An Improved DeNSE Methodology for Optimal Sectorization of Water Distribution Networks
Abstract
1. Introduction
2. Methodology
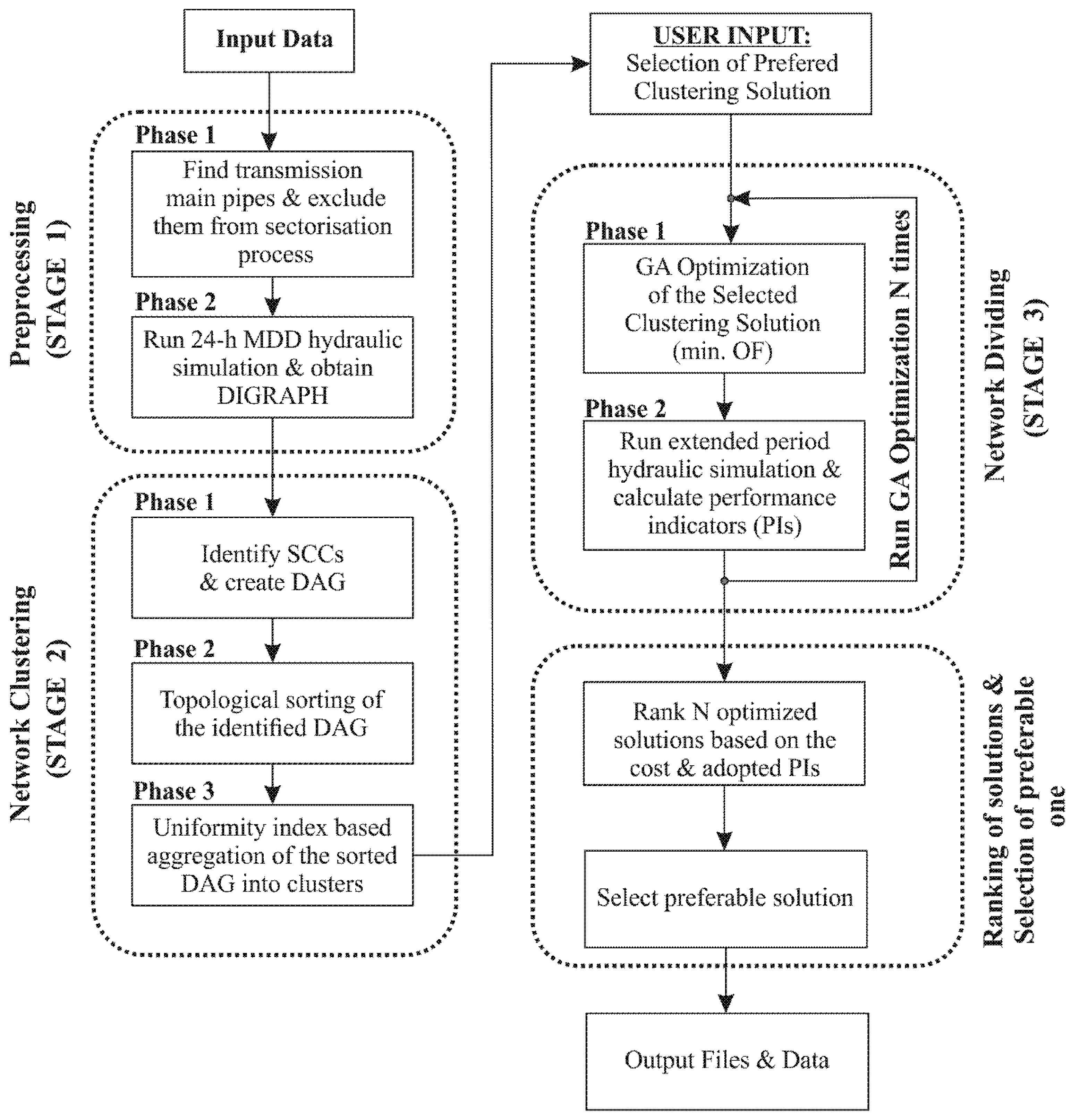
2.1. Overview
2.2. Input Data
- A calibrated WDN network model in the form of an EPANET input file, containing all relevant data (topology, hydraulic characteristics, demand data, etc.).
- The minimum () and maximum () number of property connections per DMA, along with the total number of connections in the network (nc), if the number of connections per node is not available within the network model (which is usually the case). Available guidelines for DMA definition typically suggest that the number of connections should be in the range of 500–5000 [6,7].
- The transmission main threshold diameter (DMAIN). Pipes with a diameter above this value serve as the main supply paths in the network, and they are excluded from any interventions in this method. The transmission main could also be selected manually.
- The minimum required and maximum allowed pressures in the network, denoted as pMIN and pMAX.
- The minimum required number of direct feed lines, (fREQ), to the DMA, reflecting security of water supply, defined according to the number of connections in the zone.
- The unit cost of devices to be installed in order to divide the network (flow meters and isolation valves). If not supplied by the user, default unit cost functions are taken from [37].
- The desired number of alternate solutions for the definition of DMAs (N). This number is the number of runs of the optimization algorithm (stage 3). Each run will yield a different optimized solution, characterized by a different number of valves and flow meters as well as their different positioning. Thus, the cost and other indicators will vary between solutions. It is generally recommended to have at least 10 solutions for a representative multi-criteria ranking, although users can opt for a larger set of solutions for comparison.
2.3. Pre-Processing
- In the first phase, transmission mains are defined, based on the DMAIN value, and excluded from the sectorization process. For this purpose, the network is explored using a slightly modified Breadth First Search (BFS) algorithm [44], simultaneously starting from all main source nodes (reservoirs). The BFS algorithm is modified to prioritize propagation through the links with diameters equal to or greater than DMAIN.
- In the second phase, a 24 h Maximum Day Demand (MDD) hydraulic simulation of the analyzed WDN is performed to determine the orientation of pipes (based on water flow directions obtained in the simulation). As a result, a directional graph (DIGRAPH) is defined. Network links with changing flow directions are identified as non-oriented (or links that can have both flow directions).
