Assessment of Drinking Water Quality in Northern Ethiopia Rural Area: A Case Study of Farta District, South Gondar Zone
Abstract
1. Introduction
2. Materials and Methods
2.1. Description of the Study Area
2.2. Sampling Site and Size
2.3. Sample Collection and Analysis
2.4. Quality Control
2.5. Data Analysis
3. Results
3.1. Water Points Survey
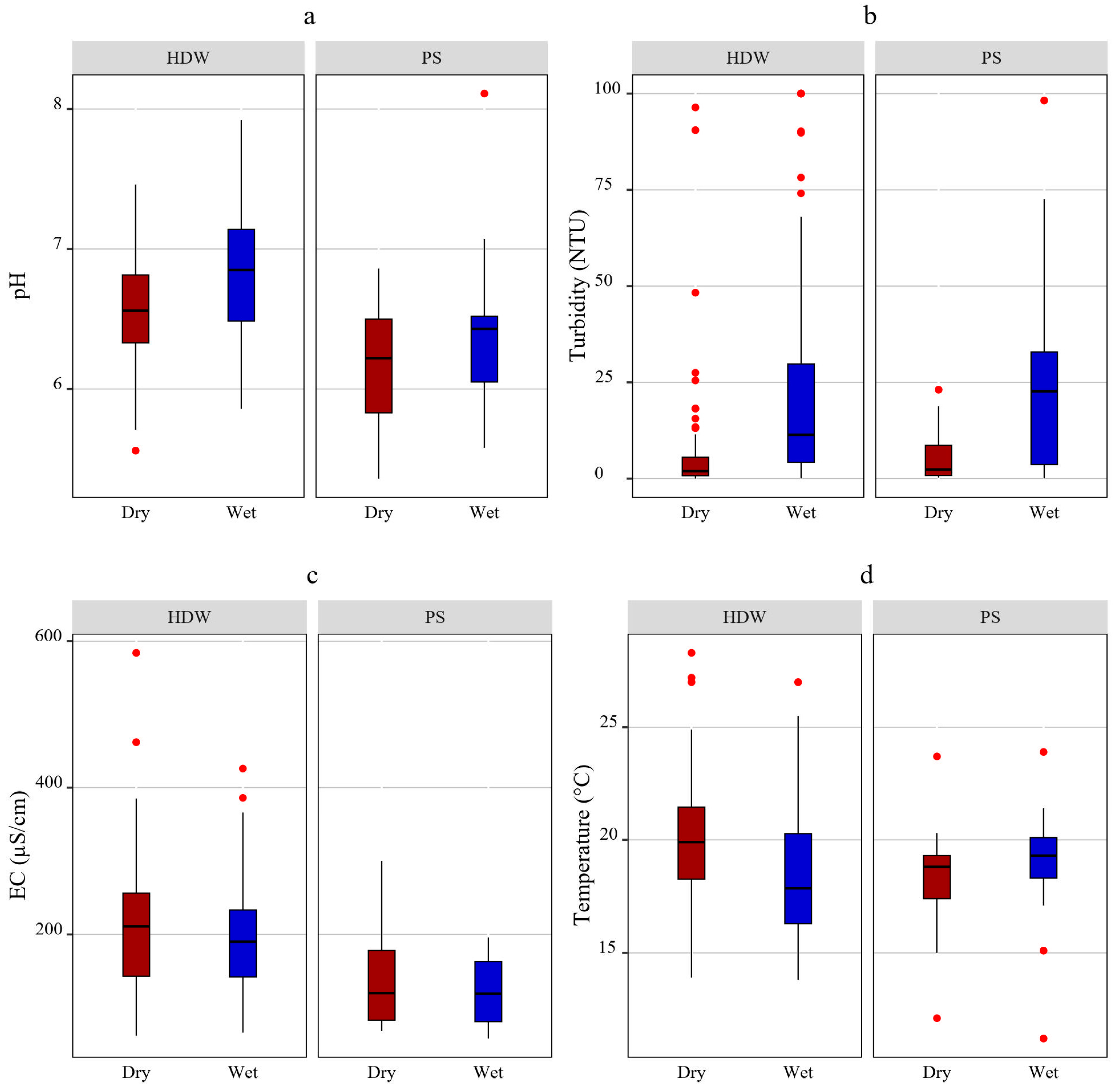
3.2. Physicochemical Quality Characteristics of Drinking Water
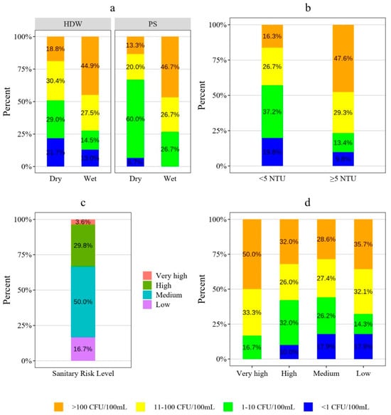
3.3. Bacteriological Quality of Drinking Water Sources
4. Discussion
- Eliminate the current latrines and any other sources of contamination located within a 30 m radius of the water source, as well as prevent the construction of new latrines within this proximity. It is possible to disinfect latrines using quicklime [38].
