Advanced Oxidation Processes for Degradation of Water Pollutants—Ambivalent Impact of Carbonate Species: A Review
Abstract
1. Introduction
2. Carbonate Ions in Water Matrices
3. Carbonate Ions in AOPs
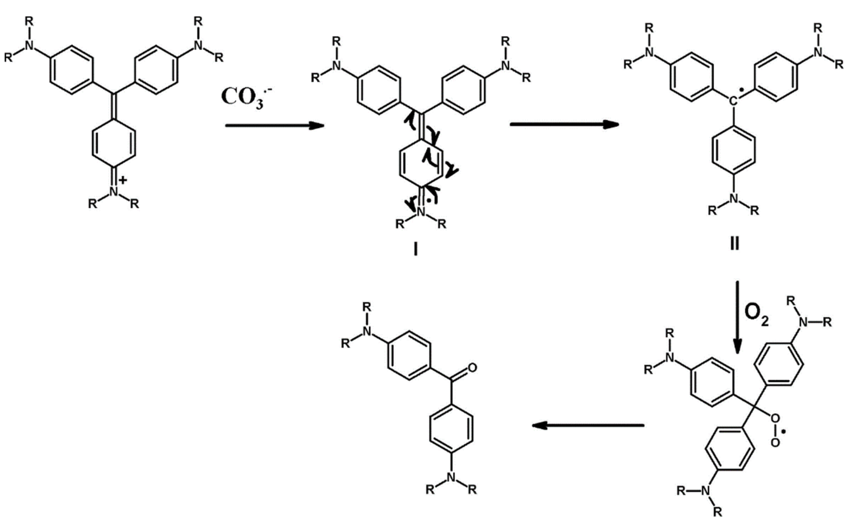
4. Enhancement of Degradation Efficiency by Carbonate Radical
| AOPs | Pollutant | Experimental Conditions | Positive Effect | Ref. |
|---|---|---|---|---|
| Sonolysis | ||||
| Sonolysis | Triphenyl methane dyes (TPM) | [C]0 = 10 ppm, [CO32−] = 10–100 ppm, Freq = 350 kHz, applied input power 60 W | The degradation of ethyl violet and Coomassie brilliant blue was decreased and that of pararosaniline was increased. | [62] |
| Sonolysis | Bisphenol A (BPA) | [C]0 = 0.12 μM; Freq = 300 kHz; Power; 80 W; pH 8.3; [HCO3−] = 500 mgL−1 T = 21 °C | 60% degradation in 5 min without HCO3− and increased to 98% with HCO3− | [63] |
| Sonolysis | Rhodamine B (RhB) | [C]0 = 0.5 mg L−1; [HCO3−] = 3 g L−1; temperature: 25 °C; pH: 8.3; frequency: 300 kHz; power: 60 W. | Degradation efficiency increased from 60% to 99% in 20 min with HCO3− addition. | [64] |
| Sonolysis | Naphthol blue black (NBB) | [C]0 = 8.1 μM Frequency: 278 kHz, Power: 100 W, Volume: 400 mL, Temperature: 20 ± 1 °C, NaHCO3: 2.97 mM. | The degradation of NBB is not affected even in the presence of nonyl phenol by carbonate addition | [65] |
| UV/Oxidants | ||||
| UV/H2O2 UV/PS UV/NH2Cl UV/Cl2 | Naproxen (NPX) | [C]0 = 5 µM, [Oxidant]0 = 50 µM, [HCO3−]0 = 50 mM. | The production of CO3●− was more and hence the degradation in UV/NH2Cl | [61] |
| UV/H2O2 | Oxcarbazepine (OXC) | [C]0 = 10 μM, [H2O2]0 = 500 μM, [HCO3−]0 = 10 mM, pH = 8.0, | Three times increase in the degradation rate. | [66] |
| UV/H2O2 UV/PS | Oxytetracycline (OTC) | [C]0 = 10 μM, [H2O2]0 = PS = 1 mM, [CO32−] = 2 mM | Increased the degradation in both oxidation systems | [67] |
| Activated PS (peroxydisulfate (PDS) and peroxymonosulfate (PMS)) | ||||
| Heat activated PS | SMX | [C]0 = 30 μM, [PDS]0 = 2 mM, [HCO3−]0 = 0–20 mM, T = 50 °C, | Degradation increased from 50% to 99% with HCO3− ions | [68] |
| Heat activated PS | SMZ | [C]0 = 30 μM, [PDS]0 = 2.0 mM, [HCO3−]0 = 50 mM, T = 50 °C, | Complete degradation within 120 min | [69] |
| Ce(III)/PMS | Naphthalene derivatives | [C]0 = [Ce(Ⅲ)]0 = 5.0 mmol L−1, [PMS]0 = 5.0 mmol L−1; [HCO3−]0 = 500 mg L−1, | Positive effect was reported for napthalene, methyl and nitro derivatives. | [70] |
| CuFe2O4/PMS | BPA | [C]0 = 50 mg L−1; [PMS]0 = 0.5 mM; [CuFe2O4] = 0.5 g L−1, [HCO3−]0 = 0.1 M | 99% dégradation within 15 min. | [71] |
| CuS/PMS | 4-methyl Phenols (4-MP) | [C]0 = 0.08 mmol/L, [PMS]0 = 0.2 g/L, [CuS] = 0.15 g/L, [CO32−]0 = 2 mmol/L | 80% of 4-MP was degraded with CuS/PMS in 5 min. Complete degradation within 2 min in the presence of carbonate ions. | [72] |
| Photocatalysis | ||||
| CuOx/BiVO4 | BPA | [C]0 = 210 μg/L; 0.75 Cu/BVO, [HCO3−]0 = 500 mg/L | 10 times increase in the degradation rate was observed with the bicarbonate addition. | [73] |
| UV/TiO2 | Aniline | [C]0 = 5 × 10−3 mol dm−3, [TiO2] = 0.86 g/L, [Na2CO3]0 = 0.1 M | Lower concentration (0.11 M) increased the degradation rate. | [74] |
| UV/TiO2 | Cylindrospermopsin (CYN) | [C]0 = 10 µM, [TiO2] = 0.25 g/L, [Na2CO3]0 = 1.5 mM | Not affected the degradation but decreased the by-product formation. | [58] |
| EAOPs | ||||
| BDD anode/SS cathode | naphthenic acids (NAs) | Oil sands process water (OSPW), Current density, 30 mA cm−2 | 100% COD removal in 2 h. | [75] |
| PbO2/SS/Graphite cathode | Methyl Orange | [C]0 = 50 mgL−1, Current density = 2.87 mA cm−2, [NaCl] = 1 g L−1 [Na2CO3]0 = 300 mgL−1 | Degradation rate increased from 0.0126 min−1 to 0.0141 min−1 | [76] |
| Ti/SnO2-Sb/Ce-PbO2/SS cathode | Lamivudine | [C]0 = 5 mgL−1, Current density = 10 mA cm−2, [Na2SO4] = 20 mM [Na2CO3]0 = 50 mM | Degradation rate increased from 1.34 min−1 to 14.53 min−1 | [77] |
| Carbon fiber anode/graphite cathode | Phenol | [C]0 = 0.1 mM, Current density = 0.06 mA cm−2, [NaHO3]0 = 50 mM | Complete degradation within 2 h. | [78] |
| Oxidant activation by carbonate species | ||||
| PMS/CO32− | BPA | [C]0 = 0.05 mM, [CO32−]0 = 5 mM, and [PMS]0 = 1 mM. | Complete degradation was observed within 40 min. The degradation rate increased from 0.02 min−1 to 0.12 min−1 with increase in pH from 3 to 11. | [79] |
| HCO3−/PS | Acetaminophen | [C]0 = 10 μM; [HCO3−]0 = 25 mM, [PS]0 = 10 mM, pH 8.3. | 75% degradation after 7 h. | [80] |
| CO32−/H2O2 | Acid orange 7 | [C]0 = 0.2 mM, [CO32−]0 = 10 mM, [H2O2]0 = 5 mM | 90% degradation in 6 h. | [81] |
| CO32−/PMS | SMX | [C]0 = 10 mg/L, [PMS]0 = 1 mM, [CO32−]0 = 5 mM | Complete degradation within 3 h. | [82] |
| CO32−/PMS | Acid orange 7 | [C]0 = 0.05 mM, [PMS]0 = 1 mM, [CO32−]0 = 5 mM | The rate of degradation increased from 0.0006 to 0.1342 min−1 with an increase in CO32− to 5 mM. | [83] |
5. UV Coupled with Oxidants
6. Activated Persulfate (PS)
7. Cavitation Process
8. Photocatalysis
9. Electrochemical Advanced Oxidation Processes (EAOPs)
10. Activation of Oxidants by Carbonate Species
