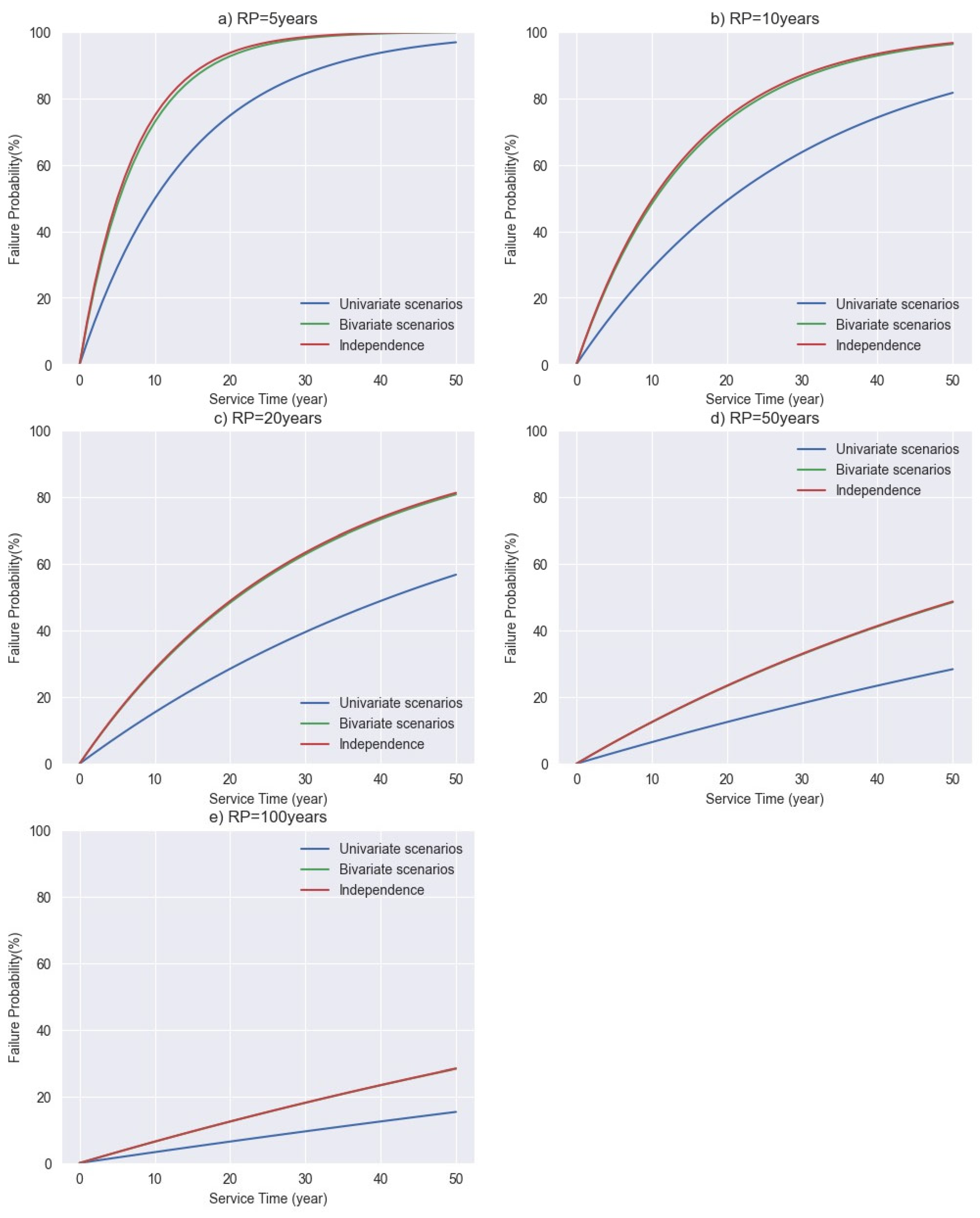
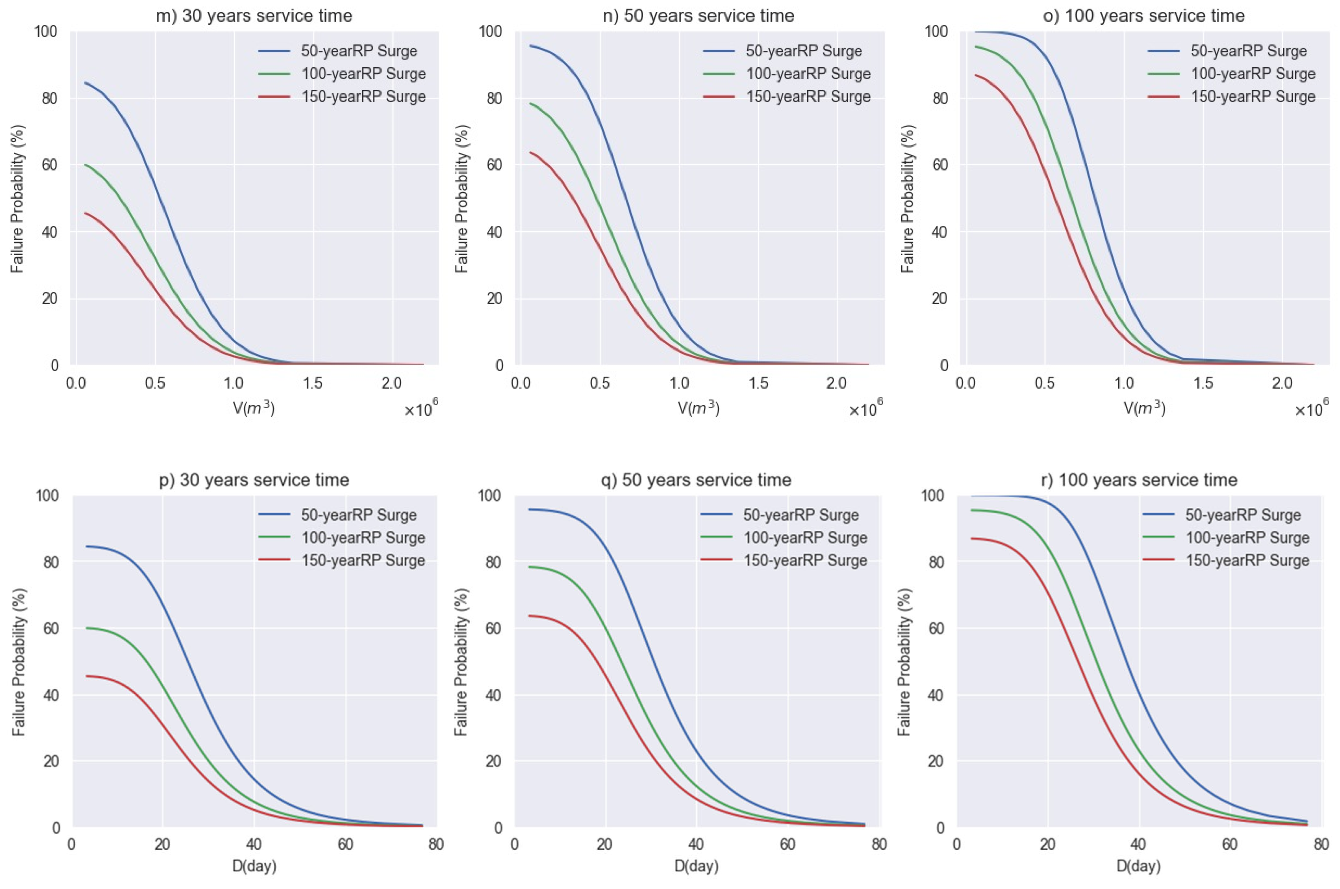
3.5. Compound Flood Risk
4. Conclusions and Discussions
Author Contributions
Funding
Data Availability Statement
Conflicts of Interest
References
- Kundzewicz, Z.W.; Kanae, S.; Seneviratne, S.I.; Handmer, J.; Nicholls, N.; Peduzzi, P.; Mechler, R.; Bouwer, L.M.; Arnell, N.; Mach, K.; et al. Flood risk and climate change: Global and regional perspectives. Hydrol. Sci. J. 2014, 59, 1–28. [Google Scholar] [CrossRef]
- Hemmati, M.; Ellingwood, B.R.; Mahmoud, H.N. The Role of Urban Growth in Resilience of Communities Under Flood Risk. Earth’s Futur. 2020, 8, e2019EF001382. [Google Scholar] [CrossRef]
- Muis, S.; Verlaan, M.; Winsemius, H.C.; Aerts, J.C.J.H.; Ward, P.J. A global reanalysis of storm surges and extreme sea levels. Nat. Commun. 2016, 7, 11969. [Google Scholar] [CrossRef]
- Hallegatte, S.; Green, C.; Nicholls, R.J.; Corfee-Morlot, J. Future flood losses in major coastal cities. Nat. Clim. Change 2013, 3, 802–806. [Google Scholar] [CrossRef]
- Lian, J.; Xu, H.; Xu, K.; Ma, C. Optimal management of the flooding risk caused by the joint occurrence of extreme rainfall and high tide level in a coastal city. Nat. Hazards 2017, 89, 183–200. [Google Scholar] [CrossRef]
