Groundwater Responses of Foundation Subjected to Water Level Fluctuation of Reservoir Considering Variability of Layered Structure
Abstract
1. Introduction
2. Methodology
2.1. Basic Equations
2.2. Numerical Experiments
3. Results and Discussion
3.1. Deterministic Analysis of Layered Foundation
3.2. Probabilistic Analysis of Layered Foundation
3.2.1. Probabilistically Description of Layered Structure
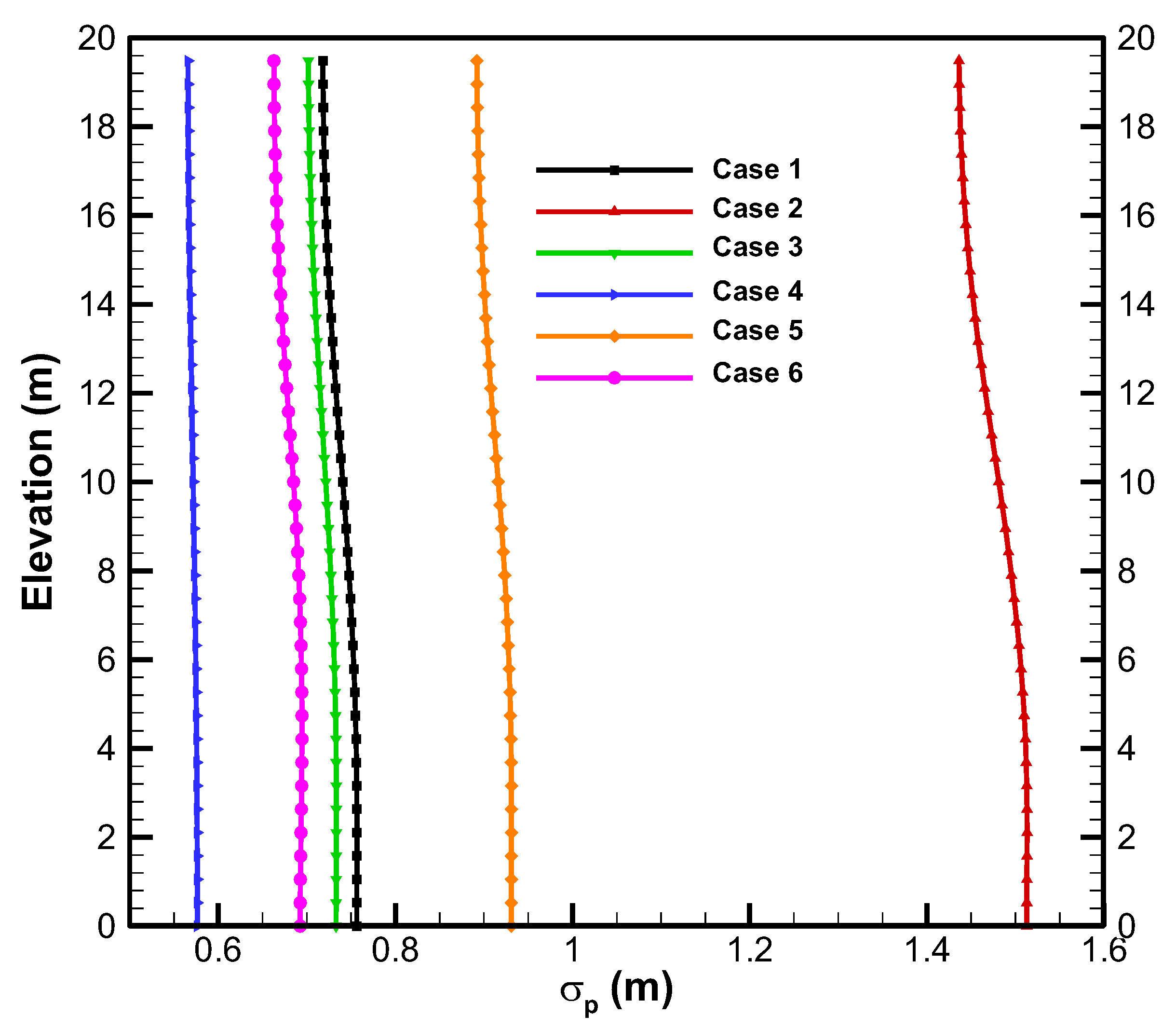
3.2.2. Uncertainty Analysis of Layered Foundation
3.2.3. Cross-Correlation Analysis
4. Conclusions
Author Contributions
Funding
Data Availability Statement
Conflicts of Interest
References
- Alencar, A.; Galindo, R.; Melentijevic, S. Influence of the Groundwater Level on the Bearing Capacity of Shallow Foundations on the Rock Mass. Bull. Eng. Geol. Environ. 2021, 80, 6769–6779. [Google Scholar] [CrossRef]
- Ausilio, E.; Conte, E. Influence of Groundwater on the Bearing Capacity of Shallow Foundations. Can. Geotech. J. 2005, 42, 663–672. [Google Scholar] [CrossRef]
- Chen, W.; Xia, W.; Zhang, S.; Wang, E. Study on the Influence of Groundwater Variation on the Bearing Capacity of Sandy Shallow Foundation. Appl. Sci. 2023, 13, 473. [Google Scholar] [CrossRef]
- Chen, J.; Huang, Y.; Yang, Y.; Wang, J. Evaluation of the Influence of Jiangxiang Reservoir Immersion on Corp and Residential Areas. Geofluids 2018, 2018, 9720970. [Google Scholar] [CrossRef]
- Ahmed, A.A. Stochastic Analysis of Free Surface Flow through Earth Dams. Comput. Geotech. 2009, 36, 1186–1190. [Google Scholar] [CrossRef]
- Cho, S.E. Probabilistic Analysis of Seepage That Considers the Spatial Variability of Permeability for an Embankment on Soil Foundation. Eng. Geol. 2012, 133–134, 30–39. [Google Scholar] [CrossRef]
- Rulon, J.J.; Freeze, R.A. Multiple Seepage Faces on Layered Slopes and Their Implications for Slope-Stability Analysis. Can. Geotech. J. 1985, 22, 347–356. [Google Scholar] [CrossRef]
- Ng, C.W.W.; Wang, B.; Tung, Y.K. Three-Dimensional Numerical Investigations of Groundwater Responses in an Unsaturated Slope Subjected to Various Rainfall Patterns. Can. Geotech. J. 2001, 38, 1049–1062. [Google Scholar] [CrossRef]
- Srivastava, A.; Babu, G.L.L.S.; Haldar, S. Influence of Spatial Variability of Permeability Property on Steady State Seepage Flow and Slope Stability Analysis. Eng. Geol. 2010, 110, 93–101. [Google Scholar] [CrossRef]
- Santoso, A.M.; Phoon, K.-K.; Quek, S.-T. Effects of Soil Spatial Variability on Rainfall-Induced Landslides. Comput. Struct. 2011, 89, 893–900. [Google Scholar] [CrossRef]
- Griffiths, D.V.; Fenton, G.A.; Manoharan, N. Undrained Bearing Capacity of Two-Strip Footings on Spatially Random Soil. Int. J. Geomech. 2006, 6, 421–427. [Google Scholar] [CrossRef]
- Griffiths, D.V.; Fenton, G.A.; Manoharan, N. Bearing Capacity of Rough Rigid Strip Footing on Cohesive Soil: Probabilistic Study. J. Geotech. Geoenviron. Eng. 2002, 128, 743–755. [Google Scholar] [CrossRef]
