Groundwater Hydrochemical Characteristics and Water Quality in Egypt’s Central Eastern Desert
Abstract
1. Introduction
2. Materials and Methods
2.1. The Study Area
2.2. Sampling and Analyses
2.3. Groundwater Quality
2.4. Data Treatment
3. Results and Discussion
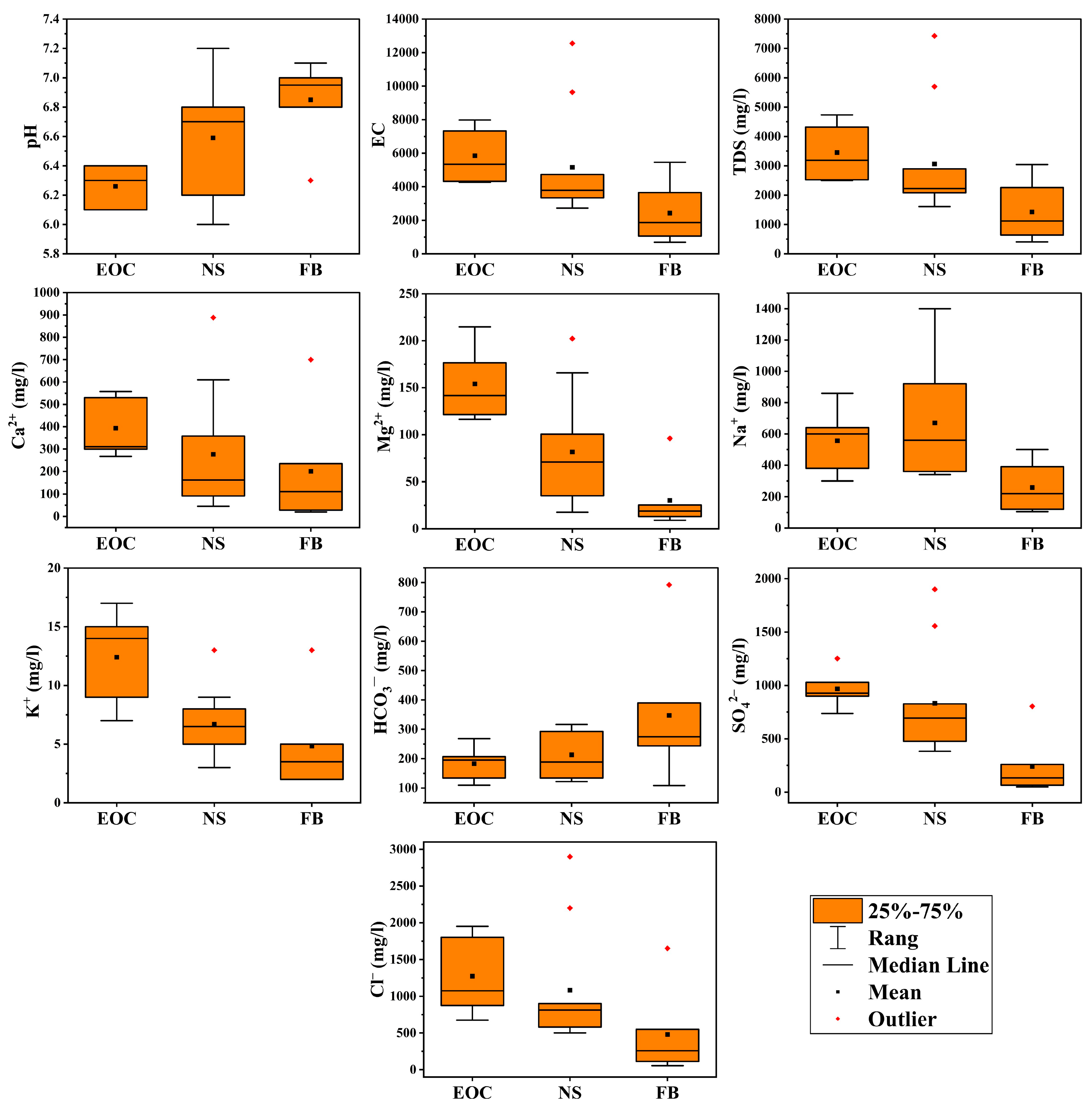
3.1. General Hydrogeochemistry
3.2. Hydrochemical Facies
3.3. Trace Elements
3.4. Assessmnet of Groundwater Quality for Different Purposes
3.4.1. Assessment for Irrigation Use
3.4.2. Assessment for Domestic Use
3.4.3. Assessment for Drinking Use
4. Conclusions
Supplementary Materials
Author Contributions
Funding
Institutional Review Board Statement
Informed Consent Statement
Data Availability Statement
Acknowledgments
Conflicts of Interest
References
- Etikala, B.; Golla, V.; Li, P.; Renati, S. Deciphering groundwater potential zones using MIF technique and GIS: A study from Tirupati area, Chittoor District, Andhra Pradesh, India. HydroResearch 2019, 1, 1–7. [Google Scholar] [CrossRef]
- Ma, Q.; Ge, W.; Tian, F. Geochemical Characteristics and Controlling Factors of Chemical Composition of Groundwater in a Part of the Nanchang Section of Ganfu Plain. Sustainability 2022, 14, 7976. [Google Scholar] [CrossRef]
- Saana, S.; Martin, B.; Fosu, S.A.; Sebiawu, G.E.; Jackson, N.; Karikari, T. Assessment of the quality of groundwater for drinking purposes in the Upper West and Northern regions of Ghana. SpringerPlus 2016, 5, 2001. [Google Scholar] [CrossRef]
- Iqbal, J.; Su, C.; Rashid, A.; Yang, N.; Baloch, M.Y.J.; Talpur, S.A.; Ullah, Z.; Rahman, G.; Rahman, N.U.; Earjh; et al. Hydrogeochemical Assessment of Groundwater and Suitability Analysis for Domestic and Agricultural Utility in Southern Punjab, Pakistan. Water 2021, 13, 3589. [Google Scholar] [CrossRef]
- WHO World Health Organization. Guidelines for Drinking-Water Quality: First Addendum to the Fourth Edition 2017; WHO: Geneva, Switzerland, 2017. [CrossRef]
- Mansouri, Z.; Leghrieb, Y.; Kouadri, S.; Al-Ansari, N.; Najm, H.M.; Mashaan, N.S.; Eldirderi, M.M.A.; Khedher, K.M. Hydro-Geochemistry and Groundwater Quality Assessment of Ouargla Basin, South of Algeria. Water 2022, 14, 2441. [Google Scholar] [CrossRef]
- Chen, W.; Zhang, Y.; Shi, W.; Cui, Y.; Zhang, Q.; Shi, Y.; Liang, Z. Analysis of Hydrogeochemical Characteristics and Origins of Chromium Contamination in Groundwater at a Site in Xinxiang City, Henan Province. Appl. Sci. 2021, 11, 11683. [Google Scholar] [CrossRef]
- Ramadan, R.S.; Dawood, Y.H.; Yehia, M.M.; Gad, A. Environmental and health impact of current uranium mining activities in southwestern Sinai, Egypt. Environ. Earth Sci. 2022, 81, 213. [Google Scholar] [CrossRef]
- Awad, E.S.; Imran, N.S.; Albayati, M.M.; Snegirev, V.; Sabirova, T.M.; Tretyakova, N.A.; Alsalhy, Q.F.; Al-Furaiji, M.H.; Salih, I.K.; Majdi, H.S. Groundwater Hydrogeochemical and Quality Appraisal for Agriculture Irrigation in Greenbelt Area, Iraq. Environments 2022, 9, 43. [Google Scholar] [CrossRef]
- Kumar, L.D.; Dhakate, R.; Guguloth, S.; Srinivas, B. Hydrochemical appraisal of groundwater quality for drinking and agricultural utility in a granitic terrain of Maheshwaram area of Ranga Reddy district, Telnagana State, India. HydroResearch 2021, 4, 11–23. [Google Scholar] [CrossRef]
