Evaluation of the Effect of Agricultural Return Flow on Water Quality, Water Quantity and Aquatic Ecology in Downstream Rivers
Abstract
1. Introduction
2. Materials and Methods
2.1. Study Area
2.2. Monitoring for Analysis of the Contribution of Agricultural Return Flow to Downstream Rivers
2.2.1. River Flow Monitoring
2.2.2. Aquatic Ecological Monitoring
- –
- Fish Assessment Index (FAI),
- –
- Tropic Diatom Index (TDI),
- –
- Benthic Macroinvertebrate Index (BMI).
2.2.3. Monitoring of River Water Quality
2.3. Modeling for the Analysis of the Contribution of Agricultural Water to Downstream River Parameters
2.3.1. Determining Long-Term Flow Rate Fluctuations Using the SWAT Model
2.3.2. Evaluation of the Contribution of Return Water to Downstream River Parameters
2.3.3. Environmental Ecological Flow Estimation Using the Physical Habitat Simulation System (PHABSIM) Model
3. Results and Discussion
3.1. Water Quantity and Water Quality Monitoring Results
3.1.1. River Flow Monitoring Results
3.1.2. River Water Quality Monitoring Results
3.2. Aquatic Ecology Monitoring Results
3.3. Analysis of the Agricultural Return Flow Contribution to Downstream Rivers through Stream Flow and Ecological Modeling
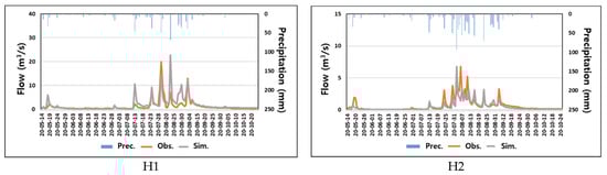
3.3.1. Identification of Long-Term Flow Rate Variation Using the SWAT Model
3.3.2. Evaluation of River Contribution of the Return Water
3.3.3. Results of Environmental Ecological Flow Rate Calculation Using the PHABSIM Model
4. Conclusions
Author Contributions
Funding
Data Availability Statement
Conflicts of Interest
References
- Li, Y.; Yang, W.; Shen, X.; Yuan, G.; Wang, J. Water environment management and performance evaluation in central China: A research based on comprehensive evaluation system. Water 2019, 11, 2472. [Google Scholar] [CrossRef]
- Pachova, N.I.; Nakayama, M.; Jansky, L. International Water Security; United Nations University Press: Tokyo, Japan; New York, NY, USA; Paris, France, 2008. [Google Scholar]
- Cook, C.; Bakker, K. Water security: Debating an emerging paradigm. Glob. Environ. Chang. 2012, 22, 94–102. [Google Scholar] [CrossRef]
- Falkenmark, M.; Molden, D. Wake up to realities of river basin closure. Int. J. Water Resour. Dev. 2008, 24, 201–215. [Google Scholar] [CrossRef]
- Ali, R.; Kuriqi, A.; Abubaker, S.; Kisi, O. Hydrologic alteration at the upper and middle part of the Yangtze river, China: Towards sustainable water resource management under increasing water exploitation. Sustainability 2019, 11, 5176. [Google Scholar] [CrossRef]
- De Fraiture, C.; Wichelns, D. Satisfying future water demands for agriculture. Agric. Water Manag. 2010, 97, 502–511. [Google Scholar] [CrossRef]
- Alcamo, J.; Dronin, N.; Endejan, M.; Golubev, G.; Kirilenko, A. A new assessment of climate change impacts on food production shortfalls and water availability in Russia. Glob. Environ. Chang. 2007, 17, 429–444. [Google Scholar] [CrossRef]
- Hanjra, M.A.; Qureshi, M.E. Global water crisis and future food security in an era of climate change. Food Policy 2010, 35, 365–377. [Google Scholar] [CrossRef]
- Turral, H.; Burke, J.; Faurès, J.-M. Climate Change, Water and Food Security; FAO Water Reports 36; FAO: Rome, Italy, 2011. [Google Scholar]