2.4. Network Clustering
- The first phase is the identification of Strongly Connected Components (SCCs) [45] within the directed graph DIGRAPH, created previously in the pre-processing stage (stage 1). An SCC is a directed cyclic component in which flow direction within that component can reverse [46]. Therefore, SCCs are parts of the network where water is circulating during the simulation [47]. The resulting graph, made of SCCs connected to the transmission main (Figure 2a), is called DAG—Directed Acyclic Graph.
- The second phase is the topological sorting of the DAG identified in the previous phase. DAG nodes, represented with SCCs, are sorted from the downstream end, and this order will be used to drive aggregation of the DAG from the most peripheral SCCs.
- The third phase is the aggregation of the sorted DAG into clusters, composed of the SCCs connected between each other and connected to the transmission main. Aggregation is conducted based on the network uniformity index (U) [42], defined as follows:where unet is the network uniformity in terms of cluster size, uv is the uniformity of the cluster’s size vector, and wagg is the relative weight of aggregated links.
2.5. Network Division
- Non-oriented pipes are identified, and all such pipes in which the absolute difference between the maximum and minimum flow rate is less than 0.2 L/s are marked for closure, which is considered as a negligible flow rate (let us assume that the only non-oriented link in example L2 does not satisfy this condition).
- Boundary pipes that always return water from the clusters to the transmission main are closed. These pipes are not on the supply paths and, as such, can be considered redundant and closed without an effect on the system’s reliability (in this example, in Figure 3, there is one such pipe—L8).
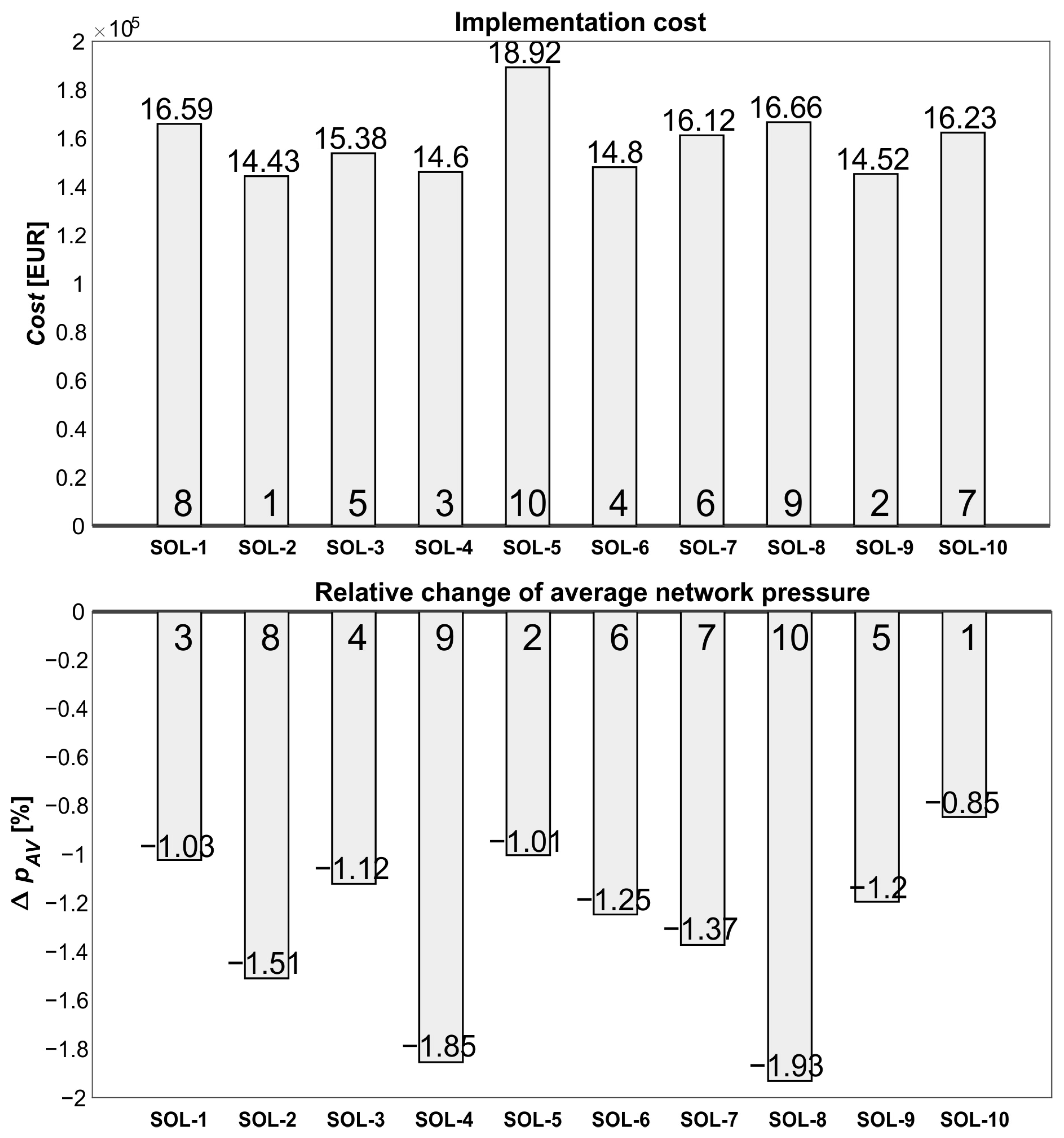
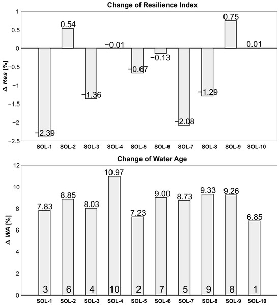
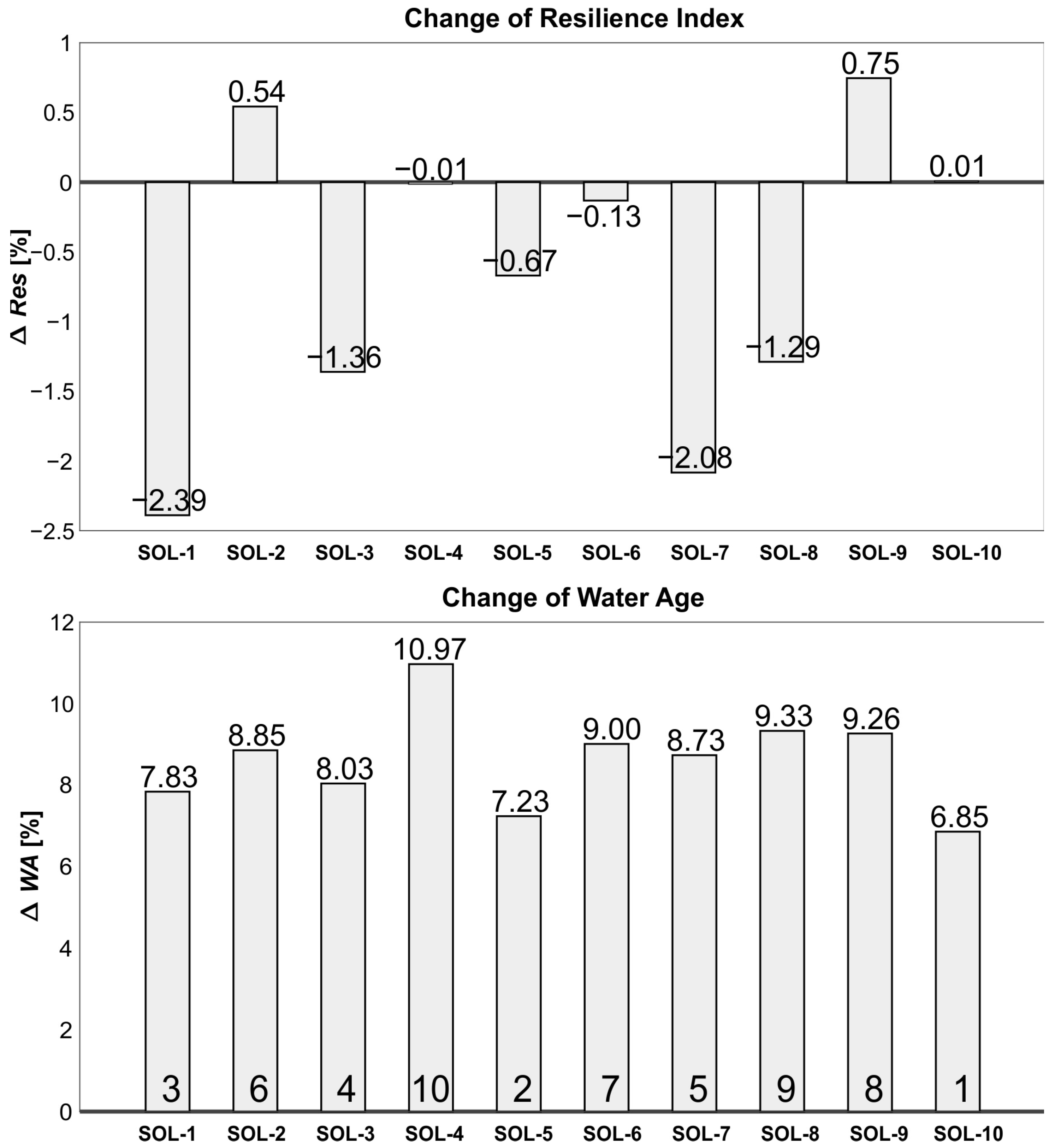
2.6. Sectorization Performance Indicators
- Cost (EUR)—Cost of the solution is calculated based on the unit cost of devices installed to create the DMAs (flow meters and isolation valves), supplied by the user as an input data.
