Assessment of Pollution Status in Brunei River Using Water Quality Indices, Brunei Darussalam
Abstract
1. Introduction
2. Materials and Methods
2.1. Study Area
2.2. Sampling Points
2.3. Data Collection
2.4. Statistical Analysis
2.5. National Sanitation Foundation WQI (NSFWQI)
2.6. Malaysia WQI
3. Results
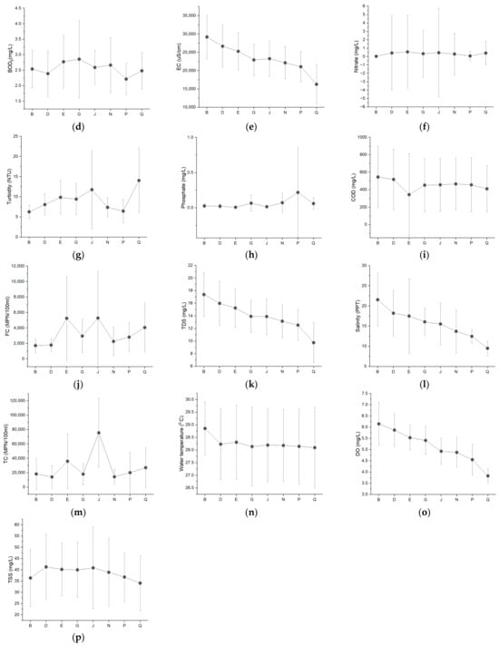
3.1. Descriptive Statistics
3.2. Proposed Parameter Selection for Building Brunei River’s WQI
3.3. Assessment of Water Quality across the Eight Stations Using Malaysia WQI and NSFWQI
4. Discussion
4.1. Evaluation of the 16 Water Quality Parameters for the Eight Monitoring Stations
4.2. Proposed Parameter Selection for Building Brunei WQI
4.3. Monitoring Stations’ Water Quality Using NSFWQI and Malaysia WQI
5. Conclusions
Author Contributions
Funding
Data Availability Statement
Acknowledgments
Conflicts of Interest
References
- Kunwar, P.; Singh, A.M.; Sarita, S. Water quality assessment and apportionment of pollution sources of Gomti river (India) using multivariate statistical techniques—A case study. Anal. Chim. Acta 2005, 538, 355–374. [Google Scholar] [CrossRef]
- Malone, T.C.; Newton, A. The globalization of cultural eutrophication in the coastal ocean: Causes and consequences. Front. Mar. Sci. 2020, 7, 670. [Google Scholar] [CrossRef]
- Zhang, W.; Li, H.; Li, Y. Spatio-temporal dynamics of nitrogen and phosphorus input budgets in a global hotspot of anthropogenic inputs. Sci. Total Environ. 2019, 656, 1108–1120. [Google Scholar] [CrossRef]
- Naderian, D.; Noori, R.; Heggy, E.; Bateni, S.M.; Bhattarai, R.; Nohegar, A.; Sharma, S. A water quality database for global lakes. Resour. Conserv. Recycl. 2024, 202, 107401. [Google Scholar] [CrossRef]
- Asif, Z.; Chen, Z.; Sadiq, R.; Zhu, Y. Climate change impacts on water resources and sustainable water management strategies in North America. Water Resour. Manag. 2023, 37, 2771–2786. [Google Scholar] [CrossRef]
- Samandra, S.; Singh, J.; Plaisted, K.; Mescall, O.J.; Symons, B.; Xie, S.; Ellis, A.V.; Clarke, B.O. Quantifying environmental emissions of microplastics from urban rivers in Melbourne, Australia. Mar. Pollut. Bull. 2023, 189, 114709. [Google Scholar] [CrossRef]
- Fahimah, N.; Salami, I.R.; Oginawati, K.; Susetyo, S.H.; Tambun, A.; Ardiwinata, A.N.; Sukarjo, S. The assessment of water quality and human health risk from pollution of chosen heavy metals in the Upstream Citarum River, Indonesia. J. Water Land Dev. 2023, 56, 153–163. [Google Scholar] [CrossRef]
- Feisal, N.A.S.; Kamaludin, N.H.; Sani, M.F.A.; Ahmad, D.K.A.; Ahmad, M.A.; Razak, N.F.A.; Ibrahim, T.N.B.T. Anthropogenic disturbance of aquatic biodiversity and water quality of an urban river in Penang, Malaysia. Water Sci. Eng. 2023, 16, 234–242. [Google Scholar] [CrossRef]
- Jalilov, S.M. Sustainable Urban Water Environments in Southeast Asia: Addressing the Pollution of Urban Waterbodies in Indonesia, the Philippines, and Vietnam; Policy Brief; United Nations University Institute for the Advanced Study of Sustainability (UNU-IAS): Shibuya, Japan, 2016; Volume 7. [Google Scholar]
- Yau, K.H. Water quality of Brunei River and Estuary. In Proceedings of the International Center for Living Aquatic Resources Management, (ICLARM) Conference Proceedings, Manila, Philippines, 1991, ISSN 0115-443. [Google Scholar]
- Onifade, O.; Shamsuddin, N.; Teck Ching Lai, D.; Jamil, H.; Godeke, S.H. Importance of baseline assessments: Monitoring of Brunei River’s water quality. H2Open J. 2023, 6, 518–534. [Google Scholar] [CrossRef]
- Azffri, S.L.; Thong, C.S.; Hoon, L.L.; Ibrahim, M.F.; Schirmer, M.; Gödeke, S.H. Evaluation of ground and surface water hydrochemistry for irrigation suitability in Borneo: Insights from Brunei Darussalam. Water 2023, 15, 2154. [Google Scholar] [CrossRef]
- James, K.S. 440 kg of Trash Collected, Borneo Bulletin 2022. Available online: https://borneobulletin.com.bn/over-440kg-of-trash-collected-in-river-clean-up/ (accessed on 16 October 2022).