- Eissa, M.A.; Shawky, H.; Samy, A.; Khalil, M.M.H.; El Malky, M. Geochemical and Isotopic Evidence of Groundwater Salinization Processes in El Dabaa Area, Northwestern Coast, Egypt. Geosciences 2018, 8, 392. [Google Scholar] [CrossRef]
- Bhagat, C.; Puri, M.; Mohapatra, P.K.; Kumar, M. Imprints of seawater intrusion on groundwater quality and evolution in the coastal districts of South Gujarat, India. Case Stud. Chem. Environ Eng. 2021, 3, 100101. [Google Scholar] [CrossRef]
- Dieu, L.P.; Cong-Thi, D.; Segers, T.; Ho, H.H.; Nguyen, F.; Hermans, T. Groundwater Salinization and Freshening Processes in the Luy River Coastal Aquifer, Vietnam. Water 2022, 14, 2358. [Google Scholar] [CrossRef]
- Sarker, M.M.R.; Hermans, T.; Van Camp, M.; Hossain, D.; Islam, M.; Ahmed, N.; Bhuiyan, M.A.Q.; Karim, M.M.; Walraevens, K. Identifying the Major Hydrogeochemical Factors Governing Groundwater Chemistry in the Coastal Aquifers of Southwest Bangladesh Using Statistical Analysis. Hydrology 2022, 9, 20. [Google Scholar] [CrossRef]
- Abu Salem, H.S.; Gemail, K.S.; Junakova, N.; Ibrahim, A.; Nosair, A.M. An Integrated Approach for Deciphering Hydrogeochemical Processes during Seawater Intrusion in Coastal Aquifers. Water 2022, 14, 1165. [Google Scholar] [CrossRef]
- Bahir, M.; Ouazar, D.; Ouhamdouch, S.; Zouari, K. Assessment of groundwater mineralization of alluvial coastal aquifer of essaouira basin (Morocco) using the hydrochemical facies evolution diagram (HFE-Diagram). Groundwater Sustain. Dev. 2020, 11, 100487. [Google Scholar] [CrossRef]
- Ouhamdouch, S.; Bahir, M.; Ouazar, D. Climate change impact assessment on a carbonate aquifer under semi-arid climate; example of the Cenomanian-Turonian aquifer within Meskala-Ouazzi region (Essaouira Basin, Morocco). Arab. J. Geosci. 2020, 13, 173. [Google Scholar] [CrossRef]
- Sefelnasr, A.; Ebraheem, A.A.; Faiz, M.A.; Shi, X.; Alghafli, K.; Baig, F.; Al-Rashed, M.; Alshamsi, D.; Ahamed, M.B.; Sherif, M. Enhancement of Groundwater Recharge from Wadi Al Bih Dam, UAE. Water 2022, 14, 3448. [Google Scholar] [CrossRef]
- Charfi, S.; Zouari, K.; Feki, S.; Mami, E. Study of variation in groundwater quality in a coastal aquifer in north-eastern Tunisia using multivariate factor analysis. Quat. Int. 2013, 302, 199–209. [Google Scholar] [CrossRef]
- El Yousfi, Y.; Himi, M.; El Ouarghi, H.; Elgettafi, M.; Benyoussef, S.; Gueddari, H.; Aqnouy, M.; Salhi, A.; Alitane, A. Hydrogeochemical and statistical approach to characterize groundwater salinity in the Ghiss-Nekkor coastal aquifers in the Al Hoceima province, Morocco. Groundwater Sustain. Dev. 2022, 19, 100818. [Google Scholar] [CrossRef]
- Kumar, B. Integrated hydrogeochemical, isotopic and geomorphological depiction of the groundwater salinization in the aquifer system of Delhi, India. J. Asian Earth Sci. 2015, 111, 936–947. [Google Scholar] [CrossRef]
- Adepelumi, A.A.; Ako, B.D.; Ajayi, T.R.; Afolabi, O.; Omotoso, E.J. Delineation of saltwater intrusion into the freshwater aquifer of Lekki Peninsula, Lagos, Nigeria. Environ. Geol. 2009, 56, 927–933. [Google Scholar] [CrossRef]
- Kura, N.U.; Ramli, M.F.; Sulaiman, W.N.A.; Ibrahim, S.; Aris, A.Z.; Mustapha, A. Evaluation of factors influencing the groundwater chemistry in a small tropical island of Malaysia. Int. J. Environ. Res. Public Health 2013, 10, 1861–1881. [Google Scholar] [CrossRef] [PubMed]
- Medici, G.; West, L.J.; Mountney, N.P. Characterizing flow pathways in a sandstone aquifer: Tectonic vs sedimentary heterogeneities. J. Contam. Hydrol. 2016, 194, 36–58. [Google Scholar] [CrossRef] [PubMed]
