Assessment of Leachate Generated by Sargassum spp. in the Mexican Caribbean: Part 2, Mobility of Metals
Abstract
1. Introduction
2. Material and Methods
2.1. Study Sites
2.2. COLSAR Design and Operation to Generate Leachate
2.3. Leachate Collection and Characterization
2.4. Determination of Metals in Water from the Sargassum Collection Site and Sargassum as Tissue
2.5. Metals in Sargasso
2.6. Metals in the Water and Leachate
3. Results
3.1. Metals in Water
3.2. Metals in Tissue
3.3. Metals in Leachate
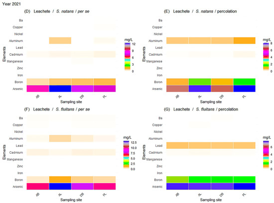
3.3.1. Metals: Leachate Generation Per Se as a Consortium and by Species
3.3.2. Metals: Leachate Generated through Percolation as a Consortium and by Species
4. Discussion
5. Conclusions
Supplementary Materials
Author Contributions
Funding
Data Availability Statement
Acknowledgments
Conflicts of Interest
References
- Durand, L.; Sundberg, J.; Rodríguez-Martínez, R.E. Seaweed blooms in paradise: Ecological reflexivity, governance and the Sargassum crisis in the Mexican Caribbean. Ocean Coast. Res. 2024, 72, e24014. [Google Scholar] [CrossRef]
- Lourenço, R.A.; Magalhães, C.A.; Taniguchi, S.; Siqueira, S.G.L.; Jacobucci, G.B.; Leite, F.P.P.; Bícego, M.C. Evaluation of macroalgae and amphipods as bioindicators of petroleum hydrocarbons input into the marine environment. Mar. Pollut. Bull. 2019, 145, 564–568. [Google Scholar] [CrossRef] [PubMed]
- Rodríguez-Muñoz, R.; Muñiz-Castillo, A.I.; Euán-Avila, J.I.; Hernández-Núñez, H.; Valdés-Lozano, D.S.; Collí-Dulá, R.C.; Arias-González, J.E. Assessing temporal dynamics on pelagic Sargassum influx and its relationship with water quality parameters in the Mexican Caribbean. Reg. Stud. Mar. Sci. 2021, 48, 102005. [Google Scholar] [CrossRef]
- Rodríguez-Martínez, R.E.; Torres-Conde, E.G.; Jordán-Dahlgren, E. Pelagic Sargassum cleanup cost in Mexico. Ocean Coast. Man. 2023, 237, 106542. [Google Scholar] [CrossRef]
- Fidai, Y.A.; Machado, C.B.; Almela, V.D.; Oxenford, H.A.; Jayson-Quashigah, P.N.; Tonon, T.; Dash, J. Innovative spectral characterisation of beached pelagic sargassum towards remote estimation of biochemical and phenotypic properties. Sci. Total Environ. 2024, 914, 169789. [Google Scholar] [CrossRef]
- SEMARNAT. Lineamientos Técnicos y de Gestión para la Atención de la Contingencia Ocasionada por Sargazo en el Caribe Mexicano y el Golfo de México. Gobierno de Mexico Home Page. Available online: https://www.gob.mx/semarnat/documentos/lineamientos-tecnicos-y-de-gestion-para-la-atencion-de-la-contingencia-ocasionada-por-sargazo-en-el-caribe-mexicano-y-el-golfo-de-mexico (accessed on 13 June 2021).