- Gupta, N.; Pandey, P.; Hussain, J. Effect of physicochemical and biological parameters on the quality of river water of Narmada, Madhya Pradesh, India. Water Sci. 2017, 31, 11–23. [Google Scholar] [CrossRef]
- Shah, K.A.; Joshi, G.S. Evaluation of water quality index for River Sabarmati, Gujarat, India. Appl. Water Sci. 2017, 7, 1349–1358. [Google Scholar] [CrossRef]
- Zeinalzadeh, K.; Rezaei, E. Determining spatial and temporal changes of surface water quality using principal component analysis. J. Hydrol. Reg. Stud. 2017, 13, 1–10. [Google Scholar] [CrossRef]
- Uddin, M.G.; Nash, S.; Olbert, A.I. A review of water quality index models and their use for assessing surface water quality. Ecol. Indic. 2021, 122, 107218. [Google Scholar] [CrossRef]
- Sutadian, A.D.; Muttil, N.; Yilmaz, A.; Perera, B.J.C. Development of river water quality indices—A review. Environ. Monit. Assess. 2016, 188, 58. [Google Scholar] [CrossRef]
- Kim, H.I.; Kim, D.; Mahdian, M.; Salamattalab, M.M.; Bateni, S.M.; Noori, R. Incorporation of Water Quality Index Models with Machine Learning-Based Techniques for Real-Time Assessment of Aquatic Ecosystems. Environ. Pollut. 2024, 355, 124242. [Google Scholar] [CrossRef]
- Sutadian, A.D.; Muttil, N.; Yilmaz, A.G.; Perera, B.J.C. Development of a water quality index for rivers in West Java Province, Indonesia. Ecol. Indic. 2018, 85, 966–982. [Google Scholar] [CrossRef]
- Liou, S.M.; Lo, S.L.; Wang, S.H. A generalized water quality index for Taiwan. Environ. Monit. Assess. 2004, 96, 35–52. [Google Scholar] [CrossRef]
- Tripathi, M.; Singal, S.K. Use of principal component analysis for parameter selection for development of a novel water quality index: A case study of river Ganga India. Ecol. Indic. 2019, 96, 430–436. [Google Scholar] [CrossRef]
- Kocer, M.A.T.; Sevgili, H. Parameters selection for water quality index in the assessment of the environmental impacts of land-based trout farms. Ecol. Indic. 2014, 36, 672–681. [Google Scholar] [CrossRef]
- Brown, R.M.; McClelland, N.I.; Deininger, R.A.; Tozer, R.G. A water quality index—Do we dare? Water Sew. Work. 1970, 117, 339–343. [Google Scholar]
- Parween, S.S.; Nigar, A.; Mahammad, D.; Mir, T.O.; Agnieszka, I.; Uddin, M.G. Assessment of urban river water quality using modified NSF water quality index model at Siliguri city, West Bengal, India. Environ. Sustain. Indic. 2022, 16. [Google Scholar] [CrossRef]
- Zaghloul, G.Y.; Zaghloul, A.Y.; Hamed, M.A.; El-Moselhy, K.M.; El-Din, H.M.E. Water quality assessment for Northern Egyptian lakes (Bardawil, Manzala, and Burullus) using NSF-WQI index. Reg. Stud. Mar. Sci. 2023, 64, 103010. [Google Scholar]
- Nastiti, K.D.M.; Sayekti, R.W.; Yuliani, E. Water quality and distribution of Selorejo Reservoir using the Pollution Index, Oregon-WQI, and NSF-WQI methods. J. Tek. Pengair. J. Water Resour. Eng. 2023, 14, 64–67. [Google Scholar] [CrossRef]
- Huang, Y.F.; Ang, S.Y.; Lee, K.M.; Lee, T.S. Quality of Water Resources in Malaysia; InTech: Houston, TX, USA, 2015. [Google Scholar] [CrossRef]
- DOE (Department of Environment) Malaysia. Malaysia Environmental Quality Report; Malaysia Department of Environment, Ministry of Science, Technology and Environment: Putrajaya, Malaysia, 2002.
