Producing Efficient Adsorbents from Kraft Lignin for the Removal of Contaminants from Water—A Full Factorial Design
Abstract
1. Introduction
2. Materials and Methods
2.1. Reagents and Chemicals
2.2. Preparation of the Activated Carbon—Full Factorial Design and Statistical Analysis
2.2.1. Responses
- (i)
- Product yield
- (ii)
- Specific surface area and total pore volume
- (iii)
- Energy consumption—Technical-economic analysis
- (iv)
- Percentage of adsorption of MB and AMX
2.2.2. Analysis of Variance and Desirability Function
2.3. Physico-Chemical Characterization of the Optimized Activated Carbon
2.4. Kinetic and Equilibrium Experiments and Modeling
2.4.1. Kinetic Experiments
2.4.2. Equilibrium Experiments
3. Results
3.1. Full Factorial Design: Responses
3.2. Full Factorial Design: Statistical Analysis and Model Fitting
3.3. Characterization of the Optimized Activated Carbon
3.4. Kinetic Adsorption Experiments
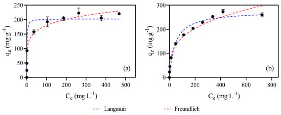
3.5. Equilibrium Adsorption Experiments
3.6. Comparison with Literature Studies and Future Work
4. Conclusions
Supplementary Materials
Author Contributions
Funding
Data Availability Statement
Conflicts of Interest
References
- Idris, R.; Chong, W.W.F.; Ali, A.; Idris, S.; Hasan, M.F.; Ani, F.N.; Chong, C.T. Phenol-Rich Bio-Oil Derivation via Microwave-Induced Fast Pyrolysis of Oil Palm Empty Fruit Bunch with Activated Carbon. Environ. Technol. Innov. 2021, 21, 101291. [Google Scholar] [CrossRef]
- Tripathi, M.; Sahu, J.N.; Ganesan, P. Effect of Process Parameters on Production of Biochar from Biomass Waste through Pyrolysis: A Review. Renew. Sustain. Energy Rev. 2016, 55, 467–481. [Google Scholar] [CrossRef]
- Hu, Z.; Ma, X.; Chen, C. A Study on Experimental Characteristic of Microwave-Assisted Pyrolysis of Microalgae. Bioresour. Technol. 2012, 107, 487–493. [Google Scholar] [CrossRef] [PubMed]
- Vargas-Moreno, J.M.; Callejón-Ferre, A.J.; Pérez-Alonso, J.; Velázquez-Martí, B. A Review of the Mathematical Models for Predicting the Heating Value of Biomass Materials. Renew. Sustain. Energy Rev. 2012, 16, 3065–3083. [Google Scholar] [CrossRef]
- Ragauskas, A.J.; Beckham, G.T.; Biddy, M.J.; Chandra, R.; Chen, F.; Davis, M.F.; Davison, B.H.; Dixon, R.A.; Gilna, P.; Keller, M.; et al. Lignin Valorization: Improving Lignin Processing in the Biorefinery. Science 2014, 344, 1246843. [Google Scholar] [CrossRef] [PubMed]
- Wang, H.; Pu, Y.; Ragauskas, A.; Yang, B. Bioresource Technology from Lignin to Valuable Products—Strategies, Challenges, and Prospects. Bioresour. Technol. 2019, 271, 449–461. [Google Scholar] [CrossRef] [PubMed]
- Sarkanen, K.V.; Ludwig, C.H. Lignins Occurence, Formation, Structure and Reactions; John Wiley: New York, NY, USA, 1971. [Google Scholar]
- Huang, J.; Fu, S.; Gan, L. Lignin Chemistry and Applications; Elsevier: Alpharetta, GA, USA, 2018; ISBN 9788578110796. [Google Scholar]
- Wan, X.; Shen, F.; Hu, J.; Huang, M.; Zhao, L.; Zeng, Y.; Tian, D.; Yang, G.; Zhang, Y. 3-D Hierarchical Porous Carbon from Oxidized Lignin by One-Step Activation for High-Performance Supercapacitor. Int. J. Biol. Macromol. 2021, 180, 51–60. [Google Scholar] [CrossRef]
- Anderson, E.M.; Stone, M.L.; Katahira, R.; Reed, M.; Beckham, G.T.; Román-Leshkov, Y. Flowthrough Reductive Catalytic Fractionation of Biomass. Joule 2017, 1, 613–622. [Google Scholar] [CrossRef]
