Next Article in Journal
Research Progress of Dike Leak Rescue Technology
Next Article in Special Issue
The Hydraulic Connection Analysis of Dongying Geothermal Fluid Using Hydrochemical Information and Isotope Data in Tianjin Coastal Regions
Previous Article in Journal
Unravelling Nutrients and Carbon Interactions in an Urban Coastal Water during Algal Bloom Period in Zhanjiang Bay, China
Previous Article in Special Issue
The Genesis Mechanism and Health Risk Assessment of High Boron Water in the Zhaxikang Geothermal Area, South Tibet
 
 
Font Type:
Arial Georgia Verdana
Font Size:
Aa Aa Aa
Line Spacing:
Column Width:
Background:
Article

Chemical and Isotopic Features of a High pCO2 Natural Mineral Water from Essentuki Field (Caucasian Mineral Water Region, Russia)

by
Ekaterina I. Baranovskaya
1,*,
Natalia A. Kharitonova
1,2,
Georgy A. Chelnokov
3,
Irina A. Tarasenko
2 and
Alexey A. Maslov
1
1
Faculty of Geology, Lomonosov Moscow State University, GSP-1, Leninskiye Gory, 119991 Moscow, Russia
2
Laboratory of Hypergene Processes Geochemistry, Far East Geological Institute, Far Eastern Branch Russian Academy of Science, Prospect 100-Letya 159, 690022 Vladivostok, Russia
3
Heat and Mass Transfer Laboratory, Geological Institute Russian Academy of Science, Pyzhevsky Lane 7, Bld. 1, 119017 Moscow, Russia
*
Author to whom correspondence should be addressed.
Water 2023, 15(5), 901; https://doi.org/10.3390/w15050901
Submission received: 29 January 2023 / Revised: 16 February 2023 / Accepted: 22 February 2023 / Published: 26 February 2023
(This article belongs to the Special Issue Hydrochemistry and Isotopes in Groundwater Investigations)

Abstract

:
This article presents the new data on the chemical and gas composition, the content of stable isotopes of oxygen, hydrogen, carbon, and sulfur in natural mineral waters of the Essentuki field. A detailed study of the geological and hydrogeological features of the water circulation area, its major chemical composition, the content of organic matter in water, temperature conditions and δ18OSMOW, δDSMOW, δ13CDIC, δ18ODIC, δ34SVCDT, δ13CCO2, δ13CCH4, δ15N values made it possible to specify the genesis of water, gas, and solute components of the Essentuki CO2-rich mineral water field. The stable isotopes values (δ18OSMOW and δDSMOW) in the water phase ranges from −13.75 to −9.69‰ and from −101.08 to −74.34‰, respectively. They correspond to GMWL, which indicates their predominantly infiltration genesis. The values of δ13CDIC in mineral waters of the Essentuki field vary widely from −14.43 to +8.59‰ and indicate their mixed genesis. δ15N gas values in mineral waters of the Essentuki field vary quite widely from −2.31 to 2.50‰ indicating a different source of this gas. Obtained data prove that all mineral waters in the Essentuki field are infiltration waters, and the heterogeneous component composition of waters circulating in different aquifers reflects the lithological composition of water-bearing strata, the rate of openness/closure of faults and the intensity of reactions in the «water-rock-gas-organic matter» system.

