Evaluating Empirical, Field, and Laboratory Approaches for Estimating the Hydraulic Conductivity in the Kabul Aquifer
Abstract
1. Introduction
2. Study Area
2.1. Climate
2.2. Geological and Hydrogeological Setting
3. Materials and Methods
3.1. Data Used
3.2. Methodology
3.2.1. Field Methods
3.2.2. Laboratory Methods
3.2.3. Empirical Methods
3.3. Map Generation
4. Results
4.1. Field Method
4.1.1. AL-LG Well Results
4.2. Empirical Method
4.2.1. AL-LG Wells Results
4.2.2. Old Well Results
4.2.3. Piezometric Well Results
4.2.4. PW Wells
4.3. Laboratory Methods
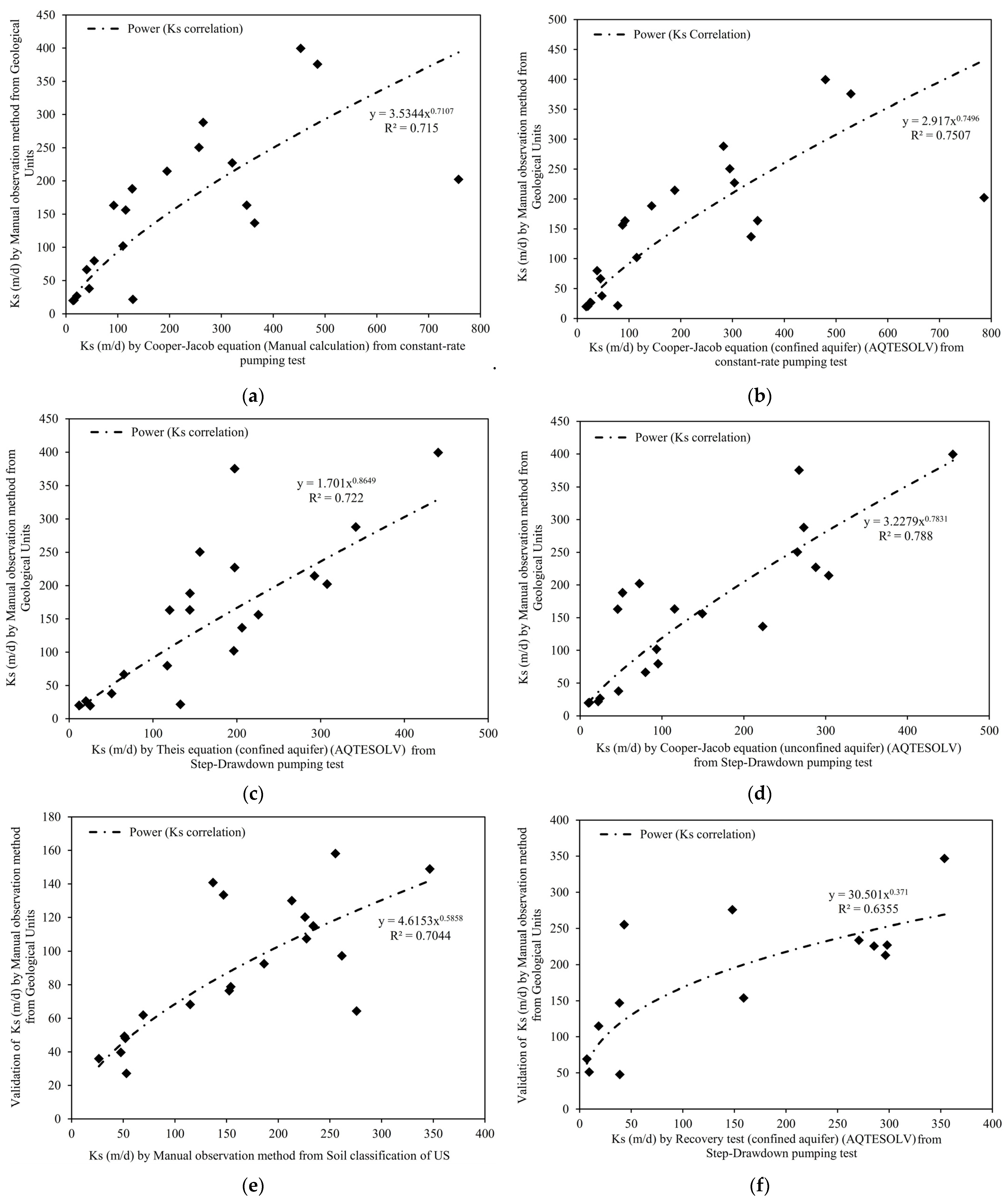
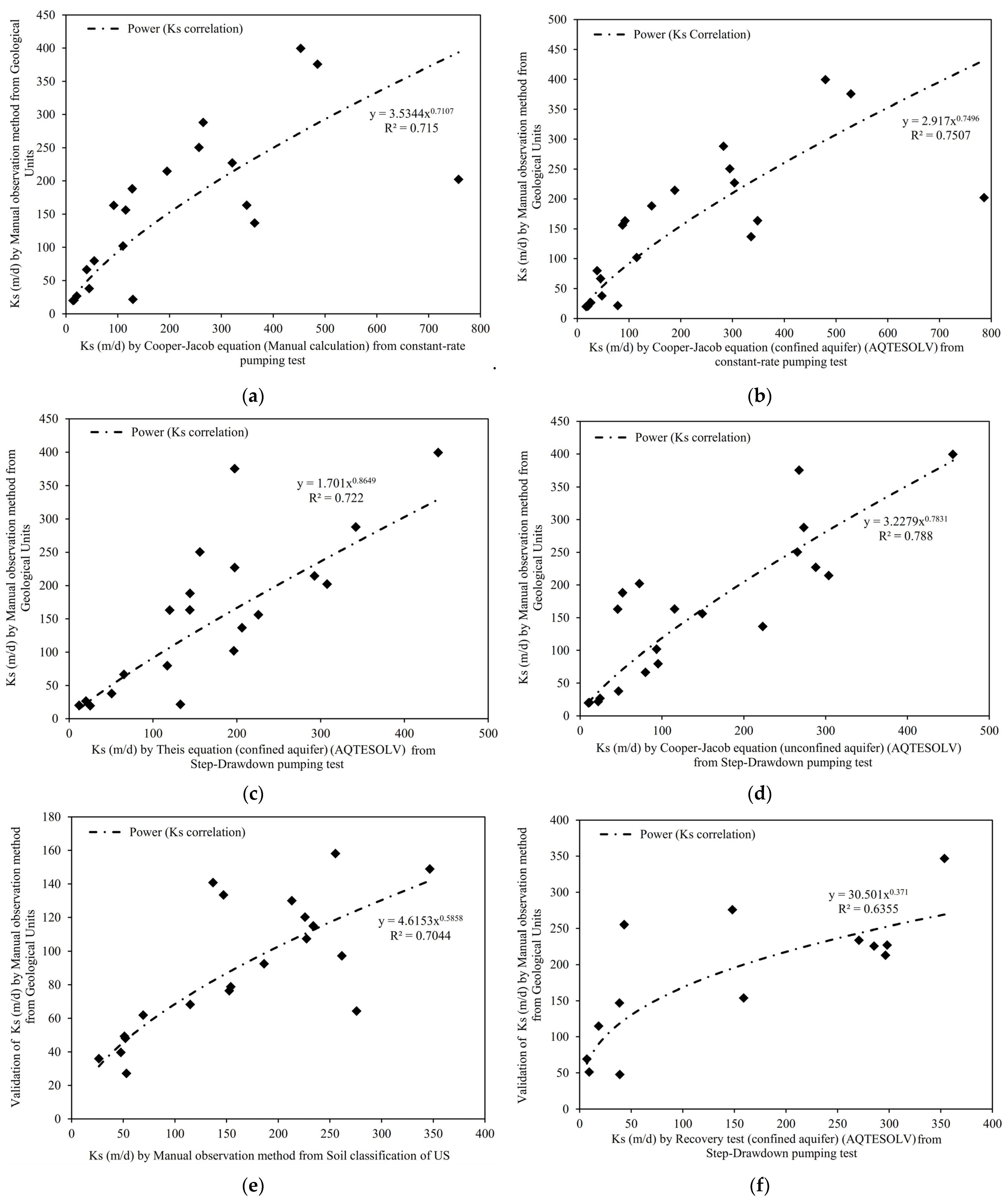
5. Discussion: Evaluation of the Implemented Methods
6. Conclusions
Supplementary Materials
Author Contributions
Funding
Data Availability Statement
Acknowledgments
Conflicts of Interest
References
- Darcy, H. Les Fontaines Publiques de la Ville de Dijon: Exposition et Application des Principes à Suivre et des Formules à Employer dans les Questions de Distribution D’eau; Dalmont, V., Ed.; Hachette Livre BNF: Paris, France, 1856; Volume 1. [Google Scholar]
- Alyamani, M.S.; Şen, Z. Determination of hydraulic conductivity from complete grain-size distribution curves. Groundwater 1993, 31, 551–555. [Google Scholar] [CrossRef]
