Comparative Analysis of Water Quality in Major Rivers of Türkiye Using Hydrochemical and Pollution Indices
Abstract
1. Introduction
2. Materials and Methods
2.1. Study Area
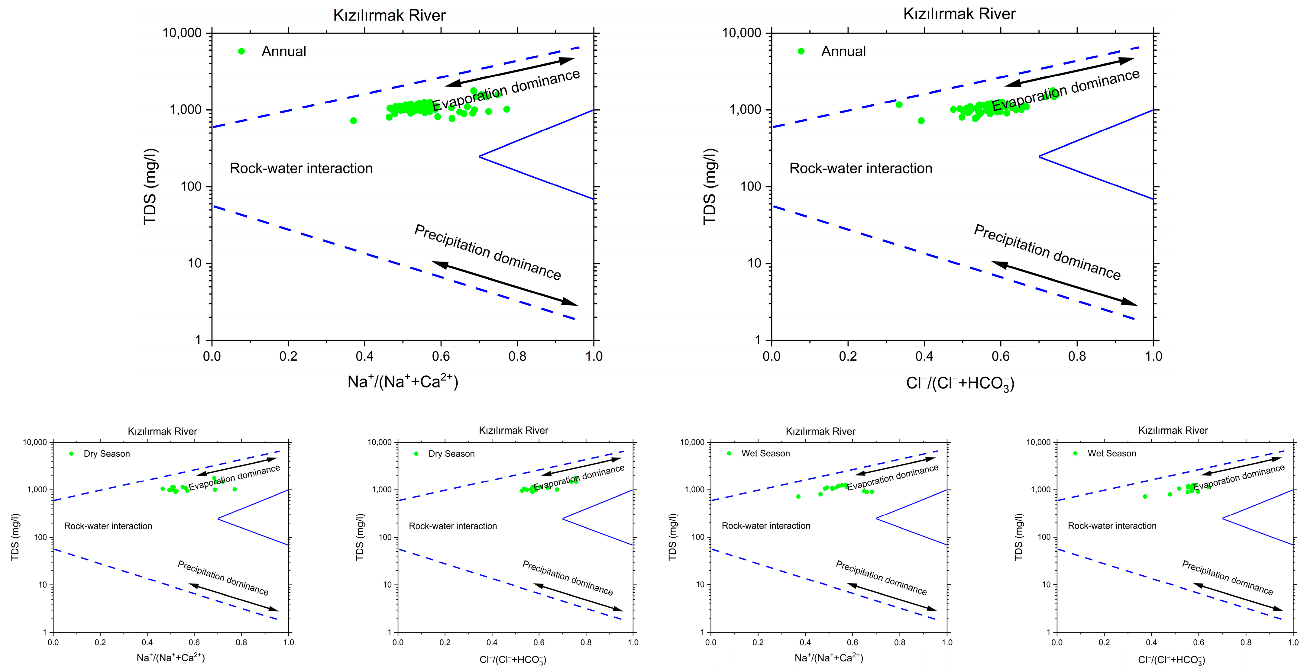
2.2. Water Quality Diagrams
2.3. River Pollution Index (RPI)
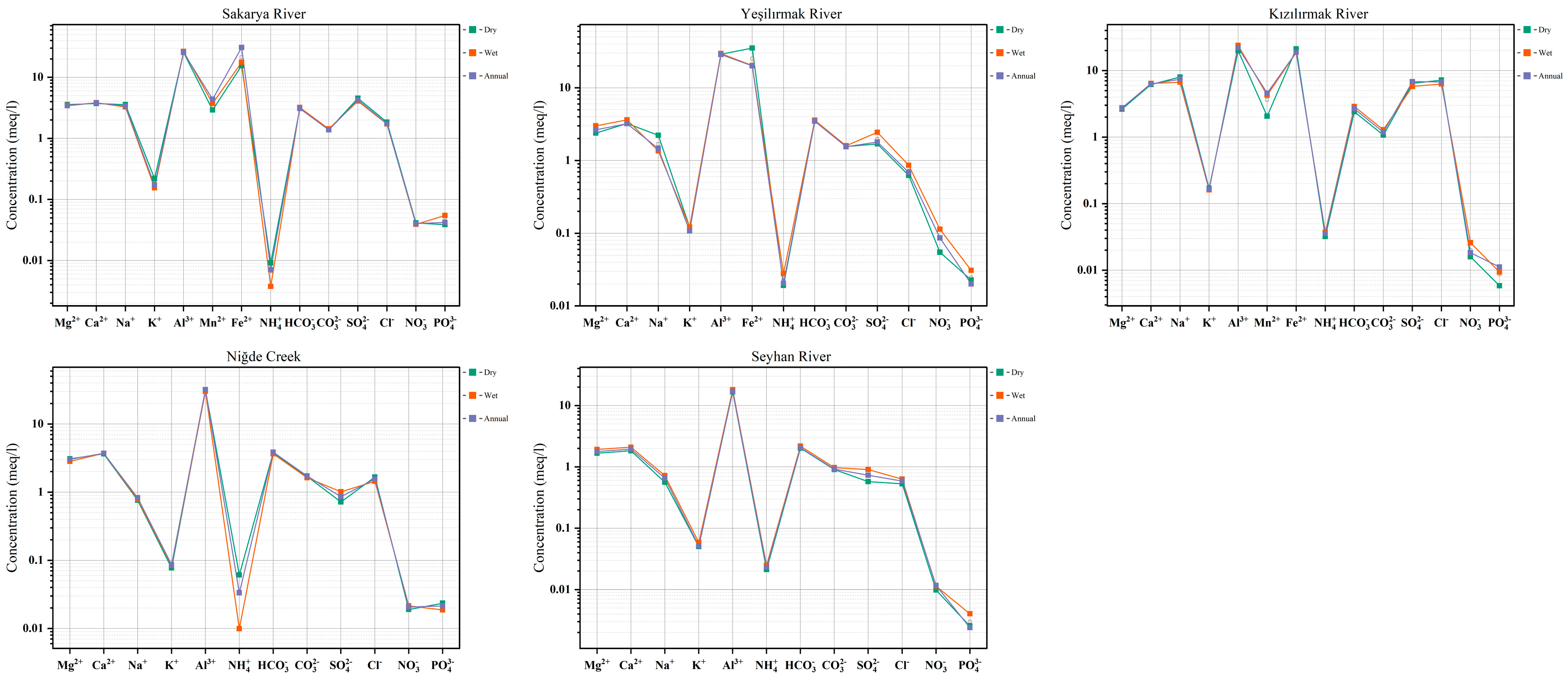
3. Results
4. Discussion
5. Conclusions
Author Contributions
Funding
Data Availability Statement
Acknowledgments
Conflicts of Interest
References
- Yu, H.; Liu, J. Evaluation of Water Quality of Key Sections of Yangtze River Based on Matter Element Analysis. IOP Conf. Ser. Mater. Sci. Eng. 2018, 394, 052051. [Google Scholar] [CrossRef]
- Lin, L.; Yang, H.; Xu, X. Effects of Water Pollution on Human Health and Disease Heterogeneity: A Review. Front. Environ. Sci. 2022, 10, 880246. [Google Scholar] [CrossRef]
- López, E.; Patiño, R.; Vázquez-Sauceda, M.L.; Pérez-Castañeda, R.; Arellano-Méndez, L.U.; Ventura, R.; Heyer, L. Water quality and ecological risk assessment of intermittent streamflow through mining and urban areas of San Marcos River sub-basin, Mexico. Environ. Nanotechnol. Monit. Manag. 2020, 14, 100369. [Google Scholar] [CrossRef]
- Kshetriya, D.; Warjri, C.D.; Kumar Chakrabarty, T.; Ghosh, S. Assessment of heavy metals in some natural water bodies in Meghalaya, India. Environ. Nanotechnol. Monit. Manag. 2021, 16, 100512. [Google Scholar] [CrossRef]
- Kuehne, L.M.; Dickens, C.; Tickner, D.; Messager, M.L.; Olden, J.D.; O’brien, G.; Lehner, B.; Eriyagama, N. The future of global river health monitoring. PLoS Water 2023, 2, e0000101. [Google Scholar]
- Erba, S.; Buffagni, A.; Cazzola, M.; Balestrini, R. Italian reference rivers under the Water Framework Directive umbrella: Do natural factors actually depict the observed nutrient conditions? Environ. Sci. Eur. 2022, 34, 63. [Google Scholar] [CrossRef]
- Fan, Y.R. Bivariate hydrologic risk analysis for the Xiangxi River in Three Gorges Reservoir Area, China. Environ. Syst. Res. 2022, 11, 18. [Google Scholar] [CrossRef]