- Tengku, I.; Tengku, N.; Othman, F.; Mahmood, N.; Abunama, T. Seasonal Effects on Spatial Variations of Surface Water Quality in a Tropical River Receiving Anthropogenic Influences. Sains Malays. 2021, 50, 571–593. [Google Scholar] [CrossRef]
- Zhang, Y.; Yu, H.; Liu, J.; Guo, Y. Analysis of water quality and the response of phytoplankton in the low-temperature environment of Majiagou Urban River, China. Heliyon 2024, 10, e25955. [Google Scholar] [CrossRef]
- Pham, H.; Rahman, M.M.; Nguyen, N.C.; Le Vo, P.; Le Van, T.; Ngo, H. Assessment of surface water quality using the water quality index and multivariate statistical techniques–A case study: The upper part of Dong Nai river basin, Vietnam. J. Water Sustain. 2017, 7, 225–245. [Google Scholar]
- Bac-Bronowicz, J.; Becek, K. Environmentally Based Perception of Space. In Proceedings of the ICC 2009, International Cartographic Conference, Santiago, Chile, 15–21 November 2009; Available online: http://icaci.org/documents/ICC_proceedings/ICC2009/html/refer/22_3.pdf (accessed on 19 July 2024).
- Syed, M.D. Sungai Brunei Water Quality and Pollution Study Report; Government of Negara Brunei Darussalam Jabatan Kerja Raya, Brunei Darussalam, 1987; Unpublished Work. [Google Scholar]
- Sandal, S.T. The Geology and Hydrocarbon Resources of Negara Brunei Darussalam; Brunei Shell Petroleum Company/Brunei Museum, Syabas Bandar Seri Begawan, Brunei Darussalam: Muzium, Brunei, 1996. [Google Scholar]
- Azffri, S.L.; Azaman, A.; Sukri, R.S.; Jaafar, S.M.; Ibrahim, M.F.; Schirmer, M.; Gödeke, S.H. Soil and Groundwater Investigation for Sustainable Agricultural Development: A Case Study from Brunei Darussalam. Sustainability 2022, 14, 1388. [Google Scholar] [CrossRef]
- Aziz, A.; Haji, H.M.M.P.D. Baseline Study on Chemical Composition of Brunei Darussalam Rivers. Ph.D. Dissertation, Brunel University, Uxbridge, UK, 2005; 19p. [Google Scholar]
- Goh, K.C. Garbage problems of a water settlement, Kampong Ayer, Brunei Darussalam. J. Environ. Syst. 1991, 21. [Google Scholar]
- Lim, P.E. Water quality in the coastal areas of Brunei Darussalam: Status, management issues and recommendations. In The Coastal Resources of Brunei Darussalam: Status, Utilization and Management. ICLARM Conference Proceedings 34; Silvestre, G., Matdanan, H.L.H., Sharifuddin, P.H.Y., De Silva, M.W.R.N., Chua, T.-E., Eds.; International Center for Living Aquatic Resources Management: Manila, Philippines, 1992; pp. 91–108. [Google Scholar]
- Godeke, S.H.; Malik, O.A.; Lai, D.T.C.; Bretzler, A.; Schirmer, M.; Mansor, N.H. Water quality investigation in Brunei Darussalam: Investigation of the influence of climate change. Environ. Earth Sci. 2020, 79, 419. [Google Scholar] [CrossRef]
- AquaTroll 600 Manual. User’s Guide for the AquaTroll 600 Water Quality Monitoring System. USA. 2023. Available online: https://www.fieldenvironmental.com/assets/files/Manuals/In-Situ-Aqua-TROLL-600-Manual.pdf (accessed on 20 April 2016).