- Mallants, D.; Jacques, D.; Tseng, P.-H.; van Genuchten, M.T.; Feyen, J. Comparison of three hydraulic property measurement methods. J. Hydrol. 1997, 199, 295–318. [Google Scholar] [CrossRef]
- Jadczyszyn, J.; Niedźwiecki, J. Relation of Saturated Hydraulic Conductivity to Soil Losses. Pol. J. Environ. Stud. 2005, 14, 431–435. [Google Scholar]
- Zhang, Y.; Schaap, M.G. Estimation of saturated hydraulic conductivity with pedotransfer functions: A review. J. Hydrol. 2019, 575, 1011–1030. [Google Scholar] [CrossRef]
- Mohammed, M.A.; Szabó, N.P.; Szűcs, P. Exploring hydrogeological parameters by integration of geophysical and hydrogeological methods in northern Khartoum state, Sudan. Groundw. Sustain. Dev. 2023, 20, 100891. [Google Scholar] [CrossRef]
- Dai, Y.; Shangguan, W.; Duan, Q.; Liu, B.; Fu, S.; Niu, G. Development of a China dataset of soil hydraulic parameters using pedotransfer functions for land surface modeling. J. Hydrometeorol. 2013, 14, 869–887. [Google Scholar] [CrossRef]
- Vereecken, H.; Schnepf, A.; Hopmans, J.W.; Javaux, M.; Or, D.; Roose, T.; Vanderborght, J.; Young, M.; Amelung, W.; Aitkenhead, M. Modeling soil processes: Review, key challenges, and new perspectives. Vadose Zone J. 2016, 15, 1–57. [Google Scholar] [CrossRef]
