Appropriate Water-Nitrogen Regulation Mode to Improve Productivity of Mixed-Sowing Grassland of Bromus inermis and Alfalfa
Abstract
1. Introduction
2. Materials and Methods
2.1. Description of the Experimental Site
2.2. Experimental Design and Field Management
2.3. Indicators and Methods for Measurement
2.3.1. Soil Moisture Content (%)
2.3.2. Water Consumption (mm)
2.3.3. Plant Height (PH, cm)
2.3.4. Leaf Area Index (LAI)
2.3.5. Yield (Y, kg·ha−1)
2.3.6. Quality
- (1)
- CP content (%)
- (2)
- Relative feeding value (RFV)
2.3.7. Water-Nitrogen Use Efficiency
- (1)
- WUE (kg·m−3)
- (2)
- Irrigation water use efficiency (IWUE, kg·m−3)
- (3)
- PFPN (kg·kg−1)
- (4)
- Water use efficiency of crude protein (CPWUE, kg·m−3)
2.4. Evaluation Methods
2.4.1. Principal Component Analysis (PCA) [32,33]
- (1)
- Data Standardization
- (2)
- Calculating the correlation coefficient matrix;
- (3)
- Calculating factor loads for principal component analysis, eigenvalue, and variance contribution rate;
- (4)
- Calculating the composite scores and sorting them by composite scores.
2.4.2. TOPSIS
- (1)
- Calculating the matrix Mij of each evaluation index under different water and nitrogen regulations [34];
- (2)
- Calculating the best set Mi+ and the worst set Mi−, calculating the distance between different indicators and the optimal and worst values according to Mij, Mi+, and Mi−;
- (3)
- Calculating the relative proximity Ci and performing a comprehensive sort according to the Ci value (the closer the Ci value is to 1, the higher the comprehensive ranking).
2.4.3. The Combined Evaluation
- (1)
- The Spearman rank correlation coefficient was used for the consistency test to obtain the R-value;
- (2)
- The results obtained by principal component analysis and TOPSIS comprehensive evaluation were calculated for membership degree (Uij);
- (3)
- The fuzzy frequencies, Phi and Whi, were calculated;
- (4)
- The ranking was converted into a score Qhi, and the score Bi was calculated using the fuzzy Borda method and ranked according to the score value.
2.5. Data Analysis
3. Results
3.1. Herbage Growth
3.1.1. Plant Height, Leaf Area Index, and Yield
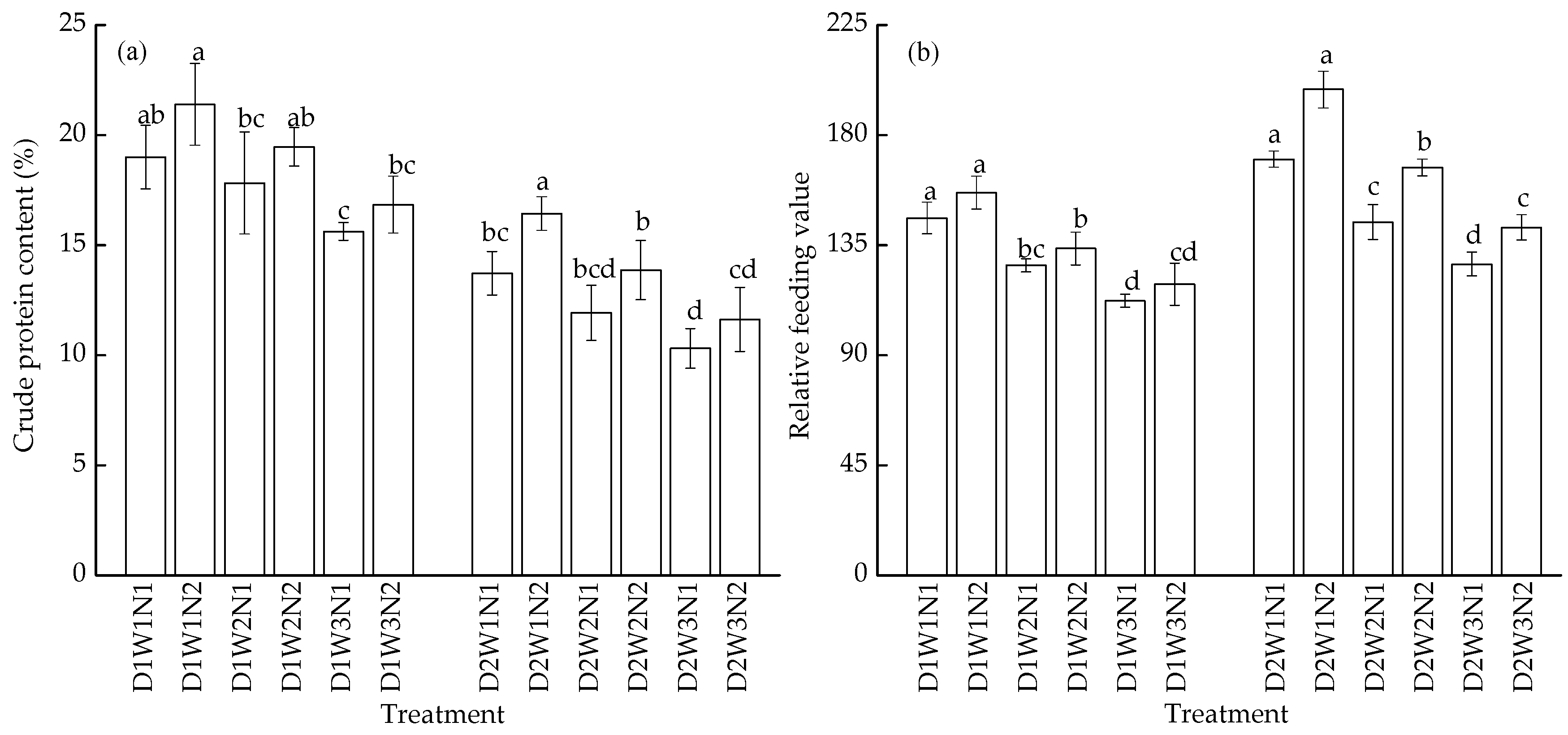
3.1.2. Quality
3.1.3. Water-Nitrogen Use Efficiency
3.2. Comprehensive Evaluation
3.2.1. Principal Component Analysis (PCA)
- (1)
- Correlation coefficient matrix
- (2)
- Factor load, eigenvalue, and variance contribution rate of principal component analysis
- (3)
- Comprehensive score.
3.2.2. TOPSIS Comprehensive Evaluation
3.2.3. Combination Evaluation
4. Discussion
4.1. Effects of the Water-Nitrogen Regulation on Growth, Yield, and Quality of Herbage
4.2. Effects of the Water-Nitrogen Regulation on the Water-Nitrogen Use Efficiency of Herbage