11. Inhibitory Effect of Carbonate Ions
12. Conclusions and Future Recommendations
13. Methodology
Author Contributions
Funding
Data Availability Statement
Conflicts of Interest
References
- Petrie, B.; Barden, R.; Kasprzyk-Hordern, B. A review on emerging contaminants in wastewaters and the environment: Current knowledge, understudied areas and recommendations for future monitoring. Water Res. 2015, 72, 3–27. [Google Scholar] [CrossRef] [PubMed]
- Philip, J.M.; Aravind, U.K.; Aravindakumar, C.T. Emerging contaminants in Indian environmental matrices—A review. Chemosphere 2018, 190, 307–326. [Google Scholar] [CrossRef] [PubMed]
- La Farré, M.; Pérez, S.; Kantiani, L.; Barceló, D. Fate and toxicity of emerging pollutants, their metabolites and transformation products in the aquatic environment. TrAC Trends Anal. Chem. 2008, 27, 991–1007. [Google Scholar] [CrossRef]
- Edelstein, M.; Ben-Hur, M. Heavy metals and metalloids: Sources, risks and strategies to reduce their accumulation in horticultural crops. Sci. Hortic. 2018, 234, 431–444. [Google Scholar] [CrossRef]
- Chowdhury, P.; Viraraghavan, T. Sonochemical degradation of chlorinated organic compounds, phenolic compounds and organic dyes—A review. Sci. Total. Environ. 2009, 407, 2474–2492. [Google Scholar] [CrossRef]
- Chow, R.; Scheidegger, R.; Doppler, T.; Dietzel, A.; Fenicia, F.; Stamm, C. A review of long-term pesticide monitoring studies to assess surface water quality trends. Water Res. X 2020, 9, 100064. [Google Scholar] [CrossRef]
- Fernandes, A.; Gągol, M.; Makoś, P.; Khan, J.A.; Boczkaj, G. Integrated photocatalytic advanced oxidation system (TiO2/UV/O3/H2O2) for degradation of volatile organic compounds. Sep. Purif. Technol. 2019, 224, 1–14. [Google Scholar] [CrossRef]
- El-Shahawi, M.; Hamza, A.; Bashammakh, A.; Al-Saggaf, W. An overview on the accumulation, distribution, transformations, toxicity and analytical methods for the monitoring of persistent organic pollutants. Talanta 2010, 80, 1587–1597. [Google Scholar] [CrossRef]
- Lipczynska-Kochany, E. Humic substances, their microbial interactions and effects on biological transformations of organic pollutants in water and soil: A review. Chemosphere 2018, 202, 420–437. [Google Scholar] [CrossRef]
- Barber, L.B.; Keefe, S.H.; Brown, G.K.; Furlong, E.T.; Gray, J.L.; Kolpin, D.W.; Meyer, M.T.; Sandstrom, M.W.; Zaugg, S.D. Persistence and Potential Effects of Complex Organic Contaminant Mixtures in Wastewater-Impacted Streams. Environ. Sci. Technol. 2013, 47, 2177–2188. [Google Scholar] [CrossRef]
- Rayaroth, M.P.; Marchel, M.; Boczkaj, G. Advanced oxidation processes for the removal of mono and polycyclic aromatic hydrocarbons—A review. Sci. Total. Environ. 2023, 857, 159043. [Google Scholar] [CrossRef] [PubMed]
- Wang, J.L.; Xu, L.J. Advanced Oxidation Processes for Wastewater Treatment: Formation of Hydroxyl Radical and Application. Crit. Rev. Environ. Sci. Technol. 2012, 42, 251–325. [Google Scholar] [CrossRef]
- Pignatello, J.J.; Oliveros, E.; Mackay, A. Advanced Oxidation Processes for Organic Contaminant Destruction Based on the Fenton Reaction and Related Chemistry. Crit. Rev. Environ. Sci. Technol. 2006, 36, 1–84. [Google Scholar] [CrossRef]
- Boczkaj, G.; Fernandes, A. Wastewater treatment by means of advanced oxidation processes at basic pH conditions: A review. Chem. Eng. J. 2017, 320, 608–633. [Google Scholar] [CrossRef]
- Fernandes, A.; Makoś, P.; Khan, J.A.; Boczkaj, G. Pilot scale degradation study of 16 selected volatile organic compounds by hydroxyl and sulfate radical based advanced oxidation processes. J. Clean. Prod. 2019, 208, 54–64. [Google Scholar] [CrossRef]
- Rayaroth, M.P.; Aravindakumar, C.T.; Shah, N.S.; Boczkaj, G. Advanced oxidation processes (AOPs) based wastewater treatment-unexpected nitration side reactions—A serious environmental issue: A review. Chem. Eng. J. 2022, 430, 133002. [Google Scholar] [CrossRef]
- Domingues, E.; Silva, M.J.; Vaz, T.; Gomes, J.; Martins, R.C. Sulfate radical based advanced oxidation processes for agro-industrial effluents treatment: A comparative review with Fenton’s peroxidation. Sci. Total. Environ. 2022, 832, 155029. [Google Scholar] [CrossRef]
- Duan, X.; Yang, S.; Wacławek, S.; Fang, G.; Xiao, R.; Dionysiou, D.D. Limitations and prospects of sulfate-radical based advanced oxidation processes. J. Environ. Chem. Eng. 2020, 8, 103849. [Google Scholar] [CrossRef]
- Rayaroth, M.P.; Prasanthkumar, K.P.; Kang, Y.-G.; Lee, C.-S.; Chang, Y.-S. Degradation of carbamazepine by singlet oxygen from sulfidized nanoscale zero-valent iron–citric acid system. Chem. Eng. J. 2020, 382, 122828. [Google Scholar] [CrossRef]
- Stefan, M.I. (Ed.) Advanced Oxidation Processes for Water Treatment: Fundamentals and Applications; IWA Publishing: London, UK, 2017. [Google Scholar] [CrossRef]
- Yang, Y.; Pignatello, J.J.; Ma, J.; Mitch, W.A. Comparison of Halide Impacts on the Efficiency of Contaminant Degradation by Sulfate and Hydroxyl Radical-Based Advanced Oxidation Processes (AOPs). Environ. Sci. Technol. 2014, 48, 2344–2351. [Google Scholar] [CrossRef]