- Zscheischler, J.; Martius, O.; Westra, S.; Bevacqua, E.; Raymond, C.; Horton, R.M.; van den Hurk, B.; AghaKouchak, A.; Jézéquel, A.; Mahecha, M.D.; et al. A typology of compound weather and climate events. Nat. Rev. Earth Environ. 2020, 1, 333–347. [Google Scholar] [CrossRef]
- Wahl, T.; Jain, S.; Bender, J.; Meyers, S.D.; Luther, M.E. Increasing risk of compound flooding from storm surge and rainfall for major US cities. Nat. Clim. Chang. 2015, 5, 1093–1097. [Google Scholar] [CrossRef]
- Moftakhari, H.R.; Salvadori, G.; AghaKouchak, A.; Sanders, B.F.; Matthew, R.A. Compounding effects of sea level rise and fluvial flooding. Proc. Natl. Acad. Sci. USA 2017, 114, 9785–9790. [Google Scholar] [CrossRef]
- Zscheischler, J.; Westra, S.; Van Den Hurk, B.J.J.M.; Seneviratne, S.I.; Ward, P.J.; Pitman, A.; AghaKouchak, A.; Bresch, D.N.; Leonard, M.; Wahl, T.; et al. Future climate risk from compound events. Nat. Clim. Chang. 2018, 8, 469–477. [Google Scholar] [CrossRef]
- Leonard, M.; Westra, S.; Phatak, A.; Lambert, M.; van den Hurk, B.; McInnes, K.; Risbey, J.; Schuster, S.; Jakob, D.; Stafford-Smith, M. A compound event framework for understanding extreme impacts. WIREs Clim. Chang. 2014, 5, 113–128. [Google Scholar] [CrossRef]
- Chao, S.R.; Ghansah, B.; Grant, R.J. An exploratory model to characterize the vulnerability of coastal buildings to storm surge flooding in Miami-Dade County, Florida. Appl. Geogr. 2021, 128, 102413. [Google Scholar] [CrossRef]
- GB 50015-2019; Standard for Design of Building Water Supply and Drainage. China Planning Press: Beijing, China, 2019.
- JTS 145-2-2013; Code of Hydrology for Sea Harbour. China Communication Press: Beijing, China, 2013.
- GB/T 51015-2014; Code for Design of Sea Dike Project. China Planning Press: Beijing, China, 2014.
- Chebana, F.; Dabo-Niang, S.; Ouarda, T.B.M.J. Exploratory functional flood frequency analysis and outlier detection. Water Resour. Res. 2012, 48, 4514. [Google Scholar] [CrossRef]
- Petroliagkis, T.I.; Voukouvalas, E.; Disperati, J.; Bidlot, J. Joint Probabilities of Storm Surge, Significant Wave Height and River Discharge Components of Coastal Flooding Events. European Commission-JRC Technical Reports, Italia. 2016. Available online: https://publications.jrc.ec.europa.eu/repository/handle/JRC100839 (accessed on 8 September 2022).