4.3. Water-Nitrogen Regulation and Planting Pattern for Herbage Growth
5. Conclusions
Author Contributions
Funding
Institutional Review Board Statement
Informed Consent Statement
Data Availability Statement
Acknowledgments
Conflicts of Interest
References
- Sanderson, M.A.; Skinner, R.H.; Barker, D.J.; Edwards, G.R.; Tracy, B.F.; Wedin, D.A. Plant species diversity and management of temperate forage and grazing land ecosystems. Crop Sci. 2004, 44, 1132–1144. [Google Scholar] [CrossRef]
- Hou, M.; Zhao, H.; Zheng, W.; Yan, X. Vegetation responses to climate change by using the satellite-derived normalized difference vegetation index: A review. Clim. Environ. Res. 2013, 18, 353–364. [Google Scholar] [CrossRef]
- To 2021 the state of the ecological environment of China Bulletin (Excerpt). Environ. Prot. 2022, 50, 61–74. [CrossRef]
- Liu, Y.; Wang, M.; Jiang, N. Analysis of trade pattern and development trends of Chinese grass products. Pratacultural Sci. 2018, 35, 2765–2772. [Google Scholar] [CrossRef]
- Kankarla, V.; Shukla, M.K.; Picchioni, G.A. Root growth, architecture, and ion uptake of alfalfa and triticale irrigated with brackish groundwater and reverse osmosis concentrate. Agrosystems Geosci. Environ. 2021, 4, e20180. [Google Scholar] [CrossRef]
- Saeidnia, F.; Majidi, M.M.; Dehghani, M.R.; Mirlohi, A.; Araghi, B. Multi environmental evaluation of persistence and drought tolerance in smooth bromegrass (Bromus inermis): Genetic analysis for stability in combining ability. Crop Pasture Sci. 2021, 72, 565–574. [Google Scholar] [CrossRef]
- Zolotarev, V.N.; Saprykin, S.V.; Ivanov, I.S. Evaluation of breeding material of awnless rump (Bromus inermis Leyss.) for productivity in agrophytocenoses mixed with alfalfa. IOP Conf. Ser. Earth Environ. Sci. 2021, 901, 012029. [Google Scholar] [CrossRef]
- Nie, T.Z.; Huang, J.Y.; Zhang, Z.X.; Chen, P.; Li, T.C.; Dai, C.L. The inhibitory effect of a water-saving irrigation regime on CH4 emission in Mollisols under straw incorporation for 5 consecutive years. Agric. Water Manag. 2023, 278, 108163. [Google Scholar] [CrossRef]
- Wen, Y.; Zhang, J.; Feng, M.; Guo, Z.G. Effects of irrigation and nitrogen fertilizer on alfalfa quality. Acta Prataculturae Sinica. 2018, 27, 76–83. [Google Scholar] [CrossRef]
- Kou, D.; Su, D.R.; Wu, D.; Li, Y. Effects of regulated deficit irrigation on water consumption, hay yield and quality of alfalfa under subsurface drip irrigation. Trans. Chin. Soc. Agric. Eng. 2014, 30, 116–123. [Google Scholar] [CrossRef]
- Montazar, A.; Bachie, O.; Corwin, D.; Putnam, D. Feasibility of moderate deficit irrigation as a water conservation tool in California’s low desert alfalfa. Agronomy 2020, 10, 1640. [Google Scholar] [CrossRef]