1. Introduction

The Caucasian Mineral Waters (CMW) area is widely known in Russia and very popular as a health resort. Many people from all regions of the Russian Federation come here annually to improve their health by balneotherapy. Mineral waters circulating within CMW have different salinity, temperature, chemical and gas composition. Such variety of groundwater is caused by a combination of the relief and geological and hydrogeological conditions of CMW. The most popular in the Russian Federation are bicarbonate-chloride sodium or «hydrochloric alkaline» waters known under the trademarks «Essentuki-4» and «Essentuki-17». The consumers of these waters are Essentuki health resorts, clinics and hospitals, as well as local bottling plants. CO2-rich mineral waters are mainly used for drinking and treatment of gastrointestinal diseases, inhalation and irrigation, while H2S-CO2 bearing mineral waters are used for baths. At present, there are four resorts of federal importance (Kislovodsk, Essentuki, Pyatigorsk and Zheleznovodsk) and one resort of local importance (Kumagorsk resort) in the CMW area.
The object of this article is mineral water of the Essentuki field, which is the basis of the Essentuki resort. The field occupies an area of roughly 200 km2 and currently has 49 active wells, 22 of which are water-intake wells, including two test ones (Figure 1). The wells draw water from four aquifers [1].
Despite the fact that the mineral waters within CMW region have been studied for a long time, questions about the genesis of the aqueous phase, dissolved and associated gases, sources of solute matter, transformation of the chemical composition initial water via circulation way (in the depth and lateral of the field), remain debatable and relevant today. Presently there is no generally recognized concept of their formation. To date, there are two groups of hypotheses proposing fundamentally different schemes for the formation of mineral «hydrochloric alkaline» waters at the Essentuki field [2].
The first group includes all hypotheses stating that mineral waters are formed directly in the field from meteogenic waters during their interaction with water-bearing material under active participation of the deep carbonic acid fluid. Complex reactions of mixing and dissolution of water-bearing carbonate strata and ion-exchange reactions lead to the formation of «hydrochloric alkaline» HCO3-Cl-Na (Essentuki) type of water [3,4,5,6].
The second group includes hypotheses suggesting that the «hydrochloric alkaline» waters of «Essentuki-4» and «Essentuki-17» type are formed much further north, in the Nagut area. They enter the Essentuki field in almost «ready-made» form, along the way getting saturated with solutes of marine genesis during the interaction with the terrigenous-carbonate layer [7,8].
Recently, another hypothesis suggested that the studied waters could be of «relict» (sedimentagenous) origin and assumed their initial circulation in all aquifers of the area. Later on, the original brines were diluted or almost completely displaced by the infiltration water flow coming from the Greater Caucasus mountain structure. At present, this type of water is preserved only within the Cenomanian-Maastrichtian (K2) aquifer [9].
The main purpose of this work is to study the genesis and evolution of the isotopic and geochemical composition of the various aquifers of the natural mineral waters of the Essentuki field on the basis of the long period hydrogeochemical survey.
In this study we present the original data on the isotopic and chemical data of aqueous and gaseous phases of CO2-bearing waters in the Essentuki field obtained during long survey. The comprehensive and detail analysis allowed to specify the main sources, way and processes of formation of CO2-rich mineral waters.

2. Study Area

The Caucasian Mineral Waters (CMW) is a group of resorts located in the south of European Russia, within the junction of the Mineralovodskaya sloping plain and northern slopes of the Greater Caucasus. The Essentuki mineral water field is located in the central part of the CMW occupying the area of 200 km2.
A distinctive feature of the flat part of the region’s relief is the presence of separate volcanic structures–laccolite mountains (approximately 17 of them) represented by granite and syenite porphyries breaking through the Mesozoic-Cenozoic sedimentary rocks (Figure 2). The Essentuki mineral water field is confined to a monoclinal structure that dips in the northern direction and rests on the Byk Mountain intrusive.
The aquifer complexes are presumably isolated from each other hydrogeologically [10]. They are hydrodynamically interconnected through fault zones and contact zones of laccolites.
Hydrogeological section of the Essentuki field is an alternation of monoclinal relatively waterproof and water-permeable rocks of the Mesozoic-Cenozoic sedimentary cover and Proterozoic-Paleozoic basement (Figure 1). A feature of the geological structure of the CMW area is the shallow occurrence of crystalline basement rocks.
Four aquifer complexes are distinguished in the geological structure of the sedimentary cover [1]: Paleogene (Elburg) (₽1d–sl) complex represented by marl, sandstone, and limestone; Upper Cretaceous (Cenomanian-Maastrichtian) (K2), carbonate complex formed by limestone and marl; Lower Cretaceous (Aptian-Lower Albian) (K1a–al1) complex composed of terrigenous sandy-clayey sediments; Titon-Valanginian (J3tt–K1v) complex. In the Essentuki field area it lies directly on the basement rocks and consists of plastered clay, granite grus, limestone, and dolomitic limestone.
The Proterozoic-Paleozoic basement has a block structure and consists of sedimentary-metamorphic and igneous rocks (granite, granodiorite, shale, gneiss, amphibolite, tuff, sandstone, and conglomerates). The rocks are dislocated, folded, and fractured. The fractures are filled with clayey material, veined quartz, and rarely with calcite.
The southern part of the region appears to be an infiltration groundwater supply area, while the northeast and north are transit areas, probably due to the presence of north-east-trending tectonic faults. Internal groundwater cross flow occurs along fracture zones and numerous faults. The waters are characterized by lateral and vertical zoning, and hydrogeological conditions change in the northeastern direction, which is associated with the distance from the feeding area and increasing depth of aquifer occurrence.
The diversity of mineral waters of the Essentuki field is explained by complex hydrogeological settings, including several aquifer complexes with different hydrodynamic and hydrochemical conditions [10].