- Tufail, A.; Price, W.E.; Hai, F.I. A critical review on advanced oxidation processes for the removal of trace organic contaminants: A voyage from individual to integrated processes. Chemosphere 2020, 260, 127460. [Google Scholar] [CrossRef] [PubMed]
- Ribeiro, A.R.L.; Moreira, N.F.; Puma, G.L.; Silva, A.M. Impact of water matrix on the removal of micropollutants by advanced oxidation technologies. Chem. Eng. J. 2019, 363, 155–173. [Google Scholar] [CrossRef]
- Wang, J.; Wang, S. Effect of inorganic anions on the performance of advanced oxidation processes for degradation of organic contaminants. Chem. Eng. J. 2021, 411, 128392. [Google Scholar] [CrossRef]
- Zhan, N.; Huang, Y.; Rao, Z.; Zhao, X.-L. Fast Detection of Carbonate and Bicarbonate in Groundwater and Lake Water by Coupled Ion Selective Electrode. Chin. J. Anal. Chem. 2016, 44, 355–360. [Google Scholar] [CrossRef]
- Desmarais, K.; Rojstaczer, S. Inferring source waters from measurements of carbonate spring response to storms. J. Hydrol. 2002, 260, 118–134. [Google Scholar] [CrossRef]
- Sappa, G.; Ergul, S.; Ferranti, F. Water quality assessment of carbonate aquifers in southern Latium region, Central Italy: A case study for irrigation and drinking purposes. Appl. Water Sci. 2014, 4, 115–128. [Google Scholar] [CrossRef]
- Kumar, A.; Kumar Tripathi, V.; Sachan, P.; Rakshit, A.; Singh, R.M.; Shukla, S.K.; Pandey, R.; Vishwakarma, A.; Panda, K.C. Chapter 10—Sources of ions in the river ecosystem. In Ecological Significance of River Ecosystems; Madhav, S., Kanhaiya, S., Srivastav, A., Singh, V., Singh, P., Eds.; Elsevier: Amsterdam, The Netherlands, 2022; pp. 187–202. [Google Scholar] [CrossRef]
- Sharma, S.; Bhattacharya, A. Drinking water contamination and treatment techniques. Appl. Water Sci. 2017, 7, 1043–1067. [Google Scholar] [CrossRef]
- Morse, J.W.; Arvidson, R.S. The dissolution kinetics of major sedimentary carbonate minerals. Earth Sci. Rev. 2002, 58, 51–84. [Google Scholar] [CrossRef]
- Connor, R. The United Nations World Water Development Report 2015: Water for a Sustainable World; UNESCO Publishing: Paris, France, 2015. [Google Scholar]
- Alghobar, M.A.; Suresha, S. Evaluation of Nutrients and Trace Metals and Their Enrichment Factors in Soil and Sugarcane Crop Irrigated with Wastewater. J. Geosci. Environ. Prot. 2015, 3, 46–56. [Google Scholar] [CrossRef]
- Kim, J.H.; Jobbágy, E.G.; Richter, D.D.; Trumbore, S.E.; Jackson, R.B. Agricultural acceleration of soil carbonate weathering. Glob. Chang. Biol. 2020, 26, 5988–6002. [Google Scholar] [CrossRef]
- Schlesinger, W.H. An evaluation of abiotic carbon sinks in deserts. Glob. Chang. Biol. 2017, 23, 25–27. [Google Scholar] [CrossRef] [PubMed]
- Wang, C.; Li, W.; Yang, Z.; Chen, Y.; Shao, W.; Ji, J. An invisible soil acidification: Critical role of soil carbonate and its impact on heavy metal bioavailability. Sci. Rep. 2015, 5, 12735. [Google Scholar] [CrossRef] [PubMed]
- Boyjoo, Y.; Pareek, V.K.; Liu, J. Synthesis of micro and nano-sized calcium carbonate particles and their applications. J. Mater. Chem. A 2014, 2, 14270–14288. [Google Scholar] [CrossRef]
- Daschakraborty, S.; Kiefer, P.M.; Miller, Y.; Motro, Y.; Pines, D.; Pines, E.; Hynes, J.T. Reaction Mechanism for Direct Proton Transfer from Carbonic Acid to a Strong Base in Aqueous Solution I: Acid and Base Coordinate and Charge Dynamics. J. Phys. Chem. B 2016, 120, 2271–2280. [Google Scholar] [CrossRef]
- Zhang, D.; Xue, Y.; Zheng, X.; Zhang, C.; Li, Y. Multi-heterointerfaces for selective and efficient urea production. Natl. Sci. Rev. 2023, 10, nwac209. [Google Scholar] [CrossRef]
- Liu, Q.; Wu, L.; Jackstell, R.; Beller, M. Using carbon dioxide as a building block in organic synthesis. Nat. Commun. 2015, 6, 5933. [Google Scholar] [CrossRef]
- Saulat, H.; Cao, M.; Khan, M.M.; Khan, M.; Rehman, A. Preparation and applications of calcium carbonate whisker with a special focus on construction materials. Constr. Build. Mater. 2020, 236, 117613. [Google Scholar] [CrossRef]
- Betancourt, D.; Martirena, F.; Day, R.; Diaz, Y. The influence of the addition of calcium carbonate on the energy efficiency of fired clay bricks manufacture. Rev. Ing. Constr. 2007, 22, 187–196. [Google Scholar]
- Ali, M.; Abdullah, M.S.; Saad, S.A. Effect of Calcium Carbonate Replacement on Workability and Mechanical Strength of Portland Cement Concrete. Adv. Mater. Res. 2015, 1115, 137–141. [Google Scholar] [CrossRef]
- Niu, Y.-Q.; Liu, J.-H.; Aymonier, C.; Fermani, S.; Kralj, D.; Falini, G.; Zhou, C.-H. Calcium carbonate: Controlled synthesis, surface functionalization, and nanostructured materials. Chem. Soc. Rev. 2022, 51, 7883–7943. [Google Scholar] [CrossRef]
- Fu, J.; Leo, C.P.; Show, P.L. Recent advances in the synthesis and applications of pH-responsive CaCO3. Biochem. Eng. J. 2022, 187, 108446. [Google Scholar] [CrossRef]
- Tahmassebi, J.; Duggal, M.; Malik-Kotru, G.; Curzon, M. Soft drinks and dental health: A review of the current literature. J. Dent. 2006, 34, 2–11. [Google Scholar] [CrossRef] [PubMed]