- Madhu, R.; Periasamy, A.P.; Schlee, P.; Hérou, S.; Titirici, M.M. Lignin: A Sustainable Precursor for Nanostructured Carbon Materials for Supercapacitors. Carbon. N. Y. 2023, 207, 172–197. [Google Scholar] [CrossRef]
- Chen, M.; Li, Y.; Liu, H.; Zhang, D.; Shi, Q.S.; Zhong, X.Q.; Guo, Y.; Xie, X.B. High Value Valorization of Lignin as Environmental Benign Antimicrobial. Mater. Today Bio 2023, 18, 100520. [Google Scholar] [CrossRef]
- Supanchaiyamat, N.; Jetsrisuparb, K.; Knijnenburg, J.T.N.; Tsang, D.C.W.; Hunt, A.J. Lignin Materials for Adsorption: Current Trend, Perspectives and Opportunities. Bioresour. Technol. 2019, 272, 570–581. [Google Scholar] [CrossRef] [PubMed]
- Mohamed, A.R.; Mohammadi, M.; Darzi, G.N. Preparation of Carbon Molecular Sieve from Lignocellulosic Biomass: A Review. Renew. Sustain. Energy Rev. 2010, 14, 1591–1599. [Google Scholar] [CrossRef]
- Lora, J.H.; Glasser, W.G. Recent Industrial Applications of Lignin: A Sustainable Alternative to Nonrenewable Materials. J. Polym. Environ. 2002, 10, 39–48. [Google Scholar] [CrossRef]
- Liou, T.H. Development of Mesoporous Structure and High Adsorption Capacity of Biomass-Based Activated Carbon by Phosphoric Acid and Zinc Chloride Activation. Chem. Eng. J. 2010, 158, 129–142. [Google Scholar] [CrossRef]
- Jonathan, Y.C. Activated Carbon. Fiber and Textiles; Elsevier: Alpharetta, GA, USA, 2017; ISBN 9780081009079. [Google Scholar]
- Marsh, H.; Rodríguez-Reinoso, F. Characterization of Activated Carbon; Elsevier Science & Technology Books: Alpharetta, GA, USA, 2006; ISBN 0080444636. [Google Scholar]
- Azmi, N.Z.M.; Buthiyappan, A.; Raman, A.A.A.; Patah, M.F.A.; Sufian, S. Recent Advances in Biomass Based Activated Carbon for Carbon Dioxide Capture—A Review. J. Ind. Eng. Chem. 2022, 116, 1–20. [Google Scholar] [CrossRef]
- Afshin, S.; Rashtbari, Y.; Vosough, M.; Dargahi, A.; Fazlzadeh, M.; Behzad, A.; Yousefi, M. Application of Box–Behnken Design for Optimizing Parameters of Hexavalent Chromium Removal from Aqueous Solutions Using Fe3O4 Loaded on Activated Carbon Prepared from Alga: Kinetics and Equilibrium Study. J. Water Process Eng. 2021, 42, 102113. [Google Scholar] [CrossRef]
- Brazil, T.R.; Gonçalves, M.; Anjos, E.G.R.; Junior, M.S.O.; Rezende, M.C. Microwave—Assisted Production of Activated Carbon in an Adapted Domestic Oven from Lignocellulosic Waste. Biomass Convers. Biorefinery 2021, 14, 255–268. [Google Scholar] [CrossRef]
- Canales-Flores, R.A.; Prieto-García, F. Taguchi Optimization for Production of Activated Carbon from Phosphoric Acid Impregnated Agricultural Waste by Microwave Heating for the Removal of Methylene Blue. Diam. Relat. Mater. 2020, 109, 108027. [Google Scholar] [CrossRef]
- Oladoye, P.O.; Ajiboye, T.O.; Omotola, E.O.; Oyewola, O.J. Methylene Blue Dye: Toxicity and Potential Elimination Technology from Wastewater. Results Eng. 2022, 16, 100678. [Google Scholar] [CrossRef]
- European Commission Decision (EU). 2020/1161 of 4 August 2020 Establishing a Watch List of SUBSTANCES for Union-Wide Monitoring in the Field of Water Policy Pursuant to Directive 2008/105/EC of the European Parliament and of the Council. Available online: https://eur-lex.europa.eu/eli/dec_impl/2020/1161/oj (accessed on 20 June 2024).