- Murali, K.D.; Leonard, M.L.; Dawn, M.V.; Sangamesh, V.A. Influence of irrigation regimes on alfalfa dry matter yield and water productivity in a semiarid subtropical environment. Irrig. Drain. 2022, 69, 1063–1071. [Google Scholar] [CrossRef]
- Mohammed, M.; Abdelaziz, B.; Mohamed, F.; Cherki, G. Assessment of deficit irrigation responses of moroccan alfalfa (Medicago Sativa L.) landraces grown under field conditions. Irrig. Drain. 2018, 67, 179–190. [Google Scholar] [CrossRef]
- Liu, H.; Su, P.F.; Guo, K.Z.; Jie, E.S. Research of irrigation scheduling of spring wheat and alfalfa in arid desert region of northern Xinjiang. Chin. Agric. Sci. Bull. 2012, 28, 187–190. [Google Scholar] [CrossRef]
- Janukaitien, I.; Kacien, G.; Dikaityt, A.; Altauskait, J.; Mikelyt, D.; Sujetovien, G.; Juknys, R. Nitrogen supplement attenuates drought stress for non-leguminous hybrid plant fescue and does not affect nitrogen-fixing alfalfa. J. Agron. Crop Sci. 2021, 208, 283–294. [Google Scholar] [CrossRef]
- Berg, W.K.; Brouder, S.M.; Cunningham, S.M.; Volenec, J.J. Potassium and phosphorus fertilizer impacts on alfalfa taproot carbon and nitrogen reserve accumulation and use during fall acclimation and initial growth in spring. Front. Plant Sci. 2021, 12, 715936. [Google Scholar] [CrossRef] [PubMed]
- Collin, A.; Pound, M.A.; Yost, J.; Earl, C.; Grant, E.; Cardon, J.G.; Kevin, H.; Steven, P.; Michael, P.; Trent, W.; et al. Nitrogen fertilizer needs of first-year small grain forages following alfalfa. Agron. J. 2021, 113, 2006–2017. [Google Scholar] [CrossRef]
- Li, S.J.; Barreiro, A.; Jensen, E.S.; Zhang, Y.J.; Martensson, L.M.D. Early interspecific dynamics, dry matter production and nitrogen use in Kernza (Thinopyrum intermedium)—alfalfa (Medicago sativa L.) mixed intercropping. Acta Agric. Scand. Sect. B-Soil Plant Sci. 2020, 70, 165–175. [Google Scholar] [CrossRef]
- Wen, Y.; Jin, J.Y. Effect of phosphorus levels on photosynthesis and herbage yield and quality of alfalfa. Soil Fertil. Sci. China 2007, 34–37+45. [Google Scholar] [CrossRef]
- Ma, Z.; Zheng, G.L.; He, F.; Tong, Z.Y.; Ji, J.J.; Xu, H.Y.; Li, Z.S.; Cao, J.; Wan, L.Q.; Li, X.L. Effects of applying organic-inorganic compound fertilizer on production performance, nutritional quality and soil nutrient content of alfalfa in Saline-Alkali soil. Acta Agrestia Sin. 2019, 27, 466–472. [Google Scholar]
- Şule, E.; Onur, İ.L.; Halil, İ.E.; Ali, K. Irrigation and phosphorus management of alfalfa (Medicago sativa L.) under semi-arid conditions. Turk. J. Field Crops 2022, 27, 265–275. [Google Scholar] [CrossRef]
- Hu, W.; Zhang, Y.H.; Li, P.; Wang, X.J.; Zhang, P.; He, Y.; Kang, X.Y. Effects of water and nitrogen supply under drip irrigation on the production performance rate and water and nitrogen use efficiency of alfalfa. Acta Prataculturae Sin. 2019, 28, 41–50. [Google Scholar] [CrossRef]