- ΔpAV (%)—Relative change in the average network pressure caused by the interventions, calculated as follows:where is the pressure in the i-th node at time t in the original network, and is the pressure in that same node at the same time, but in the network with implemented interventions.
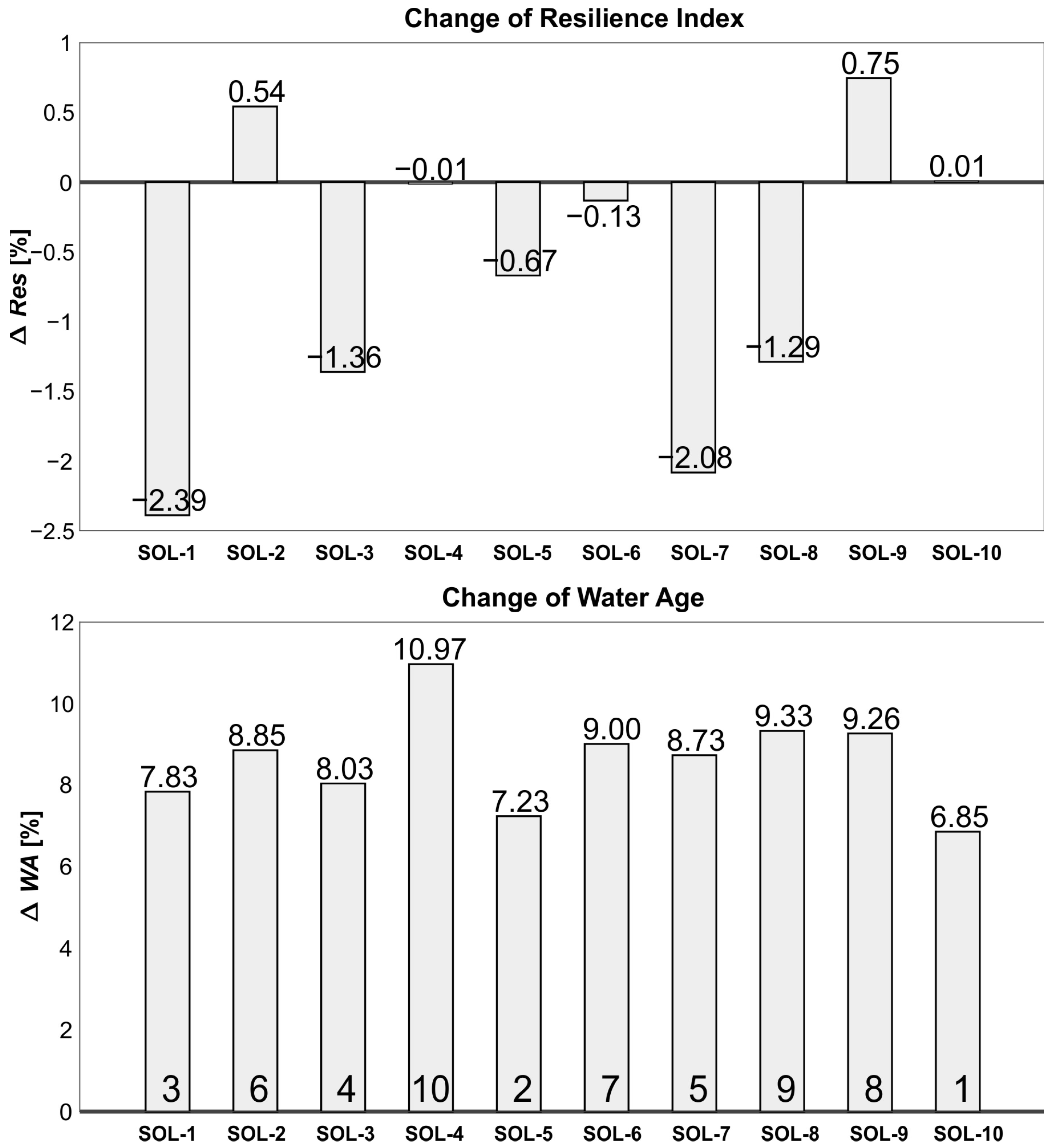
- ΔRes (%)—Relative change in the average network resilience index [32] after the sectorization compared to the network’s original layout. The resilience index is calculated as a mean value over the simulation period (T) and is represented as the ratio of the residual amount of power in the network after the satisfaction of nodal demands and the maximum amount of power that can be dissipated in the network internally, while satisfying the nodal demands and minimal pressure constraints:where nj is the number of junctions, nr is the number of reservoirs, np is the number of pumps, nt is the number of tanks, qi is the nodal demand at node i, hi is the nodal head at node i, hi* is the minimum nodal head at node i, Qj is the discharge from the reservoir j, Hj is the head in reservoir j, Pk is the amount of power introduced in the network by pump k, γ is the specific weight of the water, Ql is the demand of tank l, and Hl is the head in tank l.
- ΔWA (%)—Relative change in the average water age in the network after the sectorization compared to the network’s original layout. Water age is defined as the time spent by a parcel of water in the network, providing a simple measure of the overall quality of the delivered drinking water [48]. Water age (WA) is calculated over the last 24 h of the extended period simulation, as follows:where WAit is the result of the EPANET simulation and presents the water age in junction i at time t.
2.7. Visualization
- Four Google Earth files (.kml files) showing the whole network and the position of flow meters and valves. These files are convenient, as the network is displayed against a satellite background and georeferenced.
- An EPANET file (.inp file) in which all required interventions are implemented (i.e., all pipes that should be equipped with valves are closed in this model). This enables the user to produce additional results independently and further investigate the hydraulic model of the solution.
2.8. Implementation
3. Results and Discussion
3.1. Case Study