- Lu, T.; Cao, W.; Liang, H.; Deng, Y.; Zhang, Y.; Zhu, M.; Ma, W.; Xiong, R.; Huang, C. Blow-Spun Nanofibrous Membrane for Simultaneous Treatment of Emulsified Oil/Water Mixtures, Dyes, and Bacteria. Langmuir 2022, 38, 15729–15739. [Google Scholar] [CrossRef]
- Liu, Z.; Sun, D.; Wang, C.; You, B.; Li, B.; Han, J.; Jiang, S.; Zhang, C.; He, S. Zeolitic Imidazolate Framework-67 and Its Derivatives for Photocatalytic Applications. Coord. Chem. Rev. 2024, 502, 215612. [Google Scholar] [CrossRef]
- Portela, C.I.; Brazil, T.R.; Mendonça, T.A.P.; Santos, E.B.; Domingues, R.A.; Vieira, N.C.S.; Gonçalves, M. Activated Carbon Obtained from Coffee Husk Waste Activated by CaCl2 as Support of TiO2 for the Enhanced Photocatalytic Degradation of Victoria Blue B Dye. Diam. Relat. Mater. 2023, 139, 110417. [Google Scholar] [CrossRef]
- Kumar, N.; Pandey, A.; Rosy; Sharma, Y.C. A Review on Sustainable Mesoporous Activated Carbon as Adsorbent for Efficient Removal of Hazardous Dyes from Industrial Wastewater. J. Water Process Eng. 2023, 54, 104054. [Google Scholar] [CrossRef]
- Dimbo, D.; Abewaa, M.; Adino, E.; Mengistu, A.; Takele, T.; Oro, A.; Rangaraju, M. Methylene Blue Adsorption from Aqueous Solution Using Activated Carbon of Spathodea Campanulata. Results Eng. 2024, 21, 101910. [Google Scholar] [CrossRef]
- Jawad, A.H.; Abdulhameed, A.S.; Bahrudin, N.N.; Hum, N.N.M.F.; Surip, S.N.; Syed-Hassan, S.S.A.; Yousif, E.; Sabar, S. Microporous Activated Carbon Developed from KOH Activated Biomass Waste: Surface Mechanistic Study of Methylene Blue Dye Adsorption. Water Sci. Technol. 2021, 84, 1858–1872. [Google Scholar] [CrossRef]
- de Franco, M.A.E.; de Carvalho, C.B.; Bonetto, M.M.; Soares, R.d.P.; Féris, L.A. Removal of Amoxicillin from Water by Adsorption onto Activated Carbon in Batch Process and Fixed Bed Column: Kinetics, Isotherms, Experimental Design and Breakthrough Curves Mod. J. Clean. Prod. 2017, 161, 947–956. [Google Scholar] [CrossRef]
- Belhachemi, M.; Djelaila, S. Removal of Amoxicillin Antibiotic from Aqueous Solutions by Date Pits Activated Carbons. Environ. Process. 2017, 4, 549–561. [Google Scholar] [CrossRef]
- Brazil, T.R.; Junior, M.S.O.; Baldan, M.R.; Massi, M.; Rezende, M.C. Effect of Different Superficial Treatments on Structural, Morphological and Superficial Area of Kraft Lignin Based Charcoal. Vib. Spectrosc. 2018, 99, 130–136. [Google Scholar] [CrossRef]
- Brazil, T.R.; Gonçalves, M.; Junior, M.S.O.; Rezende, M.C. A Statistical Approach to Optimize the Activated Carbon Production from Kraft Lignin Based on Conventional and Microwave Processes. Microporous Mesoporous Mater. 2020, 308, 110485. [Google Scholar] [CrossRef]
- Kriaa, A.; Hamdi, N.; Srasra, E. Removal of Cu (II) from Water Pollutant with Tunisian Activated Lignin Prepared by Phosphoric Acid Activation. Desalination 2010, 250, 179–187. [Google Scholar] [CrossRef]
- Montané, D.; Torné-Fernández, V.; Fierro, V. Activated Carbons from Lignin: Kinetic Modeling of the Pyrolysis of Kraft Lignin Activated with Phosphoric Acid. Chem. Eng. J. 2005, 106, 1–12. [Google Scholar] [CrossRef]
- Myglovets, M.; Poddubnaya, O.I.; Sevastyanova, O.; Lindström, M.E.; Gawdzik, B.; Sobiesiak, M.; Tsyba, M.M.; Sapsay, V.I.; Klymchuk, D.O.; Puziy, A.M. Preparation of Carbon Adsorbents from Lignosulfonate by Phosphoric Acid Activation for the Adsorption of Metal Ions. Carbon. N. Y. 2014, 80, 771–783. [Google Scholar] [CrossRef]
- Zuo, S.; Yang, J.; Liu, J.; Cai, X. Significance of the Carbonization of Volatile Pyrolytic Products on the Properties of Activated Carbons from Phosphoric Acid Activation of Lignocellulosic Material. Fuel Process. Technol. 2009, 90, 994–1001. [Google Scholar] [CrossRef]