- Bravo-Cadena, J.; Pavón, N.P.; Balvanera, P.; Sánchez-Rojas, G.; Razo-Zarate, R. Water availability–demand balance under climate change scenarios in an overpopulated region of Mexico. Int. J. Environ. Res. Public Health 2021, 18, 1846. [Google Scholar] [CrossRef] [PubMed]
- Uma, K.; Egboka, B.; Onuoha, K. New statistical grain-size method for evaluating the hydraulic conductivity of sandy aquifers. J. Hydrol. 1989, 108, 343–366. [Google Scholar] [CrossRef]
- Sun, D.; Luo, N.; Vandenhoff, A.; McCall, W.; Zhao, Z.; Wang, C.; Rudolph, D.L.; Illman, W.A. Evaluation of Hydraulic Conductivity Estimates from Various Approaches with Groundwater Flow Models. Groundwater 2024, 62, 384–404. [Google Scholar] [CrossRef]
- Hazen, A. XXIII. Some physical properties of sands and gravels, with special reference to their use in filtration. In State Sanitation Volume II; Harvard University Press: Cambridge, MA, USA, 1917; pp. 232–248. [Google Scholar]
- Siosemarde, M.; Nodehi, D.A. Effect of Wells on Aquifers Water Table-Maaroof Siosemarde and Davood Akbari Nodehi. 2014. Available online: http://gnanaganga.inflibnet.ac.in:8080/jspui/handle/123456789/10569 (accessed on 14 November 2014).