- The calibrated WDN network model in the form of the EPANET input file.
- The minimum () and maximum () number of property connections per DMA are set equal to = 2500 and = 8000. These slightly differ from the general recommendations about the size of DMAs provided in guidelines [6,7]. This is because of the size of the Amstelveen network. It is more appropriate that sectorization of such networks is done in phases. First, coarse sectorization should be implemented, and after that each large DMA, the network should be sectorized further. Given the adopted values for and , the preferred size of a DMA is 5250 connections, which is adopted as an upper boundary for a DMA in many guidelines. Given the total number of connections in the Amstelveen network, it Is expected that the optimal sectorization derived with the DeNSE method will have 7 to 9 DMAs.
- The Transmission main threshold diameter used in preprocessing to identify the main pipeline is DMAIN = 250 mm.
- The adopted minimum required and maximum allowed pressures in the network are pMIN = 1.8 bar and pMAX = 6.0 bar. Local network design criteria define the minimum pressure to be at least 2.0 bar; however, in the case of the Amstelveen network, the absolute minimum pressure in the original network layout, which occurs during the 24 h simulation, is 20.15 m. Because this is very close to the 2.0 bar constraint, it was decided to slightly relax the minimum pressure constraint and adopt a 1.8 bar value instead. This is still well above the legal minimum of 1.5 bar, as mentioned in [51].
- The minimum required number of direct feed lines (fREQ) to an area (DMA) is adopted from the local act document [51] according to Table 2, defining the requests in normal operating conditions:Table 2. Required number of feeds for an area to secure water supply.
Number of Delivery Points fREQ Up to 200 connections 1 feed 200 to 2000 connections 2 feeds More than 2000 connections 3 feeds - The local unit cost of the equipment (i.e., valves and flow meters) is supplied directly by the Waternet asset management department. Prices include all-in installation (i.e., includes purchase, transport, and labor costs). Prices are given in Table 3:Table 3. Installation prices for valves and flow meters.