- Ramalingam, S.; Jonnalagadda, R.R. Tailoring Nanostructured Dyes for Auxiliary Free Sustainable Leather Dyeing Application. ACS Sustain. Chem. Eng. 2017, 5, 5537–5549. [Google Scholar] [CrossRef]
- Chang, C.-Y.; Wu, P.-H.; Hsiao, C.-T.; Chang, C.-P.; Chen, Y.-C.; Wu, K.-H. Sodium bicarbonate administration during in-hospital pediatric cardiac arrest: A systematic review and meta-analysis. Resuscitation 2021, 162, 188–197. [Google Scholar] [CrossRef]
- Fahmi, A.; Ahmadi, R.; Memar, M.Y.; Hemmati, S.; Babakhani, S.; Samadi-Kafil, H.; Katebi, H.; Haghighatara, S. A novel microbial-assisted method for sodium bicarbonate production—Cleaner production, safe and facile synthesis. Process. Saf. Environ. Prot. 2022, 163, 694–702. [Google Scholar] [CrossRef]
- Mikhaylin, S.; Bazinet, L. Fouling on ion-exchange membranes: Classification, characterization and strategies of prevention and control. Adv. Colloid Interface Sci. 2016, 229, 34–56. [Google Scholar] [CrossRef]
- Epedersen, O.; Colmer, T.D.; Esand-Jensen, K. Underwater Photosynthesis of Submerged Plants—Recent Advances and Methods. Front. Plant Sci. 2013, 4, 140. [Google Scholar] [CrossRef]
- Buxton, G.V.; Elliot, A.J. Rate constant for reaction of hydroxyl radicals with bicarbonate ions. Int. J. Radiat. Appl. Instrum. Part C. Radiat. Phys. Chem. 1986, 27, 241–243. [Google Scholar] [CrossRef]
- Huie, R.E.; Clifton, C.L. Temperature dependence of the rate constants for reactions of the sulfate radical, SO4-, with anions. J. Phys. Chem. 1990, 94, 8561–8567. [Google Scholar] [CrossRef]
- Mertens, R.; von Sonntag, C. Photolysis (λ = 354 nm of tetrachloroethene in aqueous solutions. J. Photochem. Photobiol. A Chem. 1995, 85, 1–9. [Google Scholar] [CrossRef]
- Neta, P.; Huie, R.E.; Ross, A.B. Rate Constants for Reactions of Inorganic Radicals in Aqueous Solution. J. Phys. Chem. Ref. Data 1988, 17, 1027–1284. [Google Scholar] [CrossRef]
- Burg, A.; Shamir, D.; Shusterman, I.; Kornweitz, H.; Meyerstein, D. The role of carbonate as a catalyst of Fenton-like reactions in AOP processes: CO3˙− as the active intermediate. Chem. Commun. 2014, 50, 13096–13099. [Google Scholar] [CrossRef] [PubMed]
- Moore, J.; Phillips, G.; Sosnowski, A. Reaction of the Carbonate Radical Anion with Substituted Phenols. Int. J. Radiat. Biol. Relat. Stud. Phys. Chem. Med. 1977, 31, 603–605. [Google Scholar] [CrossRef]
- Wols, B.; Harmsen, D.; Wanders-Dijk, J.; Beerendonk, E.; Hofman-Caris, C. Degradation of pharmaceuticals in UV (LP)/H2O2 reactors simulated by means of kinetic modeling and computational fluid dynamics (CFD). Water Res. 2015, 75, 11–24. [Google Scholar] [CrossRef] [PubMed]
- Zhang, G.; He, X.; Nadagouda, M.N.; O’Shea, K.E.; Dionysiou, D.D. The effect of basic pH and carbonate ion on the mechanism of photocatalytic destruction of cylindrospermopsin. Water Res. 2015, 73, 353–361. [Google Scholar] [CrossRef]
- Kumar, R.; Qureshi, M.; Vishwakarma, D.K.; Al-Ansari, N.; Kuriqi, A.; Elbeltagi, A.; Saraswat, A. A review on emerging water contaminants and the application of sustainable removal technologies. Case Stud. Chem. Environ. Eng. 2022, 6, 100219. [Google Scholar] [CrossRef]
- Patel, M.; Kumar, R.; Kishor, K.; Mlsna, T.; Pittman, C.U., Jr.; Mohan, D. Pharmaceuticals of Emerging Concern in Aquatic Systems: Chemistry, Occurrence, Effects, and Removal Methods. Chem. Rev. 2019, 119, 3510–3673. [Google Scholar] [CrossRef]
- Zhou, Y.; Chen, C.; Guo, K.; Wu, Z.; Wang, L.; Hua, Z.; Fang, J. Kinetics and pathways of the degradation of PPCPs by carbonate radicals in advanced oxidation processes. Water Res. 2020, 185, 116231. [Google Scholar] [CrossRef]
- Rayaroth, M.P.; Aravind, U.K.; Aravindakumar, C.T. Effect of inorganic ions on the ultrasound initiated degradation and product formation of triphenylmethane dyes. Ultrason. Sonochem. 2018, 48, 482–491. [Google Scholar] [CrossRef]
- Pétrier, C.; Torres-Palma, R.; Combet, E.; Sarantakos, G.; Baup, S.; Pulgarin, C. Enhanced sonochemical degradation of bisphenol-A by bicarbonate ions. Ultrason. Sonochem. 2010, 17, 111–115. [Google Scholar] [CrossRef]
- Merouani, S.; Hamdaoui, O.; Saoudi, F.; Chiha, M.; Pétrier, C. Influence of bicarbonate and carbonate ions on sonochemical degradation of Rhodamine B in aqueous phase. J. Hazard. Mater. 2010, 175, 593–599. [Google Scholar] [CrossRef] [PubMed]
- Dalhatou, S.; Laminsi, S.; Pétrier, C.; Baup, S. Competition in sonochemical degradation of Naphthol Blue Black: Presence of an organic (nonylphenol) and a mineral (bicarbonate ions) matrix. J. Environ. Chem. Eng. 2019, 7, 102819. [Google Scholar] [CrossRef]
- Liu, T.; Yin, K.; Liu, C.; Luo, J.; Crittenden, J.; Zhang, W.; Luo, S.; He, Q.; Deng, Y.; Liu, H.; et al. The role of reactive oxygen species and carbonate radical in oxcarbazepine degradation via UV, UV/H2O2: Kinetics, mechanisms and toxicity evaluation. Water Res. 2018, 147, 204–213. [Google Scholar] [CrossRef]