- APHA. Standard Methods for the Examination of Wastewater, 16th ed.; America Public Health Association: Washington, DC, USA, 1985. [Google Scholar]
- APHA. Standard Methods for the Examination of Water and Wastewater, 20th ed.; American Public Health Association, American Water Works Association, Water Pollution Control Facility Joint Publications: Washington, DC, USA, 1995. [Google Scholar]
- Cheadle, C.; Vawter, M.P.; Freed, W.J.; Becker, K.G. Analysis of microarray data using Z score transformation. J. Mol. Diagn. 2003, 5, 73–81. [Google Scholar] [CrossRef]
- Liu, C.W.; Lin, K.H.; Kuo, Y.M. Application of factor analysis in the assessment of groundwater quality in a blackfoot disease area in Taiwan. Sci. Total Environ. 2003, 313, 77–89. [Google Scholar] [CrossRef] [PubMed]
- Noori, R.; Berndtsson, R.; Hosseinzadeh, M.; Adamowski, J.F.; Abyaneh, M.R. A critical review on the application of the National Sanitation Foundation Water Quality Index. Environ. Pollut. 2019, 244, 575–587. [Google Scholar] [CrossRef]
- Des Moines River Water Quality Network. Calculating NSF Water Quality Index. 2018. Available online: http://home.eng.iastate.edu/~dslutz/dmrwqn/water_quality_index_calc.htm (accessed on 13 January 2018).
- Effendi, H.; Wardiatno, Y. Water quality status of Ciambulawung River, Banten Province, based on pollution index and NSF-WQI. Procedia Environ. Sci. 2015, 24, 228–237. [Google Scholar] [CrossRef]
- Liang, Y.Q.; Yong, E.L.; Annammala, K.V.; Bidin, K.; Nainar, A.; Mazilamani, L.S.; Mohamad, N.A. A comparative review on Malaysia’s water quality index model with international water quality index models for surface water quality classification. IOP Conf. Ser. Earth Environ. Sci. 2023, 1143, 012006. [Google Scholar] [CrossRef]
- Yusri, N.I.A.B.; Gödeke, S.H.; Mansor, N.H.B.H.M. A Water Quality Database for Brunei-the Case of Bukit Barun and Layong. In Proceedings of the Brunei International Conference on Engineering and Technology 2018 (BICET 2018), Bandar Seri Begawan, Brunei, 12–14 November 2018; pp. 54–59. [Google Scholar] [CrossRef]
- Karananidi, P.; Valente, T.; Braga, M.A.S.; Reepei, M.; Pechy, M.I.N.F.; Wang, Z.; Bachmann, R.T.; Jusop, S.; Som, A.M. Acid sulfate soils decrease surface water quality in coastal area of West Malaysia: Quo Vadis? Geoderma Reg. 2022, 28, e00467. [Google Scholar] [CrossRef]
- Johnson, M.F.; Wilby, R.L. Shield or not to Shield: Effects of Solar Radiation on Water Temperature Sensor Accuracy. Water 2013, 5, 1622–1637. [Google Scholar] [CrossRef]
- United States Environmental Protection Agency (USEPA). Quality Criteria for Water “Gold Book”; United States Environmental Protection Agency (USEPA): Washington, DC, USA, 1986; pp. 279–282. Available online: https://www.epa.gov/wqc/national-recommended-water-quality-criteria-aquatic-life-criteria-table (accessed on 1 May 1986).
- Liang, X.Q.; Chen, Y.X.; Nie, Z.Y.; Ye, Y.S.; Liu, J.; Tian, G.M.; Wang, G.H.; Tuong, T.P. Mitigation of nutrient losses via surface runoff from rice cropping systems with alternate wetting and drying irrigation and site-specific nutrient management practices. Environ. Sci. Pollut. Resour. 2013, 20, 6980–6991. [Google Scholar] [CrossRef] [PubMed]