- Luo, F.M.; Lei, H.J.; Wang, J.; Wang, J.; Gao, L.; Gao, J.L.; Dang, X.H. Effects of irrigation and fertilizer on quality of Bromus inermis. Pratacultural Sci. 2014, 31, 2135–2140. [Google Scholar] [CrossRef]
- Tang, Z.X.; Yin, M.H.; Qi, G.P.; Kang, Y.X.; Ma, Y.L.; Wang, J.H.; Jia, Q.; Jiang, Y.B.; Wang, A.X. Effects of optimal irrigation and nitrogen coupling on Bromus inermis yield, nitrogen, phosphorus, and potassium stoichiometric characteristics. J. Plant Nutr. Fertil. 2022, 28, 532–545. [Google Scholar]
- Komainda, M.; Muto, P.; Isselstein, J. Interaction of multispecies sward composition and harvesting management on herbage yield and quality from establishment phase to the subsequent crop. Grass Forage Sci. 2021, 77, 89–99. [Google Scholar] [CrossRef]
- Jenkins, K.H.; Creech, C.F.; Hergert, G.W.; Berger, A.L. Forage yield and nutritive quality of summer-planted annual forages in semi-arid regions after irrigated wheat or in a dryland cropping rotation. Appl. Anim. Sci. 2019, 35, 371–378. [Google Scholar] [CrossRef]
- Wang, Z.Y.; Zhang, H.J.; Wang, Y.C.; Zhou, C.L. Integrated evaluation of the water deficit irrigation scheme of indigowoad root under mulched drip irrigation in arid regions of Northwest China based on the improved TOPSIS method. Water 2021, 13, 1532. [Google Scholar] [CrossRef]
- Zhang, J.; Iwaasa, A.D.; Han, G.; Gu, C.; Wang, H.; Jefferson, P.G.; Kusler, J. Utilizing a multi-index decision analysis method to overall assess forage yield and quality of C3 grasses in the western Canadian prairies. Field Crops Res. 2018, 222, 12–25. [Google Scholar] [CrossRef]
- Liao, Z.M.; Li, J.C.; Chen, D. Evaluation of water level management plan of winter wheat under waterlogging conditions based on entropy weighted TOPSIS model. J. Drain. Irrig. Mach. Eng. 2018, 36, 1306–1311. [Google Scholar] [CrossRef]
- Sarker, U.K.; Kaysar, M.S.; Uddin, M.R.; Hossain, M.A.; Hassan, S.; Hassan, M.M. Exploring farmers’ insight on cropping pattern for sustainable crop production in Char area of Bangladesh. Sustainability 2022, 14, 1745. [Google Scholar] [CrossRef]
- Murphy, S.R.; Boschma, S.P.; Harden, S. A lucerne-digit grass pasture offers herbage production and rainwater productivity equal to a digit grass pasture fertilized with applied nitrogen. Agric. Water Manag. 2022, 259, 107226. [Google Scholar] [CrossRef]
- Li, F.Q.; Deng, H.L.; Wang, Y.C.; Li, X.; Zhang, H.J. Potato growth, photosynthesis, yield, and quality response to regulated deficit drip irrigation under film mulching in a cold and arid environment. Sci. Rep. 2021, 11, 15888. [Google Scholar] [CrossRef] [PubMed]
- Kirkham, F.W.; Tallowin, J. The influence of cutting date and previous fertilizer treatment on the productivity and botanical composition of species-rich hay meadows on the Somerset levels. Grass Forage Sci. 2010, 50, 365–377. [Google Scholar] [CrossRef]