- Adhikari, B.; Dahal, K.R.; Khanal, S.N. A review of factors affecting the composition of municipal solid waste landfill leachate. Int. J. Eng. Sci. Innov. Tech. 2014, 3, 273–281. [Google Scholar]
- Aziz Abdul, H.; Mohd. Zahari, M.; Bashir, M.; Hung, Y.T. Chapter 13: Groundwater Contamination at Landfill Site. In Handbook of Environment and Waste Management, Land and Groundwater Pollution Control; Hung., Y.T., Wang, L., Shammas, N., Eds.; World Scientific Publishing Company: Singapore, 2014; Volume 2, pp. 781–799. [Google Scholar] [CrossRef]
- Devault, D.A.; Pierre, R.; Marfaing, H.; Dolique, F.; Lopez, P.J. Sargassum contamination and consequences for downstream uses: A review. J. Appl. Phycol. 2021, 33, 567–602. [Google Scholar] [CrossRef]
- Yang, R.; Ren, J.; Chang, X.; Yang, K. Seepage Model of Heterogeneous Municipal Solid Waste Landfill and Application under Process of Waste Accumulation. Water 2023, 15, 4115. [Google Scholar] [CrossRef]
- Antonio-Martínez, F.; Henaut, Y.; Vega-Zepeda, A.; Cerón-Flores, A.I.; Raigoza-Figueras, R.; Cetz-Navarro, N.P.; Espinoza-Avalos, J. Leachate effects of pelagic Sargassum spp. on larval swimming behavior of the coral Acropora palmata. Sci. Rep. 2020, 10, 3910. [Google Scholar] [CrossRef]
- Wijekoon, P.; Koliyabandara, P.A.; Cooray, A.T.; Lam, S.S.; Athapattu, B.C.L.; Vithanage, M. Progress and prospects in mitigation of landfill leachate pollution: Risk, pollution potential, treatment and challenges. J. Hazard. Mater. 2022, 421, 126627. [Google Scholar] [CrossRef]
- Zhao, Z.-F.; Zhong, Z.-H.; Wang, X.; Li, J.-L.; Tong, S.-Y.; Zhang, J.-H.; Liu, Z.-Y.; Qin, S. Effects of desiccation and rehydration on carbon fixation and DOC release in Sargassum thunbergii. Aquat. Bot. 2022, 179, 103516. [Google Scholar] [CrossRef]
- Azcorra-May, K.J.; Olguin-Maciel, E.; Dominguez-Maldonado, J.; Toledano-Thompson, T.; Leal-Bautista, R.M.; Alzate-Gaviria, L.; Tapia-Tussell, R. Sargassum biorefineries: Potential opportunities towards shifting from wastes to products. Biomass Convers. Biorefin. 2023, 14, 1837–1845. [Google Scholar] [CrossRef]
- Saldarriaga-Hernández, S.; Hernández-Vargas, G.; Iqbal, H.M.; Barceló, D.; Parra-Saldívar, R. Bioremediation potential of Sargassum sp. biomass to tackle pollution in coastal ecosystems: Circular economy approach. Sci. Total Environ. 2020, 715, 136978. [Google Scholar] [CrossRef]
- Mohammad, A.; Singh, D.N.; Podlasek, A.; Osinski, P.; Koda, E. Leachate characteristics: Potential indicators for monitoring various phases of municipal solid waste decomposition in a bioreactor landfill. J. Environ. Manag. 2022, 309, 114683. [Google Scholar] [CrossRef]
- Domínguez-Maldonado, J.A.; Solís-Pereira, S.E.; Valle-Gough, R.E.; Álvarez, A.A.M.; Olguín-Maciel, E.; Alzate-Gaviria, L.; Tapia-Tussell, R. Microbial communities present in Sargassum spp. leachates from the Mexican Caribbean which are involved in their degradation in the environment, a tool to tackle the problem. Environ. Sci. Pollut. Res. 2024, 31, 19904–19916. [Google Scholar] [CrossRef]
- Ortega-Flores, P.A.; Serviere-Zaragoza, E.; De Anda-Montañez, J.A.; Freile-Pelegrín, Y.; Robledo, D.; Méndez-Rodríguez, L.C. Trace elements in pelagic Sargassum species in the Mexican Caribbean: Identification of key variables affecting arsenic accumulation in S. fluitans. Sci. Total Environ. 2022, 806, 150657. [Google Scholar] [CrossRef] [PubMed]