- Nam, W.H.; Choi, J.Y.; Hong, E.M.; Kim, J.T. Assessment of irrigation efficiencies using smarter water management. J. Korean Soc. Agric. Eng. 2013, 55, 45–53. [Google Scholar]
- Brown, D.M.; Reeder, R.J. Farm-Based Recreation: A Statistical Profile; Economic Research Service ERR-53: Washington, DC, USA, 2007. [Google Scholar]
- Brinkley, C. Evaluating the benefits of peri-urban agriculture. J. Plan. Lit. 2012, 27, 259–269. [Google Scholar] [CrossRef]
- Hellerstein, D.; Nickerson, C.; Cooper, J.C.; Feather, P.; Gadsby, D.; Mullarkey, D.; Tegene, A. Farmland Protection: The Role of Public Preferences for Rural Amenities; Economic Research Service AER-815: Washington, DC, USA, 2002; pp. 1–36. [Google Scholar]
- Zoebl, D. Is water productivity a useful concept in agricultural water management? Agric. Water Manag. 2006, 84, 265–273. [Google Scholar] [CrossRef]
- Swinton, S.M.; Lupi, F.; Robertson, G.P.; Hamilton, S.K. Ecosystem services and agriculture: Cultivating agricultural ecosystems for diverse benefits. Ecol. Econ. 2007, 64, 245–252. [Google Scholar] [CrossRef]
- Kim, T.-C.; Gim, U.-S.; Kim, J.S.; Kim, D.-S. The multi-functionality of paddy farming in Korea. Paddy Water Environ. 2006, 4, 169–179. [Google Scholar] [CrossRef]
- Kim, I.; Kwon, H.; Kim, S.; Jun, B. Identification of landscape multifunctionality along urban-rural gradient of coastal cities in South Korea. Urban Ecosyst. 2020, 23, 1153–1163. [Google Scholar] [CrossRef]
- Dagnino, M.; Ward, F.A. Economics of agricultural water conservation: Empirical analysis and policy implications. Int. J. Water Resour. Dev. 2012, 28, 577–600. [Google Scholar] [CrossRef]
- Kim, H.-Y.; Nam, W.-H.; Mun, Y.-S.; Bang, N.-K.; Kim, H.-J. Estimation of irrigation return flow on agricultural watershed in Madun reservoir. J. Korean Soc. Agric. Eng. 2021, 63, 85–96. [Google Scholar]
- Kim, T.-C.; Lee, H.-C.; Moon, J.-P. Estimation of return flow rate of irrigation water in Daepyeong pumping district. J. Korean Soc. Agric. Eng. 2010, 52, 41–49. [Google Scholar]
- Song, J.H.; Song, I.; Kim, J.-T.; Kang, M.S. Characteristics of irrigation return flow in a reservoir irrigated district. J. Korean Soc. Agric. Eng. 2015, 57, 69–78. [Google Scholar]
- Kim, J.-K.; Kim, G.-H.; Ko, I.-H.; Park, S.-Y.; Seo, J.-W.; Jang, C.-L. Environmental Flow Assesment for Sustainable River Management in Guem River. In Proceedings of the Korea Water Resources Association Conference, Pyeongchang, Republic of Korea, 17 May 2007; pp. 622–627. [Google Scholar]
- Hayes, D.S.; Brändle, J.M.; Seliger, C.; Zeiringer, B.; Ferreira, T.; Schmutz, S. Advancing towards functional environmental flows for temperate floodplain rivers. Sci. Total Environ. 2018, 633, 1089–1104. [Google Scholar] [CrossRef] [PubMed]
- European Commission. Ecological Flows in the Implementation of the Water Framework Directive; CIS Guidance Document, No. 31; European Commission: Brussels, Belgium, 2014. [Google Scholar]
- Lee, J.J.; Hur, J.W. Comparative Analysis of Environmental Ecological Flow Based on Habitat Suitability Index (HSI) in Miho stream of Geum river system. Ecol. Resilient Infrastruct. 2022, 9, 68–76. [Google Scholar]
- Poff, N.L.; Richter, B.D.; Arthington, A.H.; Bunn, S.E.; Naiman, R.J.; Kendy, E.; Acreman, M.; Apse, C.; Bledsoe, B.P.; Freeman, M.C. The ecological limits of hydrologic alteration (ELOHA): A new framework for developing regional environmental flow standards. Freshwater Biol. 2010, 55, 147–170. [Google Scholar] [CrossRef]