- Liu, X.; Qi, Y.; Li, F.; Yang, Q.; Yu, L. Impacts of regulated deficit irrigation on yield, quality and water use efficiency of Arabica coffee under different shading levels in dry and hot regions of southwest China. Agric. Water Manag. 2018, 204, 292–300. [Google Scholar] [CrossRef]
- Lim, J.; Choi, O.H.; Baik, D.K. An evaluation method for dynamic combination among OSGi bundles based on service gateway capability. IEEE Trans. Consum. Electron. 2008, 54, 1698–1704. [Google Scholar] [CrossRef]
- Wang, W.; Xia, C.; Liu, C.; Wang, Z. Study of double combination evaluation of urban comprehensive disaster risk. Nat. Hazards 2020, 104, 1181–1209. [Google Scholar] [CrossRef]
- Tan, J.; Dong, L.; Zhou, W.J.; Tan, X.L.; Liu, P. Regional differences of Hunan sustainable agricultural development based on combination evaluation. Ecol. Sci. 2020, 39, 110–117. [Google Scholar] [CrossRef]
- Saeed, I.; EI-Nadi, A.H. Irrigation effects on the growth, yield, and water use efficiency of alfalfa. Irrig. Sci. 1997, 17, 63–68. [Google Scholar] [CrossRef]
- Wang, K.L.; Yang, H.L.; Xiao, H.; Sun, W.; Run, Y.P. Effects of nitrogen application and clipping height on vegetation productivity and plant community composition of hay meadow steppe. Sci. Agric. Sin. 2020, 53, 2625–2636. [Google Scholar] [CrossRef]
- Qiu, Y.; Fan, Y.; Chen, Y.; Hao, X.M.; Li, S.E.; Kang, S.Z. Response of dry matter and water use efficiency of alfalfa to water and salinity stress in arid and semiarid regions of Northwest China. Agric. Water Manag. 2021, 254, 103694. [Google Scholar] [CrossRef]
- Li, D.; Fang, H.J.; Wang, D.; Xu, L.J.; Tang, X.J.; Xin, X.P.; Nie, Y.Y.; Wu, R. Coupling mechanism of herbage-water-nitrogen fertilizer in abandoned farmland in Meadow Steppe. Sci. Agric. Sin. 2020, 53, 2691–2702. [Google Scholar] [CrossRef]
- Bi, S.Y.; Cao, J.; Li, Y.; Li, F.X.; Miao, L.H.; Liu, G.Q.; Wan, L.Q.; Li, X.L. Effects of different combination of water and fertilizer on alfalfa quality. Acta Agrestia Sin. 2018, 26, 105–113. [Google Scholar]
- Rostamza, M.; Chaichi, M.R.; Jahansouz, M.R.; Alimadadi, A. Forage quality, water use and nitrogen utilization efficiencies of pearl millet (Pennisetum americanum L.) grown under different soil moisture and nitrogen levels. Agric. Water Manag. 2011, 98, 1607–1614. [Google Scholar] [CrossRef]
- Wallsten, J.; Martinsson, K. Effects of maturity stage and feeding strategy of whole crop barley silage on intake, digestibility and milk production in dairy cows. Livest. Sci. 2009, 121, 155–161. [Google Scholar] [CrossRef]