- To ensure the safety of HDWs, either wall lining must be installed for those lacking it, or significant maintenance work should be undertaken to prevent the infiltration of subsurface water around the upper section of the well. Additionally, consistent desludging, cleaning, and disinfection should be carried out.
- Encouraging household drinking water treatment is crucial for reducing both turbidity and microbial load [26]. Moringa (Moringa oleifera Lam and Moringa peregrina) has demonstrated significant antimicrobial activity against E. coli, Salmonella typhi, and Shigella dysenteriae. Additionally, the water treatment process based on Moringa is cheap and straightforward, making it suitable for regions where extensive water treatment or piped water infrastructure are lacking [40]. Compared the raw Moringa seed, raw seed extract, and de-oiled seed extract, it was observed that the raw Moringa seed exhibited superior performance [41]. A study conducted in Ethiopia demonstrated that Moringa seed powder exhibits a substantial reduction in both turbidity and E. coli without a significant effect on the pH of water [42]. The Moringa powder can be prepared by collecting mature, dry Moringa seeds, removing the brown seed coat, and then crushing the seeds into a powder. The resulting white seed powder should be sieved through a strainer, and the fine seed fraction should be stored in an airtight container until needed. To use the Moringa seed powder, add it to the water and agitate thoroughly to mix it. Then, allow the bottle to settle overnight, and decant the clear water for an additional 6 h SODIS (solar disinfection) treatment process to further enhance the water quality [43].
- The enhanced implementation of a Water Safety Plan (WSP) is necessary to mitigate groundwater contamination from on-site sanitation systems [44].
5. Conclusions
Author Contributions
Funding
Data Availability Statement
Acknowledgments
Conflicts of Interest
References
- Joint Monitoring Programme (JMP). Progress on Household Drinking Water, Sanitation and Hygiene 2000–2022: Special Focus on Gender; United Nations Children’s Fund (UNICEF) and World Health Organization (WHO): New York, NY, USA, 2023. [Google Scholar]
- Liddle, E.S.; Mager, S.M.; Nel, E.L. The suitability of shallow hand dug wells for safe water provision in sub-Saharan Africa: Lessons from Ndola, Zambia. Appl. Geogr. 2015, 57, 80–90. [Google Scholar] [CrossRef]
- Abbasi, T.; Abbasi, S. Water Quality Indices; Elsevier: Amsterdam, The Netherlands, 2012; pp. 3–7. [Google Scholar] [CrossRef]
- Li, Y.; Migliaccio, K. Water Quality Concepts, Sampling, and Analyses; CRC Press: Boca Raton, FL, USA, 2010; pp. 1–9. [Google Scholar] [CrossRef]
- Scheili, A.; Delpla, I.; Sadiq, R.; Rodriguez, M.J. Impact of raw water quality and climate factors on the variability of drinking water quality in small systems. Water Resour. Manag. 2016, 30, 2703–2718. [Google Scholar] [CrossRef]
- Li, P.; Wu, J. Drinking water quality and public health. Expo Health 2019, 11, 73–79. [Google Scholar] [CrossRef]
- Troeger, C.; Blacker, B.F.; Khalil, I.A.; Rao, P.C.; Cao, S.; Zimsen, S.R.; Albertson, S.B.; Stanaway, J.D.; Deshpande, A.; Abebe, Z.; et al. Estimates of the global, regional, and national morbidity, mortality, and aetiologies of diarrhoea in 195 countries: A systematic analysis for the Global Burden of Disease Study 2016. Lancet Infect. Dis. 2018, 18, 1211–1228. [Google Scholar] [CrossRef] [PubMed]