- Gerten, D.; Hoff, H.; Rockström, J.; Jägermeyr, J.; Kummu, M.; Pastor, A.V. Towards a revised planetary boundary for consumptive freshwater use: Role of environmental flow requirements. Current Opinion in Environ. Sustainability 2013, 5, 551–558. [Google Scholar]
- Grantham, T.; Mezzatesta, M.; Newburn, D.; Merenlender, A. Evaluating tradeoffs between environmental flow protections and agricultural water security. River Res. Appl. 2014, 30, 315–328. [Google Scholar] [CrossRef]
- Liu, J.; Liu, Q.; Yang, H. Assessing water scarcity by simultaneously considering environmental flow requirements, water quantity, and water quality. Ecol. Indic. 2016, 60, 434–441. [Google Scholar] [CrossRef]
- Pal, S.; Singha, P. Linking river flow modification with wetland hydrological instability, habitat condition, and ecological responses. Environ. Sci. Pollut. Res. 2023, 30, 11634–11660. [Google Scholar] [CrossRef] [PubMed]
- Luo, Z.; Zhang, S.; Liu, H.; Wang, L.; Wang, S.; Wang, L. Assessment of multiple dam-and sluice-induced alterations in hydrologic regime and ecological flow. J. Hydrol. 2023, 617, 128960. [Google Scholar] [CrossRef]
- Kim, H.-Y.; Nam, W.-H.; Mun, Y.-S.; An, H.-U.; Kim, J.; Shin, Y.; Do, J.-W.; Lee, K.-Y. Estimation of irrigation return flow from paddy fields on agricultural watersheds. J. Korea Water Resour. Assoc. 2022, 55, 1–10. [Google Scholar] [CrossRef]
- Cho, J.; Kim, C.; Lim, K.J.; Kim, J.; Ji, B.; Yeon, J. Web-based agricultural infrastructure digital twin system integrated with GIS and BIM concepts. Comput. Electron. Agric. 2023, 215, 108441. [Google Scholar] [CrossRef]
- McNaughton, S.J. Relationships among functional properties of Californian grassland. Nature 1967, 216, 168–169. [Google Scholar] [CrossRef]
- Pielou, E.C. Shannon’s formula as a measure of specific diversity: Its use and misuse. Am. Nat. 1966, 100, 463–465. [Google Scholar] [CrossRef]
- Ulfah, M.; Fajri, S.N.; Nasir, M.; Hamsah, K.; Purnawan, S. Diversity, evenness and dominance index reef fish in Krueng Raya Water, Aceh Besar. Earth Environ. Sci. 2019, 348, 012074. [Google Scholar] [CrossRef]
- Goudarzian, P.; Erfanifard, S. The efficiency of indices of richness, evenness and biodiversity in the investigation of species diversity changes (case study: Migratory water birds of Parishan international wetland, Fars province, Iran). Biodivers. Int. J. 2017, 1, 41–45. [Google Scholar]
- Kong, D.; Park, Y.; Jeon, Y. Revision of Ecological Score of Benthic Macroinvertebrates Community in Korea. J. Korean Soc. Water Environ. 2018, 34, 251–269. [Google Scholar]
- Kelly, M. Use of the trophic diatom index to monitor eutrophication in rivers. Water Res. 1998, 32, 236–242. [Google Scholar] [CrossRef]
- Zelinka, M.; Marvan, P. Zur präzisierung der biologischen klassifikation der reinheid fliessender grewässer. Arch. Hydrobiol. 1961, 57, 207–217. [Google Scholar]
- Klemm, D.J. Fish Field and Laboratory Methods for Evaluating the Biological Integrity of Surface Waters; Environmental Monitoring Systems Laboratory, Office of Modeling, Monitoring Systems, and Quality Assurance, Office of Research and Development, US Environmental Protection Agency: Washington, DC, USA, 1993.
