Geo-Environmental Models of In-Situ Leaching Sandstone-Type Uranium Deposits in North China: A Review and Perspective
Abstract
1. Introduction
2. Environmental Properties and Geochemical Baselines
2.1. Environmental Properties
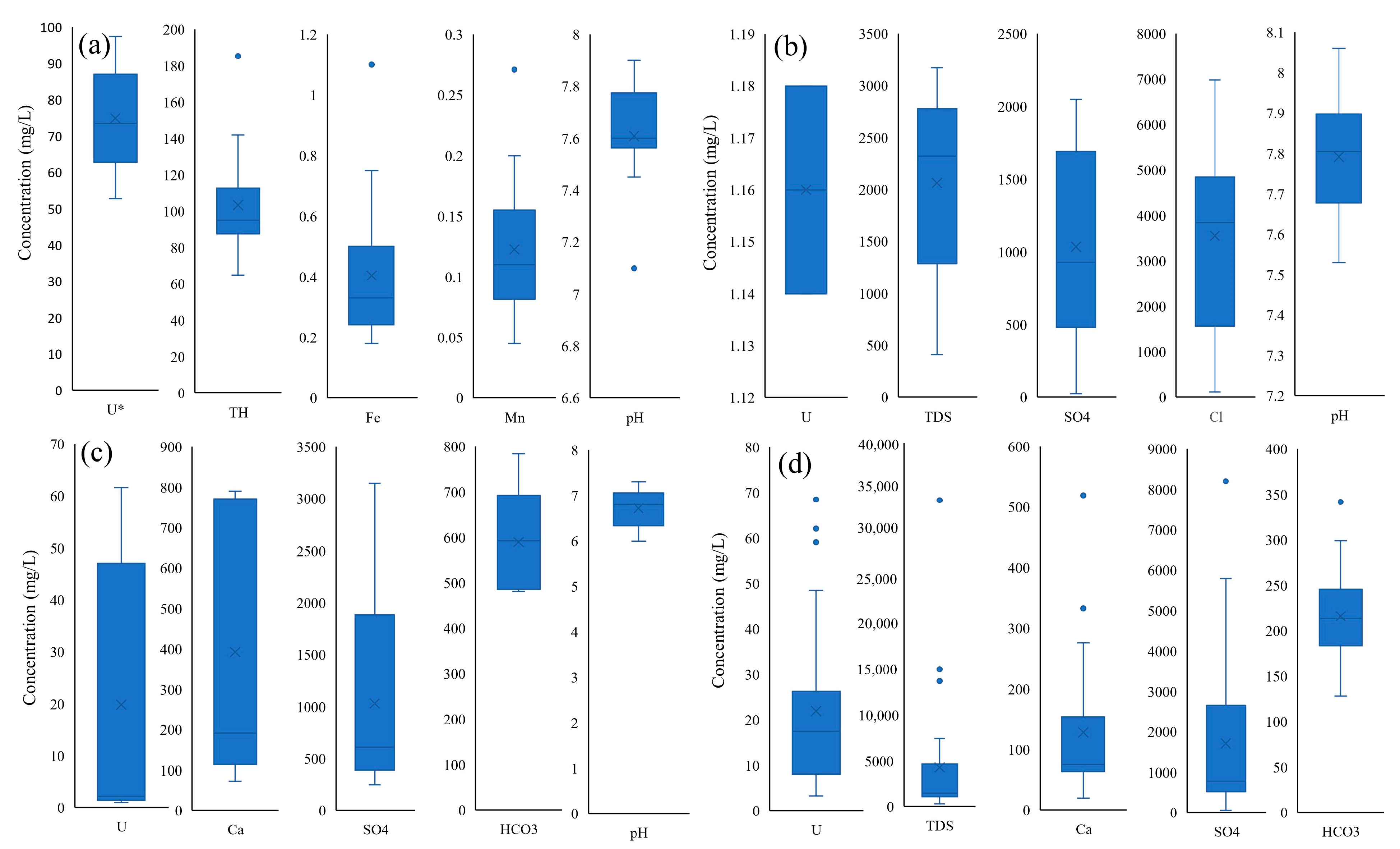
2.2. Geochemical Baseline
3. Environmental Impact of Uranium Mining and Extraction
3.1. Overall Characteristics of Environmental Impact
3.2. Environmental Impacts on Soil
3.3. Environmental Impacts on the Groundwater Environment
3.4. Chemical Clogging and Its Effects
3.5. Radiation Environment Impacts
3.6. Plant Accumulation of Nuclides
4. Mitigation of Environmental Impacts
4.1. Environmental Mitigation during Mining
4.2. Environmental Mitigation after Mining
5. Environmental Management for Prospective Mining in the Future
5.1. Environmental Management during Uranium Mining
5.2. Environmental Management for Uranium Mine Closing
6. Conclusions
Author Contributions
Funding
Institutional Review Board Statement
Informed Consent Statement
Data Availability Statement
Conflicts of Interest
References
- Mallapaty, S. How China could be carbon neutral by mid-century. Nature 2020, 586, 482–483. [Google Scholar] [CrossRef] [PubMed]
- Meng, M.; Yu, J. Chinese nuclear energy politics: Viewpoint on energy. Energ. Source Part B 2018, 13, 72–75. [Google Scholar] [CrossRef]
- Dittmar, M. The end of cheap uranium. Sci. Total Environ. 2013, 461, 792–798. [Google Scholar] [CrossRef]
- Xu, D.; Chi, G.; Nie, F.; Fayek, M.; Hu, R. Diversity of uranium deposits in China—An introduction to the Special Issue. Ore. Geol. Rev. 2021, 129, 103944. [Google Scholar] [CrossRef]
- Jin, R.; Liu, H.; Li, X. Theoretical System of Sandstone-Type Uranium Deposits in Northern China. J. Earth Sci.-China 2022, 33, 257–277. [Google Scholar] [CrossRef]
- Chen, Z.B.; Zhao, F.M.; Xiang, W.D.; Chen, Y.H. Uranium provinces in China. Acta Geol. Sin.-Engl. 2000, 74, 587–594. [Google Scholar]
- Ilankoon, I.M.S.K.; Tang, Y.; Ghorbani, Y.; Northey, S.; Yellishetty, M.; Deng, X.; McBride, D. The current state and future directions of percolation leaching in the Chinese mining industry: Challenges and opportunities. Min. Eng. 2018, 125, 206–222. [Google Scholar] [CrossRef]
- Hague, N.; Norgate, T. The greenhouse gas footprint of in-situ leaching of uranium, gold and copper in Australia. J. Clean Prod. 2014, 84, 382–390. [Google Scholar] [CrossRef]
- Coral, T.; Placko, A.; Beaufort, D.; Tertre, E.; Bernier-Latmani, R.; Descostes, M.; De Boissezon, H.; Guillon, S.; Rossi, P. Biostimulation as a sustainable solution for acid neutralization and uranium immobilization post acidic in-situ recovery. Sci. Total Environ. 2022, 822, 153597. [Google Scholar] [CrossRef] [PubMed]
- Pereira, R.; Antunes, S.C.; Marques, S.M.; Goncalves, F. Contribution for tier 1 of the ecological risk assessment of Cunha Baixa uranium mine (Central Portugal): I soil chemical characterization. Sci. Total Environ. 2008, 390, 377–386. [Google Scholar] [CrossRef]
- Coral, T.; Descostes, M.; De Boissezon, H.; Bernier-Latmani, R.; de Alencastro, L.F.; Rossi, P. Microbial communities associated with uranium in-situ recovery mining process are related to acid mine drainage assemblages. Sci. Total Environ. 2018, 628–629, 26–35. [Google Scholar] [CrossRef] [PubMed]
- Wanty, R.B.; Berger, B.R.; Plumlee, G.S.; King, T. Geoenvironmental models—An introduction. In Deposit and Geoenvironmental Models for Resource Exploitation and Environmental Security; Fabbri, A.G., Gaal, G., McCammon, R.B., Eds.; Springer: Matrahaza, Hungary, 2002; Volume 80, pp. 3–42. [Google Scholar]
- Wang, M.; Ren, P.; Yan, G. The Updates on Geoenvironmental Study of Mineral Deposits in The Unite States and Propoed Strategy for China. Adv. Earth Sci. 2004, 19, 636–641. [Google Scholar]
- Bussiere, B. Colloquium 2004: Hydrogeotechnical properties of hard rock tailings from metal mines and emerging geoenvironmental disposal approaches. Can. Geotech. J. 2007, 44, 1019–1052. [Google Scholar] [CrossRef]
- Huang, J.; Huang, S. Regional metallogenic characteristics of China’s uranium resources. Uranium Geol. 2005, 21, 129–138. [Google Scholar]