- Rodríguez-Martínez, R.E.; Roy, P.D.; Torrescano-Valle, N.; Cabanillas-Terán, N.; Carrillo-Domínguez, S.; Collado-Vides, L.; García-Sánchez, M.; van Tussenbroek, B.I. Element concentrations in pelagic Sargassum along the Mexican Caribbean coast in 2018–2019. PeerJ 2020, 8, 8667. [Google Scholar] [CrossRef]
- Olguin-Maciel, E.; Leal-Bautista, R.M.; Alzate-Gaviria, L.; Domínguez-Maldonado, J.; Tapia-Tussell, R. Environmental impact of Sargassum spp. landings: An evaluation of leachate released from natural decomposition at Mexican Caribbean coast. Environ. Sci. Pollut. Res. 2022, 29, 91071–91080. [Google Scholar] [CrossRef]
- Metcalfe, C.D.; Beddows, P.A.; Bouchot, G.G.; Metcalfe, T.L.; Li, H.; Van Lavieren, H. Contaminants in the coastal karst aquifer system along the Caribbean coast of the Yucatan Peninsula, Mexico. Environ. Pollut. 2011, 159, 991–997. [Google Scholar] [CrossRef]
- Leal-Bautista, R.M.; Rodriguez-Garcia, J.C.; Acosta-González, G.; Chablé-Villacis, R.; Tapia-Tussell, R.; Bautista-García, J.E.; Olguìn-Maciel, E.; Alzate-Gaviria, L.; González-López, G. Assessment of Leachate Generated by Sargassum spp. in the Mexican Caribe: Part 1 Spatial Variations. Water 2024, 16, 1251. [Google Scholar] [CrossRef]
- CONAGUA. Estadisticas del Agua en Mexico, Atlas del Agua en México 2010. Comision Nacional del Agua Home page. Available online: http://www.conagua.gob.mx/CONAGUA07/Publicaciones/Publicaciones/ATLAS2015 (accessed on 17 October 2020).
- CONAGUA. Estadisticas del Agua en Mexico, Atlas del Agua en México 2018. Comision Nacional del Agua Home page. Available online: http://www.conagua.gob.mx/CONAGUA07/Publicaciones/Publicaciones/ATLAS2019 (accessed on 17 October 2020).
- NMX-AA-008-SCFI-2016. Análisis de Agua. Medición del pH en Aguas Naturales, Residuales y Residuales Tratadas. Método de Prueba (Cancela a la NMXAA-008-SCFI-2011). Secretaría de Economía. Unidad de Normatividad, Competitividad y Competencia. Dirección General de Normas. Diario Oficial de la Federación Home Page. Available online: https://www.dof.gob.mx/nota_detalle.php?codigo=5452147&fecha=09/09/2016#gsc.tab=0 (accessed on 13 July 2020).
- NMX-AA-093-SCFI-2018. Análisis de Agua-Medición de la Conductividad Eléctrica en Aguas Naturales, Residuales y Residuales Tratadas. Método de Prueba (Cancela a la NMX-AA-093-SCFI-2000). Secretaría de Economía. Unidad de Normatividad, Competitividad y Competencia. Dirección General de Normas. Diario Oficial de la Federación Home Page. Available online: https://www.dof.gob.mx/nota_detalle.php?codigo=5529045&fecha=26/06/2018#gsc.tab=0 (accessed on 13 July 2020).
- Cipolloni, O.A.; Gigault, J.; Dassié, É.P.; Baudrimont, M.; Gourves, P.Y.; Amaral-Zettler, L.; Pascal, P.Y. Metals and metalloids concentrations in three genotypes of pelagic Sargassum from the Atlantic Ocean Basin-scale. Mar. Pollut. Bull. 2022, 178, 113564. [Google Scholar] [CrossRef] [PubMed]
- Rice, E.W.; Bridgewater, L. Standard Methods for the Examination of Water and Wastewater; American Public Health Association, Ed.; American Public Health Association: Washington, DC, USA, 2012; Volume 10. [Google Scholar]
- NMX-AA-099-SCFI-2021. Análisis de Agua-Medición de Nitrógeno de Nitritos en Aguas Naturales, Residuales, Residuales Tratadas y Marinas. Método de Prueba (Cancela a la NMX-AA-099-SCFI-2006). Secretaría de Economía. Unidad de Normatividad, Competitividad y Competencia. Dirección General de Normas. Diario Oficial de la Federación Home Page. Available online: https://dof.gob.mx/nota_detalle.php?codigo=5629556&fecha=13/09/2021#gsc.tab=0 (accessed on 14 July 2020).