- Bevacqua, E.; Maraun, D.; Haff, I.H.; Widmann, M.; Vrac, M. Multivariate statistical modelling of compound events via pair-copula constructions: Analysis of floods in Ravenna (Italy). Hydrol. Earth Syst. Sci. 2017, 21, 2701–2723. [Google Scholar] [CrossRef]
- Lan, M.; Gardoni, P.; Luo, R.; Zhu, J.; Lo, S. Risk-driven statistical modeling for hurricane-induced compound events: Design event implementation for industrial areas subjected to coastal floods and winds. Ocean Eng. 2022, 251, 111159. [Google Scholar] [CrossRef]
- Adamson, P.T.; Metcalfe, A.V.; Parmentier, B. Bivariate extreme value distributions: An application of the Gibbs Sampler to the analysis of floods. Water Resour. Res. 1999, 35, 2825–2832. [Google Scholar] [CrossRef]
- Qin, X.S.; Lu, Y. Study of Climate Change Impact on Flood Frequencies: A Combined Weather Generator and Hydrological Modeling Approach. J. Hydrometeorol. 2014, 15, 1205–1219. [Google Scholar] [CrossRef]
- Qin, X.S. Assessing environmental risks through fuzzy parameterized probabilistic analysis. Stoch. Environ. Res. Risk Assess. 2012, 26, 43–58. [Google Scholar] [CrossRef]
- Fan, Y.R.; Huang, W.W.; Huang, G.H.; Huang, K.; Li, Y.P.; Kong, X.M. Bivariate hydrologic risk analysis based on a coupled entropy-copula method for the Xiangxi River in the Three Gorges Reservoir area, China. Theor. Appl. Clim. 2016, 125, 381–397. [Google Scholar] [CrossRef]
- Ganguli, P.; Reddy, M.J. Probabilistic assessment of flood risks using trivariate copulas. Theor. Appl. Clim. 2013, 111, 341–360. [Google Scholar] [CrossRef]
- Xu, Y.; Huang, G.H.; Fan, Y.R. Multivariate flood risk analysis for Wei River. Stoch. Environ. Res. Risk Assess. 2017, 31, 225–242. [Google Scholar] [CrossRef]
- Zhang, L.; Singh, V.P. Bivariate Flood Frequency Analysis Using the Copula Method. J. Hydrol. Eng. 2006, 11, 150–164. [Google Scholar] [CrossRef]
- Mahmoudi, M.H.; Najafi, M.R.; Singh, H.; Schnorbus, M. Spatial and temporal changes in climate extremes over northwestern North America: The influence of internal climate variability and external forcing. Clim. Chang. 2021, 165, 14. [Google Scholar] [CrossRef]
- Xu, H.; Tian, Z.; Sun, L.; Ye, Q.; Ragno, E.; Bricker, J.; Mao, G.; Tan, J.; Wang, J.; Ke, Q.; et al. Compound flood impact of water level and rainfall during tropical cyclone periods in a coastal city: The case of Shanghai. Nat. Hazards Earth Syst. Sci. 2022, 22, 2347–2358. [Google Scholar] [CrossRef]
- Svensson, C.; Jones, D.A. Dependence between sea surge, river flow and precipitation in south and west Britain. Hydrol. Earth Syst. Sci. 2004, 8, 973–992. [Google Scholar] [CrossRef]
- Chebana, F.; Ouarda, T. Multivariate quantiles in hydrological frequency analysis. Environmetrics 2011, 22, 63–78. [Google Scholar] [CrossRef]
- Ward, P.J.; Couasnon, A.; Eilander, D.; Haigh, I.D.; Hendry, A.; Muis, S.; I E Veldkamp, T.; Winsemius, H.C.; Wahl, T. Dependence between high sea-level and high river discharge increases flood hazard in global deltas and estuaries. Environ. Res. Lett. 2018, 13, 084012. [Google Scholar] [CrossRef]