- Nie, J.; Horton, B.K.; Saylor, J.E.; Mora, A.; Mange, M.; Garzione, C.N.; Basu, A.; Moreno, C.J.; Caballero, V.; Parra, M. Integrated provenance analysis of a convergent retroarc foreland system: U-Pb ages, heavy minerals, Nd isotopes, and sandstone compositions of the Middle Magdalena Valley basin, northern Andes, Colombia. Earth-Sci. Rev. 2012, 110, 111–126. [Google Scholar] [CrossRef]
- Akhtar, S.; Yang, X.; Pirajno, F. Sandstone type uranium deposits in the Ordos Basin, Northwest China: A case study and an overview. J. Asian Earth Sci. 2017, 146, 367–382. [Google Scholar] [CrossRef]
- Gomez, P.; Garralon, A.; Buil, B.; Turrero, M.J.; Sanchez, L.; De la Cruz, B. Modeling of geochemical processes related to uranium mobilization in the groundwater of a uranium mine (vol 300, pg 295, 2000). Sci. Total Environ. 2008, 390, 579. [Google Scholar] [CrossRef]
- Cuvier, A.; Pourcelot, L.; Probst, A.; Prunier, J.; Le Roux, G. Trace elements and Pb isotopes in soils and sediments impacted by uranium mining. Sci. Total Environ. 2016, 566, 238–249. [Google Scholar] [CrossRef]
- Bradshaw, P.; Lett, R. Geochemical-exploration for uranium using soils. J. Geochem. Explor. 1980, 13, 305–319. [Google Scholar] [CrossRef]
- Cai, Y.; Zhang, J.; Li, Z.; Guo, Q.; Song, J.; Fan, H.; Liu, W.; Qi, F.; Zhang, M. Outline of Uranium Resources Characteristics and Metallogenetic Regularity in China. Acta Geol. Sin.-Engl. 2015, 89, 918–937. [Google Scholar] [CrossRef]
- Li, Z.; Qin, M.; Fan, H.; Cai, Y.; Cheng, J.; Guo, D.; Ye, F.; Fan, G.; Liu, X. Main Progresses of Uranium Geology and Exploration Techniques for the Past Decade in China. Bull. Mineral. Petrol. Geochem. 2021, 40, 845–857. [Google Scholar]
- Zhang, J. Progress and Outlook of Uranium Exploration in Meso-Cenozoic Basins in North China. Uranium. Geol. 2012, 28, 193–198. [Google Scholar]
- Min, M.Z.; Chen, J.; Wang, J.P.; Wei, G.H.; Fayek, M. Mineral paragenesis and textures associated with sandstone-hosted roll-front uranium deposits, NW China. Ore. Geol. Rev. 2005, 26, 51–69. [Google Scholar] [CrossRef]
- Min, M.Z.; Xu, H.F.; Chen, J.; Fayek, M. Evidence of uranium biomineralization in sandstone-hosted roll-front uranium deposits, northwestern China. Ore. Geol. Rev. 2005, 26, 198–206. [Google Scholar] [CrossRef]
- Rong, H.; Jiao, Y.; Wu, L.; Wan, D.; Cui, Z.; Guo, X.; Jia, J. Origin of the carbonaceous debris and its implication for mineralization within the Qianjiadian uranium deposit, southern Songliao Basin. Ore. Geol. Rev. 2019, 107, 336–352. [Google Scholar] [CrossRef]
- Shi, Z.; Chen, B.; Wang, Y.; Hou, M.; Jin, X.; Song, H.; Wang, X. A linkage between uranium mineralization and high diagenetic temperature caused by coal self-ignition in the southern Yili Basin, northwestern China. Ore. Geol. Rev. 2020, 121, 103443. [Google Scholar] [CrossRef]
- Su, X.; Liu, Z.; Yao, Y.; Du, Z. Petrology, mineralogy, and ore leaching of sandstone-hosted uranium deposits in the Ordos Basin, North China. Ore. Geol. Rev. 2020, 127, 103768. [Google Scholar] [CrossRef]
- Zhang, F.; Jiao, Y.; Wu, L.; Rong, H. Roles of dispersed organic matters in sandstone-type uranium mineralization: A review of geological and geochemical processes. Ore. Geol. Rev. 2021, 139, 104485. [Google Scholar] [CrossRef]
- Fu, Y.; Wei, S.; Jin, R.; Li, J.; Ao, C. Current Status and Existing Problems of China’ s Sandstone-type Uranium Deposits. Acta Geol. Sin. 2016, 90, 3519–3544. [Google Scholar]
- Chen, X.; Romaniello, S.J.; Herrmann, A.D.; Hardisty, D.; Gill, B.C.; Anbar, A.D. Diagenetic effects on uranium isotope fractionation in carbonate sediments from the Bahamas. Geochim. Cosmochim. Acta 2018, 237, 294–311. [Google Scholar] [CrossRef]
- Meunier, J.D.; TROUILLER, A.; Brulhet, J.; Pagel, M. Uranium and organic-matter in a paleodeltaic environment—The coutras deposit (gironde, france). Chem. Geol. 1988, 70, 189. [Google Scholar] [CrossRef]
- Och, L.M.; Mueller, B.; Marz, C.; Wichser, A.; Vologina, E.G.; Sturm, M. Elevated uranium concentrations in Lake Baikal sediments: Burial and early diagenesis. Chem. Geol. 2016, 441, 92–105. [Google Scholar] [CrossRef]