- Method 350.1: Nitrogen, Ammonia (Colorimetric, Automated Phenate). Revision 2.0. Environmental Sampling and Analytical Methods (ESAM) Program. United States Environmental Protection Agency Home Page. Available online: https://www.epa.gov/esam/epa-method-3501-determination-ammonia-nitrogen-semi-automated-colorimetry (accessed on 11 August 2020).
- Method 352.1: Nitrogen, Nitrate (Colorimetric, Brucine) by Spectrophotometer. Environmental Sampling and Analytical Methods (ESAM) Program. United States Environmental Protection Agency Home Page. Available online: https://www.epa.gov/sites/default/files/2015-08/documents/method_352-1_1971.pdf (accessed on 12 August 2020).
- 600/4-79-020. Methods for Chemical Analysis of Water and Wastes. Environmental Sampling and Analytical Methods (ESAM) Program. United States Environmental Protection Agency Home Page. Available online: https://www.wbdg.org/FFC/EPA/EPACRIT/epa600_4_79_020.pdf (accessed on 13 August 2020).
- SW-846 Test Method 3052: Microwave Assisted Acid Digestion of Siliceous and Organically Based Matrices. Environmental Sampling and Analytical Methods (ESAM) Program. United States Environmental Protection Agency Home Page. Available online: https://www.epa.gov/hw-sw846/sw-846-test-method-3052-microwave-assisted-acid-digestion-siliceous-and-organically-based (accessed on 18 August 2020).
- Vázquez-Delfín, E.; Freile-Pelegrín, Y.; Salazar-Garibay, A.; Serviere-Zaragoza, E.; Méndez-Rodríguez, L.C.; Robledo, D. Species composition and chemical characterization of Sargassum influx at six different locations along the Mexican Caribbean coast. Sci. Total Environ. 2021, 795, 148852. [Google Scholar] [CrossRef]
- Devault, D.A.; Massat, F.; Lambourdière, J.; Maridakis, C.; Dupuy, L.; Péné-Annette, A.; Dolique, F. Micropollutant content of Sargassum drifted ashore: Arsenic and chlordecone threat assessment and management recommendations for the Caribbean. Environ. Sci. Pollut. Res. 2022, 29, 66315–66334. [Google Scholar] [CrossRef] [PubMed]
- Morris, A.W.; Riley, J.P. The bromide/chlorinity and sulphate/chlorinity ratio in sea water. Deep-Sea Res. Ocean. Abstr. 1966, 13, 699–705. [Google Scholar] [CrossRef]
- González Fernández, L.A.; Navarro Frómeta, A.E.; Carranza Álvarez, C.; Flores Ramírez, R.; Díaz Flores, P.E.; Castillo Ramos, V.; Sánchez Polo, M.; Carrasco Marín, F.; Medellín Castillo, N.A. Valorization of Sargassum Biomass as Potential Material for the Remediation of Heavy-Metals-Contaminated Waters. Int. J. Environ. Res. Public Health 2023, 20, 2559. [Google Scholar] [CrossRef]
- Zhang, H.; Yuan, X.; Xiong, T.; Wang, H.; Jiang, L. Bioremediation of co-contaminated soil with heavy metals and pesticides: Influence factors, mechanisms and evaluation methods. J. Chem. Eng. 2020, 398, 125657. [Google Scholar] [CrossRef]
- Jayakumar, V.; Govindaradjane, S.; Rajamohan, N.; Rajasimman, M. Biosorption potential of brown algae, Sargassum polycystum, for the removal of toxic metals, cadmium and zinc. Environ. Sci. Pollut. Res. 2021, 29, 41909–41922. [Google Scholar] [CrossRef] [PubMed]
- Gobert, T.; Gautier, A.; Connan, S.; Rouget, M.L.; Thibaut, T.; Stiger-Pouvreau, V.; Waeles, M. Trace metal content from holopelagic Sargassum spp. sampled in the tropical North Atlantic Ocean: Emphasis on spatial variation of arsenic and phosphorus. Chemosphere 2022, 308, 136186. [Google Scholar] [CrossRef]
- Milledge, J.J.; Harvey, P.J. Golden Tides: Problem or golden opportunity? The valorisation of Sargassum from beach inundations. J. Mar. Sci. Eng. 2016, 4, 60. [Google Scholar] [CrossRef]