- Medici, G.; West, L.J. Review of groundwater flow and contaminant transport modelling approaches for the Sherwood Sandstone aquifer, UK; insights from analogous successions worldwide. Q. J. Eng. Geol. Hydrogeol. 2022, 55, 176. [Google Scholar] [CrossRef]
- Tellam, J.H.; Barker, R.D. Towards prediction of saturated-zone pollutant movement in groundwaters in fractured permeable-matrix aquifers: The case of the UK Permo-Triassic sandstones. In Fluid Flow and Solute Movement in Sandstones: The Onshore UK Permo-Triassic Red Bed Sequence; Barker, R.D., Tellam, J.H., Eds.; Geological Society of London: London, UK, 2006; pp. 1–48. [Google Scholar] [CrossRef]
- Worthington, S.R.; Davies, G.J.; Alexander, E.C., Jr. Enhancement of bedrock permeability by weathering. Earth-Sci. Rev. 2016, 160, 188–202. [Google Scholar] [CrossRef]
- Medici, G.; West, L.J.; Banwart, S.A. Groundwater flow velocities in a fractured carbonate aquifer-type: Implications for contaminant transport. J. Contam. Hydrol. 2019, 222, 1–16. [Google Scholar] [CrossRef]
- Terzić, J.; Frangen, T.; Borović, S.; Reberski, J.L.; Patekar, M. Hydrogeological Assessment and Modified Conceptual Model of a Dinaric Karst Island Aquifer. Water 2022, 14, 404. [Google Scholar] [CrossRef]
- Kaur, T.; Bhardwaj, R.; Arora, S. Assessment of groundwater quality for drinking and irrigation purposes using hydrochemical studies in Malwa region, southwestern part of Punjab, India. Appl. Water Sci. 2017, 7, 3301–3316. [Google Scholar] [CrossRef]
- Suneetha, N.; Gautam, G.; Rambabu, S.; Khan, T.; Vinit, C.E. Hydrogeochemical processes regulating the groundwater quality and its suitability for drinking and irrigation purpose in parts of coastal Sindhudurg district, Maharashtra. J. Geol. Soc. India 2021, 97, 173–185. [Google Scholar] [CrossRef]
- Rao, N.S.; Das, R.; Gugulothu, S. Understanding the factors contributing to groundwater salinity in the coastal region of Andhra Pradesh, India. J. Contam. Hydrol. 2022, 250, 104053. [Google Scholar] [CrossRef]
- FAO (Food and Agriculture Organization). Water Quality for Agriculture. FAO Irrigation and Drainage Paper 29; FAO: Rome, Italy, 1985. [Google Scholar]
- ESDW (Egypt Standard for Drinking Water). Standards and Specifications of Water for Drinking and Domestic Use; Decision of the Minister of Health and Population No. 458 (2007); Ministry of Health and Population: Cairo, Egypt, 2007. (In Arabic)
- Perera, T.A.N.T.; Herath, H.; Piyadasa, R.U.K.; Jianhui, L.; Bing, L. Spatial and physicochemical assessment of groundwater quality in the urban coastal region of Sri Lanka. Environ. Sci. Pollut. Res. 2021, 29, 16250–16264. [Google Scholar] [CrossRef] [PubMed]
- Saber, A.A.; Ullah Bhat, S.; Hamid, A.; Gabrieli, J.; Garamoon, H.; Gargini, A.; Cantonati, M. Chemical Quality and Hydrogeological Settings of the El-Farafra Oasis (Western Desert of Egypt) Groundwater Resources in Relation to Human Uses. Appl. Sci. 2022, 12, 5606. [Google Scholar] [CrossRef]
- Abd El-Wahed, M.; El-Horiny, M.M.; Ashmawy, M.; El Kereem, S.A. Multivariate Statistical Analysis and Structural Sovereignty for Geochemical Assessment and Groundwater Prevalence in Bahariya Oasis, Western Desert, Egypt. Sustainability 2022, 14, 6962. [Google Scholar] [CrossRef]