- Sousa, É.; Rocha, L.; Jaria, G.; Gil, M.V.; Otero, M.; Esteves, V.I.; Calisto, V. Optimizing Microwave-Assisted Production of Waste-Based Activated Carbons for the Removal of Antibiotics from Water. Sci. Total Environ. 2021, 752, 141662. [Google Scholar] [CrossRef] [PubMed]
- Jaria, G.; Silva, C.P.; Ferreira, C.I.A.; Otero, M.; Calisto, V. Sludge from Paper Mill Effluent Treatment as Raw Material to Produce Carbon Adsorbents: An Alternative Waste Management Strategy. J. Environ. Manage 2017, 188, 203–211. [Google Scholar] [CrossRef] [PubMed]
- Sousa, É.M.L.; Otero, M.; Rocha, L.S.; Gil, M.V.; Ferreira, P.; Esteves, V.I.; Calisto, V. Multivariable Optimization of Activated Carbon Production from Microwave Pyrolysis of Brewery Wastes—Application in the Removal of Antibiotics from Water. J. Hazard. Mater. 2022, 431, 128556. [Google Scholar] [CrossRef]
- Brunauer, S.; Emmett, P.H.; Teller, E. Adsorption of Gases in Multimolecular Layers. J. Am. Chem. Soc. 1938, 60, 309–319. [Google Scholar] [CrossRef]
- Derringer, G.; Suich, R. Simultaneous Optimization of Several Response Variables. J. Qual. Technol. 1980, 12, 214–219. [Google Scholar] [CrossRef]
- Callister, W.D. Materials Science and Engineering—An Introduction; LTC Edition: Rio Janeiro, Brazil, 2008. [Google Scholar]
- Al-Degs, Y.S.; El-Barghouthi, M.I.; El-Sheikh, A.H.; Walker, G.M. Effect of Solution PH, Ionic Strength, and Temperature on Adsorption Behavior of Reactive Dyes on Activated Carbon. Dye. Pigment. 2008, 77, 16–23. [Google Scholar] [CrossRef]
- Lagergren, S. About the Theory of So-Called Adsorption of Soluble Substances, Kungliga Svenska Vetenskapsakademiens. Handl. Band. 1898, 24, 1. [Google Scholar]
- Aurich, A.; Hofmann, J.; Oltrogge, R.; Wecks, M.; Gläser, R.; Blömer, L.; Mauersberger, S.; Müller, R.A.; Sicker, D.; Giannis, A. Pseudo-Second Order Model for Sorption Processes. Process Biochem. 2017, 34, 451–465. [Google Scholar] [CrossRef]
- Chien, S.H.; Clayton, W.R. Application of Elovich Equation to the Kinetics of Phosphate Release and Sorption in Soils. Soil. Sci. Soc. Am. J. 1980, 44, 265–268. [Google Scholar] [CrossRef]
- Armbruster, M.H.; Austin, J.B. The Adsorption of Gases on Plane Surfaces of Mica. J. Am. Chem. Soc. 1938, 60, 467–475. [Google Scholar] [CrossRef]
- Limousin, G.; Gaudet, J.P.; Charlet, L.; Szenknect, S.; Barthès, V.; Krimissa, M. Sorption Isotherms: A Review on Physical Bases, Modeling and Measurement. Appl. Geochem. 2007, 22, 249–275. [Google Scholar] [CrossRef]
- Yorgun, S.; Yildiz, D. Preparation and Characterization of Activated Carbons from Paulownia Wood by Chemical Activation with H3PO4. J. Taiwan. Inst. Chem. Eng. 2015, 53, 122–131. [Google Scholar] [CrossRef]
- Gueye, M.; Richardson, Y.; Kafack, F.T.; Blin, J. High Efficiency Activated Carbons from African Biomass Residues for the Removal of Chromium (VI) from Wastewater. J. Environ. Chem. Eng. 2014, 2, 273–281. [Google Scholar] [CrossRef]
- Prahas, D.; Kartika, Y.; Indraswati, N.; Ismadji, S. Activated Carbon from Jackfruit Peel Waste by H3PO4 Chemical Activation: Pore Structure and Surface Chemistry Characterization. Chem. Eng. J. 2008, 140, 32–42. [Google Scholar] [CrossRef]
- Thommes, M.; Kaneko, K.; Neimark, A.V.; Olivier, J.P.; Rodriguez-Reinoso, F.; Rouquerol, J.; Sing, K.S.W. Physisorption of Gases, with Special Reference to the Evaluation of Surface Area and Pore Size Distribution (IUPAC Technical Report). Pure Appl. Chem. 2015, 87, 1051–1069. [Google Scholar] [CrossRef]
- Wang, X.; Cheng, H.; Ye, G.; Fan, J.; Yao, F.; Wang, Y.; Jiao, Y.; Zhu, W.; Huang, H.; Ye, D. Key Factors and Primary Modification Methods of Activated Carbon and Their Application in Adsorption of Carbon-Based Gases: A Review. Chemosphere 2022, 287, 131995. [Google Scholar] [CrossRef]