- Roy, D.; Azaïs, A.; Benkaraache, S.; Drogui, P.; Tyagi, R.D. Composting leachate: Characterization, treatment, and future perspectives. Rev. Environ. Sci. Biotechnol. 2018, 17, 323–349. [Google Scholar] [CrossRef]
- Abramov, S.; He, J.; Wimmer, D.; Lemloh, M.L.; Muehe, E.M.; Gann, B.; Roehm, E.; Kirchhof, R.; Babechuk, M.; Schoenberg, R.; et al. Heavy metal mobility and valuable contents of processed municipal solid waste incineration residues from Southwestern Germany. Waste Manag. 2018, 79, 735–743. [Google Scholar] [CrossRef] [PubMed]
- Fang, H.; Huang, L.; Wang, J.; He, G.; Reible, D. Environmental assessment of heavy metal transport and transformation in the Hangzhou Bay, China. J. Hazard. Mater. 2016, 302, 447–457. [Google Scholar] [CrossRef] [PubMed]
- Elgarahy, A.M.; Elwakeel, K.Z.; Mohammad, S.H.; Elshoubaky, G.A. A critical review of biosorption of dyes, heavy metals and metalloids from wastewater as an efficient and green process. Clean. Eng. Technol. 2021, 4, 100209. [Google Scholar] [CrossRef]
- Ankit; Bauddh, K.; Korstad, J. Phycoremediation: Use of Algae to Sequester Heavy Metals. Hydrobiology 2022, 1, 288–303. [Google Scholar] [CrossRef]
- Ali Redha, A. Removal of heavy metals from aqueous media by biosorption. Arab. J. Basic Appl. Sci. 2020, 27, 183–193. [Google Scholar] [CrossRef]
- Davis, D.; Simister, R.; Campbell, S.; Marston, M.; Bose, S.; McQueen-Mason, S.J.; Gomez, L.D.; Gallimore, W.A.; Tonon, T. Biomass composition of the golden tide pelagic seaweeds Sargassum fluitans and S. natans (morphotypes I and VIII) to inform valorisation pathways. Sci. Total Environ. 2021, 762, 143134. [Google Scholar] [CrossRef]
- Stevens, B.N.; Betts, A.R.; Miller, B.W.; Scheckel, K.G.; Anderson, R.H.; Bradham, K.D.; Casteel, S.W.; Thomas, D.J.; Basta, N.T. Arsenic Speciation of Contaminated Soils/Solid Wastes and Relative Oral Bioavailability in Swine and Mice. Soil Syst. 2018, 2, 27. [Google Scholar] [CrossRef]
- Oyesiku, O.O.; Egunyomi, A.O.O.O.A.E. Identification and chemical studies of pelagic masses of Sargassum natans (Linnaeus) Gaillon and S. fluitans (Borgessen) Borgesen (brown algae), found offshore in Ondo State, Nigeria. Afr. J. Biotechnol. 2014, 1, 288–303. [Google Scholar] [CrossRef]
- Beinabaj, S.M.H.; Heydariyan, H.; Aleii, H.M.; Hosseinzadeh, A. Concentration of heavy metals in leachate, soil, and plants in Tehran’s landfill: Investigation of the effect of landfill age on the intensity of pollution. Heliyon 2023, 9, e13017. [Google Scholar] [CrossRef]
- Mierzwa-Hersztek, M.; Gondek, K.; Jewiarz, M.; Dziedzic, K. Assessment of energy parameters of biomass and biochars, leachability of heavy metals and phytotoxicity of their ashes. J. Mater. Cycles Waste Manag. 2019, 21, 786–800. [Google Scholar] [CrossRef]
- Piña, J.J.; Balbín, A.I.; Pérez-Cordovés, A.I. La Contaminación por Metales Pesados en Sargazos Procedentes de la Costa sur en la Península de Guanahacabibes,¿ Aún no es Preocupante? Rev. Cuba. Química 2010, 22, 83–88. [Google Scholar]
- NOM-001-SEMARNAT-2021. Establece los Límites Máximos Permisibles de Contaminantes en las Descargas de Aguas Residuales en Aguas y Bienes Nacionales. Unidad de Normatividad, Competitividad y Competencia. Dirección General de Normas. Diario Oficial de la Federación Home Page. Available online: https://www.dof.gob.mx/nota_detalle.php?codigo=5645374&fecha=11/03/2022 (accessed on 13 September 2022).