- Yehia, M.; Baghdady, A.; Howari, F.M.; Awad, S.; Gad, A. Natural radioactivity and groundwater quality assessment in the northern area of the Western Desert of Egypt. J. Hydrol. Reg. Stud. 2017, 12, 331–344. [Google Scholar] [CrossRef]
- Stern, R.J.; Johnson, P.; Kröner, A.; Yibas, B. Neoproterozoic Ophiolites of the ArabianNubian Shield. In Precambrian Ophiolites and Related Rocks; Kusky, T.M., Ed.; Elsevier: Amsterdam, The Netherlands, 2004. [Google Scholar]
- Fowler, A.; Baghdady, A.; Abdelmalik, K.; Gad, A. Remote sensing-guided stratigraphic dissection of an Ediacaran terrestrial molasse basin (Kareim basin, Egypt), with implications for sedimentary evolution. Precambrian Res. 2020, 338, 105589. [Google Scholar] [CrossRef]
- Sultan, M.; Yousef, A.; Metwally, S.; Becker, R.; Milewski, A.; Sauck, W.; Sturchio, N.; Mohamed, A.; Wagdy, A.; El Alfy, Z.; et al. Red Sea rifting controls on aquifer distribution: Constraints from geochemical, geophysical, and remote sensing data. GSA Bull. 2011, 123, 911–924. [Google Scholar] [CrossRef]
- Said, R. The Geology of Egypt; Balkema Publishers: Rotterdam, The Netherlands, 1990. [Google Scholar]
- Montenat, C.; D’estevou, P.; Purser, B.; Burollet, P.; Jarrige, J.; Sperber, F.; Philobbos, F.; Plaziat, J.; Part, P.; Richert, J.; et al. Tectonic and sedimentary evolution of the Gulf of Suez and the Northwestern Red Sea. Tectophysics 1988, 153, 161–177. [Google Scholar] [CrossRef]
- Appelo, C.A.J.; Postma, D. Geochemistry, Groundwater and Pollution, 2nd ed.; CRC Press: London, UK, 2005. [Google Scholar]
- Ragunath, H.M. Groundwater; Wiley Eastern Ltd.: New Delhi, India, 1987. [Google Scholar]
- Eaton, F.M. Significance of carbonate in irrigation water. Soil Sci. 1950, 69, 123–134. [Google Scholar] [CrossRef]
- Todd, D.K. Groundwater Hydrology, 2nd ed.; Jhon Wiley and Sons: New York, NY, USA, 1980. [Google Scholar]
- Bruvold, W.H.; Daniels, J.I. Standards for mineral content in drinking water. J. Am. Water Works Assoc. 1990, 82, 59–65. [Google Scholar] [CrossRef]
- Sawyer, G.N.; McCarthy, D.L. Chemistry of Sanitary Engineers, 2nd ed.; McGraw Hill: New York, NY, USA, 1967. [Google Scholar]
- Ryznre, J.W. A new index for determining amount of calcium carbonate scale formed by water. J. Am. Water Works Assoc. 1944, 36, 472–486. [Google Scholar] [CrossRef]
- Giménez-Forcada, E.; Sánchez San Román, F.J. An Excel Macro to Plot the HFE-Diagram to Identify Sea Water Intrusion Phases. Groundwater 2015, 53, 819–824. [Google Scholar] [CrossRef] [PubMed]
- Askri, B. Hydrochemical processes regulating groundwater quality in the coastal plain of Al Musanaah, Sultanate of Oman. J. Afr. Earth Sci. 2015, 106, 87–98. [Google Scholar] [CrossRef]
- Sherif, M.I.; Sultan, M.; Sturchio, N.C. Chlorine Isotopes as Tracers of Solute Origin and Age of Groundwaters from the Eastern Desert of Egypt. Earth Planet. Sci. Lett. 2019, 510, 37–44. [Google Scholar] [CrossRef]
- Selvam, S.; Jesuraja, K.; Roy, P.D.; Venkatramanan, S.; Chung, S.Y.; Elzain, H.E.; Muthukumar, P.; Nath, A.V.; Karthik, R. Assessment of groundwater from an industrial coastal area of South India for human health risk from consumption and irrigation suitability. Environ. Res. 2021, 200, 111461. [Google Scholar] [CrossRef]
- Zolekar, R.B.; Todmal, R.S.; Bhagat, V.S.; Bhailume, S.A.; Korade, M.S.; Das, S. Hydrochemical characterization and geospatial analysis of groundwater for drinking and agricultural usage in Nashik district in Maharashtra, India. Environ. Dev. Sustain. 2021, 23, 4433–4452. [Google Scholar] [CrossRef]