- Chao, Z.; Wang, H.; Hu, S.; Wang, M.; Xu, S.; Zhang, W. Permeability and porosity of light-weight concrete with plastic waste aggregate: Experimental study and machine learning modelling. Constr. Build. Mater. 2024, 411, 134465. [Google Scholar] [CrossRef]
- Chao, Z.; Shi, D.; Fowmes, G. Mechanical behaviour of soil under drying–wetting cycles and vertical confining pressures. Environ. Geotech. 2023, 63, 101–109. [Google Scholar] [CrossRef]
- Read, L.K.; Vogel, R.M. Reliability, return periods, and risk under nonstationarity. Water Resour. Res. 2015, 51, 6381–6398. [Google Scholar] [CrossRef]
- Xu, H.; Xu, K.; Lian, J.; Ma, C. Compound effects of rainfall and storm tides on coastal flooding risk. Stoch. Environ. Res. Risk Assess. 2019, 33, 1249–1261. [Google Scholar] [CrossRef]
- Pirani, F.J.; Najafi, M.R. Characterizing compound flooding potential and the corresponding driving mechanisms across coastal environments. Stoch. Environ. Res. Risk Assess. 2023, 37, 1943–1961. [Google Scholar] [CrossRef]
- Serinaldi, F. Dismissing return periods! Stoch. Environ. Res. Risk Assess. 2015, 29, 1179–1189. [Google Scholar] [CrossRef]
- Liu, J.; Wen, J.; Huang, Y.; Shi, M.; Meng, Q.; Ding, J.; Xu, H. Human settlement and regional development in the context of climate change: A spatial analysis of low elevation coastal zones in China. Mitig. Adapt. Strat. Glob. Chang. 2015, 20, 527–546. [Google Scholar] [CrossRef]
- Fang, J.; Lincke, D.; Brown, S.; Nicholls, R.J.; Wolff, C.; Merkens, J.-L.; Hinkel, J.; Vafeidis, A.T.; Shi, P.; Liu, M. Coastal flood risks in China through the 21st century—An application of DIVA. Sci. Total. Environ. 2020, 704, 135311. [Google Scholar] [CrossRef] [PubMed]
- Zhang, C.; Yin, K.; Shi, X.; Yan, X. Risk assessment for typhoon storm surges using geospatial techniques for the coastal areas of Guangdong, China. Ocean Coast. Manag. 2021, 213, 105880. [Google Scholar] [CrossRef]
- Fang, J.; Liu, W.; Yang, S.; Brown, S.; Nicholls, R.J.; Hinkel, J.; Shi, X.; Shi, P. Spatial-temporal changes of coastal and marine disasters risks and impacts in Mainland China. Ocean Coast. Manag. 2017, 139, 125–140. [Google Scholar] [CrossRef]
- Du, S.Q.; He, C.; Huang, Q.; Shi, P. How did the urban land in floodplains distribute and expand in China from 1992-2015? Environ. Res. Lett. 2018, 13, 034018. [Google Scholar] [CrossRef]
- Changjiang River Water Resource Committee. Hydrological Yearbooks of the People’s Republic of China; Changjiang River Water Resource Committee: Beijing, China, 2019. (In Chinese) [Google Scholar]
- Zhang, Q.; Gu, X.; Singh, V.P.; Xiao, M. Flood frequency analysis with consideration of hydrological alterations: Changing properties, causes and implications. J. Hydrol. 2014, 519, 803–813. [Google Scholar] [CrossRef]
- Zhang, W.; Cao, Y.; Zhu, Y.; Wu, Y.; Ji, X.; He, Y.; Xu, Y.; Wang, W. Flood frequency analysis for alterations of extreme maximum water levels in the Pearl River Delta. Ocean Eng. 2017, 129, 117–132. [Google Scholar] [CrossRef]