- Luo, Z.; Yao, B.; Yang, X.; Wang, L.; Xu, Z.; Yan, X.; Tian, L.; Zhou, H.; Zhou, Y. Novel Insights into the Adsorption of Organic Contaminants by Biochar: A Review. Chemosphere 2022, 287, 132113. [Google Scholar] [CrossRef]
- Ioannidou, O.; Zabaniotou, a. Agricultural Residues as Precursors for Activated Carbon Production—A Review. Renew. Sustain. Energy Rev. 2007, 11, 1966–2005. [Google Scholar] [CrossRef]
- Suhas; Carrott, P.J.M.; Ribeiro Carrott, M.M.L. Lignin—From Natural Adsorbent to Activated Carbon: A Review. Bioresour. Technol. 2007, 98, 2301–2312. [Google Scholar] [CrossRef] [PubMed]
- Harimisa, G.E.; Jusoh, N.W.C.; Tan, L.S.; Ghafar, N.A. Influence of Furnace Atmospheres and Potassium Hydroxide Activation on the Properties of Bamboo Activated Carbon and Its Adsorption towards 4-Nitrophenol. Chem. Eng. Res. Des. 2023, 198, 325–339. [Google Scholar] [CrossRef]
- Yakout, S.M.; Sharaf El-Deen, G. Characterization of Activated Carbon Prepared by Phosphoric Acid Activation of Olive Stones. Arab. J. Chem. 2016, 9, S1155–S1162. [Google Scholar] [CrossRef]
- Bingol, D.; Tekin, N.; Alkan, M. Brilliant Yellow Dye Adsorption onto Sepiolite Using a Full Factorial Design. Appl. Clay Sci. 2010, 50, 315–321. [Google Scholar] [CrossRef]
- Chakar, F.S.; Ragauskas, A.J. Review of Current and Future Softwood Kraft Lignin Process Chemistry. Ind. Crops Prod. 2004, 20, 131–141. [Google Scholar] [CrossRef]
- Yang, G.X.; Jiang, H. Amino Modification of Biochar for Enhanced Adsorption of Copper Ions from Synthetic Wastewater. Water Res. 2014, 48, 396–405. [Google Scholar] [CrossRef] [PubMed]
- Supaluknari, S.; Larkins, F.P.; Redlich, P.; Jackson, W.R. An FTIR Study of Australian Coals: Characterization of Oxygen Functional Groups. Fuel Process. Technol. 1988, 19, 123–140. [Google Scholar] [CrossRef]
- Brazil, T.R.; Gonçalves, M.; Junior, M.S.O.; Rezende, M.C. Sustainable Process to Produce Activated Carbon from Kraft Lignin Impregnated with H3PO4 Using Microwave Pyrolysis. Biomass Bioenergy 2022, 156, 106333. [Google Scholar] [CrossRef]
- Puziy, A.M.; Poddubnaya, O.I.; Martínez-Alonso, A.; Castro-Muñiz, A.; Suárez-García, F.; Tascón, J.M.D. Oxygen and Phosphorus Enriched Carbons from Lignocellulosic Material. Carbon. N. Y. 2007, 45, 1941–1950. [Google Scholar] [CrossRef]
- Yao, Y.; Ge, D.; Yu, Y.; Zhang, Y.; Du, C.; Ye, H.; Wan, L.; Chen, J.; Xie, M. Filling Macro/Mesoporosity of Commercial Activated Carbon Enables Superior Volumetric Supercapacitor Performances. Microporous Mesoporous Mater. 2023, 350, 112446. [Google Scholar] [CrossRef]
- Shamsabadi, A.S.; Bazarganipour, M.; Tavanai, H. An Investigation on the Pore Characteristics of Dates Stone Based Microwave Activated Carbon Nanostructures. Diam. Relat. Mater. 2021, 120, 108662. [Google Scholar] [CrossRef]
- Li, Z.; Deng, L.; Kinloch, I.A.; Young, R.J. Raman Spectroscopy of Carbon Materials and Their Composites: Graphene, Nanotubes and Fibres. Prog. Mater. Sci. 2023, 135, 101089. [Google Scholar] [CrossRef]
- Sadezky, A.; Muckenhuber, H.; Grothe, H.; Niessner, R.; Pooschl, U. Raman Microspectroscopy of Soot and Related Carbonaceous Materials: Spectral Analysis and Structural Information. Carbon. N. Y. 2005, 43, 1731–1742. [Google Scholar] [CrossRef]
- Lim, G.H.; Lee, J.W.; Choi, J.H.; Kang, Y.C.; Roh, K.C. Efficient Utilization of Lignin Residue for Activated Carbon in Supercapacitor Applications. Mater. Chem. Phys. 2022, 284, 126073. [Google Scholar] [CrossRef]
- Lu, L.; Sahajwalla, V.; Kong, C.; Harris, D. Quantitative X-Ray Diffraction Analysis and Its Application to Various Coals. Carbon N. Y. 2001, 39, 1821–1833. [Google Scholar] [CrossRef]