- Li, J.; Tian, Y.; Cassidy, M.J. Failure Mechanism and Bearing Capacity of Footings Buried at Various Depths in Spatially Random Soil. J. Geotech. Geoenviron. Eng. 2015, 141, 04014099. [Google Scholar] [CrossRef]
- Fenton, G.A.; Griffiths, D.V. Bearing Capacity of Spatially Random Soils. In Proceedings of the 8th ASCE Joint Specialty Conference on Probabilistic Mechanics and Structural Reliability, Notre Dame, IN, USA, 24–26 July 2000; University of Notre Dame: Notre Dame, IN, USA, 2000; Volume 40, pp. 1–6. [Google Scholar]
- Griffiths, D.V.; Fenton, G.A. Bearing Capacity of Spatially Random Soil: The Undrained Clay Prandtl Problem Revisited. Géotechnique 2001, 51, 351–359. [Google Scholar] [CrossRef][Green Version]
- Mualem, Y. A new model for predicting the hydraulic conductivity of unsaturated porous media. Water Resour. Res. 1976, 12, 513–522. [Google Scholar] [CrossRef]
- Van Genuchten, M.T. A closed-form equation for predicting the hydraulic con-ductivity of unsaturated soils. Soil Sci. Soc. Am. J. 1980, 44, 892. [Google Scholar] [CrossRef]
- Yeh, T.J.; Srivastava, R.; Guzman, A.; Harter, T. A Numerical Model for Water Flow and Chemical Transport in Variably Saturated Porous Media. Ground Water 1993, 31, 634–644. [Google Scholar] [CrossRef]
- Tang, R.-X.; Cai, J.-S.; Yeh, T.-C.J. Two-Dimensional Probabilistic Infiltration Analysis in a Hillslope Using First-Order Moment Approach. Groundwater 2019, 57, 226–237. [Google Scholar] [CrossRef]
- Khaleel, R.; Freeman, E.J. Variability and Scaling of Hydraulic Properties for 200 Area Soils, Hanford Site; Rep. WHC-EP-0883; Westinghouse Hanford Co.: Richland, WA, USA, 1995. [Google Scholar]
- Yeh, T.-C.; Khaleel, R.; Carroll, K.C. Flow through Heterogeneous Geologic Media; Cambridge University Press: New York, NY, USA, 2015; ISBN 9781107076136. [Google Scholar]
- Huang, S.P. Simulation of Random Processes Using Karhunen-Loeve Expansion. Doctoral Dissertation, National University of Singapore, Singapore, 2001. [Google Scholar]
- Cho, S.E. Probabilistic Stability Analysis of Rainfall-Induced Landslides Considering Spatial Variability of Permeability. Eng. Geol. 2014, 171, 11–20. [Google Scholar] [CrossRef]
- Ali, A.; Huang, J.; Lyamin, A.V.; Sloan, S.W.; Griffiths, D.V.; Cassidy, M.J.; Li, J.H. Simplified Quantitative Risk Assessment of Rainfall-Induced Landslides Modelled by Infinite Slopes. Eng. Geol. 2014, 179, 102–116. [Google Scholar] [CrossRef]
- Jiang, S.-H.; Li, D.-Q.; Cao, Z.-J.; Zhou, C.-B.; Phoon, K.-K. Efficient System Reliability Analysis of Slope Stability in Spatially Variable Soils Using Monte Carlo Simulation. J. Geotech. Geoenviron. Eng. 2015, 141, 04014096. [Google Scholar] [CrossRef]
- Huang, J.; Griffiths, D.V. Determining an Appropriate Finite Element Size for Modelling the Strength of Undrained Random Soils. Comput. Geotech. 2015, 69, 506–513. [Google Scholar] [CrossRef]
- Cai, J.-S.; Yeh, T.J.; Yan, E.-C.; Hao, Y.-H.; Huang, S.; Wen, J.-C. Uncertainty of Rainfall-Induced Landslides Considering Spatial Variability of Parameters. Comput. Geotech. 2017, 87, 149–162. [Google Scholar] [CrossRef]