Diameter (mm) Valve Placement Cost
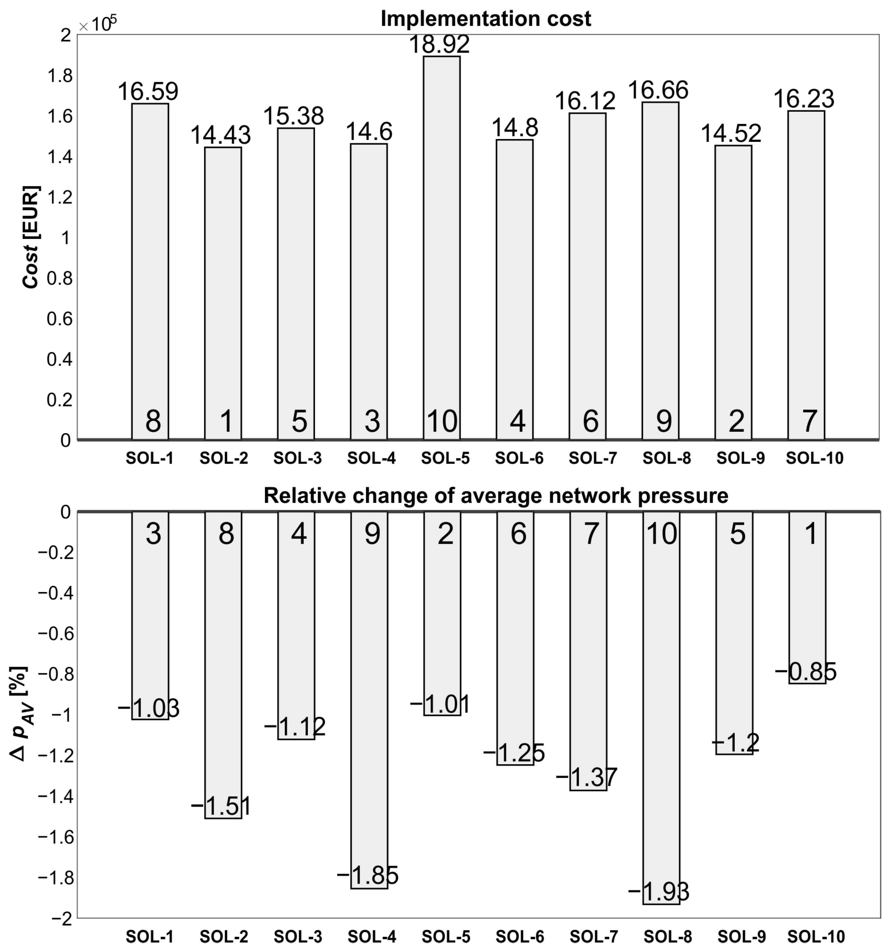
(All-In)Flow Meter Placement Cost (All-In) 75 EUR 1575 EUR 2093 90 EUR 1575 EUR 2421 100 EUR 2260 EUR 2690 110 EUR 1785 EUR 3412 150 EUR 2850 EUR 3587 160 EUR 2124 EUR 3635 200 EUR 3119 EUR 4200 315 EUR 3975 EUR 6899 400 EUR 4335 EUR 8761 - The desired number of alternate solutions for the definition of DMAs, which will be ranked and analyzed, is N = 10.
- The parameters used in GA optimization are the number of generations ng = 35 and population size ps = 30.
3.2. Network Clustering Results
3.3. Network Division
3.4. Discussion on Seleected Solution
4. Conclusions
- Incorporated improvements such as added criteria for water supply security and consideration of existing valves in the network contribute to a better estimate of the implementation costs and post-sectorized operational efficiency of the WDN.
- The generated range of feasible sectorization solutions using GA optimization, the implemented GIS visualization, and the generated EPANET model of the sectorized network provide practitioners with valuable insights and flexibility in the decision-making procedure.
- Tested on a segment of Amsterdam WDN used as a pilot network, the DeNSE method demonstrated efficiency in optimizing sectorization solutions with minimum implementation cost, while preserving the WDN operational efficiency and meeting the local design criteria.
- The reported results prove that the DeNSE method can be used as a decision support methodology, valuable to practicing engineers dealing with the implementation of sectorization strategies in WDNs.
- Implementation of a pressure-driven approach (PDA) in hydraulic simulations, as pressure deficient conditions in the network cannot be accurately represented with the current implementation of the demand-driven approach (DDA).
- Introduction of node elevation as a measure of uniformity in the clustering stage, which could be appropriate for WDNs with high variations in terrain elevation.
- Consideration of dynamic DMAs, self-adapting to abnormal conditions in the network, which could provide better dynamic control of WDNs. The hierarchical characterization of the clustering algorithm implemented in the DeNSE methodology should easily enable this.
- Investigation of the influence of hydraulic model uncertainties on DMA design.
Author Contributions
Funding
Data Availability Statement
Acknowledgments
Conflicts of Interest
References
- Saldarriaga, J.; Bohorquez, J.; Celeita, D.; Vega, L.; Paez, D.; Savic, D.; Dandy, G.; Filion, Y.; Grayman, W.; Kapelan, Z. Battle of the Water Networks District Metered Areas. J. Water Resour. Plan. Manag. 2019, 145, 04019002. [Google Scholar] [CrossRef]
- Burrows, R.; Crowder, G.; Zhang, J. Utilisation of Network Modelling in the Operational Management of Water Distribution Systems. Urban Water 2000, 2, 83–95. [Google Scholar] [CrossRef]
- Bui, X.K.; Marlim, M.S.; Kang, D. Water Network Partitioning into District Metered Areas: A State-of-the-Art Review. Water 2020, 12, 1002. [Google Scholar] [CrossRef]
- Leakage Control Policy and Practice; The Water Authorities Association (WAA) and Water Research Centre (WRC): London, UK, 1985.