- Bonnetti, C.; Cuney, M.; Malartre, F.; Michels, R.; Liu, X.; Peng, Y. The Nuheting deposit, Erlian Basin, NE China: Synsedimentary to diagenetic uranium mineralization. Ore. Geol. Rev. 2015, 69, 118–139. [Google Scholar] [CrossRef]
- Bonnetti, C.; Liu, X.; Mercadier, J.; Cuney, M.; Deloule, E.; Villeneuve, J.; Liu, W. The genesis of granite-related hydrothermal uranium deposits in the Xiazhuang and Zhuguang ore fields, North Guangdong Province, SE China: Insights from mineralogical, trace elements and U-Pb isotopes signatures of the U mineralisation. Ore. Geol. Rev. 2018, 92, 588–612. [Google Scholar] [CrossRef]
- Qiu, J.; Mu, H.; Yu, X.; Rui, X.; Yang, Y.; Qiu, L. Identifying the principal factors controlling uranium enrichment: Semi-quantitative mineralogy and geochemistry of the sandstone-type Qianjiadian uranium deposit, northeast China. Ore. Geol. Rev. 2022, 144, 104807. [Google Scholar] [CrossRef]
- Chen, J.; Chen, P.; Yao, D.; Huang, W.; Tang, S.; Wang, K.; Liu, W.; Hu, Y.; Zhang, B.; Sha, J. Abundance, Distribution, and Modes of Occurrence of Uranium in Chinese Coals. Miner.-Basel. 2017, 7, 239. [Google Scholar] [CrossRef]
- Chen, J.; Bai, Q.; Tian, Y.; Lu, Y.; Niu, J.; Shi, L.; Yang, Y. Discussion on Prospecting Directions of Uranium Deposit in Coal Measure Strata in the North of Yining Area, Xinjiang. Uranium. Geol. 2021, 37, 160–170. [Google Scholar]
- Huang, W.; Wan, H.; Finkelman, R.B.; Tang, X.; Zhao, Z. Distribution of uranium in the main coalfields of China. Energ. Explor. Exploit. 2012, 30, 819–835. [Google Scholar] [CrossRef]
- Liu, X.; Yu, R.; Cao, H.; Zhu, Q.; Wang, S.; Yang, J. Metallogenic conditions of sandstone uranium deposits in the coal-bearing area on the southeastern margin of Ordos basin. Coal. Geol. Explor. 2018, 46, 26–32. [Google Scholar]
- Tang, C.; Zhu, Q.; Feng, X.; Chen, Y.; Li, G.; Chen, L.; Liu, X.; Liu, X.; Hu, P. REE geochemical study on Dongsheng sandstone uranium deposit, Inner Mongolia, China. Acta Mineral. Sin. 2017, 37, 121–131. [Google Scholar]
- Wang, Z.; Cao, S.; Pan, J.; Guan, T.; Zhang, G. Trace element geochemistry of No. 511 uranium ore deposit in Xinjiang. Miner. Depos. 2005, 24, 409–415. [Google Scholar]
- Xue, W.; Xue, C.; Chi, G.; Peng, Y.; Wang, K. Trace Element and REE Geochemical Characteristics of Sandstone-type Uranium Deposit in the Dongsheng Area of the Ordos Basin, China. Geoscience 2010, 24, 776–784. [Google Scholar]
- Nie, F.; Yan, Z.; Feng, Z.; Li, M.; Xia, F.; Zhang, C.; Wang, Y.; Yang, J.; Kang, S.; Shen, K. Genetic models and exploration implication of the paleochannel sandstone-type uranium deposits in the Erlian Basin, North China—A review and comparative study. Ore. Geol. Rev. 2020, 127, 103821. [Google Scholar] [CrossRef]
- Wang, S.Y.; Cheng, Y.H.; Xu, D.H.; Miao, P.S.; Jin, R.S.; Zhang, T.F.; Xu, Z.L.; Cheng, X.Y.; Zhao, L.; Li, C.H.; et al. Late Cretaceous-Cenozoic tectonic-sedimentary evolution and U-enrichment in the southern Songliao Basin. Ore. Geol. Rev. 2020, 126, 103786. [Google Scholar] [CrossRef]
- Liu, Z.; Yang, B.; Zhao, X.; Wang, T. Mineral Ingredient and Geochemical Characteristics of Uranium Mineralization at Shihongtan Uranium Deposit, Turpan-Hami Basin. Xinjiang Geol. 2018, 36, 257–261. [Google Scholar]
- Chen, G.; Sun, Z.; Nie, F.; Li, C.; Zhen, Y.; Zhou, Z. Hydrogeochemical characteristics of the sandstone-hosted uranium mineralization in northern Ordos Basin, China. Ore. Geol. Rev. 2020, 126, 103769. [Google Scholar] [CrossRef]
- Ren, J.; Xia, Y.; Zhang, Z.; Lin, Y. Study on the Hydrological Conditions of Qianjiadian Sandstone Type Uranium for In-situ Leaching Mining in Songliao Basin. Uranium. Min. Metall. 2022, 41, 21–29. [Google Scholar] [CrossRef]
- Cao, L.; Qiao, H.; Zhou, W.; Wu, Z. Analysis on affecting factors of metallogenic difference in the southern ore belt of Shihongtan uranium deposit. World Nucl. Geosci. 2018, 35, 77–83. [Google Scholar]
- Yue, S.; Wang, G. Relationship between the hydrogeochemical environment and sandstone-type uranium mineralization in the Ili basin, China. Appl. Geochem. 2011, 26, 133–139. [Google Scholar] [CrossRef]
- Qiao, H.; Song, Z.; Zhang, J. The effect of gas from the groundwater in the forming of uranium deposit at Shihongtan. Uranium. Geol. 2009, 25, 222–227. [Google Scholar]