- Liu, Y.; He, X.; Duan, X.; Fu, Y.; Fatta-Kassinos, D.; Dionysiou, D.D. Significant role of UV and carbonate radical on the degradation of oxytetracycline in UV-AOPs: Kinetics and mechanism. Water Res. 2016, 95, 195–204. [Google Scholar] [CrossRef] [PubMed]
- Ji, Y.; Fan, Y.; Liu, K.; Kong, D.; Lu, J. Thermo activated persulfate oxidation of antibiotic sulfamethoxazole and structurally related compounds. Water Res. 2015, 87, 1–9. [Google Scholar] [CrossRef]
- Fan, Y.; Ji, Y.; Kong, D.; Lu, J.; Zhou, Q. Kinetic and mechanistic investigations of the degradation of sulfamethazine in heat-activated persulfate oxidation process. J. Hazard. Mater. 2015, 300, 39–47. [Google Scholar] [CrossRef]
- Chen, X.; Wang, P.; Peng, F.; Zhou, Z.; Waigi, M.G.; Ling, W. Ce(Ⅲ) activates peroxymonosulfate for the degradation of substituted PAHs. Chemosphere 2022, 306, 135525. [Google Scholar] [CrossRef]
- Xu, Y.; Ai, J.; Zhang, H. The mechanism of degradation of bisphenol A using the magnetically separable CuFe2O4/peroxymonosulfate heterogeneous oxidation process. J. Hazard. Mater. 2016, 309, 87–96. [Google Scholar] [CrossRef]
- Wang, X.; Zhou, Y.; Wang, N.; Zhang, J.; Zhu, L. Carbonate-induced enhancement of phenols degradation in CuS/peroxymonosulfate system: A clear correlation between this enhancement and electronic effects of phenols substituents. J. Environ. Sci. 2023, 129, 139–151. [Google Scholar] [CrossRef]
- Kanigaridou, Y.; Petala, A.; Frontistis, Z.; Antonopoulou, M.; Solakidou, M.; Konstantinou, I.; Deligiannakis, Y.; Mantzavinos, D.; Kondarides, D.I. Solar photocatalytic degradation of bisphenol A with CuO x /BiVO 4: Insights into the unexpectedly favorable effect of bicarbonates. Chem. Eng. J. 2017, 318, 39–49. [Google Scholar] [CrossRef]
- Kumar, A.; Mathur, N. Photocatalytic degradation of aniline at the interface of TiO2 suspensions containing carbonate ions. J. Colloid Interface Sci. 2006, 300, 244–252. [Google Scholar] [CrossRef]
- Ganiyu, S.O.; El-Din, M.G. Insight into in-situ radical and non-radical oxidative degradation of organic compounds in complex real matrix during electrooxidation with boron doped diamond electrode: A case study of oil sands process water treatment. Appl. Catal. B Environ. 2020, 279, 119366. [Google Scholar] [CrossRef]
- Pillai, I.M.S.; Gupta, A.K. Effect of inorganic anions and oxidizing agents on electrochemical oxidation of methyl orange, malachite green and 2,4-dinitrophenol. J. Electroanal. Chem. 2016, 762, 66–72. [Google Scholar] [CrossRef]
- Wang, Y.; Zhou, C.; Chen, J.; Fu, Z.; Niu, J. Bicarbonate enhancing electrochemical degradation of antiviral drug lamivudine in aqueous solution. J. Electroanal. Chem. 2019, 848, 113314. [Google Scholar] [CrossRef]
- Min, S.-J.; Kim, J.-G.; Baek, K. Role of carbon fiber electrodes and carbonate electrolytes in electrochemical phenol oxidation. J. Hazard. Mater. 2020, 400, 123083. [Google Scholar] [CrossRef] [PubMed]
- Abdul, L.; Si, X.; Sun, K.; Si, Y. Degradation of bisphenol A in aqueous environment using peroxymonosulfate activated with carbonate: Performance, possible pathway, and mechanism. J. Environ. Chem. Eng. 2021, 9, 105419. [Google Scholar] [CrossRef]
- Jiang, M.; Lu, J.; Ji, Y.; Kong, D. Bicarbonate-activated persulfate oxidation of acetaminophen. Water Res. 2017, 116, 324–331. [Google Scholar] [CrossRef]
- Li, Y.; Li, L.; Chen, Z.-X.; Zhang, J.; Gong, L.; Wang, Y.-X.; Zhao, H.-Q.; Mu, Y. Carbonate-activated hydrogen peroxide oxidation process for azo dye decolorization: Process, kinetics, and mechanisms. Chemosphere 2018, 192, 372–378. [Google Scholar] [CrossRef] [PubMed]
- Sun, Y.; Xie, H.; Zhou, C.; Wu, Y.; Pu, M.; Niu, J. The role of carbonate in sulfamethoxazole degradation by peroxymonosulfate without catalyst and the generation of carbonate racial. J. Hazard. Mater. 2020, 398, 122827. [Google Scholar] [CrossRef]
- Nie, M.; Zhang, W.; Yan, C.; Xu, W.; Wu, L.; Ye, Y.; Hu, Y.; Dong, W. Enhanced removal of organic contaminants in water by the combination of peroxymonosulfate and carbonate. Sci. Total. Environ. 2019, 647, 734–743. [Google Scholar] [CrossRef] [PubMed]
- Li, W.; Jain, T.; Ishida, K.; Liu, H. A mechanistic understanding of the degradation of trace organic contaminants by UV/hydrogen peroxide, UV/persulfate and UV/free chlorine for water reuse. Environ. Sci. Water Res. Technol. 2017, 3, 128–138. [Google Scholar] [CrossRef]
- Kim, I.; Yamashita, N.; Tanaka, H. Photodegradation of pharmaceuticals and personal care products during UV and UV/H2O2 treatments. Chemosphere 2009, 77, 518–525. [Google Scholar] [CrossRef]
- Peyton, G.R.; Glaze, W.H. Destruction of pollutants in water with ozone in combination with ultraviolet radiation. 3. Photolysis of aqueous ozone. Environ. Sci. Technol. 1988, 22, 761–767. [Google Scholar] [CrossRef] [PubMed]
- Thomas, N.; Dionysiou, D.D.; Pillai, S.C. Heterogeneous Fenton catalysts: A review of recent advances. J. Hazard. Mater. 2021, 404, 124082. [Google Scholar] [CrossRef]
- Kolthoff, I.M.; Miller, I.K. The Chemistry of Persulfate. I. The Kinetics and Mechanism of the Decomposition of the Persulfate Ion in Aqueous Medium1. J. Am. Chem. Soc. 1951, 73, 3055–3059. [Google Scholar] [CrossRef]