- Butler, D. Leakage Detection and Management; Palmer Environmental Ltd.: Cwambran, UK, 2000. [Google Scholar]
- Farley, M. Leakage Management and Control: A Best Practice Training Manual; World Health Organization: Geneva, Switzerland, 2001; pp. 1–169. [Google Scholar]
- Morrison, J.; Tooms, S.; Rogers, D. DMA Management Guidance Notes; IWA: London, UK, 2007. [Google Scholar]
- Grayman, W.; Murray, R.; Savic, D. Effects of Redesign of Water Systems for Security and Water Quality Factors. In Proceedings of the World Environmental and Water Resources Congress 2009, Kansas City, Missouri, 17–21 May 2009; pp. 504–514. [Google Scholar]
- Baker, M. Municipal Water Distribution System Security Study: Recommendations for Science and Technology Investments; U.S. Department of Homeland Security: Washington, DC, USA, 2007. [Google Scholar]
- Tzatchkov, V.; Alcocer-Yamanaka, V.; Bourguett Ortíz, V. Graph Theory Based Algorithms for Water Distribution Network Sectorization Projects. In Proceedings of the Water Distribution Systems Analysis Symposium 2006, Cincinnati, OH, USA, 27–30 August 2006; pp. 1–15. [Google Scholar] [CrossRef]
- Spizzo, F.; Venaruzzo, G.; Nicolini, M.; Goi, D. Water Distribution Network Partitioning Based on Complex Network Theory: The Udine Case Study. Water 2023, 15, 1621. [Google Scholar] [CrossRef]
- Creaco, E.; Giudicianni, C.; Tosco, A. Service Pressure and Energy Consumption Mitigation-Oriented Partitioning of Closed Water Distribution Networks. Water 2023, 15, 3218. [Google Scholar] [CrossRef]
- Perelman, L.S.; Allen, M.; Preis, A.; Iqbal, M.; Whittle, A.J. Automated Sub-Zoning of Water Distribution Systems. Environ. Model. Softw. 2015, 65, 1–14. [Google Scholar] [CrossRef]
- Alvisi, S.; Franchini, M. A Heuristic Procedure for the Automatic Creation of District Metered Areas in Water Distribution Systems. Urban Water J. 2014, 11, 137–159. [Google Scholar] [CrossRef]
- Ferrari, G.; Savic, D.; Becciu, G. A Graph Theoretic Approach and Sound Engineering Principles for Design of District Metered Areas. J. Water Resour. Plan. Manag. 2014, 140, 04014036. [Google Scholar] [CrossRef]
- Hajebi, S.; Roshani, E.; Cardozo, N.; Barrett, S.; Clarke, A.; Clarke, S. Water Distribution Network Sectorisation Using Graph Theory and Many-Objective Optimisation. J. Hydroinform. 2016, 18, 77–95. [Google Scholar] [CrossRef]
- Scarpa, F.; Lobba, A.; Becciu, G. Elementary DMA Design of Looped Water Distribution Networks with Multiple Sources. J. Water Resour. Plan. Manag. 2016, 142, 04016011. [Google Scholar] [CrossRef]
- Ciaponi, C.; Murari, E.; Todeschini, S. Modularity-Based Procedure for Partitioning Water Distribution Systems into Independent Districts. Water Resour. Manag. 2016, 30, 2021–2036. [Google Scholar] [CrossRef]
- Giustolisi, O.; Ridolfi, L. New Modularity-Based Approach to Segmentation of Water Distribution Networks. J. Hydraul. Eng. 2014, 140, 04014049. [Google Scholar] [CrossRef]
- Laucelli, D.B.; Simone, A.; Berardi, L.; Giustolisi, O. Optimal Design of District Metering Areas. Procedia Eng. 2016, 162, 403–410. [Google Scholar] [CrossRef][Green Version]
- Zhou, H.; Liu, Y.; Yao, H.; Yu, T.; Shao, Y. Comparative Analysis on the DMA Partitioning Methods Whether Trunk Mains Participated. Water 2022, 14, 3876. [Google Scholar] [CrossRef]
- Diao, K.; Zhou, Y.; Rauch, W. Automated Creation of District Metered Area Boundaries in Water Distribution Systems. J. Water Resour. Plan. Manag. 2013, 139, 184–190. [Google Scholar] [CrossRef]
- Zhang, Q.; Wu, Z.; Zhao, M.; Qi, J. Automatic Partitioning of Water Distribution Networks Using Multiscale Community Detection and Multiobjective Optimization. J. Water Resour. Plan. Manag. 2017, 143, 04017057. [Google Scholar] [CrossRef]
- Campbell, E.; Ayala-Cabrera, D.; Izquierdo, J.; Pérez-García, R.; Tavera, M. Water Supply Network Sectorization Based on Social Networks Community Detection Algorithms. Procedia Eng. 2014, 89, 1208–1215. [Google Scholar] [CrossRef]
- Di Nardo, A.; Di Natale, M.; Giudicianni, C.; Musmarra, D.; Santonastaso, G.F.; Simone, A. Water Distribution System Clustering and Partitioning Based on Social Network Algorithms. Procedia Eng. 2015, 119, 196–205. [Google Scholar] [CrossRef]
- Di Nardo, A.; Di Natale, M.; Santonastaso, G.F.; Venticinque, S. An Automated Tool for Smart Water Network Partitioning. Water Resour. Manag. 2013, 27, 4493–4508. [Google Scholar] [CrossRef]
- Alvisi, S. A New Procedure for Optimal Design of District Metered Areas Based on the Multilevel Balancing and Refinement Algorithm. Water Resour. Manag. 2015, 29, 4397–4409. [Google Scholar] [CrossRef]