- Qu, W.; Yuan, T.; Yin, G.; Xu, S.; Zhang, Q.; Su, H. Effect of Properties of Activated Carbon on Malachite Green Adsorption. Fuel 2019, 249, 45–53. [Google Scholar] [CrossRef]
- Rimoli, M.F.d.S.; Nogueira, R.M.; Ferrarini, S.R.; de Castro, P.M.; Pires, E.M. Preparation and Characterization of Carbon from the Fruit of Brazil Nut Tree Activated by Physical Process. Rev. Arvore 2019, 43, 1–10. [Google Scholar] [CrossRef]
- Salazar-Rabago, J.J.; Leyva-Ramos, R.; Rivera-Utrilla, J.; Ocampo-Perez, R.; Cerino-Cordova, F.J. Biosorption Mechanism of Methylene Blue from Aqueous Solution onto White Pine (Pinus durangensis) Sawdust: Effect of Operating Conditions. Sustain. Environ. Res. 2017, 27, 32–40. [Google Scholar] [CrossRef]
- Homsirikamol, C.; Sunsandee, N.; Pancharoen, U.; Nootong, K. Synergistic Extraction of Amoxicillin from Aqueous Solution by Using Binary Mixtures of Aliquat 336, D2EHPA and TBP. Sep. Purif. Technol. 2016, 162, 30–36. [Google Scholar] [CrossRef]
- Mokrzycki, J.; Magdziarz, A.; Rutkowski, P. The Influence of the Miscanthus Giganteus Pyrolysis Temperature on the Application of Obtained Biochars as Solid Biofuels and Precursors of High Surface Area Activated Carbons. Biomass Bioenergy 2022, 164, 106550. [Google Scholar] [CrossRef]
- An, N.; Zagorscak, R.; Thomas, H.R. Adsorption Characteristics of Rocks and Soils, and Their Potential for Mitigating the Environmental Impact of Underground Coal Gasification Technology: A Review. J. Environ. Manag. 2022, 305, 114390. [Google Scholar] [CrossRef] [PubMed]
- Costa De Souza, C.; Ciriano, M.R.; Ferreira Da Silva, E.; André De Oliveira, M.; Cesar, A.; Bezerra, S.; Marcello, A.R.; Dumont, R.; Candido Da Silva, A.; Rodrigues, A.; et al. Activated Carbon Obtained from Cardboard Tube Waste of Immersion Thermocouple and Adsorption of Methylene Blue. Biomass Convers. Biorefinery 2023, 13, 3297–3308. [Google Scholar] [CrossRef]
- Medhat, A.; El-Maghrabi, H.H.; Abdelghany, A.; Abdel Menem, N.M.; Raynaud, P.; Moustafa, Y.M.; Elsayed, M.A.; Nada, A.A. Efficiently Activated Carbons from Corn Cob for Methylene Blue Adsorption. Appl. Surf. Sci. Adv. 2021, 3, 100037. [Google Scholar] [CrossRef]
- Waghmare, C.; Ghodmare, S.; Ansari, K.; Dehghani, M.H.; Amir Khan, M.; Hasan, M.A.; Islam, S.; Khan, N.A.; Zahmatkesh, S. Experimental Investigation of H3PO4 Activated Papaya Peels for Methylene Blue Dye Removal from Aqueous Solution: Evaluation on Optimization, Kinetics, Isotherm, Thermodynamics, and Reusability Studies. J. Environ. Manag. 2023, 345, 118815. [Google Scholar] [CrossRef] [PubMed]
- Deivasigamani, P.; Senthil Kumar, P.; Sundaraman, S.; Soosai, M.R.; Renita, A.A.; Karthikeyan, M.; Bektenov, N.; Baigenzhenov, O.; Venkatesan, D.; Kumar, J.A. Deep Insights into Kinetics, Optimization and Thermodynamic Estimates of Methylene Blue Adsorption from Aqueous Solution onto Coffee Husk (Coffee arabica) Activated Carbon. Environ. Res. 2023, 236, 116735. [Google Scholar] [CrossRef] [PubMed]
- Grich, A.; Bouzid, T.; Naboulsi, A.; Regti, A.; Tahiri, A.A.; El Himri, M.; El Haddad, M. Preparation of Low-Cost Activated Carbon from Doum Fiber (Chamaerops humilis) for the Removal of Methylene Blue: Optimization Process by DOE/FFD Design, Characterization, and Mechanism. J. Mol. Struct. 2024, 1295, 136534. [Google Scholar] [CrossRef]
- Hashemzadeh, F.; Ariannezhad, M.; Derakhshandeh, S.H. Evaluation of Cephalexin and Amoxicillin Removal from Aqueous Media Using Activated Carbon Produced from Aloe Vera Leaf Waste. Chem. Phys. Lett. 2022, 800, 139656. [Google Scholar] [CrossRef]
- Nasran Nasehir Khan, M.; Firdaus Mohamad Yusop, M.; Faizal Pakir Mohamed Latiff, M.; Azmier Ahmad, M. Alteration of Tecoma Chip Wood Waste into Microwave-Irradiated Activated Carbon for Amoxicillin Removal: Optimization and Batch Studies. Arab. J. Chem. 2023, 16, 105110. [Google Scholar] [CrossRef]