| 2020 | |||||||||
|---|---|---|---|---|---|---|---|---|---|
| North | West | Site | pH | Temp. C | Salinity mS/cm | Nitrites mg/L | Nitrates mg/L | N-NH4 mg/L | P-PO4 mg/L |
| 21°22.118′ | 86°36.003′ | AL | 8.1 ± 0.3 | 25.4 | 36.1 | 3.07 | 0.012 | 0.143 | 0.086 |
| 20°48′25.68″ | 86°53’55.13″ | AB | 7.8 ± 0.6 | 25.5 | 36.6 | 3.4 | 0.009 | 0.131 | 0.11 |
| 20°47′50.53″ | 86°53′23.40″ | DB | 7.7 ± 0.6 | 26.7 | 35.7 | 4.1 | 0.009 | BDL | 0.103 |
| 20°51′47″ | 86° 52′09″ | PL | 7.8 ± 0.7 | 26.5 | 36.6 | 11.7 | 0.014 | BDL | 0.122 |
| 2021 | |||||||||
| 20°49.606′ | 86°49.138′ | AL | 8.5 ± 0.4 | 28.7 | 35.6 | BDL | BDL | BDL | BDL |
| 20°48′33.6″ | 86°54′16.2″ | AB | 8.4 ± 0.1 | 28 | 35.8 | BDL | BDL | BDL | BDL |
| 20°47′59.4″ | 86°55′14.2″ | DB | 8.4 ± 0.7 | 28.7 | 35.7 | BDL | BDL | BDL | BDL |
| 20°48′47.1″ | 86°54′15.3″ | PL | 8.5 ± 0.5 | 27.5 | 36.9 | BDL | BDL | BDL | BDL |
| Period | Code | As mg/L | B mg/L | Zn mg/L | Al mg/L |
|---|---|---|---|---|---|
| 2020 | AB | BDL | 3.09 ± 0.2 | BDL | BDL |
| DB | BDL | 3.66 ± 0.2 | BDL | 0.05 ± 0.7 | |
| PL | BDL | 1.92 ± 0.5 | 0.19 ± 0.7 | BDL | |
| AL | BDL | 2.25 ± 0.1 | BDL | BDL | |
| 2021 | AB | BDL | 2.52 ± 0.3 | BDL | BDL |
| DB | BDL | 2.58 ± 0.3 | BDL | BDL | |
| PL | BDL | 2.24 ± 0.5 | BDL | BDL | |
| AL | BDL | 2.15 ± 0.2 | BDL | BDL |
| SITE | As mg/kg | B mg/kg | Fe mg/kg | Zn mg/kg | Mn mg/kg | Cd mg/kg | Al mg/kg | Ni mg/kg | Cu mg/kg |
|---|---|---|---|---|---|---|---|---|---|
| 2020 | Sargassum spp. | ||||||||
| AL | 76.9 ± 0.6 | 103.5 ± 0.6 | 18.7 ± 0.1 | 8.8 ± 0.2 | 15.2 ± 0.7 | 1.2 ± 0.6 | 10.2 ± 0.8 | 1.9 ± 0.8 | 1.3 ± 0.8 |
| AB | 77.3 ± 0.8 | 108.8 ± 0.8 | 13.8 ± 0.7 | 13.5 ± 0.4 | 8.4 ± 0.1 | 4.44 ± 0.7 | 22.3 ± 0.6 | 3.2 ± 0.5 | 3.0 ± 0.6 |
| DB | 64.8 ± 0.3 | 93.5 ± 0.1 | 13.4 ± 0.4 | BDL | 19.8 ± 0.6 | 1.75 ± 0.5 | 19.5 ± 0.3 | 2.2 ± 0.4 | 5.0 ± 0.6 |
| PL | 16.7 ± 0.2 | 83.9 ± 0.9 | 30.5 ± 0.6 | BDL | 16 ± 0.2 | 1.03 ± 0.7 | 8.5 ± 0.4 | 4.0 ± 0.3 | 0.9 ± 0.7 |
| DP | 16.1 ± 0.6 | 163.4 ± 0.4 | 15.7 ±0.3 | BDL | BDL | BDL | 8.9 ± 0.4 | BDL | 6.2 ± 0.2 |
| 2021 | Sargassum spp. | ||||||||
| AL | 12.41 ± 0.9 | 116.33 ± 0.5 | 9.28 ± 0.5 | 96.3 ± 0.3 | BDL | 0.41 ± 0.4 | 43.26 ± 0.4 | 0.39 ± 0.8 | 5.68 ± 0.6 |