- Prambudy, H.; Supriyatin, T.; Setiawan, F. The testing of chemical oxygen demand (COD) and biological oxygen demand (BOD) of river water in Cipager Cirebon. In J. Phys. Conf. Ser. 2019, 1360, 012010. [Google Scholar] [CrossRef]
- Bader, A.C.; Hussein, H.J.; Jabar, M.T. BOD: COD ratio as Indicator for wastewater and industrial water pollution. Int. J. Spec. Educ. 2022, 37, 2164–2171. [Google Scholar]
- Daoliang, L.; Shuangyin, L. Detection of river water quality. In Water Quality Monitoring and Management; Academic Press: Cambridge, MA, USA, 2019; pp. 211–220. [Google Scholar] [CrossRef]
- Chithra, S.V.; Nair, M.H.; Amarnath, A.; Anjana, N.S. Impacts of impervious surfaces on the environment. Int. J. Eng. Sci. Invent. 2015, 4, 27–31. [Google Scholar]
- Wilopo, W.; Risanti, R.; Susatio, R.; Putra, D. Seawater intrusion assessment and prediction of sea-freshwater interface in Parangtritis coastal aquifer, South of Yogyakarta Special Province, Indonesia. J. Degrad. Min. Lands Manag. 2021, 8, 2709–2718. [Google Scholar] [CrossRef]
- Oluwaniyi, O.; Zhang, Y.; Gholizadeh, H.; Li, B.; Gu, X.; Sun, H.; Lu, C. Correlating Groundwater Storage Change and Precipitation in Alabama, United States from 2000–2021 by Combining the Water Table Fluctuation Method and Statistical Analyses. Sustainability 2023, 15, 15324. [Google Scholar] [CrossRef]
- Abha, M. Conductivity: Water Quality Assessment. Int. J. Eng. Res. Technol. 2014, 3, 1. [Google Scholar]
- Wetzel, R.G. Limnology, 2nd ed.; Saunders College Publishing: Philadelphia, PA, USA, 1983; 760p. [Google Scholar]
- Bozorg-Haddad, O. Economical, Political, and Social Issues in Water Resources; Elsevier: Amsterdam, The Netherlands, 2021. [Google Scholar]
- Davies, C.R.; Smith, D. Turbidity, Suspended Sediment, and Water Clarity: A Review. JAWRA J. Am. Water Resour. Assoc. 2007, 37, 1085–1101. [Google Scholar] [CrossRef]
- Oluwaniyi, O.E.; Asiwaju-Bello, Y.A. Geochemical processes influencing stream water chemistry: A case study of Ala River, Akure, Southwestern Nigeria. Sustain. Water Resour. Manag. 2020, 6, 108. [Google Scholar] [CrossRef]
- Asowata, I.T.; Badejo, O.O.; Onifade, O.; Olukoya, F.F. Spatial distribution of trace element of Ala river’s sediments, Akure, Southwestern Nigeria. Ife J. Sci. 2015, 17, 109–120. [Google Scholar]
- Borris, M.; Viklander, M.; Gustafsson, A.M.; Marsalek, J. Modelling the effects of changes in rainfall event characteristics on TSS loads in urban runoff. Hydrol. Process. 2014, 28, 1787–1796. [Google Scholar] [CrossRef]
- Gaichuk, I.V.; Finley, H. Groundwater Nutrient Fluxes and Hydrological Dynamics in the Farmington Bay Wetlands. Doctoral dissertation, The University of Utah: Salt Lake City, UT, USA, 2023.
- Wang, X.; Li, J.; Chen, J.; Cui, L.; Li, W.; Gao, X.; Liu, Z. Water quality criteria of total ammonia nitrogen (TAN) and unionized ammonia (NH3-N) and their ecological risk in the Liao River, China. Chemosphere 2020, 243, 125328. [Google Scholar] [CrossRef]
- Janicka, E.; Kanclerz, J.; Wiatrowska, K.; Budka, A. Variability of Nitrogen and Phosphorus Content and Their Forms in Waters of a River-Lake System. Front. Environ. Sci. 2022, 10, 874754. [Google Scholar] [CrossRef]
- Mainstone, C.P.; Parr, W. Phosphorus in rivers—Ecology and management. Sci. Total Environ. 2002, 282, 25–47. [Google Scholar] [CrossRef] [PubMed]