- Wang, J.; Wang, S. Activation of persulfate (PS) and peroxymonosulfate (PMS) and application for the degradation of emerging contaminants. Chem. Eng. J. 2018, 334, 1502–1517. [Google Scholar] [CrossRef]
- Honarmandrad, Z.; Sun, X.; Wang, Z.; Naushad, M.; Boczkaj, G. Activated persulfate and peroxymonosulfate based advanced oxidation processes (AOPs) for antibiotics degradation—A review. Water Resour. Ind. 2023, 29, 100194. [Google Scholar] [CrossRef]
- Zhang, B.-T.; Zhang, Y.; Teng, Y.; Fan, M. Sulfate Radical and Its Application in Decontamination Technologies. Crit. Rev. Environ. Sci. Technol. 2015, 45, 1756–1800. [Google Scholar] [CrossRef]
- Zhou, Z.; Liu, X.; Sun, K.; Lin, C.; Ma, J.; He, M.; Ouyang, W. Persulfate-based advanced oxidation processes (AOPs) for organic-contaminated soil remediation: A review. Chem. Eng. J. 2019, 372, 836–851. [Google Scholar] [CrossRef]
- Fang, Y.; Liu, Y.; Qi, L.; Xue, Y.; Li, Y. 2D graphdiyne: An emerging carbon material. Chem. Soc. Rev. 2022, 51, 2681–2709. [Google Scholar] [CrossRef]
- Xue, Y.; Huang, B.; Yi, Y.; Guo, Y.; Zuo, Z.; Li, Y.; Jia, Z.; Liu, H.; Li, Y. Anchoring zero valence single atoms of nickel and iron on graphdiyne for hydrogen evolution. Nat. Commun. 2018, 9, 1460. [Google Scholar] [CrossRef]
- Zheng, Z.; Xue, Y.; Li, Y. A new carbon allotrope: Graphdiyne. Trends Chem. 2022, 4, 754–768. [Google Scholar] [CrossRef]
- Yang, Z.; Li, Y.; Zhang, X.; Cui, X.; He, S.; Liang, H.; Ding, A. Sludge activated carbon-based CoFe2O4-SAC nanocomposites used as heterogeneous catalysts for degrading antibiotic norfloxacin through activating peroxymonosulfate. Chem. Eng. J. 2020, 384, 123319. [Google Scholar] [CrossRef]
- Gągol, M.; Przyjazny, A.; Boczkaj, G. Wastewater treatment by means of advanced oxidation processes based on cavitation—A review. Chem. Eng. J. 2018, 338, 599–627. [Google Scholar] [CrossRef]
- Boczkaj, G.; Gągol, M.; Klein, M.; Przyjazny, A. Effective method of treatment of effluents from production of bitumens under basic pH conditions using hydrodynamic cavitation aided by external oxidants. Ultrason. Sonochem. 2018, 40, 969–979. [Google Scholar] [CrossRef] [PubMed]
- Gągol, M.; Przyjazny, A.; Boczkaj, G. Highly effective degradation of selected groups of organic compounds by cavitation based AOPs under basic pH conditions. Ultrason. Sonochem. 2018, 45, 257–266. [Google Scholar] [CrossRef]
- Gągol, M.; Soltani, R.D.C.; Przyjazny, A.; Boczkaj, G. Effective degradation of sulfide ions and organic sulfides in cavitation-based advanced oxidation processes (AOPs). Ultrason. Sonochem. 2019, 58, 104610. [Google Scholar] [CrossRef]
- Rayaroth, M.P.; Aravind, U.K.; Aravindakumar, C.T. Degradation of pharmaceuticals by ultrasound-based advanced oxidation process. Environ. Chem. Lett. 2016, 14, 259–290. [Google Scholar] [CrossRef]
- Fedorov, K.; Dinesh, K.; Sun, X.; Soltani, R.D.C.; Wang, Z.; Sonawane, S.; Boczkaj, G. Synergistic effects of hybrid advanced oxidation processes (AOPs) based on hydrodynamic cavitation phenomenon—A review. Chem. Eng. J. 2022, 432, 134191. [Google Scholar] [CrossRef]
- Rayaroth, M.P.; Aravind, U.K.; Aravindakumar, C.T. Ultrasound based AOP for emerging pollutants: From degradation to mechanism. Environ. Sci. Pollut. Res. 2017, 24, 6261–6269. [Google Scholar] [CrossRef]
- Philip, J.M.; Koshy, C.M.; Aravind, U.K.; Aravindakumar, C.T. Sonochemical degradation of DEET in aqueous medium: Complex by-products from synergistic effect of sono-Fenton—New insights from a HRMS study. J. Environ. Chem. Eng. 2022, 10, 107509. [Google Scholar] [CrossRef]
- Lu, X.; Zhao, J.; Wang, Q.; Wang, D.; Xu, H.; Ma, J.; Qiu, W.; Hu, T. Sonolytic degradation of bisphenol S: Effect of dissolved oxygen and peroxydisulfate, oxidation products and acute toxicity. Water Res. 2019, 165, 114969. [Google Scholar] [CrossRef] [PubMed]
- Chiha, M.; Hamdaoui, O.; Baup, S.; Gondrexon, N. Sonolytic degradation of endocrine disrupting chemical 4-cumylphenol in water. Ultrason. Sonochem. 2011, 18, 943–950. [Google Scholar] [CrossRef] [PubMed]
- Chu, J.-H.; Kang, J.-K.; Park, S.-J.; Lee, C.-G. Bisphenol A degradation using waste antivirus copper film with enhanced sono-Fenton-like catalytic oxidation. Chemosphere 2021, 276, 130218. [Google Scholar] [CrossRef]
- Byrne, C.; Subramanian, G.; Pillai, S.C. Recent advances in photocatalysis for environmental applications. J. Environ. Chem. Eng. 2018, 6, 3531–3555. [Google Scholar] [CrossRef]
- Banerjee, S.; Pillai, S.C.; Falaras, P.; O’shea, K.E.; Byrne, J.A.; Dionysiou, D.D. New Insights into the Mechanism of Visible Light Photocatalysis. J. Phys. Chem. Lett. 2014, 5, 2543–2554. [Google Scholar] [CrossRef]
- Ye, T.; Qi, W.; An, X.; Liu, H.; Qu, J. Faceted TiO2 photocatalytic degradation of anthraquinone in aquatic solution under solar irradiation. Sci. Total. Environ. 2019, 688, 592–599. [Google Scholar] [CrossRef]