- Liu, J.; Han, R. Spectral Clustering and Multicriteria Decision for Design of District Metered Areas. J. Water Resour. Plan. Manag. 2018, 144, 04018013. [Google Scholar] [CrossRef]
- Di Nardo, A.; Di Natale, M.; Giudicianni, C.; Greco, R.; Santonastaso, G.F. Weighted Spectral Clustering for Water Distribution Network Partitioning. Appl. Netw. Sci. 2017, 2, 19. [Google Scholar] [CrossRef] [PubMed]
- Di Nardo, A.; Giudicianni, C.; Greco, R.; Santonastaso, G.F. Applications of Graph Spectral Techniques to Water Distribution Network Management. Water 2018, 10, 45. [Google Scholar] [CrossRef]
- Di Nardo, A.; Di Natale, M.; Santonastaso, G.; Tzatchkov, V.; Alcocer-Yamanaka, V. Water Network Sectorization Based on Graph Theory and Energy Performance Indices. J. Water Resour. Plan. Manag. 2014, 140, 620–629. [Google Scholar] [CrossRef]
- Todini, E. Looped Water Distribution Networks Design Using a Resilience Index Based Heuristic Approach. Urban Water 2000, 2, 115–122. [Google Scholar] [CrossRef]
- Giudicianni, C.; Herrera, M.; di Nardo, A.; Adeyeye, K. Automatic Multiscale Approach for Water Networks Partitioning into Dynamic District Metered Areas. Water Resour. Manag. 2020, 34, 835–848. [Google Scholar] [CrossRef]
- Creaco, E.; Franchini, M. Low Level Hybrid Procedure for the Multi-Objective Design of Water Distribution Networks. Procedia Eng. 2014, 70, 369–378. [Google Scholar] [CrossRef][Green Version]
- Gomes, R.; Marques, A.S.A.; Sousa, J. District Metered Areas Design Under Different Decision Makers’ Options: Cost Analysis. Water Resour. Manag. 2013, 27, 4527–4543. [Google Scholar] [CrossRef]
- Di Nardo, A.; Di Natale, M.; Giudicianni, C.; Santonastaso, G.F.; Tzatchkov, V.; Rodriguez, M. Economic and Energy Criteria for District Meter Areas Design of Water Distribution Networks. Water 2017, 9, 463. [Google Scholar] [CrossRef]
- De Paola, F.; Fontana, N.; Galdiero, E.; Giugni, M.; Savic, D.; Sorgenti Degli Uberti, G. Automatic Multi-Objective Sectorization of a Water Distribution Network. Procedia Eng. 2014, 89, 1200–1207. [Google Scholar] [CrossRef]
- Hajebi, S.; Temate, S.; Barrett, S.; Clarke, A.; Clarke, S. Water Distribution Network Sectorisation Using Structural Graph Partitioning and Multi-Objective Optimization. Procedia Eng. 2014, 89, 1144–1151. [Google Scholar] [CrossRef]
- Zhang, K.; Yan, H.; Zeng, H.; Xin, K.; Tao, T. A Practical Multi-Objective Optimization Sectorization Method for Water Distribution Network. Sci. Total Environ. 2019, 656, 1401–1412. [Google Scholar] [CrossRef] [PubMed]
- Gilbert, D.; Abraham, E.; Montalvo, I.; Piller, O. Iterative Multistage Method for a Large Water Network Sectorization into DMAs under Multiple Design Objectives. J. Water Resour. Plan. Manag. 2017, 143, 04017067. [Google Scholar] [CrossRef]
- Montalvo, I.; Izquierdo, J.; Pérez-García, R.; Herrera, M. Water Distribution System Computer-Aided Design by Agent Swarm Optimization. Comput. Civ. Infrastruct. Eng. 2014, 29, 433–448. [Google Scholar] [CrossRef]
- Vasilic, Z.; Stanic, M.; Kapelan, Z.; Prodanovic, D.; Babic, B. Uniformity and Heuristics-Based DeNSE Method for Sectorization of Water Distribution Networks. J. Water Resour. Plan. Manag. 2020, 146, 04019079. [Google Scholar] [CrossRef]
- Vasilic, Z. Decision Support Algorithms for Sectorization of Water Distribution Networks. PhD Thesis, University of Belgrade, Belgrade, Serbia, 2018. [Google Scholar]
- Jungnickel, D. Graphs, Networks and Algorithms, 2nd ed.; Bronstein, M., Cohen, A., Cohen, H., Eisenbud, D., Sturmfels, B., Eds.; Springer: Berlin, Germany, 2005; ISBN 3-540-21905-6. [Google Scholar]
- Gabow, H.N. Path-Based Depth- Rst Search for Strong and Biconnected Components 1 Introduction 2 Strong Components. Inf. Process. Lett. 2000, 74, 107–114. [Google Scholar] [CrossRef]
- Perelman, L.; Ostfeld, A. Water-Distribution Systems Simplifications through Clustering. J. Water Resour. Plan. Manag. 2012, 138, 218–229. [Google Scholar] [CrossRef]
- Vasilić, Ž.; Stanić, M.; Prodanović, D.; Kapelan, Z. Network Sectorisation Through Aggregation of Strong Connected Components. In Proceedings of the 18th Conference on Water Distribution System Analysis, WDSA 2016, Cartagena, Columbia, 24–28 July 2016. [Google Scholar]
- Rossman, L.A. EPANET 2: Users Manual; National Risk Management Research Laboratory, U.S. Environmental Protection Agency: Cincinnati, OH, USA, 2000; Volume 38, 200p. [Google Scholar] [CrossRef]
- The MathWorks, Inc. MATLAB, Version 9.13.0 (R2022b); The MathWorks Inc.: Natick, MA, USA, 2022; Available online: https://www.mathworks.com (accessed on 2 May 2024).
- EPANET 2 Programmer’s Toolkit. Available online: https://www.epa.gov/water-research/epanet (accessed on 2 May 2024).