- Giménez-Forcada, E. Use of the Hydrochemical Facies Diagram (HFE-D) for the evaluation of salinization by seawater intrusion in the coastal Oropesa Plain: Comparative analysis with the coastal Vinaroz Plain, Spain. HydroResearch 2019, 2, 76–84. [Google Scholar] [CrossRef]
- Lakshmanan, E.; Kannan, R.; Kumar, M. Major ion chemistry and identification of hydrogeochemical processes of ground water in a part of Kancheepuram district, Tamil Nadu, India. Environ. Geosci. 2003, 10, 157–166. [Google Scholar] [CrossRef]
- Petrides, B.; Cartwright, I. The hydrogeology and hydrogeochemistry of the Barwon Downs Graben aquifer, southwestern Victoria, Australia. Hydrogeol. J. 2006, 14, 809–826. [Google Scholar] [CrossRef]
- Petalas, C.P. A preliminary assessment of hydrogeological features and selected anthropogenic impacts on an alluvial fan aquifer system in Greece. Environ. Earth Sci. 2013, 70, 439–452. [Google Scholar] [CrossRef]
- Abid, K.; Zouari, K.; Dulinski, M.; Chkir, N.; Abidi, B. Hydrologic and geologic factors controlling groundwater geochemistry in the Turonian aquifer (southern Tunisia). Hydrogeol. J. 2011, 19, 415–427. [Google Scholar] [CrossRef]
- García, M.G.; Hidalgo, M.V.; Blesa, M.A. Geochemistry of groundwater in the alluvial plain of Tucumán province, Argentina. Hydrogeol. J. 2001, 9, 597–610. [Google Scholar] [CrossRef]
- Yidana, S.M.; Yidana, A. An assessment of the origin and variation of groundwater salinity in southeastern Ghana. Environ. Earth Sci. 2010, 61, 1259–1273. [Google Scholar] [CrossRef]
- Farhat, H.I.; Gad, A.; Saleh, A.; Abd El Bakey, S.M. Risks Assessment of Potentially Toxic Elements’ Contamination in the Egyptian Red Sea Surficial Sediments. Land 2022, 11, 1560. [Google Scholar] [CrossRef]
- Abdel-Satar, A.M.; Ali, M.H.; Goher, M.E. Indices of water quality and metal pollution of Nile River, Egypt. Egypt. J. Aquat. Res. 2017, 43, 21–29. [Google Scholar] [CrossRef]
- USEPA (United States Environmental Protection Agency). Drinking Water Standards and Health Advisories Table; USEPA: San Francisco, CA, USA, 2007.
- CCME (Canadian Council of Ministers of the Environment). Canadian Environmental Quality Guidelines; Publication No. 1299; Canadian Council of Ministers of the Environment: Ottawa, ON, Canada, 1999. [Google Scholar]
- Jasmin, I.; Mallikarjuna, P. Evaluation of Groundwater Suitability for Irrigation in the Araniar River Basin, South India—A Case Study Using Gis Approach. Irrig. Drain. 2015, 64, 600–608. [Google Scholar] [CrossRef]
- Subramani, T.; Elango, L.; Damodarasamy, S. Groundwater quality and its suitability for drinking and agricultural use in Chithar River Basin, Tamil Nadu, India. Environ. Geol. 2005, 47, 1099–1110. [Google Scholar] [CrossRef]
- Simsek, C.; Gunduz, O. IWQ index: A GIS-integrated technique to assess irrigation water quality. Environ. Monit. Assess. 2007, 128, 277–300. [Google Scholar] [CrossRef]
- Bouselsal, B.; Saibi, H. Evaluation of groundwater quality and hydrochemical characteristics in the shallow aquifer of El-Oued region (Algerian Sahara). Groundwater Sustain. Dev. 2022, 17, 100747. [Google Scholar] [CrossRef]






| NO. | Aquifer | pH | EC uS/cm | TDS mg/L | Ca2+ mg/L | Mg2+ mg/L | Na+ mg/L | K+ mg/L | HCO3− mg/L | SO42− mg/L | Cl− mg/L | EB % |
