Experimental Study on the Sloshing of a Rectangular Tank under Pitch Excitations
Abstract
1. Introduction
2. Model Test System
2.1. Test Setup
2.2. Test Cases
3. Test Results and Analysis
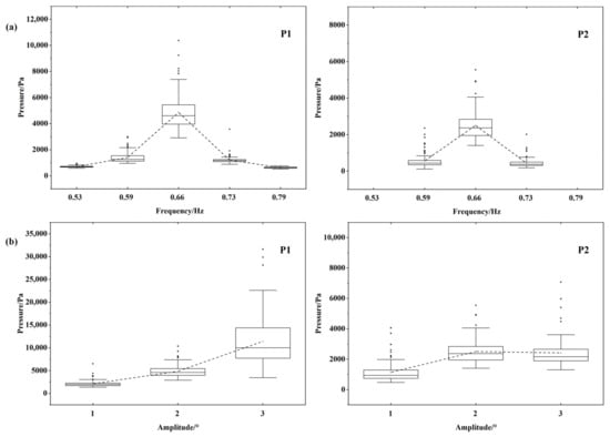
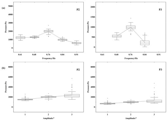
3.1. Sloshing Pressures
3.2. Waveform Characteristics of Sloshing
3.2.1. Sloshing at a Liquid Carrying Rate of 20%
3.2.2. Sloshing at a Liquid Carrying Rate of 30%
3.2.3. Sloshing at a Liquid Carrying Rate of 70%
3.3. Frequency Response of Sloshing Pressure
4. Conclusions
Author Contributions
Funding
Data Availability Statement
Acknowledgments
Conflicts of Interest
References
- Faltinsen, O.M.; Timokha, A.N. Sloshing; Cambridge University Press: Cambridge, UK, 2009. [Google Scholar]
- Faltinsen, O.M.; Rognebakke, O.F.; Timokha, A.N. Transient and steady-state amplitudes of resonant three-dimensional sloshing in a square base tank with a finite fluid depth. Phys. Fluids 2006, 18, 012103. [Google Scholar] [CrossRef]
- Wei, Z.J.; Yue, Q.J.; Ruan, S.L. An experimental investigation of liquid sloshing impact pressure in a rectangular tank. In Proceedings of the ISOPE International Ocean and Polar Engineering Conference, Rhodes, Greece, 17–22 June 2012; Volume I, p. ISOPE-I-12-534. [Google Scholar]
- Jiang, M.; Ren, B.; Wang, G.; Wang, Y. Laboratory investigation of the hydroelastic effect on liquid sloshing in rectangular tanks. J. Hydrodyn. 2014, 26, 751–761. [Google Scholar] [CrossRef]
- Bulian, G.; Botia-Vera, E.; Souto-Iglesias, A. Experimental sloshing pressure impacts in ensemble domain: Transient and stationary statistical characteristics. Phys. Fluids 2014, 26, 032102. [Google Scholar] [CrossRef]
- Delorme, L. Sloshing Flows: Experimental Investigation and Numerical Simulations with Smoothed Particle Hydrodynamics. Ph.D. Thesis, Universidad Politécnica de Madrid, Madrid, Spain, 2008. [Google Scholar]
- Saltari, F.; Pizzoli, M.; Coppotelli, G.; Gambioli, F.; Cooper, J.E.; Mastroddi, F. Experimental characterisation of sloshing tank dissipative behaviour in vertical harmonic excitation. J. Fluid. Struct. 2022, 109, 103478. [Google Scholar] [CrossRef]
- Qiu, Y.; Bai, M.; Liu, Y.; Lei, G.; Liu, Z. Effect of liquid filling level on sloshing hydrodynamic characteristic under the first natural frequency. J. Energy Storage 2022, 55, 105452. [Google Scholar] [CrossRef]
- Lin, X.; Xu, L.; Liu, Y.C.; Fan, C.M. An efficient localized Trefftz method for the simulation of two-dimensional sloshing behaviors. Ocean Eng. 2024, 299, 117414. [Google Scholar] [CrossRef]
- Bardazzi, A.; Lugni, C.; Faltinsen, O.M.; Durante, D.; Colagrossi, A. Different scenarios in sloshing flows near the critical filling depth. J. Fluid. Mech. 2024, 984, A73. [Google Scholar] [CrossRef]
- Luo, M.; Wang, X.; Jin, X.; Yan, B. Three-dimensional sloshing in a scaled membrane LNG tank under combined roll and pitch excitations. Ocean Eng. 2020, 211, 107578. [Google Scholar] [CrossRef]
- Olsen, H.A.; Johnsen, K. Nonlinear Sloshing in Rectangular Tank: A Pilot Study on the Applicability of Analytical Models; Report 74-72-S; Det Norske Veritas: Hovik, Norway, 1975; Volume 2. [Google Scholar]
- Gurusamy, S.; Kumar, D. Experimental study on nonlinear sloshing frequency in shallow water tanks under the effects of excitation amplitude and dispersion parameter. Ocean Eng. 2020, 213, 107761. [Google Scholar] [CrossRef]
- Ibrahim, R.A. Assessment of breaking waves and liquid sloshing impact. Nonlinear Dynam. 2020, 100, 1837–1925. [Google Scholar] [CrossRef]
- Liu, G.; Lin, Y.; Guan, G.; Yu, Y. A numerical technique for sloshing in an independent type C LNG tank with experimental investigation and validation. Int. Shipbuild Prog. 2017, 64, 79–100. [Google Scholar] [CrossRef]
- KIM, H.I.; Kwon, S.H.; Park, J.S.; Lee, K.H.; Jeon, S.S.; Jung, J.H.; Ryu, M.C.; Hwang, Y.S. An experimental investigation of hydrodynamic impact on 2-D LNGC models. In Proceedings of the ISOPE International Ocean and Polar Engineering Conference, Osaka, Japan, 21–26 July 2009; Volume I, p. ISOPE-I-09-539. [Google Scholar]