- Fan, Z.; Parashar, R. Transient flow to a finite-radius well with wellbore storage and skin effect in a poroelastic confined aquifer. Adv. Water Resour. 2020, 142, 103604. [Google Scholar] [CrossRef]
- Rezaei, M.; Mousavi, S.R.; Rahmani, A.; Zeraatpisheh, M.; Rahmati, M.; Pakparvar, M.; Mahjenabadi, V.A.J.; Seuntjens, P.; Cornelis, W. Incorporating machine learning models and remote sensing to assess the spatial distribution of saturated hydraulic conductivity in a light-textured soil. Comput. Electron. Agric. 2023, 209, 107821. [Google Scholar] [CrossRef]
- Timlin, D.; Ahuja, L.; Pachepsky, Y.; Williams, R.; Gimenez, D.; Rawls, W. Use of Brooks-Corey parameters to improve estimates of saturated conductivity from effective porosity. Soil Sci. Soc. Am. J. 1999, 63, 1086–1092. [Google Scholar] [CrossRef]
- Fallico, C.; Vita, M.C.; De Bartolo, S.; Straface, S. Scaling effect of the hydraulic conductivity in a confined aquifer. Soil Sci. 2012, 177, 385–391. [Google Scholar] [CrossRef]
- Mohammed, M.A.; Szabó, N.P.; Flores, Y.G.; Szűcs, P. Multi-well clustering and inverse modeling-based approaches for exploring geometry, petrophysical, and hydrogeological parameters of the Quaternary aquifer system around Debrecen area, Hungary. Groundw. Sustain. Dev. 2024, 24, 101086. [Google Scholar] [CrossRef]
- Ibrahim, K.O.; Gomo, M.; Oke, S.A.; Yusuf, M.A. A new method for estimating hydraulic conductivity in un-screened concrete-lined large-diameter hand-dug wells. Groundw. Sustain. Dev. 2020, 11, 100443. [Google Scholar] [CrossRef]
- Peters, A.; Hohenbrink, T.L.; Iden, S.C.; Van Genuchten, M.T.; Durner, W. Prediction of the absolute hydraulic conductivity function from soil water retention data. Hydrol. Earth Syst. Sci. Discuss. 2023, 27, 1565–1582. [Google Scholar] [CrossRef]
- Assari, A.; Mohammadi, Z. Assessing flow paths in a karst aquifer based on multiple dye tracing tests using stochastic simulation and the MODFLOW-CFP code. Hydrogeol. J. 2017, 25, 1679. [Google Scholar] [CrossRef]
- Tilahun, T.; Korus, J. 3D hydrostratigraphic and hydraulic conductivity modelling using supervised machine learning. Appl. Comput. Geosci. 2023, 19, 100122. [Google Scholar] [CrossRef]
- Omar, M.T. Kabul: Rebirth of a City; University of Minnesota: Minneapolis, MN, USA, 2018. [Google Scholar]
- Farahmand, A.; Hussaini, M.S.; Zaryab, A.; Aqili, S.W. Evaluation of Hydrogeoethics approach for sustainable management of groundwater resources in the upper Kabul sub-basin, Afghanistan. Sustain. Water Resour. Manag. 2021, 7, 48. [Google Scholar] [CrossRef]
- Zaryab, A.; Farahmand, A.; Nassery, H.R.; Alijani, F.; Ali, S.; Jamal, M.Z. Hydrogeochemical and isotopic evolution of groundwater in shallow and deep aquifers of the Kabul Plain, Afghanistan. Environ. Geochem. Health 2023, 45, 8503–8522. [Google Scholar] [CrossRef] [PubMed]
- Hussainzadeh, J.; Samani, S.; Mahaqi, A. Investigation of the geochemical evolution of groundwater resources in the Zanjan plain, NW Iran. Environ. Earth Sci. 2023, 82, 123. [Google Scholar] [CrossRef]
- Calogero, P. Kabul: The 21st-century urbanism we did not expect. In Routledge Handbook of Asian Cities; Routledge: London, UK, 2023; pp. 238–248. [Google Scholar]
- Brati, M.Q.; Ishihara, M.I.; Higashi, O. Groundwater level reduction and pollution in relation to household water management in Kabul, Afghanistan. Sustain. Water Resour. Manag. 2019, 5, 1315–1325. [Google Scholar] [CrossRef]
- Mohammaddost, A.; Mohammadi, Z.; Rezaei, M.; Pourghasemi, H.R.; Farahmand, A. Assessment of groundwater vulnerability in an urban area: A comparative study based on DRASTIC, EBF, and LR models. Environ. Sci. Pollut. Res. 2022, 29, 72908–72928. [Google Scholar] [CrossRef] [PubMed]
- Bohannon, R.G. Geologic and Topographic Maps of the Kabul South 30ʹ x 60ʹ Quadrangle, Afghanistan; U.S. Department of the Interior, US Geological Survey: Reston, VA, USA, 2010.