- Camara, M.; Jamil, N.R.; Abdullah, A.F.B. Impact of land uses on water quality in Malaysia: A review. Ecol. Process. 2019, 8, 10. [Google Scholar] [CrossRef]
- Maaß, A.-L.; Schüttrumpf, H.; Lehmkuhl, F. Human impact on fluvial systems in Europe with special regard to today’s river restorations. Environ. Sci. Eur. 2021, 33, 119. [Google Scholar]
- Jähnig, S.C.; Cai, Q. River water quality assessment in selected Yangtze tributaries: Background and method development. J. Earth Sci. 2010, 21, 876–881. [Google Scholar] [CrossRef]
- Di, Z.; Chang, M.; Guo, P. Water quality evaluation of the Yangtze River in China using machine learning techniques and data monitoring on different time scales. Water 2019, 11, 339. [Google Scholar] [CrossRef]
- Chen, H.; Ma, L.; Guo, W.; Yang, Y.; Guo, T.; Feng, C. Linking Water Quality and Quantity in Environmental Flow Assessment in Deteriorated Ecosystems: A Food Web View. PLoS ONE 2013, 8, e70537. [Google Scholar] [CrossRef] [PubMed]
- Li, L.; Knapp, J.L.; Lintern, A.; Ng, G.-H.C.; Perdrial, J.; Sullivan, P.L.; Zhi, W. River water quality shaped by land–river connectivity in a changing climate. Nat. Clim. Chang. 2024, 14, 225–237. [Google Scholar] [CrossRef]
- Chen, J.; Lu, J. Effects of Land Use, Topography and Socio-Economic Factors on River Water Quality in a Mountainous Watershed with Intensive Agricultural Production in East China. PLoS ONE 2014, 9, e102714. [Google Scholar] [CrossRef] [PubMed]
- Global, C. Global methane emissions from rivers and streams. Nature 2023, 621, 531. [Google Scholar]
- Qishlaqi, A.; Kordian, S.; Parsaie, A. Hydrochemical evaluation of river water quality—A case study. Appl. Water Sci. 2017, 7, 2337–2342. [Google Scholar] [CrossRef]
- Bishwakarma, K.; Wang, G.-x.; Zhang, F.; Adhikari, S.; Karki, K.; Ghimire, A. Hydrochemical characterization and irrigation suitability of the Ganges Brahmaputra River System: Review and assessment. J. Mt. Sci. 2022, 19, 388–402. [Google Scholar] [CrossRef]