- Qiao, H.; Zhang, T.; Zhang, F.; Shang, G.; Song, Z. Hydrogeochemical characteristics of Shihongtan uranium deposit in Turpan-Hami basin. Uranium. Geol. 2005, 21, 345–352. [Google Scholar]
- Li, Y.; Li, S.; Ren, M. Study on the Relationship Between Hydrogeological Models with Uranium Mineralization, Take Uranium of Northern Ili Basin as an Example. Xinjiang Geol. 2019, 37, 107–111. [Google Scholar]
- Lin, X.; Li, X.; Liu, W.; Xu, Q. Hydrogeological Conditions of Uranium Mineralization in Yihegaole Area, Erlian Basin. Uranium. Geol. 2020, 36, 464–476. [Google Scholar]
- Lin, X.; Liu, H.; Wang, Z.; Hao, W. Hydrogeochemical Modeling Study on Mengqiguer Uranium Deposit in Yili Basin. Uranium. Geol. 2017, 33, 346–355. [Google Scholar]
- Chen, G.; Sun, Z.; Wang, G.; Liu, J. The isotopic and chemical characteristics of groundwater from Shihongtan uranium deposit and its surrounding area. Geochim. Cosmochim. Acta 2009, 73, A212. [Google Scholar]
- Chen, Z.; Man, A.; Chen, X.; Xiong, Y.; Shao, J.; Wang, L.; Sun, P. Relationship Between Hydrogeology and Sandstone Uranium Mineralization in Sedimentary Basin: A Case Study of Sandstone Uranium Survey in the Kailu Depression of the Songliao Basin. Geotecton. Metallog. 2021, 45, 1174–1184. [Google Scholar]
- Iskander, F.Y. Assessment of trace elements in honey produced on uranium mining reclaimed land. Sci. Total Environ. 1996, 192, 119–122. [Google Scholar] [CrossRef]
- Yao, Y.; Liu, D.; Yan, T. Geological and hydrogeological controls on the accumulation of coalbed methane in the Weibei field, southeastern Ordos Basin. Int. J. Coal. Geol. 2014, 121, 148–159. [Google Scholar] [CrossRef]
- Gang, W.; Fa, Z.; Dapeng, H.; Ji’An, L. Analysis of In-situ Leaching Feasibility in Northern Belt of Shihongtan Uranium Deposits in Xinjiang Turpan. J. East China Inst. Technol. (Nat. Sci. Ed.) 2015, 38, 58–63. [Google Scholar]
- Qiu, W.; Liu, Z.; Yang, Y.; Weng, H.; Jia, Y.; Wu, J.; Li, H.; Liu, S.; Wu, J. Reactive transport numerical modeling of CO2 + O2 in-situ leaching in sandstone-type uranium ore. Sci. Sin. (Technol.) 2022, 52, 627–638. [Google Scholar]
- Hao, J. Application of Geochemical Model in the Prediction of Sandstone-Type Uranium Deposits in Eastern Erlian Basin. Uranium. Geol. 2013, 29, 24–30, 46. [Google Scholar]
- Lin, N.; Shutao, H.; Guisheng, Y. The characteristics of uranium mineralization and cenesis of Nuheting uranium deposit in Erlian basin inner mongolian. China Nucl. Sci. Technol. Rep. 1995, 00, 1005–1017. [Google Scholar]
- Zhang, P.; Nie, F.; Zhang, C.; Zhang, H.; Dong, Y.; Zhang, X. Characteristics and Its Implications for the Mineralization of the Sandstone from Uranium-Bearing Target Layer in Langka, Yili Basin. Sci. Technol. Eng. 2018, 18, 29–38. [Google Scholar]
- Jiao, Y.; Chen, A.; Wang, M.; Wu, L.; Yuan, H.; Yang, Q.; Zhang, C.; Xu, Z. Genetic Analysis of the Bottom Sandstone of Zhiluo Formation, Northeastern Ordos Basin:Predictive base of spatial orientation of sandstone-type uranium deposit. Acta Sedimentol. Sin. 2005, 23, 371–379. [Google Scholar]
- Ma, X.; Wang, K.; Jin, R.; Li, J.; Zhou, H.; Yang, H. Characteristics of fluid inclusions in the sandstone-hosted Qianjiadian uranium deposit, southwest Songliao Basin, northeastern China: Implications for the nature and evolution of ore-forming fluids. Resour. Geol. 2022, 72, e12281. [Google Scholar] [CrossRef]
- Min, M.; Peng, X.; Zhou, X.; Qiao, H.; Wang, J.; Zhang, L. Hydrochemistry and isotope compositions of groundwater from the Shihongtan sandstone-hosted uranium deposit, Xinjiang, NW China. J. Geochem. Explor. 2007, 93, 91–108. [Google Scholar] [CrossRef]
- Zhao, L.; Deng, J.; Xu, Y.; Zhang, C. Mineral alteration and pore-plugging caused by acid in situ leaching: A case study of the Wuyier uranium deposit, Xinjiang, NW China. Arab. J. GeoSci. 2018, 11, 707. [Google Scholar] [CrossRef]
- Huang, G.; Yu, F.; Pan, J.; Cheng, Z.; Wu, D.; Xue, W.; Song, T.; Li, S. Genesis of pyrite from the Mengqiguer uranium deposit in Ili Basin of Xinjiang and its implication for mineralization. Geol. China 2021, 48, 507–519. [Google Scholar]