- Rusydi, A.F. Correlation between conductivity and total dissolved solid in various type of water: A review. IOP Conf. Ser. Earth Environ. Sci. 2018, 118, 012019. [Google Scholar] [CrossRef]
- Azhar, A.S.b.; Latiff, A.H.A.; Lim, L.H.; Gödeke, S.H. Groundwater investigation of a coastal aquifer in Brunei Darussalam using seismic refraction. Environ. Earth Sci. 2019, 78, 220. [Google Scholar] [CrossRef]
- Hannouche, A.; Chebbo, G.; Ruban, G.; Tassin, B.; Lemaire, B.J.; Joannis, C. Relationship between turbidity and total suspended solids concentration within a combined sewer system. Water Sci. Technol. 2011, 64, 2445–2452. [Google Scholar] [CrossRef] [PubMed]




| Stations | pH | T | DO | ORP | COD | BOD5 | Salinity | EC | TDS | Turbidity | TSS | NH3-N | FC | TC | Phosphate | NO3− | |
|---|---|---|---|---|---|---|---|---|---|---|---|---|---|---|---|---|---|
| Unit | °C | mg/L | mV | mg/L | mg/L | PPT | μs/cm | mg/L | NTU | mg/L | mg/L | MPN /100 mL | MPN /100 mL | mg/L | mg/L | ||
| B | min | 6.47 | 24.6 | 3.5 | 84.41 | 218 | 0.9 | 14.1 | 19,612 | 11.66 | 2.7 | 18 | 0.07 | 400 | 2300 | 0.03 | 0.04 |
| max | 7.7 | 30.9 | 8.4 | 256.4 | 696 | 3.9 | 39.5 | 43,459 | 25.94 | 10.3 | 68 | 0.18 | 5000 | 90,000 | 0.04 | 0.04 | |
| mean | 6.99 | 28.85 | 6.2 | 168.1 | 546 | 2.54 | 21.6 | 29,204 | 17.39 | 6.3 | 36.4 | 0.0017 | 1733 | 18,333 | 0.03 | 0.04 | |
| D | min | 6.41 | 24.2 | 3.9 | 95.98 | 215 | 0.4 | 11.9 | 17,886 | 10.66 | 2.9 | 21 | 0.047 | 700 | 2300 | 0.02 | 0.08 |
| max | 7.46 | 30.8 | 7.9 | 234.6 | 738 | 4.4 | 33.6 | 40,323 | 24.01 | 16.9 | 88 | 0.103 | 5000 | 90,000 | 0.04 | 0.78 | |
| mean | 6.88 | 28.23 | 5.9 | 163.7 | 518 | 2.39 | 18.2 | 26,687 | 15.99 | 8.01 | 41.3 | 0.0024 | 1800 | 14,183 | 0.02 | 0.43 | |
| E | min | 6.31 | 23.9 | 4.1 | 78.88 | 201 | 0.3 | 4.2 | 20,788 | 12.4 | 2.5 | 21 | 0.05 | 200 | 2300 | 0.01 | 0.22 |
| max | 7.41 | 30.9 | 6.8 | 230.1 | 639 | 4.8 | 39.4 | 39,467 | 23.51 | 20.45 | 70 | 0.09 | 28,000 | 160,000 | 0.02 | 0.9 | |
| mean | 6.84 | 28.31 | 5.5 | 152 | 344 | 2.7 | 17.5 | 25,290 | 15.25 | 9.88 | 40.2 | 0.0045 | 5258 | 36,025 | 0.08 | 0.56 | |
| G | min | 6.37 | 22.5 | 3.9 | 81.3 | 169 | 7.9 | 10.6 | 18,430 | 11.33 | 2.6 | 4 | 0.035 | 400 | 2300 | 0.01 | 0.13 |
| max | 7.14 | 30.9 | 6.7 | 202.6 | 565 | 2.9 | 22.4 | 32,823 | 19.52 | 20.6 | 58 | 0.13 | 13,000 | 90,000 | 0.17 | 0.57 | |
| mean | 6.8 | 28.13 | 5.4 | 141.9 | 453 | 2.89 | 16.1 | 22,939 | 13.92 | 9.44 | 40 | 0.0087 | 2967 | 18,158 | 0.07 | 0.35 | |
| J | min | 6.4 | 23.8 | 3.6 | 81.04 | 198 | 0.9 | 10.6 | 19,023 | 11.35 | 3.2 | 16 | 0.02 | 900 | 3000 | 0.01 | 0.05 |
| max | 7 | 30.7 | 6.1 | 178.1 | 645 | 3.6 | 30.2 | 37,130 | 22.07 | 59.3 | 98.8 | 0.046 | 35,000 | 160,000 | 0.03 | 0.88 | |
| mean | 6.78 | 28.2 | 4.9 | 131.5 | 457 | 2.59 | 15.5 | 23,282 | 13.9 | 11.79 | 40.9 | 0.009 | 5292 | 75,583 | 0.02 | 0.47 | |
| N | min | 6.35 | 24 | 3.5 | 79.29 | 191 | 1.2 | 4.4 | 17,330 | 10.42 | 2.2 | 11 | 0.022 | 200 | 300 | 0.01 | 0.11 |
| max | 6.99 | 30.6 | 6.4 | 179.6 | 583 | 6.6 | 26.4 | 32,959 | 19.65 | 16.25 | 76 | 0.035 | 11,000 | 50,000 | 0.2 | 0.5 | |
| mean | 6.74 | 28.18 | 4.9 | 129.7 | 467 | 2.67 | 13.7 | 22,157 | 13.16 | 7.39 | 38.9 | 0.0015 | 2275 | 14,350 | 0.07 | 0.305 | |