| AB | 7.32 ± 0.7 | 109.67 ± 0.5 | 10.9 ± 0.3 | 103.88 ± 7.6 | BDL | 0.92 ± 0.2 | 58.32 ± 0.5 | 1.69 ± 0.9 | 2.91 ± 0.8 |
| DB | BDL | 94.01 ± 0.6 | 9.54 ± 0.7 | BDL | BDL | 0.91 ± 0.2 | 28.57 ± 0.7 | 0.45 ± 0.6 | 2.65 ± 0.8 |
| PL | 4.93 ± 0.7 | 74.09 ± 0.2 | 215.02 ± 0.2 | 77.75 ± 0.3 | BDL | 1.12 ± 0.3 | 21.25 ± 0.6 | 3.46 ± 0.9 | 2.76 ± 0.4 |
| DP | BDL | 363.4 ± 0.4 | 13.61 ± 0.8 | BDL | BDL | BDL | 14.6 ± 0.8 | 0.09 ± 0.7 | 6.41 ± 0.5 |
| S. natans | |||||||||
| AL | 14.22 ± 0.8 | 31.1 ± 0.7 | 9.28 ± 0.8 | 96.3 ± 0.3 | BDL | 0.14 ± 0.8 | 0.63 ± 0.2 | BDL | BDL |
| AB | 11.99 ± 0.1 | 40.63 ± 0.5 | 10.9 ± 0.4 | 103.88 ± 0.3 | BDL | 0.29 ± 0.8 | 8.57 ± 0.6 | BDL | BDL |
| DB | 10.1 ± 0.9 | 21.18 ± 0.2 | 9.54 ± 0.7 | BDL | BDL | 0.19 ± 0.9 | 21.25 ± 0.4 | BDL | BDL |
| PL | 8.76 ± 0.6 | 20.85 ± 0. | 13.61 ± 0.2 | 77.75 ± 0.1 | BDL | 0.12 ± 0.7 | 0.09 ± 0.6 | BDL | BDL |
| S. fluitans | |||||||||
| AL | 13.41 ± 0.3 | 81.28 ± 0.2 | 2.28 ± 0.4 | 63.3 ± 0.8 | BDL | 0.12 ± 0.7 | 0.48 ± 0.2 | 0.29 ± 0.6 | BDL |
| AB | 13.41 ± 0.5 | 67.33 ± 0.3 | 9.1 ± 0.5 | 93.88 ± 0.5 | BDL | 0.19 ± 0.6 | 0.11 ± 0.8 | 1.07 ± 0.1 | 0.03 ± 0.8 |
| DB | 8.41 ± 0.3 | 80.73 ± 0.5 | 5.45 ± 0.6 | BDL | BDL | 0.14 ± 0.8 | 0.33 ± 0.4 | 0.28 ± 0.8 | 0.03 ± 0.8 |
| PL | 8.42 ± 0.8 | 67.83 ± 0.1 | 15.02 ± 0.3 | 57.75 ± 0.8 | BDL | 0.15 ± 0.8 | 0.11 ± 0.9 | 2.64 ± 0.3 | 0.03 ± 0.6 |
| Tissue | Detected Metals | Highest Concentration | Lowest Concentration |
|---|---|---|---|
| Sargassum spp. 2020 | As, B, Fe, Zn, Mn, Al, Ni, Cu. | As 13.3 mg/L | Cu 0.9 mg/L |
| Sargassum spp. 2021 | As, B, Fe, Zn, Al, Ni, Cu. | As 12.41 mg/L | Ni 0.39 mg/L |
| Leachate per se | |||
| Sargassum spp. 2020 | As, B, Zn, Mn, Cd, N. | As 13.67 mg/L | Ni 0.012 mg/L |
| Sargassum spp. 2021 | As, B, Cd, Al, Cu. | As 12.97 mg/L | Al 0.02 mg/L |
| S. natans | As, B, Mn, Cd, Al, Cu. | As 12.36 mg/L | Mn 0.02 mg/L |
| S. fluitans | As, B, Cd, Al, Cu. | As 13.13 mg/L | Cu 0.03 mg/L |
| Leachate percolation | |||
| Sargassum spp. 2020 | As, B, Zn, Cd, Cu. | As 14.34 mg/L | Cu 0.007 mg/L |
| Sargassum spp. 2021 | As, B, Cd, Al | As 7.62 mg/L | Cd 0.013 mg/L |
| S. natans | As, B, Cd, Al | As 7.94 mg/L | Cd 0.017 mg/L |