- Arnold, J.G.; Srinivasan, R.; Muttlah, R. Large area hydrologic modeling and assessment part I: Model development. J. Am. Water Resour. Assoc. 1998, 34, 73. [Google Scholar] [CrossRef]
- Seong, C.; Oh, C.; Hwang, S. Watershed-scale Hydrologic Modeling Considering a Detention Effect of Rice Paddy Fields using HSPF Surface-Ftable. J. Korean Soc. Agric. Eng. 2018, 60, 41–54. [Google Scholar]
- Duda, P.B.; Hummel, P.R.; Donigian, A.S., Jr.; Imhoff, J.C. BASINS/HSPF: Model use, calibration, and validation. Trans. ASABE 2012, 55, 1523–1547. [Google Scholar] [CrossRef]
- Moriasi, D.N.; Arnold, J.G.; Van Liew, M.W.; Bingner, R.L.; Harmel, R.D.; Veith, T.L. Model evaluation guidelines for systematic quantification of accuracy in watershed simulations. Trans. ASABE 2007, 50, 885–900. [Google Scholar] [CrossRef]
- Kang, K.; Son, S.; Kim, J.; Kim, P.; Kwon, Y.; Kim, J.; Kim, Y.J.; Min, J.K.; Kim, A.R. Estimation of Habitat Suitability Index of Fish Species in the Gapyeong stream. J. Korean Soc. Water Environ. 2011, 33, 626–639. [Google Scholar]











| Index | Formula for Calculation | Indicators | Reference |
|---|---|---|---|
| Species diversity index (H′) | H′: diversity S: total number of appearances Pi: percentage of the i-th species | [35] | |
| Evenness index (J) | J: evenness H′: diversity S: total number of appearances | [36] | |
| Richness index (R) | R: richness S: total number of appearances N: total cover degree | [37] | |
| Dominance index (D) | D: dominance n1: cover degree of first dominant species n2: cover degree of second dominant species | [34] | |
| Ecological score of benthic macroinvertebrate community (ESB) | ESB: ecological score of benthic macroinvertebrate community S: total number of species Qi: environmental quality score of i-th species | [38] | |
| Trophic diatom index (TDI) | Aj: abundance of j species in sample (%) Sj: pollution sensitivity of j species Vj: indicator value of j species | [39] | |
| Benthic macroinvertebrate index (BMI) | BMI: benthic macroinvertebrates index i: the number assigned to the species n: the number of species si: the saprobic value of the species i hi: the relative abundance of the species i gi: the indicator weight value of the species i | [40] | |
| Fish assessment index (FAI) | M1: total number of native fish species M2: number of riffle-benthic species M3: total number of sensitive species M4: proportion of tolerant species individuals M5: proportion of omnivorous individuals M6: proportion of native insectivore individuals M7: total number of individuals M8: proportion of abnormal individuals | [41] |
| Statistic | Measurement Frequency | Very Good | Good | Fair | Poor | Reference |
|---|---|---|---|---|---|---|
| R2 | Daily | 0.80 < R2 ≤ 1 | 0.70 < R2 ≤ 0.80 | 0.60 < R2 ≤ 0.70 | R2 ≤ 0.60 | [44] |
| Monthly | 0.86 < R2 ≤ 1 | 0.75 < R2 ≤ 86 | 0.65 < R2 ≤ 0.75 | R2 ≤ 0.65 | ||
| NSE | Monthly | 0.75 < NSE ≤ 1 | 0.65 < NSE ≤ 0.75 | 0.50 < NSE ≤ 0.65 | NSE ≤ 0.50 | [45] |
| Num | Parameter | Description | Min | Max |
|---|---|---|---|---|
| 1 | CN2 | Initial SCS runoff curve number for moisture condition 2 | 35 | 95 |
| 2 | ALPHA_BF | Baseflow alpha factor (1/days) | 0 | 1 |
| 3 | GWQMN | Threshold depth of water in the shallow aquifer required for return flow to occur (mm H2O) | 0 | 5000 |
| 4 | LAT_TTIME | Lateral flow travel time (days) | 0 | 180 |
| 5 | CH_K2 | Effective hydraulic conductivity in main channel alluvium | −0.01 | 500 |