- Falah, F.; Haghizadeh, A. Hydrochemical evaluation of river water quality—A case study: Horroud River. Appl. Water Sci. 2017, 7, 4725–4733. [Google Scholar] [CrossRef]
- Edet, A.; Ukpong, A.; Nganje, T. Hydrochemical studies of Cross River Basin (southeastern Nigeria) river systems using cross plots, statistics and water quality index. Environ. Earth Sci. 2013, 70, 3043–3056. [Google Scholar] [CrossRef]
- Skoulikidis, N.; Gritzalis, K.; Kouvarda, T. Hydrochemical and ecological quality assessment of a Mediterranean river system. Glob. Nest. Int. J. 2002, 4, 29–40. [Google Scholar]
- Salikova, N.S.; Rodrigo-Ilarri, J.; Alimova, K.K.; Rodrigo-Clavero, M.-E. Analysis of the water quality of the ishim river within the Akmola Region (Kazakhstan) using hydrochemical indicators. Water 2021, 13, 1243. [Google Scholar] [CrossRef]
- SolaimaniSardo, M.; Vali, A.; Ghazavi, R.; Saidi Goraghani, H. Trend analysis of chemical water quality parameters; case study cham anjir river. Irrig. Water Eng. 2013, 3, 95–105. [Google Scholar]
- Choramin, M.; Safaei, A.; Khajavi, S.; Hamid, H.; Abozari, S. Analyzing and studding chemical water quality parameters and its changes on the base of Schuler, Wilcox and Piper diagrams (project: Bahamanshir River). WALIA J. 2015, 31, 22–27. [Google Scholar]
- Ehya, F.; Moghadam, Z.F. Hydrochemistry and water quality assessment of the Maroon River in Behbahan area, SW Iran. Water Pract. Technol. 2017, 12, 818–831. [Google Scholar] [CrossRef]
- Ríos-Villamizar, E.A.; Adeney, J.; Piedade, M.; Junk, W. Hydrochemical classification of Amazonian rivers: A systematic review and meta-analysis. Caminhos De Geogr. 2020, 21, 211–226. [Google Scholar] [CrossRef]
- Taiwan Environmental Protection Administration. Development of Nonpoint Source Pollutant Remedial Strategy; Taiwan Environmental Protection Administration: Taipei, Taiwan, 2002.