- Ali, I.; Afshinb, S.; Poureshgh, Y.; Azari, A.; Rashtbari, Y.; Feizizadeh, A.; Hamzezadeh, A.; Fazlzadeh, M. Green Preparation of Activated Carbon from Pomegranate Peel Coated with Zero-Valent Iron Nanoparticles (NZVI) and Isotherm and Kinetic Studies of Amoxicillin Removal in Water. Environ. Sci. Pollut. Res. 2020, 27, 36732–36743. [Google Scholar] [CrossRef]
- Rodrigues, D.L.C.; Machado, F.M.; Osório, A.G.; de Azevedo, C.F.; Lima, E.C.; da Silva, R.S.; Lima, D.R.; Gonçalves, F.M. Adsorption of Amoxicillin onto High Surface Area–Activated Carbons Based on Olive Biomass: Kinetic and Equilibrium Studies. Environ. Sci. Pollut. Res. 2020, 27, 41394–41404. [Google Scholar] [CrossRef] [PubMed]
- Shang, Z.; Hu, Z.; Huang, L.; Guo, Z.; Liu, H.; Zhang, C. Removal of Amoxicillin from Aqueous Solution by Zinc Acetate Modified Activated Carbon Derived from Reed. Powder Technol. 2020, 368, 178–189. [Google Scholar] [CrossRef]





| Samples | Temperature of Pyrolysis (°C) (TP) | Residence Time (min) (RT) | Impregnation Ratio (wt./wt.) (IR) |
|---|---|---|---|
| AC500-60-1:1 | 500 | 60 | 1:1 |
| AC700-60-1:1 | 700 | 60 | 1:1 |
| AC500-180-1:1 | 500 | 180 | 1:1 |
| AC500-60-1:2 | 500 | 60 | 1:2 |
| AC500-180-1:2 | 500 | 180 | 1:2 |
| AC700-60-1:2 | 700 | 60 | 1:2 |
| AC700-180-1:1 | 700 | 180 | 1:1 |
| AC700-180-1:2 | 700 | 180 | 1:2 |
| Responses | Factors a | Sum of Square (SS) | df | Mean of Square (MS) | F-Test | p-Value a |
|---|---|---|---|---|---|---|
| Yield (%) | Linear | 120.50 | 3 | 40.17 | 107.11 | 2.8 × 10−4 |
| TP | 72.00 | 1 | 72.00 | 192.00 | 1.6 × 10−4 | |
| RT | 8.00 | 1 | 8.00 | 21.33 | 9.9 × 10−3 | |
| IR | 40.50 | 1 | 40.50 | 108.00 | 4.8 × 10−3 | |
| R2 = 98.77% | ||||||
| SBET (m2 g−1) | Linear | 201,984 | 3 | 67,328 | 3.07 | 1.5 × 10−1 |
| TP | 1953 | 1 | 1953 | 0.09 | 7.8 × 10−1 | |
| RT | 3 | 1 | 3 | 0.00 | 9.9 × 10−1 | |
| IR | 200,028 | 1 | 200,028 | 9.11 | 3.9 × 10−2 | |
| R2 = 69.70% | ||||||
| Adsorption MB (%) b | Linear | 690.84 | 3 | 230.28 | 3.69 | 1.2 × 10−1 |
| TP | 16.13 | 1 | 16.13 | 0.26 | 6.4 × 10−1 | |
| RT | 15.13 | 1 | 15.13 | 0.24 | 6.5 × 10−1 | |
| IR | 659.59 | 1 | 659.59 | 10.57 | 3.1 × 10−2 | |
| R2 = 73.46% | ||||||
| Adsorption AMX (%) b | Linear | 17.4967 | 3 | 5.83 | 3.66 | 1.2 × 10−1 |
| TP | 1.4393 | 1 | 1.44 | 0.90 | 3.9 × 10−1 | |
| RT | 0.1552 | 1 | 0.15 | 0.10 | 7.7 × 10−1 | |
| IR | 15.9021 | 1 | 15.90 | 9.98 | 3.4 × 10−2 | |
| R2 = 73.29% | ||||||
| Energy Consumption (Wh) | Linear | 8,391,592 | 2 | 4,195,796 | 60.03 | 3.2 × 10−3 |
| TP | 1,397,792 | 1 | 1,397,792 | 20.00 | 6.6 × 10−3 | |
| RT | 6,993,800 | 1 | 6,993,800 | 100.07 | 1.7 × 10−4 | |
| R2 = 96.00% | ||||||
| Responses | Priority | Experimental | Theoretical | Desirability |
|---|---|---|---|---|
| Yield | Maximize | 18% | 17.8% | 0.36690 * |
| SBET | Maximize | 1335 m2 g−1 | 1244 m2 g−1 | 0.84402 |
| MB adsorption | Maximize | 98% | 94% | 0.92680 * |
| AMX adsorption | Maximize | 99% | 98% | 0.93689 * |
| Energy consumption | Minimize | 1144 Wh | 1353 Wh | 0.87652 * |
| Compound ** | 0.7490 |
| Contaminants | |||
|---|---|---|---|
| Kinetic Model | MB | AMX | |
| pseudo-first-order | k1 (min−1) | 0.030 ± 0.005 | 0.05 ± 0.01 |
| qe (mg g−1) | 80 ± 4 | 98 ± 7 | |
| R2 | 0.95 | 0.87 | |
| Sy/x | 7.13 | 13.96 | |
| pseudo-second-order | k2 (g mg−1 min−1) | 0.0004 ± 0.0007 | 0.0006 ± 0.0001 |
| qe (mg g−1) | 92 ± 4 | 108 ± 6 | |
| R2 | 0.98 | 0.94 | |
| Sy/x | 4.95 | 9.62 | |
| Elovich | α (mg g−1 min−1) | 5 ± 1 | 18 ± 4 |
| β (mg g−1) | 0.050 ± 0.004 | 0.052 ± 0.003 | |
| R2 | 0.98 | 0.98 | |
| Sy/x | 4.92 | 4.89 | |