- Naghavi, M.; Abajobir, A.A.; Abbafati, C.; Abbas, K.M.; Abd-Allah, F.; Abera, S.F.; Aboyans, V.; Adetokunboh, O.; Afshin, A.; Agrawal, A.; et al. Global, regional, and national age-sex specific mortality for 264 causes of death, 1980–2016: A systematic analysis for the Global Burden of Disease Study 2016. Lancet 2017, 390, 1151–1210. [Google Scholar] [CrossRef] [PubMed]
- He, Z.; Bishwajit, G.; Zou, D.; Yaya, S.; Cheng, Z.; Zhou, Y. Burden of common childhood diseases in relation to improved water, sanitation, and hygiene (WASH) among Nigerian children. Int. J. Environ. Res. Public Health 2018, 15, 1241. [Google Scholar] [CrossRef] [PubMed]
- Gwimbi, P.; George, M.; Ramphalile, M. Bacterial contamination of drinking water sources in rural villages of Mohale Basin, Lesotho: Exposures through neighbourhood sanitation and hygiene practices. Environ. Health Prev. Med. 2019, 24, 33. [Google Scholar] [CrossRef] [PubMed]
- Evans, A.E.; Mateo-Sagasta, J.; Qadir, M.; Boelee, E.; Ippolito, A. Agricultural water pollution: Key knowledge gaps and research needs. Curr. Opin. Environ. Sustain. 2019, 36, 20–27. [Google Scholar] [CrossRef]
- Sitotaw, B.; Melkie, E.; Temesgen, D. Bacteriological and physicochemical quality of drinking water in Wegeda Town, Northwest Ethiopia. J. Environ. Public Health 2021, 2021, 6646269. [Google Scholar] [CrossRef]
- Gizachew, M.; Admasie, A.; Wegi, C.; Assefa, E. Bacteriological Contamination of Drinking Water Supply from Protected Water Sources to Point of Use and Water Handling Practices among Beneficiary Households of Boloso Sore Woreda, Wolaita Zone, Ethiopia. Int. J. Microbiol. 2020, 2020, 5340202. [Google Scholar] [CrossRef]
- Abegaz, M.T.; Midekssa, M.J. Quality and Safety of Rural Community Drinking Water Sources in Guto Gida District, Oromia, Ethiopia. J. Environ. Public Health 2021, 2021, 5568375. [Google Scholar] [CrossRef]
- Eneyew, B.G. Drivers of the decline of indigenous land management technologies in Farta Woreda, Northwestern Ethiopia. Int. J. Environ. Stud. 2022, 79, 462–476. [Google Scholar] [CrossRef]
- CSA, Central Statistics Agency. The 2007 Population and Housing Census of Ethiopia: Statistical Report at Country Level. 2007. Available online: http://www.csa.gov.et (accessed on 1 March 2023).
- Skinner, C.J. Probability proportional to size (PPS) sampling. In Wiley StatsRef: Statistics Reference Online; John Wiley & Sons, Ltd.: Hoboken, NJ, USA, 2016; pp. 1–5. [Google Scholar] [CrossRef]
- Mahmud, Z.H.; Islam, M.S.; Imran, K.M.; Hakim, S.A.I.; Worth, M.; Ahmed, A.; Hossan, S.; Haider, M.; Islam, M.R.; Hossain, F.; et al. Occurrence of Escherichia coli and faecal coliforms in drinking water at source and household point-of-use in Rohingya camps, Bangladesh. Gut Pathog. 2019, 11, 52. [Google Scholar] [CrossRef] [PubMed]
- Odonkor, S.T.; Mahami, T. Escherichia coli as a tool for disease risk assessment of drinking water sources. Int. J. Microbiol. 2020, 2020, 2534130. [Google Scholar] [CrossRef] [PubMed]
- Ethiopian Standard Agency (ESA). Ethopian Drinking Water Quality Standard—2013; Ethiopian Standard Agency: Addis Ababa, Ethiopia, 2013.