| S. fluitans | As, B, Cd, Al, Cu. | As 7.49 mg/L | Ba 0.017 mg/L |
Disclaimer/Publisher’s Note: The statements, opinions and data contained in all publications are solely those of the individual author(s) and contributor(s) and not of MDPI and/or the editor(s). MDPI and/or the editor(s) disclaim responsibility for any injury to people or property resulting from any ideas, methods, instructions or products referred to in the content. |
© 2024 by the authors. Licensee MDPI, Basel, Switzerland. This article is an open access article distributed under the terms and conditions of the Creative Commons Attribution (CC BY) license (https://creativecommons.org/licenses/by/4.0/).
Share and Cite
Leal-Bautista, R.M.; Rodríguez-García, J.C.; Chablé-Villacis, R.; Acosta-González, G.; Bautista-García, J.E.; Tapia-Tussell, R.; Ortega-Camacho, D.; Olguín-Maciel, E.; González López, G. Assessment of Leachate Generated by Sargassum spp. in the Mexican Caribbean: Part 2, Mobility of Metals. Water 2024, 16, 2719. https://doi.org/10.3390/w16192719
Leal-Bautista RM, Rodríguez-García JC, Chablé-Villacis R, Acosta-González G, Bautista-García JE, Tapia-Tussell R, Ortega-Camacho D, Olguín-Maciel E, González López G. Assessment of Leachate Generated by Sargassum spp. in the Mexican Caribbean: Part 2, Mobility of Metals. Water. 2024; 16(19):2719. https://doi.org/10.3390/w16192719
Chicago/Turabian StyleLeal-Bautista, Rosa Maria, Juan Carlos Rodríguez-García, Rubi Chablé-Villacis, Gilberto Acosta-González, Jose Epigmenio Bautista-García, Raul Tapia-Tussell, Daniela Ortega-Camacho, Edgar Olguín-Maciel, and Gloria González López. 2024. "Assessment of Leachate Generated by Sargassum spp. in the Mexican Caribbean: Part 2, Mobility of Metals" Water 16, no. 19: 2719. https://doi.org/10.3390/w16192719
APA StyleLeal-Bautista, R. M., Rodríguez-García, J. C., Chablé-Villacis, R., Acosta-González, G., Bautista-García, J. E., Tapia-Tussell, R., Ortega-Camacho, D., Olguín-Maciel, E., & González López, G. (2024). Assessment of Leachate Generated by Sargassum spp. in the Mexican Caribbean: Part 2, Mobility of Metals. Water, 16(19), 2719. https://doi.org/10.3390/w16192719