| Contaminants | |||
|---|---|---|---|
| MB | AMX | ||
| Langmuir | qm (mg g−1) | 203 ± 8 | 276 ± 14 |
| KL (L mg−1) | 1.0 ± 0.3 | 0.022 ± 0.005 | |
| R2 | 0.96 | 0.97 | |
| Sy/x | 19.68 | 17.61 | |
| Freundlich | KF (mg g−1(mg L−1)1/n) | 87 ± 9 | 42 ± 7 |
| nF | 6.3 ± 0.7 | 3.4 ± 0.3 | |
| R2 | 0.98 | 0.97 | |
| Sy/x | 14.74 | 17.82 | |
| Activated Carbon | Organic Pollutant | Activator | SBET (m2 g−1) | Experimental Conditions | qm (mg g−1) | Reference | ||
|---|---|---|---|---|---|---|---|---|
| Adsorbent Dose (g L−1) | Concentration (mg L−1) | pH | ||||||
| Kraft lignin | MB | H3PO4 | 1150 | 1 | 25–1000 | 80 | [34] | |
| Spathodea campanulata | H3PO4 | 1054 | 2 | 90 | 9 | 90 | [29] | |
| Cardboard tube | H3PO4 | 468.9 | 6.4 | 50–1000 | 6 | 182.5 | [79] | |
| Corn Cob | KOH | 492 | 0.8 | 100–500 | - | 333 | [80] | |
| Papaya peels | H3PO4 | 3 | 10 | 6 | 46.9 | [81] | ||
| Coffee husk | H2SO4 | 0.98 | 5 | 100–500 | 8 | 88.1 | [82] | |
| Sugarcane bagasse waste | KOH | 709.3 | 0.8 | 50–250 | 8 | 136.5 | [30] | |
| Doum fibers | H3PO4 | 1 | 30 | 6 | 83.3 | [83] | ||
| Lignin | H3PO4 | 1035 | 1 | 25–700 | 151.5 | [65] | ||
| Kraft lignin (AC700-60-1:2) | H3PO4 | 1335 | 1 | 25–1000 | 210 | This study | ||
| Paper mill sludge | AMX | KOH | 1196 | 0.0125–0.05 | 5 | 204 | [39] | |
| Aloe vera leaves | H2SO4 | 412 | 2 | 10–50 | 3 | 28.8 | [84] | |
| Tecoma chip wood | KOH/CO2 | 924.8 | 1 | 25–300 | 357.1 | [85] | ||
| Date pits | CO2 | 1325 | 1 | 20–700 | 424.3 | [32] | ||
| AC commercial | 1100 | 1 | 20–700 | 313.7 | [32] | |||
| Pomegranate peel | H3PO4 | 1.5 | 10 | 5 | 40.2 | [86] | ||
| Olive biomass | ZnCl2 | 1742 | 1.5 | 400 | 7 | 237 | [87] | |
| Reed | H3PO4 | 880.5 | 1 | 10–60 | 76.3 | [88] | ||
| AC commercial | 462.9 | 12.5 | 10–1000 | 4.4 | [31] | |||
| Kraft lignin (AC700-60-1:2) | H3PO4 | 1335 | 1 | 25–1000 | 280 | This study | ||
Disclaimer/Publisher’s Note: The statements, opinions and data contained in all publications are solely those of the individual author(s) and contributor(s) and not of MDPI and/or the editor(s). MDPI and/or the editor(s) disclaim responsibility for any injury to people or property resulting from any ideas, methods, instructions or products referred to in the content. |
© 2024 by the authors. Licensee MDPI, Basel, Switzerland. This article is an open access article distributed under the terms and conditions of the Creative Commons Attribution (CC BY) license (https://creativecommons.org/licenses/by/4.0/).
Share and Cite
Brazil, T.R.; Sousa, É.M.L.; dos Anjos, E.G.R.; Moura, N.K.; Rocha, L.S.; Calisto, V.; Gonçalves, M.; Rezende, M.C. Producing Efficient Adsorbents from Kraft Lignin for the Removal of Contaminants from Water—A Full Factorial Design. Water 2024, 16, 1838. https://doi.org/10.3390/w16131838
Brazil TR, Sousa ÉML, dos Anjos EGR, Moura NK, Rocha LS, Calisto V, Gonçalves M, Rezende MC. Producing Efficient Adsorbents from Kraft Lignin for the Removal of Contaminants from Water—A Full Factorial Design. Water. 2024; 16(13):1838. https://doi.org/10.3390/w16131838
Chicago/Turabian StyleBrazil, Tayra R., Érika M. L. Sousa, Erick G. R. dos Anjos, Nayara K. Moura, Luciana S. Rocha, Vânia Calisto, Maraísa Gonçalves, and Mirabel C. Rezende. 2024. "Producing Efficient Adsorbents from Kraft Lignin for the Removal of Contaminants from Water—A Full Factorial Design" Water 16, no. 13: 1838. https://doi.org/10.3390/w16131838
APA StyleBrazil, T. R., Sousa, É. M. L., dos Anjos, E. G. R., Moura, N. K., Rocha, L. S., Calisto, V., Gonçalves, M., & Rezende, M. C. (2024). Producing Efficient Adsorbents from Kraft Lignin for the Removal of Contaminants from Water—A Full Factorial Design. Water, 16(13), 1838. https://doi.org/10.3390/w16131838