- Lai, Y.C.; Tu, Y.T.; Yang, C.P.; Surampalli, R.Y.; Kao, C.M. Development of a water quality modeling system for river pollution index and suspended solid loading evaluation. J. Hydrol. 2013, 478, 89–101. [Google Scholar] [CrossRef]
- Gao, L.; Li, D. A review of hydrological/water-quality models. Front. Agric. Sci. Eng. 2015, 1, 267–276. [Google Scholar] [CrossRef]
- Niampradit, S.; Kiangkoo, N.; Mingkhwan, R.; Kliengchuay, W.; Worakhunpiset, S.; Limpananont, Y.; Hongsibsong, S.; Inthorn, D.; Tantrakarnapa, K. Occurrence, distribution, and ecological risk assessment of heavy metals in Chao Phraya River, Thailand. Sci. Rep. 2024, 14, 8366. [Google Scholar] [CrossRef]
- Marselina, M.; Wibowo, F.; Mushfiroh, A. Water quality index assessment methods for surface water: A case study of the Citarum River in Indonesia. Heliyon 2022, 8, e09848. [Google Scholar] [CrossRef]
- Sulthonuddin, I.; Hartono, D.M.; Utomo, S.W. Water quality assessment of Cimanuk River in West Java using pollution index. E3S Web Conf. 2018, 68, 04009. [Google Scholar] [CrossRef]
- Hoseinzadeh, E.; Khorsandi, H.; Wei, C.; Alipour, M. Evaluation of Aydughmush river water quality using the national sanitation foundation water quality index (NSFWQI), river pollution index (RPI), and forestry water quality index (FWQI). Desalination Water Treat. 2015, 54, 2994–3002. [Google Scholar] [CrossRef]
- Yaykiran, S.; Cuceloglu, G.; Ekdal, A. Estimation of Water Budget Components of the Sakarya River Basin by Using the WEAP-PGM Model. Water 2019, 11, 271. [Google Scholar] [CrossRef]
- Solak, C.N.; Peszek, Ł.; Yilmaz, E.; Ergül, H.A.; Kayal, M.; Ekmekçi, F.; Várbíró, G.; Yüce, A.M.; Canli, O.; Binici, M.S.; et al. Use of Diatoms in Monitoring the Sakarya River Basin, Turkey. Water 2020, 12, 703. [Google Scholar] [CrossRef]
- Gürbüz, E.; Kazancı, N.; Gürbüz, A. Strike–slip faulting, topographic growth and block movements as deduced from drainage anomalies: The Yeşilırmak River basin, northern Turkey. Geomorphology 2015, 246, 634–648. [Google Scholar] [CrossRef]
- Dogan, M.S. Estimating streamflow of the Kızılırmak River, Turkey with single- and multi-station datasets using Random Forests. Water Sci. Technol. 2023, 87, 2742–2755. [Google Scholar] [CrossRef]
- Yalcin, M.G.; Ucgun, F.; Unal, B. Application of an artificial intelligence to the estimation of water quality parameters: Water quality of Nigde creek water, Turkey. Asian J. Chem. 2007, 19, 2325. [Google Scholar]
- Cavus, Y.; Aksoy, H. Spatial Drought Characterization for Seyhan River Basin in the Mediterranean Region of Turkey. Water 2019, 11, 1331. [Google Scholar] [CrossRef]
- Koycegiz, C.; Buyukyildiz, M. Investigation of precipitation and extreme indices spatiotemporal variability in Seyhan Basin, Turkey. Water Supply 2022, 22, 8603–8624. [Google Scholar] [CrossRef]
- Piper, A.M. A graphic procedure in the geochemical interpretation of water-analyses. Eos Trans. Am. Geophys. Union 1944, 25, 914–928. [Google Scholar]
- Schoeller, H. Qualitative evaluation of groundwater resources. In Methods and Techniques of Groundwater Investigations and Development; UNESCO: Paris, France, 1965; Volume 5483. [Google Scholar]
- Gibbs, R.J. Mechanisms controlling world water chemistry. Science 1970, 170, 1088–1090. [Google Scholar] [CrossRef]
- World Health Organization (WHO). Guidelines for Drinking-Water Quality, 4th ed.; World Health Organization (WHO): Geneva, Switzerland, 2011. [Google Scholar]
- United States Environmental Protection Agency (EPA). Water Quality Standards Handbook; United States Environmental Protection Agency (EPA): Washington, DC, USA, 2017.
- European Union Water Framework Directive (WFD). 2000. Available online: https://eur-lex.europa.eu/eli/dir/2000/60/oj (accessed on 4 May 2024).