|---|---|---|---|---|---|---|---|---|---|---|---|---|
| 1 | EOC | 6.4 | 7980.0 | 4734.0 | 557.4 | 141.5 | 860.0 | 14.0 | 207.2 | 1251.9 | 1800.0 | −1.88 |
| 2 | 6.4 | 7330.0 | 4317.0 | 530.0 | 214.8 | 640.0 | 15.0 | 134.2 | 900.0 | 1950.0 | −2.40 | |
| 3 | 6.1 | 5340.0 | 3188.0 | 299.5 | 121.3 | 600.0 | 9.0 | 109.8 | 1028.1 | 1075.0 | −2.16 | |
| 4 | 6.1 | 4320.0 | 2523.0 | 310.8 | 116.3 | 380.0 | 7.0 | 195.2 | 736.8 | 875.0 | −1.68 | |
| 5 | 6.3 | 4270.0 | 2496.0 | 267.1 | 176.5 | 300.0 | 17.0 | 268.4 | 926.3 | 675.0 | −1.68 | |
| Min. | EOC (N = 5) | 6.1 | 4270.0 | 2496.0 | 267.1 | 116.3 | 300.0 | 7.0 | 109.8 | 736.8 | 675.0 | −2.4 |
| Max. | 6.4 | 7980.0 | 4734.0 | 557.4 | 214.8 | 860.0 | 17.0 | 268.4 | 1251.9 | 1950.0 | −1.7 | |
| 6 | NS | 6.8 | 3770.0 | 2219.0 | 208.0 | 65.7 | 480.0 | 8.0 | 316.4 | 475.5 | 800.0 | −1.03 |
| 7 | 6.9 | 12,550.0 | 7424.0 | 888.0 | 202.2 | 1400.0 | 13.0 | 194.4 | 1900.0 | 2900.0 | −0.93 | |
| 8 | 7.2 | 3810.0 | 2229.0 | 91.5 | 35.4 | 680.0 | 7.0 | 316.4 | 407.7 | 825.0 | 0.41 | |
| 9 | 6.8 | 4730.0 | 2893.0 | 75.5 | 17.7 | 920.0 | 7.0 | 292.8 | 826.8 | 900.0 | −2.13 | |
| 10 | 6.0 | 9640.0 | 5699.0 | 609.9 | 165.8 | 1100.0 | 6.0 | 122.0 | 1556.6 | 2200.0 | −2.30 | |
| 11 | 6.2 | 4270.0 | 2521.0 | 358.1 | 85.9 | 360.0 | 5.0 | 134.2 | 794.7 | 850.0 | −2.36 | |
| 12 | 6.4 | 3010.0 | 1768.0 | 114.9 | 100.5 | 340.0 | 3.0 | 146.4 | 586.1 | 550.0 | −2.14 | |
| 13 | 6.2 | 3710.0 | 2209.0 | 279.0 | 75.9 | 360.0 | 9.0 | 134.2 | 688.1 | 730.0 | −1.43 | |
| 14 | 6.6 | 2730.0 | 1609.0 | 95.9 | 35.2 | 420.0 | 4.0 | 183.0 | 382.7 | 580.0 | −2.38 | |
| 15 | 6.8 | 3340.0 | 2078.0 | 45.6 | 30.3 | 640.0 | 5.0 | 292.4 | 698.8 | 500.0 | −1.08 | |
| Min. | NS (N = 10) | 6.0 | 2730.0 | 1609.0 | 45.6 | 17.7 | 340.0 | 3.0 | 122.0 | 382.7 | 500.0 | −2.4 |
| Max. | 7.2 | 12,550.0 | 7424.0 | 888.0 | 202.2 | 1400.0 | 13.0 | 316.4 | 1900.0 | 2900.0 | 0.4 | |
| 16 | FB | 7.1 | 1057.0 | 642.0 | 95.7 | 17.7 | 105.0 | 2.0 | 268.4 | 175.3 | 112.5 | −1.67 |
| 17 | 7.0 | 690.0 | 405.0 | 20.0 | 9.1 | 120.0 | 2.0 | 243.6 | 65.0 | 55.0 | 0.84 | |
| 18 | 6.8 | 3650.0 | 2255.0 | 235.0 | 20.0 | 500.0 | 5.0 | 280.7 | 804.2 | 550.0 | −2.21 | |
| 19 | 6.3 | 5460.0 | 3041.0 | 700.0 | 96.0 | 240.0 | 5.0 | 108.6 | 259.8 | 1650.0 | −0.22 | |
| 20 | 6.9 | 1128.0 | 638.0 | 28.0 | 13.0 | 200.0 | 2.0 | 390.0 | 50.0 | 137.5 | −0.43 | |
| 21 | 7.0 | 2595.0 | 1600.0 | 125.4 | 25.3 | 390.0 | 13.0 | 791.8 | 90.6 | 380.0 | 0.12 | |
| Min. | FB (N = 6) | 6.3 | 690.0 | 405.0 | 20.0 | 9.1 | 105.0 | 2.0 | 108.6 | 50.0 | 55.0 | −2.2 |
| Max. | 7.1 | 5460.0 | 3041.0 | 700.0 | 96.0 | 500.0 | 13.0 | 791.8 | 804.2 | 1650.0 | 0.8 | |
| Min. | All Samples (N = 21) | 6.0 | 690.0 | 405.0 | 20.0 | 9.1 | 105.0 | 2.0 | 108.6 | 50.0 | 55.0 | −2.4 |
| Max. | 7.2 | 12,550.0 | 7424.0 | 888.0 | 214.8 | 1400.0 | 17.0 | 791.8 | 1900.0 | 2900.0 | 0.8 | |
| Mean | 6.6 | 4541.9 | 2689.9 | 282.6 | 84.1 | 525.5 | 7.5 | 244.3 | 695.5 | 956.9 | −1.4 |
| TDS | Ca2+ | Mg2+ | Na+ | K+ | HCO3− | SO42− | Cl− | |
|---|---|---|---|---|---|---|---|---|
| pH | −0.354 | −0.455 | −0.603 | −0.065 | −0.217 | 0.614 | −0.439 | −0.367 |
| TDS | 0.879 | 0.794 | 0.880 | 0.556 | −0.355 | 0.915 | 0.973 | |
| Ca2+ | 0.798 | 0.572 | 0.473 | −0.437 | 0.716 | 0.930 | ||
| Mg2+ | 0.493 | 0.678 | −0.473 | 0.755 | 0.804 | |||
| Na+ | 0.413 | −0.151 | 0.848 | 0.797 | ||||