- Zhang, X.; Nie, F.; Xia, F.; Zhang, C.; Feng, Z.; Ullah, R.; Zhang, P. Provenance constraints on the Xishanyao Formation, southern Yili Basin, northwest China: Evidence from petrology, geochemistry, and detrital zircon U-Pb geochronology. Can. J. Earth Sci. 2018, 55, 1020–1035. [Google Scholar] [CrossRef]
- Gao, B.; Sun, Z.X.; Wang, G.C. Geochemical characteristics of the Shihongtan uranium deposit in Turpan-Hami basin, West Clehina. Geochim. Cosmochim. Acta 2008, 72, A292. [Google Scholar]
- Liu, H.; Ding, B.; Liu, Z.; Zhang, X.; Pan, C. Genesis of strong kaolinization in ore-bearing sandstone from Mengqiguer uranium deposit, Yili Basin, China. Acta Mineral. Sin. 2017, 37, 40–48. [Google Scholar]
- Zhu, X.; Wang, Y.; Wang, Z.; Zhang, C.; Liu, J. Trace element geochemistry of sandstone-type uranium deposits in dongsheng area. Geol. -Geochem. 2003, 31, 39–45. [Google Scholar]
- Li, R.; Liu, C.; Li, Z.; Liang, L. Geochemical Characteristics of Trace Elements of Sandstone-type Uranium Deposit in Huhe Area, Bayintala Depression. Uranium. Geol. 2015, 31, 438–444, 466. [Google Scholar]
- Kong, L.; Su, M.; Mai, Z.; Li, H.; Diao, Z.; Xiong, Y.; Chen, D. Removal of uranium from aqueous solution by two-dimensional electrosorption reactor. Environ. Technol. Innov. 2017, 8, 57–63. [Google Scholar] [CrossRef]
- Zhao, L.; Cai, C.; Jin, R.; Li, J.; Li, H.; Wei, J.; Guo, H.; Zhang, B. Mineralogical and geochemical evidence for biogenic and petroleum-related uranium mineralization in the Qianjiadian deposit, NE China. Ore. Geol. Rev. 2018, 101, 273–292. [Google Scholar] [CrossRef]
- Zhu, Q.; Yu, R.; Feng, X.; Li, J.; Sima, X.; Tang, C.; Xu, Z.; Liu, X.; Si, Q.; Li, G.; et al. Mineralogy, geochemistry, and fluid action process of uranium deposits in the Zhiluo Formation, Ordos Basin, China. Ore. Geol. Rev. 2019, 111, 102984. [Google Scholar] [CrossRef]
- Qiu, G. Discussion on radioactive environmental impact assessment for the decommission of uranium mining and milling facilities. Uranium. Geol. 2008, 24, 188–192. [Google Scholar]
- Mao, Y.; Yong, J.; Liu, Q.; Wu, B.; Chen, H.; Hu, Y.; Feng, G. Heavy Metals/Metalloids in Soil of a Uranium Tailings Pond in Northwest China: Distribution and Relationship with Soil Physicochemical Properties and Radionuclides. Sustainability 2022, 14, 5315. [Google Scholar] [CrossRef]
- Wang, Q.; Hu, N.; Ding, D.; Zhang, G.; Hu, E.; Zhang, H.; Yang, Y.; Jiang, X. Removal of NO_3~--N From Polluted Groundwater in Decommissioned Mining Area in an In-situ Leach Uranium Mine by Denitrifying Bacteria Bioreactor. At. Energy Sci. Technol. 2013, 47, 1300–1306. [Google Scholar]
- Dong, Y.; Xie, Y.; Li, G.; Zhang, J. Efficient natural attenuation of acidic contaminants in a confined aquifer. Environ. Earth Sci. 2016, 75, 595. [Google Scholar] [CrossRef]
- Wang, Z.; Qin, H.; Wang, J. Accumulation of uranium and heavy metals in the soil-plant system in Xiazhuang uranium ore field, Guangdong Province, China. Environ. Geochem. Health 2019, 41, 2413–2423. [Google Scholar] [CrossRef] [PubMed]
- Yu, X.; Song, Y.; Wei, G.; Yu, G.; Gao, Y.; Xiao, F.; Ma, M. Pollution Characteristics of U and Th in Soil and Plant Screening in Light Rare Earth Tailings. Environ. Sci. Technol. 2020, 43, 26–30. [Google Scholar]
- Li, M.; Gao, F.; Zhang, X.; Lv, S.; Huang, J.; Wu, X.; Fang, Q. Recovery of uranium from low-grade tailings by electro-assisted leaching. J. Clean Prod. 2020, 271, 122639. [Google Scholar] [CrossRef]
- Brown, P.L.; Guerin, M.; Hankin, S.I.; Lowson, R.T. Uranium and other contaminant migration in groundwater at a tropical Australian Uranium Mine. J. Contam. Hydrol. 1998, 35, 295–303. [Google Scholar] [CrossRef]
- Wu, Y.; Li, J.; Wang, Y.; Xie, X. Variations of uranium concentrations in a multi-aquifer system under the impact of surface water-groundwater interaction. J. Contam. Hydrol. 2018, 211, 65–76. [Google Scholar] [CrossRef]
- Atkins, M.L.; Santos, I.R.; Perkins, A.; Maher, D.T. Dissolved radon and uranium in groundwater in a potential coal seam gas development region (Richmond River Catchment, Australia). J. Environ. Radioact. 2016, 154, 83–92. [Google Scholar] [CrossRef]
- Shi, S.; Tang, X.; Yang, Y.; Liu, Z. Biological effects of uranium in water, soil and rice in uranium deposits in southern China. J. Radioanal. Nucl. Ch. 2021, 328, 507–517. [Google Scholar] [CrossRef]