- Oluwaniyi, O.E.; Asiwaju-Bello, Y.A. Geochemical processes influencing stream water chemistry: A case study of Ala River, Akure, Southwestern Nigeria. Sustain. Water Resour. Manag. 2020, 6, 108. [Google Scholar] [CrossRef]
- Iqbal, M.M.; Shoaib, M.; Agwanda, P.; Lee, J.L. Modeling Approach for Water-Quality Management to Control Pollution Concentration: A Case Study of Ravi River, Punjab, Pakistan. Water 2018, 10, 1068. [Google Scholar] [CrossRef]
- Gikas, G. The Experience of Greece from its participation in the Eurozone. Manag. Insight 2013, 9, 9–16. [Google Scholar]
- Gartsiyanova, K.; Varbanov, M.; Kitev, A.; Genchev, S. Water quality analysis of the rivers Topolnitsa and Luda Yana, Bulgaria using different indices. J. Phys. Conf. Ser. 2021, 1960, 012018. [Google Scholar] [CrossRef]
- Zanoni, M.G.; Majone, B.; Bellin, A. A catchment-scale model of river water quality by Machine Learning. Sci. Total Environ. 2022, 838, 156377. [Google Scholar] [CrossRef]














| Streams | Discharge (m3/s) | Length (km) | Catchment Area (km2) | Rainfall (mm/Year) | Temperature (°C) | Land Use (%) |
|---|---|---|---|---|---|---|
| Sakarya | 190 | 824 | 58,000 | 500–900 | 10–15 | A: 45; U: 20; F: 35 |
| Yeşilırmak | 110 | 418 | 36,100 | 600–1200 | 12–16 | A: 50; U: 25; F: 25 |
| Kızılırmak | 150 | 1355 | 78,000 | 400–800 | 8–14 | A: 55; U: 15; F: 30 |
| Seyhan | 211 | 560 | 21,700 | 600–1000 | 15–20 | A: 60; U: 20; F: 20 |
| Niğde | 50 | 60 | 1500 | 300–500 | 10–15 | A: 70; U: 10; F: 20 |
| Parameters | Units | Non/Mildly p. | Lightly p. | Moderately p. | Severely p. |
|---|---|---|---|---|---|
| DO | mg/L | DO ≥ 6.5 | 6.5 > DO ≥ 4.6 | 4.5 ≥ DO ≥ 2.0 | DO < 2.0 |
| BOD5 | mg/L | BOD5 ≤ 3.0 | 3.0 < BOD5 ≤ 4.9 | 5.0 ≤ BOD5 ≤ 15.0 | BOD5 > 15.0 |
| SS | mg/L | SS ≤ 20.0 | 20.0 < SS ≤ 49.9 | 50.0 ≤ SS ≤ 100.0 | SS > 100.0 |
| NH3–N | mg/L | NH3–N ≤ 0.50 | 0.50 < NH3–N ≤ 0.99 | 1.0 ≤ NH3–N ≤ 3.0 | NH3–N > 3.0 |
| Index Score | - | 1 | 3 | 6 | 10 |
Disclaimer/Publisher’s Note: The statements, opinions and data contained in all publications are solely those of the individual author(s) and contributor(s) and not of MDPI and/or the editor(s). MDPI and/or the editor(s) disclaim responsibility for any injury to people or property resulting from any ideas, methods, instructions or products referred to in the content. |
© 2024 by the authors. Licensee MDPI, Basel, Switzerland. This article is an open access article distributed under the terms and conditions of the Creative Commons Attribution (CC BY) license (https://creativecommons.org/licenses/by/4.0/).
Share and Cite
Yavuz, V.S.; Kartal, V.; Sambito, M. Comparative Analysis of Water Quality in Major Rivers of Türkiye Using Hydrochemical and Pollution Indices. Water 2024, 16, 2676. https://doi.org/10.3390/w16182676
Yavuz VS, Kartal V, Sambito M. Comparative Analysis of Water Quality in Major Rivers of Türkiye Using Hydrochemical and Pollution Indices. Water. 2024; 16(18):2676. https://doi.org/10.3390/w16182676
Chicago/Turabian StyleYavuz, Veysel Süleyman, Veysi Kartal, and Mariacrocetta Sambito. 2024. "Comparative Analysis of Water Quality in Major Rivers of Türkiye Using Hydrochemical and Pollution Indices" Water 16, no. 18: 2676. https://doi.org/10.3390/w16182676
APA StyleYavuz, V. S., Kartal, V., & Sambito, M. (2024). Comparative Analysis of Water Quality in Major Rivers of Türkiye Using Hydrochemical and Pollution Indices. Water, 16(18), 2676. https://doi.org/10.3390/w16182676