3. Materials and Methods

The article is based on the hydrogeochemical analysis of samples taken in 2019–2020 (Table 1). Samples for chemical and isotopic composition were taken from 20 wells within the Essentuki field and from surface sources (a stream, a pond, and Podkumok River) and snow (Figure 1). For the period 2019–2020, 240 water samples and 116 gas samples were taken from 20 production wells of the Essentuki field. Samples were taken from July 2019 to September 2020 twice a month. Here we present the most representative samples.
Unstable parameters (pH, temperature) were determined directly at the sampling site using liquid analyzers Expert-001 (Russia) and Mettler Toledo (Switzerland). Water samples intended for laboratory chemical analyses were filtered through a cellulose filter (0.45 µm) at the sampling site.
Main cations and anions were determined by liquid ion chromatography (HPLC-10AVp, SHIMADZU) in the analytical center of Far East Geological Institute, Far East Branch of Russian Academy of Sciences (FEGI FEB RAS, Vladivostok, Russia). Isotope studies of stable oxygen and deuterium isotopes in groundwater were performed in the laboratory of stable isotopes of the analytical center of FEGI FEB RAS. Water samples were prepared for isotope analysis according to the standard technique of high-temperature pyrolysis of water on carbon. A TC/EA high-temperature pyrolyzer (ThermoQuest, Bremen, Germany) connected to a MAT 253 isotope mass spectrometer (ThermoQuest, Bremen, Germany) via a ConFlo-IV interface (ThermoQuest, Bremen, Germany) was used for the analyses. The results of the analyses are presented according to the international standard VSMOW.
The isotopic composition of δ34S sulfate ion was performed on a MAT-253 mass spectrometer (Thermo Scientific, Bremen, Germany) in continuous helium flow mode in the laboratory of stable isotopes of FEGI FEB RAS. The results of δ34S measurements are reported according to the international standard VCDT.
The chemical composition of free gas was determined by gas chromatography on a Crystal-2000M gas chromatograph in the laboratory of Geological Institute, Russian Academy of Sciences (GIN RAS).
The isotopic composition of δ13C in CO2 and CH4 was analyzed at Lomonosov Moscow State University, Department of Geology and Geochemistry of Combustibles. Stable δ13C isotopes of dissolved carbonates were determined in carbonates precipitated from water (about 0.1 g mass). The samples were treated with polyphosphoric acid on a Gas Bench II sample preparation line connected directly to a Delta V Advantage mass spectrometer (Thermo Fisher Scientific). The VPDB standard (Vienna Pee Dee Belemnite) was used to calibrate the analytical system during the analyses.
The isotopic composition of nitrogen δ15N in gaseous nitrogen was determined at the Isotope Research Center of VSEGEI (St. Petersburg) on a DELTA Plus XL mass spectrometer (ThermoFinnigan, Bremen, Germany). Atmospheric air with δ15N = 0‰ was used as a standard, and the measurement error was ±0.3‰.