- Zhang, Y.; Ma, L.; Zhang, B.; Li, X. Discussion the influence of the in-suit leaching process on groundwater environment in a low permeability uranium deposit. Uranium. Min. Metall. 2017, 36, 75–86. [Google Scholar] [CrossRef]
- Dong, H.; Li, X.; Zhang, B. Experimental study on CO2 + O2 in-suit leaching of uranium in a uranium mine in Inner Mongolia. Uranium. Min. Metall. 2019, 38, 8–13. [Google Scholar] [CrossRef]
- Long, H.; Shen, H.; He, X.; Chen, L.; Zuo, W. Practice of groundwater control in acid in-suit leaching of uranium. Uranium. Min. Metall. 2017, 36, 58–65. [Google Scholar] [CrossRef]
- Zhang, W.; Liu, H.; Fan, X.; Zhuo, Z.; Guo, Y. Removal of uranium from aqueous solution by a permeable reactive barrier loaded with hydroxyapatite-coated quartz sand: Implication for groundwater remediation. Geochemistry 2020, 80, 125545. [Google Scholar] [CrossRef]
- Kirsch, K.; Navarre-Sitchler, A.K.; Wunsch, A.; McCray, J.E. Metal Release from Sandstones under Experimentally and Numerically Simulated CO2 Leakage Conditions. Environ. Sci. Technol. 2014, 48, 1436–1442. [Google Scholar] [CrossRef] [PubMed]
- Youlton, B.J.; Kinnaird, J.A. Gangue-reagent interactions during acid leaching of uranium. Min. Eng. 2013, 52, 62–73. [Google Scholar] [CrossRef]
- Tan, K.; Li, C.; Liu, J.; Qu, H.; Xia, L.; Hu, Y.; Li, Y. A novel method using a complex surfactant for in-situ leaching of low permeable sandstone uranium deposits. Hydrometallurgy 2014, 150, 99–106. [Google Scholar] [CrossRef]
- Ji, H.; Zhou, Y.; Sun, Z.; Yang, Y. Analysis of and Discussion on CO2 + O2 In-situ Leaching of Uranium Process at Mengqiguer Deposit. Nonferrous Met. (Extr. Metall.) 2018, 10, 55–59. [Google Scholar]
- Guo, Y.; Wei, W.; Cheng, L.; Li, J.; Han, X. U, Th and 226Ra Vertical Migration in Sub-Clay From an Uranium Tailings Impoundment. Radiat. Prot. 2005, 25, 24–30. [Google Scholar]
- Yao, F.; Xiaolei, J.; Liangshu, X. Contamination Assessment to a Uranium Mine in China Based on the Fault Tree Analysis. J. Univ. Souht China (Sci. Technol.) 2015, 29, 22–26. [Google Scholar] [CrossRef]
- Tian, X.; Diao, C. Analysis of environmental impact about in-situ leaching uranium mines of Xinjiang and measures of pollution prevention. Uranium. Min. Metall. 2010, 29, 29–32. [Google Scholar] [CrossRef]
- Zhong, J.; Zhang, Z.; Xia, M. Research on in-suit leaching technological mineralogy in Qian IV block of Qianjiadian uranium deposit in southern Songliao Basin. Miner. Explor. 2022, 13, 192–199. [Google Scholar] [CrossRef]
- He, C.; Tan, K.; Li, Y.; Liu, Z.; Zhang, Q.; Li, D.; Liu, Z. Pollution characteristics and mechanism of groundwater of acid and CO2 In-situ leaching mining area of uranium deposit in Xinjiang, China. Nonferrous Met. (Extr. Metall.) 2021, 6, 53–59. [Google Scholar]
- Zuo, W.; Tan, K. The characteristics of groundwater contamination of a decommissioned wellfield in some in suit leaching uranium min, Xinjiang, China. J. Univ. South China (Sci. Technol.) 2014, 28, 28–34. [Google Scholar] [CrossRef]
- Zeng, S.; Shen, Y.; Sun, B.; Zhang, N.; Zhang, S.; Feng, S. Pore structure evolution characteristics of sandstone uranium ore during acid leaching. Nucl. Eng. Technol. 2021, 53, 4033–4041. [Google Scholar] [CrossRef]
- Cheng, Y.; Hu, X.; Kong, Y.; Dong, Y.; Guo, J.; Wang, L.; Wang, J. Imaging acidic contaminants in a confined aquifer using electromagnetic geophysical method constrained by hydrochemical data. J. Hydrol. 2022, 609, 127704. [Google Scholar] [CrossRef]
- Darby, S.C.; Whitley, E.; Howe, G.R.; Hutchings, S.J.; Kusiak, R.A.; Lubin, J.H.; Morrison, H.I.; Tirmarche, M.; Tomasek, L.; Radford, E.P.; et al. Radon and cancers other than lung-cancer in underground miners—A collaborative analysis of 11 studies. Jnci.-J. Natl. Cancer I 1995, 87, 378–384. [Google Scholar] [CrossRef]
- Bernhard, S.; Legac, J.A.; Zettwoog, P.R.; Sequin, H. Occupational exposure to rn in non-uranium mines in the european-community. Health Phys. 1985, 49, 999–1002. [Google Scholar] [PubMed]