- Waternet. Design Criteria for Drinking Water Distribution Networks; Waternet: Amsterdam, The Netherlands, 2017. [Google Scholar]











| i | Type of Penalty | Description | Ci | Pi |
|---|---|---|---|---|
| 1 | Unfeasible solution | If there are negative pressures in the network or the hydraulic model cannot be solved | 107 EUR | Pi = 1 |
| 2 | Number of feed lines | DMA must have minimum number of feed lines defined according to the number of connections | 5 × 105 EUR | |
| 3 | Pressure below minimum allowed | If pressure in any node is below the minimum allowed, that solution is penalized proportional to the number of such nodes | 5 × 104 EUR | Pi = nj |
| 4 | Lowered pressures in the network | If average pressures in the network are lowered compared to the original network state, that solution is penalized proportional to that lowering of the pressure | 1 × 104 EUR/m | Pi = |
| Agg. Step | n_cl | n_c_links | u_net | u_v | w_agg | U | NL | NS |
|---|---|---|---|---|---|---|---|---|
| 6529 | 17 | 125 | 0.4649 | 0.9302 | 0.9735 | 0.4210 | 0 | 8 |
| 6530 | 16 | 124 | 0.4920 | 0.9383 | 0.9737 | 0.4495 | 0 | 7 |
| 6531 | 15 | 123 | 0.5224 | 0.9473 | 0.9738 | 0.4819 | 0 | 6 |
| 6532 | 14 | 122 | 0.5597 | 0.9519 | 0.9739 | 0.5189 | 0 | 5 |
| 6533 | 13 | 121 | 0.6028 | 0.9533 | 0.9740 | 0.5597 | 0 | 4 |
| 6534 | 12 | 120 | 0.6462 | 0.9654 | 0.9741 | 0.6077 | 0 | 3 |
| 6535 | 11 | 118 | 0.7037 | 0.9678 | 0.9743 | 0.6635 | 0 | 2 |
| 6536 | 10 | 117 | 0.7607 | 0.9820 | 0.9744 | 0.7278 | 0 | 1 |
| 6537 | 9 | 115 | 0.8039 | 0.9827 | 0.9746 | 0.7699 | 0 | 1 |
| 6538 | 8 | 114 | 0.8161 | 0.9827 | 0.9748 | 0.7818 | 0 | 1 |
| 6539 | 7 | 107 | 0.8065 | 0.9914 | 0.9755 | 0.7800 | 0 | 0 |
| 6540 | 6 | 97 | 0.6915 | 0.9673 | 0.9765 | 0.6532 | 1 | 0 |
| 6541 | 5 | 89 | 0.6670 | 0.8787 | 0.9772 | 0.5727 | 1 | 0 |
| 6542 | 4 | 85 | 0.5905 | 0.7875 | 0.9776 | 0.4546 | 1 | 0 |
| 6543 | 3 | 83 | 0.6035 | 0.5876 | 0.9778 | 0.3467 | 1 | 0 |
| Cost | p_av | Res | WA | NFM | NNV | NEV | ||
|---|---|---|---|---|---|---|---|---|
| (EUR) | (m) | (-) | (h) | (m) | (-) | (-) | (-) | |
| original network | / | 28.27 | 0.745 | 20.49 | 20.15 | / | / | / |
| SOL-1 | 165,870 | 27.98 | 0.727 | 22.09 | 19.39 | 37 | 16 | 54 |
| SOL-2 | 144,307 | 27.85 | 0.749 | 22.30 | 18.98 | 29 | 18 | 60 |
| SOL-3 | 153,757 | 27.96 | 0.735 | 22.13 | 19.49 | 33 | 17 | 57 |
| SOL-4 | 146,037 | 27.75 | 0.745 | 22.73 | 18.94 | 32 | 15 | 60 |
| SOL-5 | 189,193 | 27.99 | 0.740 | 21.97 | 20.14 | 42 | 20 | 45 |
| SOL-6 | 148,033 | 27.92 | 0.744 | 22.33 | 19.86 | 34 | 14 | 59 |
| SOL-7 | 161,167 | 27.89 | 0.729 | 22.27 | 18.90 | 38 | 14 | 55 |
| SOL-8 | 166,581 | 27.73 | 0.735 | 22.40 | 18.66 | 34 | 21 | 52 |
| SOL-9 | 145,196 | 27.94 | 0.750 | 22.38 | 19.48 | 32 | 17 | 58 |
| SOL-10 | 162,293 | 28.03 | 0.745 | 21.89 | 19.56 | 36 | 16 | 55 |
| Imp. Phase | DMA | NCONN | Q | L | NFEEDS | NFM | NNV | NEV | Cost | ||
|---|---|---|---|---|---|---|---|---|---|---|---|
| (-) | (-) | (-) | (L/s) | (km) | (m) | (m) | (-) | (-) | (-) | (-) | (EUR) |
| 1 | DMA 1 | 7922 | 25.85 | 54.16 | 27.95 | 27.55 | 4 | 4 | 0 | 9 | 14,444 |
| 2 | DMA 4 | 5322 | 17.33 | 29.24 | 28.05 | 27.76 | 3 | 5 | 2 | 9 | 18,496 |
| 3 | DMA 6 | 6486 | 21.14 | 45.52 | 29.04 | 28.48 | 3 | 5 | 5 | 11 | 21,766 |
| 4 | DMA 5 | 4647 | 15.11 | 24.92 | 28.58 | 28.28 | 3 | 3 | 5 | 11 | 20,941 |
| 5 | DMA 7 | 7400 | 24.13 | 55.19 | 28.22 | 27.39 | 3 | 3 | 8 | 17 | 16,252 |
| 6 | DMA 3 | 6140 | 20.03 | 49.74 | 27.78 | 27.46 | 5 | 6 | 3 | 10 | 23,078 |
| 7 | DMA 2 | 5835 | 19.00 | 31.89 | 28.24 | 28.04 | 6 | 9 | 4 | 11 | 29,330 |
| Σ | 144,307 |
Disclaimer/Publisher’s Note: The statements, opinions and data contained in all publications are solely those of the individual author(s) and contributor(s) and not of MDPI and/or the editor(s). MDPI and/or the editor(s) disclaim responsibility for any injury to people or property resulting from any ideas, methods, instructions or products referred to in the content. |
© 2024 by the authors. Licensee MDPI, Basel, Switzerland. This article is an open access article distributed under the terms and conditions of the Creative Commons Attribution (CC BY) license (https://creativecommons.org/licenses/by/4.0/).
Share and Cite
Vasilic, Z.; Babic, B.; Ivetic, D.; Kapelan, Z.; Stanic, M. An Improved DeNSE Methodology for Optimal Sectorization of Water Distribution Networks. Water 2024, 16, 1463. https://doi.org/10.3390/w16111463
Vasilic Z, Babic B, Ivetic D, Kapelan Z, Stanic M. An Improved DeNSE Methodology for Optimal Sectorization of Water Distribution Networks. Water. 2024; 16(11):1463. https://doi.org/10.3390/w16111463
Chicago/Turabian StyleVasilic, Zeljko, Branislav Babic, Damjan Ivetic, Zoran Kapelan, and Milos Stanic. 2024. "An Improved DeNSE Methodology for Optimal Sectorization of Water Distribution Networks" Water 16, no. 11: 1463. https://doi.org/10.3390/w16111463
APA StyleVasilic, Z., Babic, B., Ivetic, D., Kapelan, Z., & Stanic, M. (2024). An Improved DeNSE Methodology for Optimal Sectorization of Water Distribution Networks. Water, 16(11), 1463. https://doi.org/10.3390/w16111463