- Ayars, J.E.; Phene, C.J.; Hutmacher, R.B.; Davis, K.R.; Schoneman, R.A.; Vail, S.S.; Mead, R.M. Subsurface drip irrigation of row crops: A review of 15 years of research at the Water Management Research Laboratory. Agric. Water Manag. 1999, 42, 1–27. [Google Scholar] [CrossRef]
- Yin, G.H.; Liu, Z.X.; Li, G.F.; Liang, H.J.; Cai, C.G. Water use efficiency of water and fertilizer coupling on spring wheat. J. Soil Water Conserv. 2004, 18, 156–158+162. [Google Scholar] [CrossRef]
- Du, X.; Bian, X.J.; Zhang, W.H.; Yang, F.C.; Zhang, L.F. Effects of plastic-film mulching nitrogen application on forage maize in the Agriculture-animal Husbandry Ecotone of North China. Sci. Agric. Sin. 2007, 8, 1206–1213. [Google Scholar] [CrossRef]
- Cruz, C.A.; Filho, A.; Meneses, N.B.; Cunha, T.; Barbosa, J.C. Influence of amount and parceling of nitrogen fertilizer on productivity and industrial revenue of sweet corn (Zea mays L.). Aust. J. Crop Sci. 2015, 9, 895–900. [Google Scholar] [CrossRef]
- Sadras, V.O.; Rodriguez, D. Modelling the nitrogen-driven trade-off between nitrogen utilisation efficiency and water use efficiency of wheat in eastern Australia. Field Crop Res. 2010, 118, 297–305. [Google Scholar] [CrossRef]
- Ma, X.; Wang, J.X.; Zhang, Y.Y.; Hu, H.L. Effects of water and fertilizer conditions on photosynthesis and biomass of two forage grasses in coal gangue soil. Res. Soil Water Conserv. 2021, 28, 179–187. [Google Scholar] [CrossRef]
- Liu, J.; Zhang, S.Y.; Xu, B.; Zhang, Q.X. Effects of water and fertilizer coupling on dry matter accumulation and biological yield of Agropyron cristatum L. J. Inn. Mong. Univ. Natl. (Nat. Sci.) 2015, 30, 231–234. [Google Scholar] [CrossRef]
- Shen, X.H. The changes in anti-oxidant activity of roots in wintering period under single sowing of alfalfa and mixed sowing of alfalfa and bromus inermis Leyss. Asian Agric. Res. 2017, 545, 33–36. [Google Scholar] [CrossRef]




| Soil Properties | Index Value |
|---|---|
| Soil Texture | Sandy Loam |
| Bulk Density (g·cm−3) | 1.44 |
| Field Capacity (% Volumetric Moisture) | 33.0 |
| pH | 7.4 |
| Total Nitrogen (g·kg−1) | 0.21 |
| Available Phosphorus (mg·kg−1) | 3.16 |
| Available Potassium (g·kg−1) | 0.17 |
| Treatments | Planting Patterns | Low Irrigation Limit of Squaring and Initial Flowering Stage/%θf | Nitrogen Application Rate/(kg·ha−1) |
|---|---|---|---|
| D1W1N1 | D1 | 65~85 (W1) | 60 (N1) |
| D1W1N2 | 120N2) | ||
| D1W2N1 | 55~85 (W2) | 60 (N1) | |
| D1W2N2 | 120 (N2) | ||
| D1W3N1 | 45~85 (W3) | 60 (N1) | |
| D1W3N2 | 120 (N2) | ||
| D2W1N1 | D2 | 65~85 (W1) | 60 (N1) |
| D2W1N2 | 120 (N2) | ||
| D2W2N1 | 55~85 (W2) | 60 (N1) | |
| D2W2N2 | 120 (N2) | ||
| D2W3N1 | 45~85 (W3) | 60 (N1) | |
| D2W3N2 | 120 (N2) |
| Planting Patterns | Treatment | Water Use Efficiency (WUE, kg·m−3) | Irrigation Water Use Efficiency (IWUE, kg·m−3) | Nitrogen Partial Factor Productivity (PFPN, kg·kg−1) | Water Use Efficiency of Crude Protein, (CPWUE, kg·m−3) |