- Lespukh, E.; Stegnar, P.; Yunusov, M.; Tilloboev, H.; Zyazev, G.; Kayukov, P.; Hosseini, A.; Stromman, G.; Salbu, B. Assessment of the radiological impact of gamma and radon dose rates at former U mining sites in Tajikistan. J. Environ. Radioact. 2013, 126, 147–155. [Google Scholar] [CrossRef]
- Hu, L.; Guo, D.; Li, Z.; Li, Y.; Zhang, N. Design of cover system for decommissioning of uranium mill tailings pond. Uranium. Min. Metall. 2021, 40, 70–75. [Google Scholar] [CrossRef]
- Jiang, X.; Yan, D.; He, Y.; Zhao, X.; Ding, K. Survey of radioactivity level of uranium in plants within uranium tailings waste backfilling area. Radiat. Prot. 2018, 38, 132–136. [Google Scholar]
- Luo, Y.; Peng, Q.; Li, K.; Gong, Y.; Liu, Y.; Han, W. Patterns of nitrogen and phosphorus stoichiometry among leaf, stem and root of desert plants and responses to climate and soil factors in Xinjiang, China. Catena 2021, 199, 105100. [Google Scholar] [CrossRef]
- Lu, L.; Mao, L.; Yang, T.; Ye, J.; Liu, B.; Li, H.; Sun, M.; Miller, J.T.; Mathews, S.; Hu, H.; et al. Evolutionary history of the angiosperm flora of China. Nature 2018, 554, 234. [Google Scholar] [CrossRef]
- Feng, Y.; Hu, X.; Lu, L.; Zhou, W.; Zhang, Y. The Migration of U and Th in the Tailings-plants System. Earth Environ. 2014, 42, 201–206. [Google Scholar]
- Yan, D.; Ding, K.; He, Y.; Fan, L.; Zuo, R.; Jiang, X. Uptake of uranium by plants growing around an old uranium mill tailing in northeast China. Fresen. Environ. Bull 2018, 27, 3102–3106. [Google Scholar]
- Tang, Q.; Yang, J.; Tian, C.; Jin, R.; Li, J.; Ao, C.; Zhang, Z. In-situ leaching for sandstone type uranium deposit in Songliao basin and ecological conservation. North China Geol. 2016, 39, 136–139. [Google Scholar]
- Long, B.; Lu, X.; Li, Y.; Tao, J. Decommissioning governance and significance of geological exploration engineering facilities of a military uranium mine in Heilongjiang Province. Jilin Geol. 2021, 40, 77–79. [Google Scholar]
- Gavrilescu, M.; Pavel, L.V.; Cretescu, I. Characterization and remediation of soils contaminated with uranium. J. Hazard Mater. 2009, 163, 475–510. [Google Scholar] [CrossRef]
- Lovley, D.R.; Phillips, E.; Gorby, Y.A.; Landa, E.R. Microbial Reduction of Uranium. Nature 1991, 350, 413–416. [Google Scholar] [CrossRef]
- Borch, T.; Kretzschmar, R.; Kappler, A.; Van Cappellen, P.; Ginder-Vogel, M.; Voegelin, A.; Campbell, K. Biogeochemical Redox Processes and their Impact on Contaminant Dynamics. Environ. Sci. Technol. 2010, 44, 15–23. [Google Scholar] [CrossRef]
- Wu, W.; Carley, J.; Gentry, T.; Ginder-Vogel, M.A.; Fienen, M.; Mehlhorn, T.; Yan, H.; Caroll, S.; Pace, M.N.; Nyman, J.; et al. Pilot-scale in situ bioremedation of uranium in a highly contaminated aquifer. 2. Reduction of U(VI) and geochemical control of U(VI) bioavailability. Environ. Sci. Technol. 2006, 40, 3986–3995. [Google Scholar] [CrossRef]
- Xiao, J.; Pang, Z.; Zhou, S.; Chu, L.; Rong, L.; Liu, Y.; Li, J.; Tian, L. The mechanism of acid-washed zero-valent iron/activated carbon as permeable reactive barrier enhanced electrokinetic remediation of uranium-contaminated soil. Sep. Purif. Technol. 2020, 244, 116667. [Google Scholar] [CrossRef]










| Area | Location | Water Type | Hydrochemical Type | pH | TDS (mg/L) | Uranyl Types | Concentration of U (μg/L) | References |
|---|---|---|---|---|---|---|---|---|
| Songnen Basin | Qianjiadian | Confined groundwater of Yaojia Fm | HCO3· Cl-Na, Cl·HCO3-Na | 7.15–7.79 | 3.64–4.12 | UO2(CO3)34−, UO2(CO3)22− | 130–312 | [48,61] |
| Erlian Basin | Yihegaole | Bedrock fissure water | HCO3·SO4-Na·Mg, HCO3·SO4-Na·Ca | 7.12–10.87 | <2000 | UO2(CO3)34−, UO2(CO3)22− | 0.02–244 | [62] |
| Ordos Basin | Northern basin | Surface water | / | 9.31–9.32 | 412–3710 | / | 1.14–1.18 | [47] |
| Jurassic confined water | SO4·Cl-Na | 8.58–12.34 | 157–1060 | UO2(OH)3−, UO2(CO3)34−, UO2(OH)2 | 0.44–1120 | |||
| Turpan-Hami Basin | Southern Shihongtan | Bedrock fissure water | Cl·SO4-Na, Cl-Na, SO4-Ca·Mg | 8.02–8.25 | 8250–12,160 | UO2(CO3)34−, UO2(CO3)22− | 44.5–4237 | [51,52] |
| Ili Basin | South edge of the basin | Jurassic interlayer porous confined water | HCO3-Ca, HCO3-Ca·Na, HCO3·SO4-Na·Ca, SO4·HCO3-Ca·Na, SO4·Cl-Na·Ca | 7.8–8.5 | 50–2790 | UO2(CO3)34−, UO2(CO3)22− | 10–1200 | [50,55] |