- Sirés, I.; Brillas, E.; Oturan, M.A.; Rodrigo, M.A.; Panizza, M. Electrochemical Advanced Oxidation Processes: Today and Tomorrow. A Review. Environ. Sci. Pollut. Res. 2014, 21, 8336–8367. [Google Scholar] [CrossRef]
- Brillas, E.; Sirés, I.; Oturan, M.A. Electro-Fenton Process and Related Electrochemical Technologies Based on Fenton’s Reaction Chemistry. Chem. Rev. 2009, 109, 6570–6631. [Google Scholar] [CrossRef]
- Ganiyu, S.O.; Martínez-Huitle, C.A.; Oturan, M.A. Electrochemical advanced oxidation processes for wastewater treatment: Advances in formation and detection of reactive species and mechanisms. Curr. Opin. Electrochem. 2021, 27, 100678. [Google Scholar] [CrossRef]
- Brito, L.R.; Ganiyu, S.O.; dos Santos, E.V.; Oturan, M.A.; Martínez-Huitle, C.A. Removal of antibiotic rifampicin from aqueous media by advanced electrochemical oxidation: Role of electrode materials, electrolytes and real water matrices. Electrochim. Acta 2021, 396, 139254. [Google Scholar] [CrossRef]
- Wang, Q.; Lu, X.; Cao, Y.; Ma, J.; Jiang, J.; Bai, X.; Hu, T. Degradation of Bisphenol S by heat activated persulfate: Kinetics study, transformation pathways and influences of co-existing chemicals. Chem. Eng. J. 2017, 328, 236–245. [Google Scholar] [CrossRef]
- Ren, W.; Huang, X.; Wang, L.; Liu, X.; Zhou, Z.; Wang, Y.; Lin, C.; He, M.; Ouyang, W. Degradation of simazine by heat-activated peroxydisulfate process: A coherent study on kinetics, radicals and models. Chem. Eng. J. 2021, 426, 131876. [Google Scholar] [CrossRef]
- Ioannidi, A.; Arvaniti, O.S.; Nika, M.-C.; Aalizadeh, R.; Thomaidis, N.S.; Mantzavinos, D.; Frontistis, Z. Removal of drug losartan in environmental aquatic matrices by heat-activated persulfate: Kinetics, transformation products and synergistic effects. Chemosphere 2022, 287, 131952. [Google Scholar] [CrossRef]
- Deng, J.; Shao, Y.; Gao, N.; Deng, Y.; Zhou, S.; Hu, X. Thermally activated persulfate (TAP) oxidation of antiepileptic drug carbamazepine in water. Chem. Eng. J. 2013, 228, 765–771. [Google Scholar] [CrossRef]
- Lebik-Elhadi, H.; Frontistis, Z.; Ait-Amar, H.; Madjene, F.; Mantzavinos, D. Degradation of pesticide thiamethoxam by heat–activated and ultrasound—Activated persulfate: Effect of key operating parameters and the water matrix. Process. Saf. Environ. Prot. 2020, 134, 197–207. [Google Scholar] [CrossRef]
- Sonawane, S.; Rayaroth, M.P.; Landge, V.K.; Fedorov, K.; Boczkaj, G. Thermally activated persulfate-based Advanced Oxidation Processes—Recent progress and challenges in mineralization of persistent organic chemicals: A review. Curr. Opin. Chem. Eng. 2022, 37, 100839. [Google Scholar] [CrossRef]
- Liu, J.; Jiang, S.; Chen, D.; Dai, G.; Wei, D.; Shu, Y. Activation of persulfate with biochar for degradation of bisphenol A in soil. Chem. Eng. J. 2020, 381, 122637. [Google Scholar] [CrossRef]
- Rayaroth, M.P.; Lee, C.-S.; Aravind, U.K.; Aravindakumar, C.T.; Chang, Y.-S. Oxidative degradation of benzoic acid using Fe 0-and sulfidized Fe 0-activated persulfate: A comparative study. Chem. Eng. J. 2017, 315, 426–436. [Google Scholar] [CrossRef]
- Sasi, S.; Rayaroth, M.P.; Devadasan, D.; Aravind, U.K.; Aravindakumar, C.T. Influence of inorganic ions and selected emerging contaminants on the degradation of Methylparaben: A sonochemical approach. J. Hazard. Mater. 2015, 300, 202–209. [Google Scholar] [CrossRef]
- Guzman-Duque, F.; Pétrier, C.; Pulgarin, C.; Peñuela, G.; Torres-Palma, R.A. Effects of sonochemical parameters and inorganic ions during the sonochemical degradation of crystal violet in water. Ultrason. Sonochem. 2011, 18, 440–446. [Google Scholar] [CrossRef]
- Serna-Galvis, E.A.; Silva-Agredo, J.; Giraldo-Aguirre, A.L.; Flórez-Acosta, O.A.; Torres-Palma, R.A. High frequency ultrasound as a selective advanced oxidation process to remove penicillinic antibiotics and eliminate its antimicrobial activity from water. Ultrason. Sonochem. 2016, 31, 276–283. [Google Scholar] [CrossRef] [PubMed]
- Nikolaou, S.; Vakros, J.; Diamadopoulos, E.; Mantzavinos, D. Sonochemical degradation of propylparaben in the presence of agro-industrial biochar. J. Environ. Chem. Eng. 2020, 8, 104010. [Google Scholar] [CrossRef]
- Domínguez, J.R.; González, T.; Correia, S.; Domínguez, E.M. Sonochemical degradation of neonicotinoid pesticides in natural surface waters. Influence of operational and environmental conditions. Environ. Res. 2021, 197, 111021. [Google Scholar] [CrossRef] [PubMed]
- Tan, C.; Gao, N.; Deng, Y.; Zhang, Y.; Sui, M.; Deng, J.; Zhou, S. Degradation of antipyrine by UV, UV/H2O2 and UV/PS. J. Hazard. Mater. 2013, 260, 1008–1016. [Google Scholar] [CrossRef]
- Starling, M.C.V.; Souza, P.P.; Le Person, A.; Amorim, C.C.; Criquet, J. Intensification of UV-C treatment to remove emerging contaminants by UV-C/H2O2 and UV-C/S2O82−: Susceptibility to photolysis and investigation of acute toxicity. Chem. Eng. J. 2019, 376, 120856. [Google Scholar] [CrossRef]
- Yang, Y.; Cao, Y.; Jiang, J.; Lu, X.; Ma, J.; Pang, S.; Li, J.; Liu, Y.; Zhou, Y.; Guan, C. Comparative study on degradation of propranolol and formation of oxidation products by UV/H2O2 and UV/persulfate (PDS). Water Res. 2019, 149, 543–552. [Google Scholar] [CrossRef]