| K+ | 0.137 | 0.504 | 0.507 | |||||
| HCO3− | −0.441 | −0.416 | ||||||
| SO42− | 0.817 |
| NO. | Aquifer | Al | Cd | Co | Cr | Cu | Fe | Mn | Mo | Ni | Pb | V | Zn |
|---|---|---|---|---|---|---|---|---|---|---|---|---|---|
| 1 | EOC | 0.546 | <0.0006 | 0.018 | <0.01 | <0.006 | 7.074 | 0.793 | <0.001 | 0.070 | <0.008 | 0.074 | 0.063 |
| 2 | 0.052 | <0.0006 | 0.019 | <0.01 | <0.006 | 0.608 | 0.140 | 0.009 | 0.039 | <0.008 | <0.01 | 0.015 | |
| 3 | 0.032 | 0.004 | <0.001 | <0.01 | <0.006 | <0.02 | 0.010 | 0.014 | 0.082 | <0.008 | <0.01 | 0.094 | |
| 4 | 0.181 | 0.026 | 0.009 | <0.01 | <0.006 | <0.02 | <0.004 | <0.001 | <0.002 | <0.008 | <0.01 | 0.114 | |
| 5 | <0.01 | <0.0006 | <0.001 | <0.01 | <0.006 | 1.929 | 0.884 | 0.113 | 0.057 | <0.008 | <0.01 | 0.100 | |
| 6 | NS | <0.01 | <0.0006 | 0.025 | <0.01 | <0.006 | 1.781 | 0.110 | <0.001 | 0.073 | <0.008 | <0.01 | 0.017 |
| 8 | <0.01 | <0.0006 | 0.024 | 0.010 | <0.006 | <0.02 | 0.136 | 0.078 | 0.026 | <0.008 | <0.01 | 0.049 | |
| 9 | 0.136 | <0.0006 | <0.001 | <0.01 | <0.006 | 0.696 | 0.168 | 0.028 | 0.011 | <0.008 | <0.01 | <0.0005 | |
| 10 | 0.354 | 0.013 | 0.073 | <0.01 | <0.006 | 0.065 | 0.007 | <0.001 | 0.002 | <0.008 | <0.01 | 0.037 | |
| 11 | 1.376 | <0.0006 | <0.001 | <0.01 | <0.006 | 4.384 | 0.091 | <0.001 | 0.018 | <0.008 | <0.01 | 0.089 | |
| 14 | 0.087 | <0.0006 | <0.001 | <0.01 | <0.006 | <0.02 | 0.121 | <0.001 | 0.022 | <0.008 | <0.01 | <0.0005 | |
| 15 | 1.078 | <0.0006 | 0.032 | <0.01 | <0.006 | 0.454 | 0.093 | <0.001 | <0.002 | <0.008 | <0.01 | 0.099 | |
| 17 | FB | 1.267 | <0.006 | <0.001 | <0.01 | <0.006 | 1.162 | 0.090 | 0.089 | <0.002 | <0.008 | 0.032 | 0.029 |
| 18 | 0.155 | <0.006 | <0.001 | <0.01 | 0.006 | <0.02 | <0.004 | 0.126 | 0.060 | <0.008 | 0.024 | 0.011 | |
| 19 | 0.487 | <0.006 | <0.001 | <0.01 | <0.006 | 0.857 | 0.091 | 0.186 | 0.020 | <0.008 | <0.01 | 0.050 | |
| 20 | <0.01 | 0.009 | 0.010 | <0.01 | <0.006 | 0.281 | 0.046 | 0.203 | 0.028 | <0.008 | 0.020 | 0.023 | |
| 21 | 0.628 | 0.001 | <0.001 | <0.01 | <0.006 | 0.637 | 0.197 | 0.015 | <0.002 | <0.008 | <0.01 | 0.012 | |
| Min. | All Samples (N = 17) | 0.032 | 0.001 | 0.009 | 0.010 | 0.006 | 0.065 | 0.007 | 0.009 | 0.002 | - | 0.020 | 0.011 |
| Max. | 1.376 | 0.026 | 0.073 | 0.010 | 0.006 | 7.074 | 0.884 | 0.203 | 0.082 | - | 0.074 | 0.114 | |
| Mean | 0.491 | 0.010 | 0.026 | - | - | 1.661 | 0.198 | 0.086 | 0.039 | - | 0.038 | 0.053 | |
| WHO [5] | 0.9 | 0.003 | - | 0.05 | 2 | - | 0.4 | - | 0.07 | 0.01 | - | 3 | |
| ESDW [34] | - | 0.003 | - | 0.05 | 2 | 0.3 | 0.4 | - | 0.02 | 0.01 | - | 3 | |
| USEPA [65] | - | 0.003 | - | 0.05 | - | 0.3 | - | - | - | - | 0.07 | 3 | |
| FAO [33] | 5 | 0.01 | - | 0.1 | 0.2 | 5 | 0.2 | - | 0.2 | - | 0.1 | 2 | |
| CCME [66] | 5 | 0.01 | - | - | - | 5 | 0.2 | - | 0.2 | 0.2 | 0.1 | - | |
| NO. | Aquifer | SSP | SAR | RSC | MAR | TH | CR | ||||||
|---|---|---|---|---|---|---|---|---|---|---|---|---|---|
| 1 | EOC | 48.9 | Safe | 8.4 | Excellent | −36.07 | Excellent | 29.4 | Suitable | 1973.7 | V. Hard | 15.4 | Unsafe |
| 2 | 39.0 | Safe | 5.9 | Excellent | −41.91 | Excellent | 39.9 | Suitable | 2205.7 | V. Hard | 24.0 | Unsafe | |
| 3 | 51.4 | Safe | 7.4 | Excellent | −23.12 | Excellent | 39.9 | Suitable | 1246.2 | V. Hard | 18.7 | Unsafe | |
| 4 | 40.0 | Safe | 4.7 | Excellent | −21.87 | Excellent | 38.0 | Suitable | 1253.6 | V. Hard | 8.3 | Unsafe | |