- Bunnik, T.; Huijsmans, R. Large scale LNG sloshing model tests. In Proceedings of the ISOPE International Ocean and Polar Engineering Conference, Lisbon, Portugal, 1–6 July 2007; Volume I, p. ISOPE-I-07-338. [Google Scholar]
- Luo, D.; Liu, C.; Sun, J.; Cui, L.; Wang, Z. Sloshing effect analysis of liquid storage tank under seismic excitation. Structures 2022, 43, 40–58. [Google Scholar] [CrossRef]
- Zhao, W.; Yang, J.; Hu, Z. Effects of sloshing on the global motion responses of FLNG. Ships Offshore Struct. 2013, 8, 111–122. [Google Scholar] [CrossRef]
- Faltinsen, O.M. A Nonlinear Theory of Sloshing in Rectangular Tanks. J. Ship Res. 1974, 18, 224–241. [Google Scholar] [CrossRef]
- Ibrahim, R.A.; Pilipchuk, V.N.; Ikeda, T. Recent Advances in Liquid Sloshing Dynamics. Appl. Mech. Rev. 2001, 54, 133–199. [Google Scholar] [CrossRef]
- Chen, Y.; Xue, M.A. Numerical Simulation of Liquid Sloshing with Different Filling Levels Using OpenFOAM and Experimental Validation. Water 2018, 10, 1752. [Google Scholar] [CrossRef]
- Faltinsen, O.M. Sloshing. Adv. Mech. 2017, 47, 1–24. [Google Scholar]
- Lugni, C.; Brocchini, M.; Faltinsen, O.M. Wave impact pressures: The role of the flip-through. Phys. Fluids 2006, 18, 122101. [Google Scholar] [CrossRef]
- Faltinsen, O.M. Hydrodynamics of High-Speed Marine Vehicles; Cambridge University Press: Cambridge, UK, 2005. [Google Scholar]
- Jin, X.; Tang, J.; Tang, X.; Mi, S.; Wu, J.; Liu, M.; Huang, Z. Effect of viscosity on sloshing in a rectangular tank with intermediate liquid depth. Exp. Therm. Fluid Sci. 2020, 118, 110148. [Google Scholar] [CrossRef]
- Zhang, C.; Ning, D.; Teng, B. Secondary resonance of liquid sloshing in square-base tanks undergoing the circular orbit motion. Eur. J. Mech. B-Fluid. 2018, 72, 235–250. [Google Scholar] [CrossRef]
























| Liquid-Carrying Rate | Theoretical Frequency (Hz) | Measured Frequency (Hz) | Error Δ (%) |
|---|---|---|---|
| 20%H | 0.659 | 0.657 | 0.3 |
| 30%H | 0.758 | 0.754 | 0.5 |
| 70%H | 0.872 | 0.869 | 0.3 |
| Case | Liquid-Carrying Rate h | Amplitude A (°) | Frequency f (Hz) | Sampling Time t (s) |
|---|---|---|---|---|
| Equal amplitude pitch | 20%H | 2 | 0.53, 0.59, 0.66 (f1), 0.73, 0.79 | 400 |
| 30%H | 2 | 0.61, 0.68, 0.76 (f1), 0.84, 0.91 | ||
| 70%H | 2 | 0.70, 0.78, 0.87 (f1), 0.96, 1.04 | ||
| Variable amplitude pitch | 20%H | 1, 2, 3 | 0.66 | |
| 30%H | 1, 2, 3 | 0.76 | ||
| 70%H | 1, 2, 3 | 0.87 |
Disclaimer/Publisher’s Note: The statements, opinions and data contained in all publications are solely those of the individual author(s) and contributor(s) and not of MDPI and/or the editor(s). MDPI and/or the editor(s) disclaim responsibility for any injury to people or property resulting from any ideas, methods, instructions or products referred to in the content. |
© 2024 by the authors. Licensee MDPI, Basel, Switzerland. This article is an open access article distributed under the terms and conditions of the Creative Commons Attribution (CC BY) license (https://creativecommons.org/licenses/by/4.0/).
Share and Cite
Liu, K.; Li, X.; Peng, P.; Zhou, Z.; Gao, Z. Experimental Study on the Sloshing of a Rectangular Tank under Pitch Excitations. Water 2024, 16, 1551. https://doi.org/10.3390/w16111551
Liu K, Li X, Peng P, Zhou Z, Gao Z. Experimental Study on the Sloshing of a Rectangular Tank under Pitch Excitations. Water. 2024; 16(11):1551. https://doi.org/10.3390/w16111551
Chicago/Turabian StyleLiu, Kun, Xianshu Li, Peng Peng, Zefeng Zhou, and Zhenguo Gao. 2024. "Experimental Study on the Sloshing of a Rectangular Tank under Pitch Excitations" Water 16, no. 11: 1551. https://doi.org/10.3390/w16111551
APA StyleLiu, K., Li, X., Peng, P., Zhou, Z., & Gao, Z. (2024). Experimental Study on the Sloshing of a Rectangular Tank under Pitch Excitations. Water, 16(11), 1551. https://doi.org/10.3390/w16111551