- Ghanbari, F.; Yaghoot-Nezhad, A.; Wacławek, S.; Lin, K.-Y.A.; Rodríguez-Chueca, J.; Mehdipour, F. Comparative investigation of acetaminophen degradation in aqueous solution by UV/Chlorine and UV/H2O2 processes: Kinetics and toxicity assessment, process feasibility and products identification. Chemosphere 2021, 285, 131455. [Google Scholar] [CrossRef]
- Al-Hasani, H.; Al-Sabahi, J.; Al-Ghafri, B.; Al-Hajri, R.; Al-Abri, M. Effect of water quality in photocatalytic degradation of phenol using zinc oxide nanorods under visible light irradiation. J. Water Process. Eng. 2022, 49, 103121. [Google Scholar] [CrossRef]
- Fard, M.A.; Aminzadeh, B.; Vahidi, H. Degradation of petroleum aromatic hydrocarbons using TiO2 nanopowder film. Environ. Technol. 2013, 34, 1183–1190. [Google Scholar] [CrossRef]
- Lair, A.; Ferronato, C.; Chovelon, J.-M.; Herrmann, J.-M. Naphthalene degradation in water by heterogeneous photocatalysis: An investigation of the influence of inorganic anions. J. Photochem. Photobiol. A Chem. 2008, 193, 193–203. [Google Scholar] [CrossRef]
- Kashif, N.; Ouyang, F. Parameters effect on heterogeneous photocatalysed degradation of phenol in aqueous dispersion of TiO2. J. Environ. Sci. 2009, 21, 527–533. [Google Scholar] [CrossRef] [PubMed]
- Petala, A.; Frontistis, Z.; Antonopoulou, M.; Konstantinou, I.; Kondarides, D.I.; Mantzavinos, D. Kinetics of ethyl paraben degradation by simulated solar radiation in the presence of N-doped TiO2 catalysts. Water Res. 2015, 81, 157–166. [Google Scholar] [CrossRef]
- Jojoa-Sierra, S.D.; Silva-Agredo, J.; Herrera-Calderon, E.; Torres-Palma, R.A. Elimination of the antibiotic norfloxacin in municipal wastewater, urine and seawater by electrochemical oxidation on IrO2 anodes. Sci. Total. Environ. 2017, 575, 1228–1238. [Google Scholar] [CrossRef] [PubMed]
- Barazesh, J.M.; Prasse, C.; Sedlak, D.L. Electrochemical Transformation of Trace Organic Contaminants in the Presence of Halide and Carbonate Ions. Environ. Sci. Technol. 2016, 50, 10143–10152. [Google Scholar] [CrossRef]
- Lan, Y.; Coetsier, C.; Causserand, C.; Serrano, K.G. On the role of salts for the treatment of wastewaters containing pharmaceuticals by electrochemical oxidation using a boron doped diamond anode. Electrochim. Acta 2017, 231, 309–318. [Google Scholar] [CrossRef]






| Pollutant | Bimolecular Rate Constant, k CO3●− (M−1s−1) |
|---|---|
| Salbutamol | 1.51 × 108 M−1s−1 |
| Paracetamol | 1.70 × 108 M−1s−1 |
| Vanillic acid | 5.0 × 108 M−1s−1 |
| p-coumaric acid | 4.60 × 108 M−1s−1 |
| Propranolol | 1.92 × 108 M−1s−1 |
| Naproxen (NPX) | 5.60 × 107 M−1s−1 |
| Sulfamethoxazole (SMX) | 2.48 × 108 M−1s−1 |
| Sulfamethazine (SMZ) | 2.96 × 108 M−1s−1 |
| Clenbuterol | 5.20 × 108 M−1s−1 |
| Diclofenac | 7.80 × 107 M−1s−1 |
| Sotalol | 2.20 × 108 M−1s−1 |
| Trimethoprim | 4.91 × 107 M−1s−1 |
| Carbamazepine | 1.25 × 107 M−1s−1) |
| Atenolol | 9.79 × 106 M−1s−1 |
| Nitroimidazoles | 5.09–9.11 × 106 M−1s−1 |
| Atrazine | 9.39 × 106 M−1s−1 |
| Nalidixic acid | 7.49 × 106 M−1s−1 |
| Caffeine | 6.09 × 106 M−1s−1 |
| Azithromycin | 9.12 × 107 M−1s−1 |
| Erythromycin A | 8.0 × 107 M−1s−1 |
| Bezafibrate | 5.33 × 106 M−1s−1 |
| Gemfibrozil | 4.10 × 106 M−1s−1 |
| Clofibric acid | 1.0 × 107 M−1s−1 |
Disclaimer/Publisher’s Note: The statements, opinions and data contained in all publications are solely those of the individual author(s) and contributor(s) and not of MDPI and/or the editor(s). MDPI and/or the editor(s) disclaim responsibility for any injury to people or property resulting from any ideas, methods, instructions or products referred to in the content. |
© 2023 by the authors. Licensee MDPI, Basel, Switzerland. This article is an open access article distributed under the terms and conditions of the Creative Commons Attribution (CC BY) license (https://creativecommons.org/licenses/by/4.0/).
Share and Cite
Rayaroth, M.P.; Boczkaj, G.; Aubry, O.; Aravind, U.K.; Aravindakumar, C.T. Advanced Oxidation Processes for Degradation of Water Pollutants—Ambivalent Impact of Carbonate Species: A Review. Water 2023, 15, 1615. https://doi.org/10.3390/w15081615
Rayaroth MP, Boczkaj G, Aubry O, Aravind UK, Aravindakumar CT. Advanced Oxidation Processes for Degradation of Water Pollutants—Ambivalent Impact of Carbonate Species: A Review. Water. 2023; 15(8):1615. https://doi.org/10.3390/w15081615
Chicago/Turabian StyleRayaroth, Manoj P., Grzegorz Boczkaj, Olivier Aubry, Usha K. Aravind, and Charuvila T. Aravindakumar. 2023. "Advanced Oxidation Processes for Degradation of Water Pollutants—Ambivalent Impact of Carbonate Species: A Review" Water 15, no. 8: 1615. https://doi.org/10.3390/w15081615
APA StyleRayaroth, M. P., Boczkaj, G., Aubry, O., Aravind, U. K., & Aravindakumar, C. T. (2023). Advanced Oxidation Processes for Degradation of Water Pollutants—Ambivalent Impact of Carbonate Species: A Review. Water, 15(8), 1615. https://doi.org/10.3390/w15081615