- Hussaini, M.S.; Farahmand, A.; Shrestha, S.; Neupane, S.; Abrunhosa, M. Site selection for managed aquifer recharge in the city of Kabul, Afghanistan, using a multi-criteria decision analysis and geographic information system. Hydrogeol. J. 2022, 30, 59–78. [Google Scholar] [CrossRef]
- Jawadi, H.A.; Iqbal, M.W.; Naseri, M.; Farahmand, A.; Azizi, A.H.; Eqrar, M.N. Nitrate contamination in groundwater of Kabul Province, Afghanistan: Reasons behind and conceptual management framework discourse. J. Mt. Sci. 2022, 19, 1274–1291. [Google Scholar] [CrossRef]
- Japan International Cooperation Agency (JICA) Study Team. Draft Kabul City Master Plan: Product of Technical Cooperation Project for Promotion of Kabul Metropolitan Area Development Sub Project for Revise the Kabul City Master Plan; Japan International Cooperation Agency: Tokyo, Japan, 2011.
- Houben, G.; Niard, N.; Tünnermeier, T.; Himmelsbach, T. Hidrogeologia da Bacia de Cabul (Afeganistão), parte I: Aquíferos e hidrologia. Hydrogeol. J. 2009, 17, 665–677. [Google Scholar] [CrossRef]
- Böckh, E. Report on the Groundwater Resources of the City of Kabul-Report for BUNDESANSTALT FÜR GEOWISSENSCHAFTEN UND ROHSTOFFE. BGR File 1971, 43, unpublished. [Google Scholar]
- Theis, C.V. The relation between the lowering of the piezometric surface and the rate and duration of discharge of a well using ground-water storage. Eos Trans. Am. Geophys. Union 1935, 16, 519–524. [Google Scholar] [CrossRef]
- Cooper, H., Jr.; Jacob, C.E. A generalized graphical method for evaluating formation constants and summarizing well-field history. Eos Trans. Am. Geophys. Union 1946, 27, 526–534. [Google Scholar]
- Birsoy, Y.K.; Summers, W. Determination of aquifer parameters from step tests and intermittent pumping data. Ground Water 1980, 18, 137–146. [Google Scholar] [CrossRef]
- Neuman, S.P. Theory of flow in unconfined aquifers considering delayed response of the water table. Water Resour. Res. 1972, 8, 1031–1045. [Google Scholar] [CrossRef]
- Neuman, S.P. Effect of partial penetration on flow in unconfined aquifers considering delayed gravity response. Water Resour. Res. 1974, 10, 303–312. [Google Scholar] [CrossRef]
- Tartakovsky, G.D.; Neuman, S.P. Three-dimensional saturated-unsaturated flow with axial symmetry to a partially penetrating well in a compressible unconfined aquifer. Water Resour. Res. 2007, 43. [Google Scholar] [CrossRef]
- Kruseman, G.; de Ridder, N. Analysis and Evaluation of Pumping Test Data, 2nd ed.; International Institute for Land Reclamation and Improvement: Wageningen, The Netherlands, 1990; 372p. [Google Scholar]
- Theis, C.V.; Brown, R.H.; Meyer, R. Estimating the Transmissibility of Aquifers from the Specific Capacity of Wells; US Geological Survey: Reston, VA, USA, 1963.
- Razack, M.; Huntley, D. Assessing transmissivity from specific capacity in a large and heterogeneous alluvial aquifer. Groundwater 1991, 29, 856–861. [Google Scholar] [CrossRef]
- Slichter, C.S. Theoretical Investigation of the Motion of Ground Waters; 19th Annual Report; US Geophys Survey: Reston, VA, USA, 1899; pp. 304–319. [Google Scholar]
- Krüger, E. Die grundwasserbewegung. Int. Mitteilungen Für Bodenkd. 1918, 8, 105–122. [Google Scholar]
- Terzaghi, K. Principles of soil mechanics. Eng. News-Rec. 1925, 95, 19–32. [Google Scholar]
- Zamarin, J.A. Calculation of ground-water flow. Trudey I.V.H, Taskeni 1928. (In Russian)
- Zunker, F. Das Verhalten des Wassers zum Boden [The behavior of groundwater]. Z. Pflanzenernähr. Düng. Bodenkd. 1930, 25. [Google Scholar]
- Vuković, M.; Soro, A. Determination of Hydraulic Conductivity of Porous Media from Grain-Size Composition; Water Resources Publications: Littleton, CO, USA, 1992. [Google Scholar]