|---|---|---|---|---|---|
| Alfalfa and bromus inermis mixed-sowing | D1W1N1 | 4.29ab | 5.14b | 388.03a | 0.81ab |
| D1W1N2 | 4.05c | 4.82c | 217.09d | 0.85a | |
| D1W2N1 | 4.38ab | 5.66a | 369.74b | 0.76ab | |
| D1W2N2 | 4.17bc | 5.26ab | 198.11e | 0.81ab | |
| D1W3N1 | 4.48a | 5.16b | 305.41c | 0.70c | |
| D1W3N2 | 4.41ab | 5.37ab | 176.69f | 0.73c | |
| W | * | ** | ** | ** | |
| N | * | ns | ** | * | |
| W × N | ns | * | ** | ns | |
| Bromus inermis mono-sowing | D2W1N1 | 2.18b | 2.74ab | 183.94a | 0.30bc |
| D2W1N2 | 2.21ab | 2.86ab | 101.55d | 0.36a | |
| D2W2N1 | 2.23ab | 2.69b | 166.69b | 0.26de | |
| D2W2N2 | 2.34a | 2.84ab | 93.49e | 0.33ab | |
| D2W3N1 | 2.33ab | 2.75ab | 146.54c | 0.24e | |
| D2W3N2 | 2.38a | 2.89a | 84.90f | 0.28cd | |
| W | ns | ns | ** | ** | |
| N | * | * | ** | ** | |
| W × N | ns | ns | ** | ns |
| Component | Load Factor | |
|---|---|---|
| Principal Component 1 | Principal Component 2 | |
| PH | 0.978 | 0.163 |
| LAI | 0.976 | 0.205 |
| Y | 0.982 | 0.141 |
| CP | 0.886 | 0.462 |
| RFV | −0.428 | 0.877 |
| WUE | 0.966 | −0.220 |
| IWUE | 0.972 | −0.174 |
| PFPN | 0.762 | −0.265 |
| CPWUE | 0.996 | 0.052 |
| Eigenvalue | 7.292 | 1.223 |
| Variance contribution rate /% | 81.026 | 13.593 |
| Accumulating contribution rate /% | 81.026 | 94.618 |
| Treatment | Score | Ranking | Treatment | Score | Ranking |
|---|---|---|---|---|---|
| D1W1N1 | 0.3790 | 2 | D2W1N1 | −0.2102 | 9 |
| D1W1N2 | 0.5381 | 1 | D2W1N2 | 0.0006 | 7 |
| D1W2N1 | 0.2503 | 4 | D2W2N1 | −0.3707 | 10 |
| D1W2N2 | 0.3580 | 3 | D2W2N2 | −0.2097 | 8 |
| D1W3N1 | 0.0326 | 6 | D2W3N1 | −0.5206 | 12 |
| D1W3N2 | 0.1404 | 5 | D2W3N2 | −0.3879 | 11 |
| Treatment | PH | LAI | Y | CP | RFV | WUE | IWUE | PFPN | CPWUE |
|---|---|---|---|---|---|---|---|---|---|
| D1W1N1 | 0.344 | 0.405 | 0.382 | 0.343 | 0.287 | 0.360 | 0.353 | 0.498 | 0.397 |
| D1W1N2 | 0.376 | 0.443 | 0.428 | 0.386 | 0.307 | 0.340 | 0.331 | 0.279 | 0.416 |
| D1W2N1 | 0.341 | 0.357 | 0.353 | 0.321 | 0.249 | 0.367 | 0.389 | 0.474 | 0.372 |
| D1W2N2 | 0.360 | 0.385 | 0.390 | 0.351 | 0.262 | 0.350 | 0.361 | 0.254 | 0.397 |
| D1W3N1 | 0.300 | 0.308 | 0.301 | 0.282 | 0.220 | 0.376 | 0.355 | 0.392 | 0.343 |
| D1W3N2 | 0.317 | 0.331 | 0.348 | 0.304 | 0.233 | 0.370 | 0.369 | 0.227 | 0.358 |
| D2W1N1 | 0.222 | 0.186 | 0.181 | 0.248 | 0.334 | 0.183 | 0.188 | 0.236 | 0.147 |
| D2W1N2 | 0.246 | 0.212 | 0.200 | 0.296 | 0.389 | 0.185 | 0.197 | 0.130 | 0.176 |
| D2W2N1 | 0.223 | 0.151 | 0.164 | 0.215 | 0.283 | 0.187 | 0.185 | 0.214 | 0.127 |
| D2W2N2 | 0.234 | 0.166 | 0.184 | 0.250 | 0.327 | 0.196 | 0.195 | 0.120 | 0.162 |
| D2W3N1 | 0.200 | 0.111 | 0.144 | 0.186 | 0.250 | 0.195 | 0.189 | 0.188 | 0.118 |