| P | min | 6.34 | 23.6 | 3.3 | 97.35 | 192 | 1.1 | 9.72 | 16,590 | 10.18 | 2.3 | 13 | 0.026 | 200 | 2300 | 0.01 | 0.03 |
| max | 6.91 | 30.9 | 6.6 | 208.7 | 640 | 3.7 | 15.6 | 32,506 | 19.39 | 18.6 | 61 | 0.075 | 11,000 | 16,000 | 0.82 | 0.12 | |
| mean | 6.67 | 28.15 | 4.6 | 149.3 | 456 | 2.22 | 12.5 | 21,079 | 12.5 | 6.46 | 36.8 | 0.0013 | 2825 | 20,192 | 0.22 | 0.075 | |
| Q | min | 6.32 | 23.2 | 2.9 | 97.34 | 192 | 1 | 6.8 | 80,43 | 5.08 | 3.2 | 6 | 0.034 | 800 | 3000 | 0.05 | 0.53 |
| max | 7.02 | 30.6 | 4.5 | 185 | 544 | 4.2 | 13.1 | 29,890 | 17.8 | 40.7 | 57 | 0.07 | 17,000 | 160,000 | 0.12 | 0.53 | |
| mean | 6.65 | 28.1 | 3.8 | 156.3 | 411 | 2.48 | 9.52 | 16,290 | 9.76 | 14.06 | 34.1 | 0.001 | 4067 | 27,083 | 0.05 | 0.53 |
| Total Variance Explained | ||||||
|---|---|---|---|---|---|---|
| Component | Initial Eigenvalues | Extraction Sums of Squared Loadings | ||||
| Total | % of Variance | Cumulative % | Total | % of Variance | Cumulative % | |
| 1 | 4.431 | 34.082 | 34.082 | 4.431 | 34.082 | 34.082 |
| 2 | 1.75 | 13.458 | 47.54 | 1.75 | 13.458 | 47.54 |
| 3 | 1.33 | 10.229 | 57.77 | 1.33 | 10.229 | 57.77 |
| 4 | 1.236 | 9.507 | 67.277 | 1.236 | 9.507 | 67.277 |
| 5 | 1.031 | 7.931 | 75.207 | 1.031 | 7.931 | 75.207 |
| 6 | 0.92 | 7.08 | 82.288 | |||
| 7 | 0.81 | 6.227 | 88.515 | |||
| 8 | 0.534 | 4.105 | 92.62 | |||
| 9 | 0.359 | 2.759 | 95.379 | |||
| 10 | 0.294 | 2.265 | 97.644 | |||
| 11 | 0.273 | 2.101 | 99.745 | |||
| 12 | 0.023 | 0.179 | 99.924 | |||
| 13 | 0.01 | 0.076 | 100 | |||
| Extraction method: principal component analysis. | ||||||
| Parameter | 1 | 2 | 3 | 4 | 5 |
|---|---|---|---|---|---|
| pH | 0.665 | 0.285 | 0.426 | 0.16 | 0.158 |
| EC | 0.971 | 0.048 | 0.052 | −0.032 | 0.066 |
| Salinity | 0.95 | 0.048 | 0.003 | −0.024 | 0.094 |
| TDS | 0.972 | 0.033 | 0.033 | 0.017 | 0.048 |
| ORP | 0.161 | 0.636 | −0.346 | 0.033 | −0.475 |
| DO | −0.624 | 0.511 | −0.024 | −0.119 | 0.36 |
| Turbidity | −0.129 | 0.008 | 0.44 | 0.647 | −0.345 |
| BOD5 | −0.174 | 0.203 | 0.623 | −0.196 | 0.26 |
| TSS | 0.205 | −0.039 | 0.228 | −0.707 | −0.035 |
| TC | 0.009 | 0.458 | 0.394 | 0.188 | −0.01 |
| FC | 0.205 | 0.094 | −0.411 | 0.419 | 0.646 |
| NH3-N | 0.751 | −0.401 | −0.076 | 0.007 | −0.124 |
| T | 0.297 | 0.758 | −0.246 | −0.157 | −0.122 |
| pH | EC | Salinity | TDS | ORP | DO | Turbidity | BOD5 | FC | NH3-N | T | TSS | |
|---|---|---|---|---|---|---|---|---|---|---|---|---|
| pH | 1.00 | |||||||||||
| EC | 0.58 | 1.00 | ||||||||||
| Salinity | 0.63 | 0.98 | 1.00 | |||||||||
| TDS | 0.54 | 0.98 | 0.98 | 1.00 | ||||||||
| ORP | 0.04 | 0.06 | 0.04 | 0.05 | 1.00 | |||||||
| DO | −0.23 | −0.44 | −0.42 | −0.47 | 0.03 | 1.00 | ||||||
| Turbidity | 0.00 | −0.22 | −0.24 | −0.18 | 0.07 | −0.10 | 1.00 | |||||
| BOD5 | 0.04 | −0.11 | −0.13 | −0.12 | −0.11 | 0.24 | 0.03 | 1.00 | ||||
| FC | 0.10 | 0.11 | 0.12 | 0.11 | 0.03 | 0.02 | −0.04 | −0.15 | 1.00 | |||
| NH3-N | 0.23 | 0.66 | 0.64 | 0.67 | −0.12 | −0.55 | −0.03 | −0.17 | 0.08 | 1.00 | ||
| T | 0.17 | 0.29 | 0.29 | 0.30 | 0.52 | 0.10 | −0.08 | 0.00 | 0.05 | 0.00 | 1.00 | |
| TSS | 0.15 | 0.18 | 0.12 | 0.10 | −0.06 | 0.03 | −0.18 | 0.09 | −0.09 | 0.09 | 0.03 | 1.00 |