- Krumbein, W.; Monk, G. Permeability as a function of the size parameters of unconsolidated sand. Trans. AIME 1943, 151, 153–163. [Google Scholar] [CrossRef]
- Kozeny, J. Das wasser im boden. Grundwasserbewegung. In Hydraulik: Ihre Grundlagen und Praktische Anwendung; Springer: Berlin/Heidelberg, Germany, 1953; pp. 380–445. [Google Scholar]
- Beyer, W. On the determination of hydraulic conductivity of gravels and sands from grain-size distributions. Wasserwirtsch.-Wassertech. 1964, 14, 165–169. [Google Scholar]
- Białas, Z. O Usrednianiu Wspolczynnikow Filtracji z Zastosowaniem Elektronicznej Cyfrowej Maszyny Matematycznej [Averaging Filter Coefficients Using Digital Electronic Mathematical Machines]; Przedsiebiorstwo Geologiczne we Wroclawiu: Warsaw, Poland, 1966; pp. 47–50. [Google Scholar]
- Freeze, R.A.; Cherry, J.A. Groundwater prentice-hall. Englewood Cliffs NJ 1979, 176, 161–177. [Google Scholar]
- Barr, D.W. Coefficient of permeability determined by measurable parameters. Groundwater 2001, 39, 356–361. [Google Scholar] [CrossRef] [PubMed]
- Chapuis, R.P. Predicting the saturated hydraulic conductivity of sand and gravel using effective diameter and void ratio. Can. Geotech. J. 2004, 41, 787–795. [Google Scholar] [CrossRef]
- Devlin, J. HydrogeoSieveXL: Uma ferramenta baseada no Excel para estimar condutividade hidráulica a partir de análises do tamanho de partículas. Hydrogeol. J. 2015, 23, 837–844. [Google Scholar] [CrossRef]
- Odong, J. Evaluation of empirical formulae for determination of hydraulic conductivity based on grain-size analysis. J. Am. Sci. 2007, 3, 54–60. [Google Scholar]
- Maurya, P.K.; Balbarini, N.; Møller, I.; Rønde, V.; Christiansen, A.V.; Bjerg, P.L.; Auken, E.; Fiandaca, G. Subsurface imaging of water electrical conductivity, hydraulic permeability and lithology at contaminated sites by induced polarization. Geophys. J. Int. 2018, 213, 770–785. [Google Scholar] [CrossRef]
- Cormican, A.; Devlin, J.; Divine, C. Grain size analysis and permeametry for estimating hydraulic conductivity in engineered porous media. Groundw. Monit. Remediat. 2020, 40, 65–72. [Google Scholar] [CrossRef]
- Lin, R. Comparative Analysis of Methods to Determine Permeability. 2021. Available online: https://studenttheses.uu.nl/handle/20.500.12932/188 (accessed on 14 November 2014).
- Lévy, L.; Thalund-Hansen, R.; Bording, T.; Fiandaca, G.; Christiansen, A.V.; Rügge, K.; Tuxen, N.; Hag, M.; Bjerg, P. Quantifying reagent spreading by cross-borehole electrical tomography to assess performance of groundwater remediation. Water Resour. Res. 2022, 58, e2022WR032218. [Google Scholar] [CrossRef]
- Seth., S.M. Determination of hydraulic Conductivity of Soils in Central Bihar. India. Print. 1998. Available online: https://nihroorkee.gov.in/sites/default/files/Determination_of_Hydraulic_Conductivity_of_Soils_in_Central_Bihar.pdf (accessed on 14 November 2014).
- Lewis, M.; Cheney, C.; Odochartaigh, B. Guide to Permeability Indices; British Geological Survey Open Report; CR/06; British Geological Survey: Nottingham, UK, 2006. [Google Scholar]
- Hwang, H.-T.; Jeen, S.-W.; Suleiman, A.A.; Lee, K.-K. Comparison of saturated hydraulic conductivity estimated by three different methods. Water 2017, 9, 942. [Google Scholar] [CrossRef]
- Duffield, G. Aquifer Testing 101: Hydraulic Properties Representative Values of Hydraulic Properties. 2019. Available online: http://www.aqtesolv.com/aquifer-tests/aquifer_properties.htm (accessed on 14 November 2014).
- United States Department of Agriculture, Natural Resources Conservation Service (USDA NRCS). (n.d.). Saturated Hydraulic Conductivity in Relation to Soil Texture. Available online: https://www.nrcs.usda.gov/wps/portal/nrcs/detail/soils/survey/office/ssr10/tr/?cid=nrcs144p2_074846 (accessed on 14 November 2014).