| D2W3N2 | 0.221 | 0.132 | 0.167 | 0.210 | 0.279 | 0.200 | 0.199 | 0.109 | 0.137 |
| Treatment | Di+ | Di− | Ci | Comprehensive Ranking |
|---|---|---|---|---|
| D1W1N1 | 0.1375 | 0.6939 | 0.8346 | 1 |
| D1W1N2 | 0.2441 | 0.6579 | 0.7294 | 3 |
| D1W2N1 | 0.2018 | 0.6458 | 0.7619 | 2 |
| D1W2N2 | 0.2892 | 0.5901 | 0.6711 | 4 |
| D1W3N1 | 0.3121 | 0.5284 | 0.6287 | 5 |
| D1W3N2 | 0.3613 | 0.5079 | 0.5841 | 6 |
| D2W1N1 | 0.6254 | 0.2030 | 0.2451 | 8 |
| D2W1N2 | 0.6294 | 0.2454 | 0.2805 | 7 |
| D2W2N1 | 0.6783 | 0.1358 | 0.1668 | 10 |
| D2W2N2 | 0.6753 | 0.1537 | 0.1854 | 9 |
| D2W3N1 | 0.7339 | 0.0854 | 0.1042 | 12 |
| D2W3N2 | 0.7226 | 0.0793 | 0.0784 | 11 |
| Treatment | Score | Ranking | Treatment | Score | Ranking |
|---|---|---|---|---|---|
| D1W1N1 | 14.9106 | 2 | D2W1N1 | 0.8298 | 9 |
| D1W1N2 | 15.8187 | 1 | D2W1N2 | 3.7014 | 7 |
| D1W2N1 | 9.7953 | 3 | D2W2N1 | 0.3516 | 10 |
| D1W2N2 | 9.7760 | 4 | D2W2N2 | 0.8307 | 8 |
| D1W3N1 | 3.9825 | 6 | D2W3N1 | 0.0143 | 12 |
| D1W3N2 | 4.6218 | 5 | D2W3N2 | 0.0303 | 11 |
Disclaimer/Publisher’s Note: The statements, opinions and data contained in all publications are solely those of the individual author(s) and contributor(s) and not of MDPI and/or the editor(s). MDPI and/or the editor(s) disclaim responsibility for any injury to people or property resulting from any ideas, methods, instructions or products referred to in the content. |
© 2023 by the authors. Licensee MDPI, Basel, Switzerland. This article is an open access article distributed under the terms and conditions of the Creative Commons Attribution (CC BY) license (https://creativecommons.org/licenses/by/4.0/).
Share and Cite
Kang, Y.; Qi, G.; Jia, Q.; Wang, A.; Yin, M.; Ma, Y.; Wang, J.; Jiang, Y.; Tang, Z. Appropriate Water-Nitrogen Regulation Mode to Improve Productivity of Mixed-Sowing Grassland of Bromus inermis and Alfalfa. Water 2023, 15, 1124. https://doi.org/10.3390/w15061124
Kang Y, Qi G, Jia Q, Wang A, Yin M, Ma Y, Wang J, Jiang Y, Tang Z. Appropriate Water-Nitrogen Regulation Mode to Improve Productivity of Mixed-Sowing Grassland of Bromus inermis and Alfalfa. Water. 2023; 15(6):1124. https://doi.org/10.3390/w15061124
Chicago/Turabian StyleKang, Yanxia, Guangping Qi, Qiong Jia, Aixia Wang, Minhua Yin, Yanlin Ma, Jinghai Wang, Yuanbo Jiang, and Zhongxia Tang. 2023. "Appropriate Water-Nitrogen Regulation Mode to Improve Productivity of Mixed-Sowing Grassland of Bromus inermis and Alfalfa" Water 15, no. 6: 1124. https://doi.org/10.3390/w15061124
APA StyleKang, Y., Qi, G., Jia, Q., Wang, A., Yin, M., Ma, Y., Wang, J., Jiang, Y., & Tang, Z. (2023). Appropriate Water-Nitrogen Regulation Mode to Improve Productivity of Mixed-Sowing Grassland of Bromus inermis and Alfalfa. Water, 15(6), 1124. https://doi.org/10.3390/w15061124