- World Health Organization (WHO). Guidelines for Drinking-Water Quality: Fourth Edition Incorporating the First and Second Addenda; World Health Organization (WHO): Geneva, Switzerland, 2022. [Google Scholar]
- European Union (EU). Council Directive 98/83/EC of 3 November on the Quality of Water Intended for Human Consumption; European Union: Brussels, Belgium, 1998; pp. 865–878. Available online: https://eur-lex.europa.eu/legal-content/EN/TXT/PDF/?uri=CELEX:31998L0083&from=EN (accessed on 1 June 2023). [CrossRef]
- Razali, N.M.; Wah, Y.B. Power comparisons of shapiro-wilk, kolmogorov-smirnov, lilliefors and anderson-darling tests. J. Stat. Model. Anal. 2011, 2, 21–33. [Google Scholar] [CrossRef]
- Yasin, M.; Ketema, T.; Bacha, K. Physico-chemical and bacteriological quality of drinking water of different sources, Jimma zone, Southwest Ethiopia. BMC Res. Notes 2015, 8, 541. [Google Scholar] [CrossRef]
- Haylamicheal, I.D.; Moges, A. Assessing water quality of rural water supply schemes as a measure of service delivery sustainability: A case study of WondoGenet district, Southern Ethiopia. Afr. J. Environ. Sci. Technol. 2012, 6, 229–236. [Google Scholar] [CrossRef]
- Machado, A.; Amorim, E.; Bordalo, A.A. Spatial and Seasonal Drinking Water Quality Assessment in a Sub-Saharan Country (Guinea-Bissau). Water 2022, 14, 1987. [Google Scholar] [CrossRef]
- Owamah, H.I. A comprehensive assessment of groundwater quality for drinking purpose in a Nigerian rural Niger delta community. Groundw. Sustain. Dev. 2020, 10, 100286. [Google Scholar] [CrossRef]
- World Health Organization (WHO). pH in Drinking Water; World Health Organization (WHO): Geneva, Switzerland, 2007. [Google Scholar]
- Lewoyehu, M. Evaluation of Drinking Water Quality in Rural Area of Amhara Region, Ethiopia: The Case of Mecha District. J. Chem. 2021, 2021, 9911838. [Google Scholar] [CrossRef]
- Abebe, B.; Hailu, D. Bacteriological and physicochemical quality of drinking water sources and household water handling practice among rural communities of Bona District, Sidama Zone-Zouthern, Ethiopia. Sci. J. Public Health 2015, 3, 782–789. [Google Scholar] [CrossRef]
- World Health Organization (WHO). Water Quality and Health-Review of Turbidity: Information for Regulators and Water Suppliers; World Health Organization (WHO): Geneva, Switzerland, 2017. [Google Scholar]
- Duncan, A.E.; Peprah, M.O.; Marfo, M.O. Unregulated hand dug wells and their quality threat: A case study in Cape Coast Metropolis. Open Access Libr. J. 2020, 7, e6482. [Google Scholar] [CrossRef]
- Kassegne, A.B.; Leta, S. Assessment of physicochemical and bacteriological water quality of drinking water in Ankober district, Amhara region, Ethiopia. Cogent Environ. Sci. 2020, 6, 1791461. [Google Scholar] [CrossRef]
- Lukubye, B.; Andama, M. Physico-chemical quality of selected drinking water sources in Mbarara municipality, Uganda. J. Water Resour. Prot. 2017, 9, 707–722. [Google Scholar] [CrossRef]
- Powers, J.E.; Mureithi, M.; Mboya, J.; Campolo, J.; Swarthout, J.M.; Pajka, J.; Null, C.; Pickering, A.J. Effects of high temperature and heavy precipitation on drinking water quality and child hand contamination levels in rural Kenya. Environ. Sci. Technol. 2023, 57, 6975–6988. [Google Scholar] [CrossRef] [PubMed]
- Genet, G.K.; Desta, H.H. Bacteriological quality of drinking water from source to point of use among rural communities of Farta Woreda in North West, Ethiopia. Afr. J. Microbiol. Res. 2017, 11, 1069–1074. [Google Scholar] [CrossRef]
- Khan, M.H.; Nafees, M.; Muhammad, N.; Ullah, U.; Hussain, R.; Bilal, M. Assessment of drinking water sources for water quality, human health risks, and pollution sources: A case study of the district Bajaur, Pakistan. Arch. Environ. Contam. Toxicol. 2021, 80, 41–54. [Google Scholar] [CrossRef] [PubMed]