- Ghanem, R.G.; Spanos, P.D. Stochastic Finite Elements: A Spectral Approach; Springer: New York, NY, USA, 1991; ISBN 978-1-4612-3094-6. [Google Scholar]
- Cai, J.-S.; Yeh, T.-C.J.; Yan, E.-C.; Tang, R.-X.; Wen, J.-C.; Huang, S.-Y. An Adaptive Sampling Approach to Reduce Uncertainty in Slope Stability Analysis. Landslides 2018, 15, 1193–1204. [Google Scholar] [CrossRef]
- Cai, J.-S.; Yan, E.-C.; Yeh, T.J.; Zha, Y.-Y. Sampling Schemes for Hillslope Hydrologic Processes and Stability Analysis Based on Cross-Correlation Analysis. Hydrol. Process. 2017, 31, 1301–1313. [Google Scholar] [CrossRef]
- Yeh, T.J.; Gelhar, L.W.; Gutjahr, A.L. Stochastic Analysis of Unsaturated Flow in Heterogeneous Soils: 1. Statistically Isotropic Media. Water Resour. Res. 1985, 21, 447–456. [Google Scholar] [CrossRef]














| Parameters | Values |
|---|---|
| Mean of , | 1 m/d |
| Specific storage, | 0.001 m−1 |
| Coefficient in MVG model, | 0.001m−1 |
| Exponent in MVG model, | 0.1 |
| Residual volumetric water content, | 0.01 |
| Saturated volumetric water content, | 0.4 |
| Case No. | ||||
|---|---|---|---|---|
| 1 | 1 | 50 | 2 | 0.5 |
| 2 | 4 | 50 | 2 | 0.5 |
| 3 | 1 | 25 | 2 | 0.5 |
| 4 | 1 | 5 | 2 | 0.5 |
| 5 | 1 | 50 | 4 | 0.5 |
| 6 | 1 | 50 | 2 | 0.3 |
Disclaimer/Publisher’s Note: The statements, opinions and data contained in all publications are solely those of the individual author(s) and contributor(s) and not of MDPI and/or the editor(s). MDPI and/or the editor(s) disclaim responsibility for any injury to people or property resulting from any ideas, methods, instructions or products referred to in the content. |
© 2023 by the authors. Licensee MDPI, Basel, Switzerland. This article is an open access article distributed under the terms and conditions of the Creative Commons Attribution (CC BY) license (https://creativecommons.org/licenses/by/4.0/).
Share and Cite
Tang, R.; Wen, T.; Bao, Z.; Wang, Y.; Hu, M. Groundwater Responses of Foundation Subjected to Water Level Fluctuation of Reservoir Considering Variability of Layered Structure. Water 2024, 16, 81. https://doi.org/10.3390/w16010081
Tang R, Wen T, Bao Z, Wang Y, Hu M. Groundwater Responses of Foundation Subjected to Water Level Fluctuation of Reservoir Considering Variability of Layered Structure. Water. 2024; 16(1):81. https://doi.org/10.3390/w16010081
Chicago/Turabian StyleTang, Ruixuan, Tao Wen, Zhenyan Bao, Yankun Wang, and Mingyi Hu. 2024. "Groundwater Responses of Foundation Subjected to Water Level Fluctuation of Reservoir Considering Variability of Layered Structure" Water 16, no. 1: 81. https://doi.org/10.3390/w16010081
APA StyleTang, R., Wen, T., Bao, Z., Wang, Y., & Hu, M. (2024). Groundwater Responses of Foundation Subjected to Water Level Fluctuation of Reservoir Considering Variability of Layered Structure. Water, 16(1), 81. https://doi.org/10.3390/w16010081