- Feng, X.; Zhang, W.; Zhu, Z.; Chevuturi, A.; Chen, W. Variability and changes in Pearl River Delta water level: Oceanic and atmospheric forcing perspectives. J. Hydrometeorol. 2021, 22, 2407–2422. [Google Scholar] [CrossRef]
- Zhao, Q.; Liu, Q.; Ma, L.; Ding, S.; Xu, S.; Wu, C.; Liu, P. Spatiotemporal variations in rainfall erosivity during the period of 1960–2011 in Guangdong Province, southern China. Theor. Appl. Climatol. 2017, 128, 113–128. [Google Scholar] [CrossRef]
- Deng, S.; Chen, T.; Yang, N.; Qu, L.; Li, M.; Chen, D. Spatial and temporal distribution of rainfall and drought characteristics across the Pearl River basin. Sci. Total. Environ. 2018, 619–620, 28–41. [Google Scholar] [CrossRef]
- Ribatet, M.; Sauquet, E.; Grésillon, J.-M.; Ouarda, T.B.M.J. A regional Bayesian POT model for flood frequency analysis. Stoch. Environ. Res. Risk Assess. 2007, 21, 327–339. [Google Scholar] [CrossRef]
- Zadeh, S.M.; Durocher, M.; Burn, D.H.; Ashkar, F. Pooled flood frequency analysis: A comparison based on peaks-over-threshold and annual maximum series. Hydrol. Sci. J. 2019, 64, 121–136. [Google Scholar] [CrossRef]
- Zhang, Q.; Zhang, L.; She, D.; Wang, S.; Wang, G.; Zeng, S. Automatic procedure for selecting flood events and identifying flood characteristics from daily streamflow data. Environ. Model. Softw. 2021, 145, 105180. [Google Scholar] [CrossRef]
- Lang, M.; Ouarda, T.; Bobée, B. Towards operational guidelines for over-threshold modeling. J. Hydrol. 1999, 225, 103–117. [Google Scholar] [CrossRef]
- Mazas, F.; Hamm, L. A multi-distribution approach to POT methods for determining extreme wave heights. Coast. Eng. 2011, 58, 385–394. [Google Scholar] [CrossRef]
- Bernardara, P.; Mazas, F.; Kergadallan, X.; Hamm, L. A two-step framework for over-threshold modelling of environmental extremes. Nat. Hazards Earth Syst. Sci. 2014, 14, 635–647. [Google Scholar] [CrossRef]
- Durocher, M.; Zadeh, S.M.; Burn, D.H.; Ashkar, F. Comparison of automatic procedures for selecting flood peaks over threshold based on goodness-of-fit tests. Hydrol. Process. 2018, 32, 2874–2887. [Google Scholar] [CrossRef]
- Xu, K.; Yang, D.; Xu, X.; Lei, H. Copula based drought frequency analysis considering the spatio-temporal variability in Southwest China. J. Hydrol. 2015, 527, 630–640. [Google Scholar] [CrossRef]
- Abdi, A.; Hassanzadeh, Y.; Talatahari, S.; Fakheri-Fard, A.; Mirabbasi, R. Regional bivariate modeling of droughts using L-comoments and copulas. Stoch. Environ. Res. Risk Assess. 2017, 31, 1199–1210. [Google Scholar] [CrossRef]
- Zhang, Q.; Singh, V.P.; Li, J.; Jiang, F.; Bai, Y. Spatio-temporal variations of precipitation extremes in Xinjiang, China. J. Hydrol. 2012, 434–435, 7–18. [Google Scholar] [CrossRef]
- Li, F.; Zheng, Q. Probabilistic modelling of flood events using the entropy copula. Adv. Water Resour. 2016, 97, 233–240. [Google Scholar] [CrossRef]
- Nelsen, R.B. An Introduction to Copulas; Springer: Berlin/Heidelberg, Germany, 2006. [Google Scholar]