| 5 | 32.6 | Safe | 3.5 | Excellent | −23.42 | Excellent | 52.0 | Unsuit. | 1391.5 | V. Hard | 5.3 | Unsafe | |
| 6 | NS | 57.2 | Safe | 7.4 | Excellent | −10.60 | Excellent | 34.1 | Suitable | 789.4 | V. Hard | 4.3 | Unsafe |
| 7 | 50.1 | Safe | 11.0 | Good | −57.79 | Excellent | 27.2 | Suitable | 3049.0 | V. Hard | 26.1 | Unsafe | |
| 8 | 79.9 | Unsafe | 15.3 | Good | −2.29 | Excellent | 38.8 | Suitable | 373.9 | V. Hard | 4.3 | Unsafe | |
| 9 | 88.5 | Unsafe | 24.7 | Doubtful | −0.43 | Excellent | 27.8 | Suitable | 261.3 | Hard | 5.8 | Unsafe | |
| 10 | 52.1 | Safe | 10.2 | Good | −42.08 | Excellent | 30.8 | Suitable | 2204.4 | V. Hard | 32.0 | Unsafe | |
| 11 | 38.7 | Safe | 4.4 | Excellent | −22.75 | Excellent | 28.2 | Suitable | 1247.5 | V. Hard | 12.0 | Unsafe | |
| 12 | 51.5 | Safe | 5.6 | Excellent | −11.58 | Excellent | 58.9 | Unsuit. | 699.4 | V. Hard | 7.4 | Unsafe | |
| 13 | 44.1 | Safe | 4.9 | Excellent | −17.97 | Excellent | 30.8 | Suitable | 1008.5 | V. Hard | 10.3 | Unsafe | |
| 14 | 70.5 | Unsafe | 9.3 | Excellent | −4.68 | Excellent | 37.5 | Suitable | 383.9 | V. Hard | 5.6 | Unsafe | |
| 15 | 85.4 | Unsafe | 18.0 | Good | 0.03 | Excellent | 52.2 | Unsuit. | 238.4 | Hard | 3.7 | Unsafe | |
| 16 | FB | 42.5 | Safe | 2.6 | Excellent | −1.84 | Excellent | 23.3 | Suitable | 311.8 | V. Hard | 0.9 | Safe |
| 17 | 75.1 | Unsafe | 5.6 | Excellent | 2.25 | Doubtful | 42.7 | Suitable | 87.3 | Moderately | 0.5 | Safe | |
| 18 | 62.0 | Unsafe | 8.4 | Excellent | −8.79 | Excellent | 12.2 | Suitable | 669.5 | V. Hard | 4.3 | Unsafe | |
| 19 | 19.8 | Safe | 2.3 | Excellent | −41.09 | Excellent | 18.4 | Suitable | 2143.6 | V. Hard | 22.6 | Unsafe | |
| 20 | 78.0 | Unsafe | 7.8 | Excellent | 3.93 | Unsuitable | 43.2 | Suitable | 123.3 | Moderately | 0.6 | Safe | |
| 21 | 67.4 | Unsafe | 8.3 | Excellent | 4.64 | Unsuitable | 24.9 | Suitable | 417.2 | V. Hard | 0.7 | Safe | |
Disclaimer/Publisher’s Note: The statements, opinions and data contained in all publications are solely those of the individual author(s) and contributor(s) and not of MDPI and/or the editor(s). MDPI and/or the editor(s) disclaim responsibility for any injury to people or property resulting from any ideas, methods, instructions or products referred to in the content. |
© 2023 by the authors. Licensee MDPI, Basel, Switzerland. This article is an open access article distributed under the terms and conditions of the Creative Commons Attribution (CC BY) license (https://creativecommons.org/licenses/by/4.0/).
Share and Cite
Saleh, A.; Gad, A.; Ahmed, A.; Arman, H.; Farhat, H.I. Groundwater Hydrochemical Characteristics and Water Quality in Egypt’s Central Eastern Desert. Water 2023, 15, 971. https://doi.org/10.3390/w15050971
Saleh A, Gad A, Ahmed A, Arman H, Farhat HI. Groundwater Hydrochemical Characteristics and Water Quality in Egypt’s Central Eastern Desert. Water. 2023; 15(5):971. https://doi.org/10.3390/w15050971
Chicago/Turabian StyleSaleh, Ahmed, Ahmed Gad, Alaa Ahmed, Hasan Arman, and Hassan I. Farhat. 2023. "Groundwater Hydrochemical Characteristics and Water Quality in Egypt’s Central Eastern Desert" Water 15, no. 5: 971. https://doi.org/10.3390/w15050971
APA StyleSaleh, A., Gad, A., Ahmed, A., Arman, H., & Farhat, H. I. (2023). Groundwater Hydrochemical Characteristics and Water Quality in Egypt’s Central Eastern Desert. Water, 15(5), 971. https://doi.org/10.3390/w15050971