- Bordalo, A.A.; Savva-Bordalo, J. The quest for safe drinking water: An example from Guinea-Bissau (West Africa). Water Res. 2007, 41, 2978–2986. [Google Scholar] [CrossRef] [PubMed]
- Lutterodt, G.; van de Vossenberg, J.; Hoiting, Y.; Kamara, A.K.; Oduro-Kwarteng, S.; Foppen, J.W.A. Microbial groundwater quality status of hand-dug wells and boreholes in the Dodowa area of Ghana. Int. J. Environ. Res. Public Health 2018, 15, 730. [Google Scholar] [CrossRef]
- Bancessi, A.; Pinto, M.M.F.; Duarte, E.; Catarino, L.; Nazareth, T. The antimicrobial properties of Moringa oleifera Lam. for water treatment: A systematic review. SN Appl. Sci. 2020, 2, 323. [Google Scholar] [CrossRef]
- Elsergany, M. The Potential Use of Moringa peregrina Seeds and Seed Extract as a Bio-Coagulant for Water Purification. Water 2023, 15, 2804. [Google Scholar] [CrossRef]
- Delelegn, A.; Sahile, S.; Husen, A. Water purification and antibacterial efficacy of Moringa oleifera Lam. Agric. Food Secur. 2018, 7, 25. [Google Scholar] [CrossRef]
- Keogh, M.B.; Elmusharaf, K.; Borde, P.; Guigan, K.G.M. Evaluation of the natural coagulant Moringa oleifera as a pretreatment for SODIS in contaminated turbid water. Sol. Energy 2017, 158, 448–454. [Google Scholar] [CrossRef]
- Twinomucunguzi, F.R.B.; Nyenje, P.M.; Kulabako, R.N.; Semiyaga, S.; Foppen, J.W.; Kansiime, F. Reducing Groundwater Contamination from On-Site Sanitation in Peri-Urban Sub-Saharan Africa: Reviewing Transition Management Attributes towards Implementation of Water Safety Plans. Sustainability 2020, 12, 4210. [Google Scholar] [CrossRef]



| Parameter | Unit | Season | Water Sources | Standard | ||
|---|---|---|---|---|---|---|
| Dry | Wet | HDWs | PSs | |||
| pH | - | 5.4–7.5 (6.52) 44.6% (n = 41) | 5.6–8.1 (6.7) 33.7% (n = 31) | 5.6–7.9 (6.6) 32.7% (n = 49) | 5.4–8.1 (6.4) 67.6% (n = 23) | 6.5–8.5 (ESA, WHO) |
| Turbidity | NTU | 0–96.4 (2) 29.3% (n = 27) | 0.1–100 (12.6) 71.7% (n = 66) | 0–100 (4.9) 50% (n = 75) | 0.1–98.2 (6.8) 52.9% (n = 18) | 5 (ESA) |
| Conductivity | μS/cm | 62–584 (199) - | 58–426 (190) - | 62–584 (202.5) - | 58–300 (119.5) - | 2500 (EU) |
| Temperature | °C | 12.1–28.3 (19.4) 3.2% (n = 3) | 11.2–27 (18.5) 2.2% (n = 2) | 13.8–28.3 (19) 3.4% (n = 5) | 11.2–23.9 (18.9) - | 25 (WHO) |
Disclaimer/Publisher’s Note: The statements, opinions and data contained in all publications are solely those of the individual author(s) and contributor(s) and not of MDPI and/or the editor(s). MDPI and/or the editor(s) disclaim responsibility for any injury to people or property resulting from any ideas, methods, instructions or products referred to in the content. |
© 2024 by the authors. Licensee MDPI, Basel, Switzerland. This article is an open access article distributed under the terms and conditions of the Creative Commons Attribution (CC BY) license (https://creativecommons.org/licenses/by/4.0/).
Share and Cite
Fentie, M.; Assefa, E.; Aklog, D.; Tadesse, A.; Janka, E. Assessment of Drinking Water Quality in Northern Ethiopia Rural Area: A Case Study of Farta District, South Gondar Zone. Water 2024, 16, 1651. https://doi.org/10.3390/w16121651
Fentie M, Assefa E, Aklog D, Tadesse A, Janka E. Assessment of Drinking Water Quality in Northern Ethiopia Rural Area: A Case Study of Farta District, South Gondar Zone. Water. 2024; 16(12):1651. https://doi.org/10.3390/w16121651
Chicago/Turabian StyleFentie, Mesenbet, Eshetu Assefa, Dagnachew Aklog, Adugnaw Tadesse, and Eshetu Janka. 2024. "Assessment of Drinking Water Quality in Northern Ethiopia Rural Area: A Case Study of Farta District, South Gondar Zone" Water 16, no. 12: 1651. https://doi.org/10.3390/w16121651
APA StyleFentie, M., Assefa, E., Aklog, D., Tadesse, A., & Janka, E. (2024). Assessment of Drinking Water Quality in Northern Ethiopia Rural Area: A Case Study of Farta District, South Gondar Zone. Water, 16(12), 1651. https://doi.org/10.3390/w16121651