| Station | Parameter Sub-Indices | WQI | Status | |||||
|---|---|---|---|---|---|---|---|---|
| DO | BOD5 | COD | NH3-N | SS | pH | |||
| (0.22) | (0.19) | (0.16) | (0.15) | (0.16) | (0.12) | |||
| B | 89.21 | 89.66 | 21.82 | 99.82 | 78.05 | 99.37 | 79.54 | Slightly Polluted |
| D | 84.77 | 90.29 | 20.72 | 100.25 | 75.78 | 99.32 | 79.42 | Slightly Polluted |
| E | 78.86 | 96.17 | 13.3 | 100.28 | 76.31 | 99.16 | 76.85 | Slightly Polluted |
| G | 76.95 | 88.18 | 18.04 | 99.59 | 76.39 | 98.98 | 75.61 | Slightly Polluted |
| J | 68.46 | 79.67 | 18.19 | 99.56 | 76.05 | 93.82 | 71.47 | Slightly Polluted |
| N | 68.46 | 89.11 | 18.61 | 83.96 | 76.93 | 98.67 | 71.23 | Slightly Polluted |
| P | 63.31 | 91.01 | 18.16 | 100.36 | 77.79 | 98 | 73.4 | Slightly Polluted |
| Q | 47.58 | 84.33 | 16.28 | 100.39 | 79.12 | 98.11 | 68.58 | Polluted |
| Station | Q-Curve Sub-Indices | WQI | Category | ||||||||
|---|---|---|---|---|---|---|---|---|---|---|---|
| DO | T | BOD5 | FC | TS | Turbidity | pH | NO3- | TP | Pollution | ||
| (0.17) | (0.1) | (0.11) | (0.16) | (0.07) | (0.08) | (0.11) | (0.1) | (0.1) | |||
| B | 87 | 12 | 70 | 19 | 83 | 82 | 88 | 98 | 90 | 67.58 | Medium |
| D | 75 | 12 | 80 | 18 | 83 | 78 | 87 | 96 | 90 | 65.85 | Medium |
| E | 62 | 12 | 67 | 14 | 82 | 75 | 87 | 95 | 90 | 63.8 | Medium |
| G | 60 | 13 | 64 | 16 | 82 | 80 | 80 | 97 | 94 | 64.14 | Medium |
| J | 55 | 12 | 68 | 14 | 81 | 72 | 78 | 96 | 90 | 61.83 | Medium |
| N | 50 | 13 | 65 | 18 | 82 | 85 | 78 | 97 | 94 | 62.55 | Medium |
| P | 50 | 12 | 90 | 16 | 81 | 83 | 75 | 99 | 94 | 64.52 | Medium |
| Q | 45 | 11 | 70 | 15 | 80 | 75 | 73 | 95 | 90 | 59.23 | Medium |
Disclaimer/Publisher’s Note: The statements, opinions and data contained in all publications are solely those of the individual author(s) and contributor(s) and not of MDPI and/or the editor(s). MDPI and/or the editor(s) disclaim responsibility for any injury to people or property resulting from any ideas, methods, instructions or products referred to in the content. |
© 2024 by the authors. Licensee MDPI, Basel, Switzerland. This article is an open access article distributed under the terms and conditions of the Creative Commons Attribution (CC BY) license (https://creativecommons.org/licenses/by/4.0/).
Share and Cite
Onifade, O.; Shamsuddin, N.; Jin, J.L.Z.; Lai, D.T.C.; Gödeke, S.H. Assessment of Pollution Status in Brunei River Using Water Quality Indices, Brunei Darussalam. Water 2024, 16, 2439. https://doi.org/10.3390/w16172439
Onifade O, Shamsuddin N, Jin JLZ, Lai DTC, Gödeke SH. Assessment of Pollution Status in Brunei River Using Water Quality Indices, Brunei Darussalam. Water. 2024; 16(17):2439. https://doi.org/10.3390/w16172439
Chicago/Turabian StyleOnifade, Oluwakemisola, Norazanita Shamsuddin, Jason Lee Zse Jin, Daphne Teck Ching Lai, and Stefan Herwig Gödeke. 2024. "Assessment of Pollution Status in Brunei River Using Water Quality Indices, Brunei Darussalam" Water 16, no. 17: 2439. https://doi.org/10.3390/w16172439
APA StyleOnifade, O., Shamsuddin, N., Jin, J. L. Z., Lai, D. T. C., & Gödeke, S. H. (2024). Assessment of Pollution Status in Brunei River Using Water Quality Indices, Brunei Darussalam. Water, 16(17), 2439. https://doi.org/10.3390/w16172439