- Joe, H. Dependence Modeling with Copulas; CRC Press: Boca Raton, FL, USA, 2014. [Google Scholar]
- Zhang, L.; Singh, V.P. Bivariate Rainfall and Runoff Analysis Using Entropy and Copula Theories. Entropy 2012, 14, 1784–1812. [Google Scholar] [CrossRef]
- Pirani, F.J.; Najafi, M.R. Multivariate Analysis of Compound Flood Hazard Across Canada’s Atlantic, Pacific and Great Lakes Coastal Areas. Earths Future 2022, 10, e2022EF002655. [Google Scholar] [CrossRef]
- Frahm, G.; Junker, M.; Schmidt, R. Estimating the tail-dependence coefficient: Properties and pitfalls. Insur. Math. Econ. 2005, 37, 80–100. [Google Scholar] [CrossRef]
- Salvadori, G.; De Michele, C. Multivariate multiparameter extreme value models and return periods: A copula approach. Water Resour. Res. 2010, 46, 10. [Google Scholar] [CrossRef]
- Fisher, N.I.; Switzer, P. Graphical assessment of dependence: Is a picture worth 100 tests? Am. Stat. 2001, 55, 233–239. [Google Scholar] [CrossRef]
- Killiches, M.; Kraus, D.; Czado, C. Using model distances to investigate the simplifying assumption, model selection and truncation levels for vine copulas. arXiv 2016, arXiv:1610.08795. [Google Scholar]
















| Surge (m) | River Discharge | |||
|---|---|---|---|---|
| Q (m3/s) | V (m3) | D (Day) | ||
| mean | 0.491 | 34,287 | 319,133 | 17.54 |
| std | 0.295 | 10,494 | 238,885 | 9.53 |
| min | 0.020 | 20,230 | 59,380 | 5 |
| 25% | 0.310 | 27,820 | 159,620 | 11 |
| 50% | 0.430 | 30,800 | 255,980 | 16 |
| 75% | 0.585 | 40,150 | 387,050 | 22 |
| max | 1.340 | 62,400 | 1,027,330 | 48 |
| skewness | 1.153 | 1.1993 | 1.4458 | 1.1796 |
| kurtosis | 1.371 | 1.3439 | 1.7219 | 1.8128 |
| Name of Copula | Generator | ||
|---|---|---|---|
| Clayton | |||
| Gumbel | |||
| Frank | |||
| Joe |
| Pair | Pearson’s r | Kendall’s τ | Spearman’s ρ |
|---|---|---|---|
| S-Q | 0.139 | 0.078 | 0.125 |
| S-V | 0.332 | 0.288 | 0.401 |
| S-D | 0.403 | 0.289 | 0.413 |
| Variable | Distribution | c | loc | Scale | K-S | p-Value |
|---|---|---|---|---|---|---|
| Surge | Gamma | 4.076 | −0.085 | 0.141 | 0.077 | 0.977 |
| Genextreme | −0.029 | 0.358 | 0.218 | 0.068 | 0.993 | |
| Genpareto | −0.469 | 0.020 | 0.680 | 0.173 | 0.222 | |
| Lognorm | 0.373 | −0.258 | 0.698 | 0.071 | 0.989 | |
| Gumbel | NaN | 0.362 | 0.220 | 0.064 | 0.997 | |
| Pearson3 | 0.991 | 0.491 | 0.285 | 0.077 | 0.977 | |
| Weibull | 1.447 | 0.099 | 0.440 | 0.075 | 0.981 | |
| Flood peak (Q) | Gamma | 2.033 | 19,093 | 7471 | 0.088 | 0.925 |
| Genextreme | −7.382 | 20,230 | 0.760 | 0.705 | 0.000 | |
| Genpareto | −1.078 | −126 | 67402 | 0.306 | 0.002 | |
| Lognorm | 11.706 | 20,230 | 0.974 | 0.679 | 0.000 | |
| Gumbel | NaN | 29,725 | 7519 | 0.096 | 0.877 | |
| Pearson3 | 1.403 | 34,286 | 10,654 | 0.088 | 0.925 | |
| Weibull | 1.395 | 19,837 | 15,808 | 0.094 | 0.891 | |
| Flood volume (V) | Gamma | 0.841 | 59,380 | 272,645 | 0.177 | 0.196 |
| Genextreme | −8.815 | 59,380 | 1.351 | 0.692 | 0.000 | |
| Genpareto | −0.138 | 59,346 | 295,485 | 0.113 | 0.722 | |