| Area | Location | Ore Types | Grade (%) | Lithic Fragments Ratio (%) | Carbonate Content (%) | Organic Matter Content (%) | Associated Minerals | Enriched Trace Elements | References |
|---|---|---|---|---|---|---|---|---|---|
| Songnen Basin | Qianjiadian | Coarse brownish red feldspathic sandstone, fine–coarse gray sandstone, red mudstone | 0.01–0.03 | 90 | 2 | Ave: 0.2 Max: 1.0 | Pyrite, siderite | V, Cr, Co, Ni, Zn | [26,36,66,68] |
| Erlian Basin | Nuheting | Dark gray silty mudstones, siltstone | 0.03–1.0 | 60–90 | 1.9 | 0.1–0.82 | Pyrit | V, Mo, Cu, Pb, Zn, Se, Ni | [34,63] |
| Ordos Basin | Nalinggou | Red, green and gray mudstones, siltstones and sandstones | 0.01–0.05 | 80–90 | 2.67 | Ave: 0.5 Max: 5–10 | Coal, pyrite, chalcopyrite | Rb, Ba, Th, K, Pb | [28,65,70] |
| Turpan-Hami Basin | Shihongtan | Gray white, light gray, light brown, yellow sandstone | 0.01–0.09 | 20–50 | 2–3 | 0.1–1.5 | Pyrite | V, Se, Mo, Re | [56,67,71] |
| Ili Basin | South edge of the basin | Gritstone, gravel sandstone, sandstone, siltstone, mudstone, and coalstone | 0.01–0.2 | 46–79 | 5–25 | 0.1–2.8 | Pyrite, coal | As, Ag, Sb, Se, Fe, S, Mo | [64,69,72] |
| Location | Mining Method | pH | Concentration of Main Abnormal Elements (Background Value, mg/L) | Other Abnormal Indices | References | |||||
|---|---|---|---|---|---|---|---|---|---|---|
| Ca2+ | Mg2+ | U | SO42− | Fe | ||||||
| Ili Basin Mine No. 737, 738 and 739 | Acid (Decommissioned) | / | 360 (17) | 252 (1) | 3.9 (<0.1) | 3920 (127) | 275 (<1) | K, Na, Re, Th, Mn, Cu | [99] | |
| Inner Mongolia | CO2 + O2 | 7.62 (8.76) | 16.10 (5.24) | 8.17 (3.35) | 43.05 (0.14) | 272 (64) | 0.09 (0.09) | TDS, HCO3−, Cl− | [90,91] | |
| Ili Basin (A mixed leaching mine) | Acid | 1.73 | 766 | 342 | 11.2 | 15222 | 363 | NO3−, K, NaAl, Cu, Zn, Cd, Pb, Th, As | [101] | |
| CO2 + O2 | 7.32 (8.32) | 342 (78) | 99 (13) | 60.0 (<0.1) | 1139 (127) | 0.04 (0.15) | ||||
| Pollution halo | pH | Ca2+ | Mg2+ | U | SO42− | Fe | NO3− | Cl− | [102] | |
| Ili Basin | Vertically adjacent aquifers | 7.55 (8.04) | 104.3 (78) | 23.8 (0.03) | 0.03 (/) | 216.8 (83.5) | 3.13 (60) | 0.73 (0.84) | 75.1 (24.8) | |
| Upstream | 7.43 | 91.5 | 28.6 | 0.026 | 202.4 | 2.38 | 2.81 | 42.35 | ||
| Mining area | 3.42 | 266.5 | 232.62 | 6.28 | 4029.8 | 209.83 | 111.04 | 74.67 | ||
| 200 m downstream | 7.03 | 183.2 | 52.16 | 0.315 | 606.5 | 2.13 | 44.49 | 185.35 | ||
| 1000 m downstream | 7.5 | 81.6 | 27.36 | 0.054 | 109.4 | 0.57 | 0.06 | 52.48 | ||
| 350 m from the side | 7.37 | 121.1 | 33.01 | 0.022 | 414.5 | 1.13 | 0.06 | 77.25 | ||
Disclaimer/Publisher’s Note: The statements, opinions and data contained in all publications are solely those of the individual author(s) and contributor(s) and not of MDPI and/or the editor(s). MDPI and/or the editor(s) disclaim responsibility for any injury to people or property resulting from any ideas, methods, instructions or products referred to in the content. |
© 2023 by the authors. Licensee MDPI, Basel, Switzerland. This article is an open access article distributed under the terms and conditions of the Creative Commons Attribution (CC BY) license (https://creativecommons.org/licenses/by/4.0/).
Share and Cite
Zheng, F.; Teng, Y.; Zhai, Y.; Hu, J.; Dou, J.; Zuo, R. Geo-Environmental Models of In-Situ Leaching Sandstone-Type Uranium Deposits in North China: A Review and Perspective. Water 2023, 15, 1244. https://doi.org/10.3390/w15061244
Zheng F, Teng Y, Zhai Y, Hu J, Dou J, Zuo R. Geo-Environmental Models of In-Situ Leaching Sandstone-Type Uranium Deposits in North China: A Review and Perspective. Water. 2023; 15(6):1244. https://doi.org/10.3390/w15061244
Chicago/Turabian StyleZheng, Fuxin, Yanguo Teng, Yuanzheng Zhai, Jingdan Hu, Junfeng Dou, and Rui Zuo. 2023. "Geo-Environmental Models of In-Situ Leaching Sandstone-Type Uranium Deposits in North China: A Review and Perspective" Water 15, no. 6: 1244. https://doi.org/10.3390/w15061244
APA StyleZheng, F., Teng, Y., Zhai, Y., Hu, J., Dou, J., & Zuo, R. (2023). Geo-Environmental Models of In-Situ Leaching Sandstone-Type Uranium Deposits in North China: A Review and Perspective. Water, 15(6), 1244. https://doi.org/10.3390/w15061244