| 6 | SOL_AWC | Available water capacity of the soil layer (mm H2O/mm soil) | 0 | 1 |
| 7 | ESCO | Soil evaporation compensation factor | 0 | 1 |
| 8 | SURLAG | Surface runoff lag coefficient | 0.05 | 24 |
| 9 | SOL_K | Saturated hydraulic conductivity (mm/h) | 0 | 2000 |
| 10 | SLSOIL | Slope length for lateral subsurface flow (m) | 0 | 150 |
| 11 | EPCO | Plant uptake compensation factor | 0 | 1 |
| 12 | GW_DELAY | Groundwater delay time (days) | 0 | 500 |
| 13 | RCHRG_DP | Deep aquifer percolation fraction | 0 | 1 |
| 14 | REVAPMN | Threshold depth of water in the shallow aquifer for “revap” or percolation to the deep aquifer to occur (mm H2O) | 0 | 500 |
| 15 | GW_REVAP | Groundwater “revap” coefficient | 0.02 | 0.2 |
| 16 | HRU_SLP | Average slope steepness (m/m) | 0 | 1 |
| Grade | Standard | BOD | T-P |
|---|---|---|---|
| Very good | Ia | <1 | <0.02 |
| Good | Ib | <2 | <0.04 |
| Slightly good | II | <3 | <0.1 |
| Normal | III | <5 | <0.2 |
| Slightly bad | IV | <8 | <0.3 |
| Bad | V | <10 | <0.5 |
| Very bad | VI | >10 | >0.05 |
| Name | MJ | SG | Total | ||||
|---|---|---|---|---|---|---|---|
| May | Sep. | Sum | May | Sep. | Sum | ||
| CYPRINIDAE | |||||||
| Carassius auratus | 3 | 3 | 3 | ||||
| Pseudogobio esocinus | 1 | 1 | 1 | ||||
| Pungtungia herzi (Striped shiner) | 18 | 18 | 25 | 51 | 76 | 94 | |
| Rhynchocypris oxycephalus | 45 | 45 | 26 | 26 | 71 | ||
| Zacco platypus | 16 | 16 | 32 | 30 | 62 | 78 | |
| COBITIDAE | |||||||
| Misgurnus anguillicaudatus | 4 | 4 | 4 | ||||
| SILURIDAE | |||||||
| Silurus asotus | 1 | 1 | 1 | ||||
| CENTRACHIDAE | |||||||
| Micropterus salmoides | 2 | 2 | 2 | ||||
| ODONTOBUTIDAE | |||||||
| Odontobutis interrupta | 9 | 3 | 12 | 6 | 10 | 16 | 28 |
| GOBIIDAE | |||||||
| Rhinogobius brunneus | 6 | 6 | |||||
Disclaimer/Publisher’s Note: The statements, opinions and data contained in all publications are solely those of the individual author(s) and contributor(s) and not of MDPI and/or the editor(s). MDPI and/or the editor(s) disclaim responsibility for any injury to people or property resulting from any ideas, methods, instructions or products referred to in the content. |
© 2024 by the authors. Licensee MDPI, Basel, Switzerland. This article is an open access article distributed under the terms and conditions of the Creative Commons Attribution (CC BY) license (https://creativecommons.org/licenses/by/4.0/).
Share and Cite
Kang, T.; Shin, Y.; Shin, M.; Lee, D.; Lim, K.J.; Kim, J. Evaluation of the Effect of Agricultural Return Flow on Water Quality, Water Quantity and Aquatic Ecology in Downstream Rivers. Water 2024, 16, 1604. https://doi.org/10.3390/w16111604
Kang T, Shin Y, Shin M, Lee D, Lim KJ, Kim J. Evaluation of the Effect of Agricultural Return Flow on Water Quality, Water Quantity and Aquatic Ecology in Downstream Rivers. Water. 2024; 16(11):1604. https://doi.org/10.3390/w16111604
Chicago/Turabian StyleKang, Taeseong, Yongchul Shin, Minhwan Shin, Dongjun Lee, Kyoung Jae Lim, and Jonggun Kim. 2024. "Evaluation of the Effect of Agricultural Return Flow on Water Quality, Water Quantity and Aquatic Ecology in Downstream Rivers" Water 16, no. 11: 1604. https://doi.org/10.3390/w16111604
APA StyleKang, T., Shin, Y., Shin, M., Lee, D., Lim, K. J., & Kim, J. (2024). Evaluation of the Effect of Agricultural Return Flow on Water Quality, Water Quantity and Aquatic Ecology in Downstream Rivers. Water, 16(11), 1604. https://doi.org/10.3390/w16111604