- Widodo, L.E.; Cahyadi, T.A.; Notosiswoyo, S.; Widijanto, E. Application of clustering system to analyze geological, geotechnical and hydrogeological data base according to HC-system approach. In Proceedings of the 9th Asian Rock Mechanics Symposium, Bali, Indonesia, 18–20 October 2016. [Google Scholar]
- Shepard, D. A two-dimensional interpolation function for irregularly-spaced data. In Proceedings of the 1968 23rd ACM National Conference, New York, NY, USA, 27–29 August 1968; pp. 517–524. [Google Scholar]
- Li, J.; Heap, A.D. Spatial interpolation methods applied in the environmental sciences: A review. Environ. Model. Softw. 2014, 53, 173–189. [Google Scholar] [CrossRef]
- Workneh, H.T.; Chen, X.; Ma, Y.; Bayable, E.; Dash, A. Comparison of IDW, Kriging and orographic based linear interpolations of rainfall in six rainfall regimes of Ethiopia. J. Hydrol. Reg. Stud. 2024, 52, 101696. [Google Scholar] [CrossRef]
- Matheron, G. Principles of geostatistics. Econ. Geol. 1963, 58, 1246–1266. [Google Scholar] [CrossRef]
- Oliver, M.; Webster, R. A tutorial guide to geostatistics: Computing and modelling variograms and kriging. Catena 2014, 113, 56–69. [Google Scholar] [CrossRef]
- Murakami, D.; Yamagata, Y.; Hirano, T. Geostatistics and Gaussian process models. In Spatial Analysis Using Big Data; Elsevier: Amsterdam, The Netherlands, 2020; pp. 57–112. [Google Scholar]
- Yamamoto, J.K. An alternative measure of the reliability of ordinary kriging estimates. Math. Geol. 2000, 32, 489–509. [Google Scholar] [CrossRef]
- Journel, A.G.; Huijbregts, C.H.J. Mining Geostatistics; Academic Press: London, UK, 1978. [Google Scholar]
- Goovaerts, P. Kriging and semivariogram deconvolution in the presence of irregular geographical units. Math. Geosci. 2008, 40, 101–128. [Google Scholar] [CrossRef]
- Isaaks, E.H.; Srivastava, R.M. Applied Geostatistics; Oxford University Press: Oxford, UK, 1989. [Google Scholar]
- Chiles, J.-P.; Delfiner, P. Geostatistics: Modeling Spatial Uncertainty; John Wiley & Sons: Hoboken, NJ, USA, 2012; Volume 713. [Google Scholar]
- Krásný, J. Classification of transmissivity magnitude and variation. Groundwater 1993, 31, 230–236. [Google Scholar] [CrossRef]
- Jacob, C.E. On the flow of water in an elastic artesian aquifer. Eos Trans. Am. Geophys. Union 1940, 21, 574–586. [Google Scholar]
- Şen, Z. Practical and Applied Hydrogeology; Elsevier: Amsterdam, The Netherlands, 2014. [Google Scholar]
- Dixon, K.; Nichols, R. Permeability estimation from transient vadose zone pumping tests in shallow coastal-plain sediments. Environ. Geosci. 2005, 12, 279–289. [Google Scholar] [CrossRef]
- Mastrocicco, M.; Vignoli, G.; Colombani, N.; Zeid, N.A. Surface electrical resistivity tomography and hydrogeological characterization to constrain groundwater flow modeling in an agricultural field site near Ferrara (Italy). Environ. Earth Sci. 2010, 61, 311–322. [Google Scholar] [CrossRef]
- Miller, O.L.; Solomon, D.K.; Miège, C.; Koenig, L.S.; Forster, R.R.; Montgomery, L.N.; Schmerr, N.; Ligtenberg, S.R.; Legchenko, A.; Brucker, L. Hydraulic conductivity of a firn aquifer in southeast Greenland. Front. Earth Sci. 2017, 5, 38. [Google Scholar] [CrossRef]
- Sahagún-Covarrubias, S.; Waldron, B.; Larsen, D.; Schoefernacker, S. Characterization of hydraulic properties of the Memphis Aquifer by conducting pumping tests in active well fields in Shelby County, Tennessee. JAWRA J. Am. Water Resour. Assoc. 2022, 58, 185–202. [Google Scholar] [CrossRef]
- Nassimi, A.; Mohammadi, Z. Estimation of hdraulic conductivity using geoelectrical data for assessing of scale effect in a karst aquifer. Acta Carsologica 2016, 45. [Google Scholar] [CrossRef]