| Lognorm | 9.439 | 59,380 | 1.496 | 0.767 | 0.000 | |
| Gumbel | NaN | 219,386 | 155,162 | 0.150 | 0.372 | |
| Pearson3 | 2.097 | 302,643 | 255,024 | 0.147 | 0.402 | |
| Weibull | 0.953 | 59,380 | 255,074 | 0.124 | 0.606 | |
| Flood duration (D) | Gamma | 1.809 | 4.022 | 7.473 | 0.123 | 0.621 |
| Genextreme | −0.086 | 13.036 | 6.744 | 0.094 | 0.887 | |
| Genpareto | −0.296 | 4.605 | 16.455 | 0.167 | 0.255 | |
| Lognorm | 0.489 | −1.463 | 16.906 | 0.095 | 0.880 | |
| Gumbel | NaN | 13.357 | 6.993 | 0.103 | 0.815 | |
| Pearson3 | 1.487 | 17.543 | 10.052 | 0.123 | 0.621 | |
| Weibull | 1.342 | 4.565 | 14.076 | 0.124 | 0.613 |
| Pair | Name of Copula | Parameter | Log-Likelihood | AIC | BIC |
|---|---|---|---|---|---|
| Surge-Q | Clayton | 0.349 | 1.727 | −1.454 | 0.101 |
| Gumbel | 1.109 | 0.512 | 0.976 | 2.531 | |
| Frank | 0.865 | 0.344 | 1.313 | 2.868 | |
| Joe | 1.094 | 0.225 | 1.550 | 3.106 | |
| Surge-V | Clayton | 0.263 | 2.359 | −2.717 | −1.162 |
| Gumbel | 1.265 | 2.304 | −2.608 | −1.053 | |
| Frank | 2.734 | 3.111 | −4.222 | −2.666 | |
| Joe | 1.258 | 1.079 | −0.158 | 1.397 | |
| Surge-D | Clayton | 0.500 | 2.283 | −2.566 | −1.011 |
| Gumbel | 1.307 | 2.605 | −3.209 | −1.654 | |
| Frank | 2.709 | 3.257 | −4.513 | −2.958 | |
| Joe | 1.388 | 1.899 | −1.798 | −0.243 |
| T | ||||||
|---|---|---|---|---|---|---|
| 5 | 56.90 | 30.23 | 30.42 | 2.61 | 2.73 | 2.72 |
| 10 | 225.00 | 111.84 | 112.61 | 5.11 | 5.23 | 5.23 |
| 20 | 894.82 | 428.96 | 432.03 | 10.11 | 10.24 | 10.24 |
| 50 | 5573.23 | 2611.35 | 2630.72 | 25.11 | 25.24 | 25.24 |
| 100 | 22,267.03 | 10,352.21 | 10,429.82 | 50.11 | 50.24 | 50.24 |
Disclaimer/Publisher’s Note: The statements, opinions and data contained in all publications are solely those of the individual author(s) and contributor(s) and not of MDPI and/or the editor(s). MDPI and/or the editor(s) disclaim responsibility for any injury to people or property resulting from any ideas, methods, instructions or products referred to in the content. |
© 2024 by the authors. Licensee MDPI, Basel, Switzerland. This article is an open access article distributed under the terms and conditions of the Creative Commons Attribution (CC BY) license (https://creativecommons.org/licenses/by/4.0/).
Share and Cite
Zhu, Z.; Zhang, W.; Zhu, W. Compound Impact of Storm Surge and Flood Characteristics in Coastal Area Based on Copula. Water 2024, 16, 270. https://doi.org/10.3390/w16020270
Zhu Z, Zhang W, Zhu W. Compound Impact of Storm Surge and Flood Characteristics in Coastal Area Based on Copula. Water. 2024; 16(2):270. https://doi.org/10.3390/w16020270
Chicago/Turabian StyleZhu, Zhenglei, Wei Zhang, and Wenjin Zhu. 2024. "Compound Impact of Storm Surge and Flood Characteristics in Coastal Area Based on Copula" Water 16, no. 2: 270. https://doi.org/10.3390/w16020270
APA StyleZhu, Z., Zhang, W., & Zhu, W. (2024). Compound Impact of Storm Surge and Flood Characteristics in Coastal Area Based on Copula. Water, 16(2), 270. https://doi.org/10.3390/w16020270