- Hantush, M.S. Drawdown around a partially penetrating well. J. Hydraul. Div. 1961, 87, 83–98. [Google Scholar] [CrossRef]
- Hantush, M.S. Aquifer tests on partially penetrating wells. J. Hydraul. Div. 1961, 87, 171–195. [Google Scholar] [CrossRef]


















| Well’s Name | Count | Pumping Test | Well Log | Soil | |||
|---|---|---|---|---|---|---|---|
| Sieve Analysis | |||||||
| Constant | Step Drawdown | Geological Unit | US Soil Classification | Count Well | Count Analysis | ||
| Alauddin Wells (AL) | 10 | 10 | 10 | 10 | 10 | 3 | 7 |
| Logar Wells (LG) | 10 | 10 | 10 | 10 | 10 | 9 | 18 |
| Piezometer | 38 | - | - | 38 | 38 | - | - |
| Old Wells 1980s (data are old) | 169 | 169, just values of Q, drawdown, specific capacity, and thickness of aquifer | - | 169 | - | - | - |
| Pumping wells (PW) | 29 | - | - | 29 | - | - | - |
| DACAAR Wells | 23 | 23, just value of Ks | - | - | - | - | - |
| Monitoring wells | 83 | - | - | - | - | - | - |
| Total | 362 | 20 | 20 | 256 | 58 | 12 | 25 |
| Piezometers | AL-LG Wells | Old Wells | Average | |||||
|---|---|---|---|---|---|---|---|---|
| Count | 38 Wells | 20 | 169 | |||||
| Particle Size | Total Thickness (m) | Thickness % | Total Thickness (m) | Thickness % | Total Thickness (m) | Thickness % | Total Thickness (m) | Thickness % |
| Rock | 51.5 | 2.61% | 349.2 | 31.39% | 948 | 17.74% | 449.6 | 17.25% |
| Clay | 573.1 | 29.07% | 101.5 | 9.12% | 1996 | 37.34% | 890.2 | 25.18% |
| Silt | 910.9 | 46.20% | 228 | 20.49% | 0 1 | 0.00% 1 | 379.6 | 22.23% |
| Sand | 224.9 | 11.41% | 131.3 | 11.80% | 1139 | 21.31% | 498.4 | 14.84% |
| Gravel | 211.1 | 10.71% | 302.5 | 27.19% | 1262 | 23.61% | 591.9 | 20.50% |
| Summation | 1971.5 | 100% | 1112.5 | 100% | 5345 | 100% | 2809.7 | 100% |
Disclaimer/Publisher’s Note: The statements, opinions and data contained in all publications are solely those of the individual author(s) and contributor(s) and not of MDPI and/or the editor(s). MDPI and/or the editor(s) disclaim responsibility for any injury to people or property resulting from any ideas, methods, instructions or products referred to in the content. |
© 2024 by the authors. Licensee MDPI, Basel, Switzerland. This article is an open access article distributed under the terms and conditions of the Creative Commons Attribution (CC BY) license (https://creativecommons.org/licenses/by/4.0/).
Share and Cite
Mohammaddost, A.; Mohammadi, Z.; Hussainzadeh, J.; Farahmand, A.; Sivelle, V.; Labat, D. Evaluating Empirical, Field, and Laboratory Approaches for Estimating the Hydraulic Conductivity in the Kabul Aquifer. Water 2024, 16, 2204. https://doi.org/10.3390/w16152204
Mohammaddost A, Mohammadi Z, Hussainzadeh J, Farahmand A, Sivelle V, Labat D. Evaluating Empirical, Field, and Laboratory Approaches for Estimating the Hydraulic Conductivity in the Kabul Aquifer. Water. 2024; 16(15):2204. https://doi.org/10.3390/w16152204
Chicago/Turabian StyleMohammaddost, Alimahdi, Zargham Mohammadi, Javad Hussainzadeh, Asadullah Farahmand, Vianney Sivelle, and David Labat. 2024. "Evaluating Empirical, Field, and Laboratory Approaches for Estimating the Hydraulic Conductivity in the Kabul Aquifer" Water 16, no. 15: 2204. https://doi.org/10.3390/w16152204
APA StyleMohammaddost, A., Mohammadi, Z., Hussainzadeh, J., Farahmand, A., Sivelle, V., & Labat, D. (2024). Evaluating Empirical, Field, and Laboratory Approaches for Estimating the Hydraulic Conductivity in the Kabul Aquifer. Water, 16(15), 2204. https://doi.org/10.3390/w16152204