4. Results and Discussion

4.1. Hydrogeochemical Characteristics

Surface water streams in the region have low salinity of about 0.6 g/L and a various chemical composition; among anions, bicarbonate predominates followed by sulfate and chloride (Table 2, Figure 3). Calcium is predominant in the Podkumok river waters, although sodium prevails in a stream.
Pond waters are characterized by a significantly higher TDS (about 4.0 g/L) compared to surface water courses. Among anions in these waters sulfate ion prevails (2.25 g/L) followed by chlorine ion (0.4 g/L), and among cations sodium is predominant (0.63 g/L) followed by calcium (0.44 g/L) and magnesium (0.13 g/L). Atmospheric precipitation (snow) has a rather low salinity (not more than 0.02 g/L) and a mixed chemical composition (Table 2).
All studied groundwater is weakly alkaline with pH varies from 6.3 to 8.5. While surface waters in Podkumok River and in the stream are characterized by more acidic pH values ranging from 5.7 to 6.1 (Table 2, Figure 4).
TDS of groundwater in the Essentuki field varies in a wide range from 0.6 to 12.8 g/L highly depending on the aquifers (Figure 4). The waters from the Paleogene aquifer ₽1d–sl are characterized by fairly high TDS values within 8.1–12.8 g/L (an average of 9.6). Groundwater in the Cenomanian-Maastrichtian aquifer (K2) has a wider range of TDS values, from 0.6 to 9.8 g/L (an average of 5.3). Water sampled from wells in the Aptian-Lower Albian aquifer (K1a–al1) is characterized by low TDS within a narrow range of values 0.6–0.7 g/L, while mineral groundwater circulating deeper in the Titon-Valanginian aquifer (J3tt–K1v) has a higher salinity ranging from 2.5 to 6.5 g/L (an average of 4.5). A clear hydrogeochemical zoning is observed in the vertical section: groundwater circulating in the intermediate Aptian-Albian aquifer has significantly lower TDS than groundwater localized in rocks of the Paleogene (₽1d–sl) and Upper Cretaceous (K2) aquifers located structurally higher in the section, and also than groundwater from the Titon-Valanginian horizon (J3tt–K1v) laying lower in the section (Figure 4). The lowest TDS (0.6 g/L) is observed for groundwater from wells 70 (K2 aquifer) and 9 (K1a–al1 aquifer), located in the south part of the study area which located near in the infiltration recharge zone.
Average values main components in the studied waters according to the results of the 2019–2020 sampling are presented in Table 2.
Bicarbonate ion is always predominant in the anion composition of mineral groundwaters from productive aquifers of the Essentuki field (Table 2, Figure 5). The content of sulfate ion and chlorine ion varies depending on the groundwater circulation zone, i.e., its occurrence in an aquifer (Figure 3). In the Elburg aquifer water (₽1d–sl), the content of HCO3 ion among anions varies from 4360 to 6202 mg/L, Cl ion from 1376 to 2515 mg/L, and SO4 ion is present in trace amounts except for well 24-bis-1 where the concentration of sulfate ion reaches 77.1 mg/L. The average content of dissolved carbon dioxide was 1.78 g/L. Despite the difference in TDS, all studied waters from this aquifer share the same chemical water type and genesis (Table 2).
In the Cenomanian-Maastrichtian aquifer waters (K2), the content of HCO3 ion among anions varies from 370 to 4934 mg/L, Cl ion from 22 to 1801 mg/L, and SO4 ion was found in follow wells: 1-e and 2-e (H2S-bearing water) and 70 (fresh water) located close to the recharge zone. The content of sulfate-ion was 26.38, 23.11 and 47.21 mg/L accordingly. The concentration of dissolved CO2 gas varies very significantly from well to well and strongly depends on their location. The highest content of CO2 was found in the wells 46 (0.8 g/L) and the lowest in well 70 (0.05 mg/L).
In waters of the Aptian-Lower Albian aquifer (K1a–al1), the content of HCO3 ion (216 to 276 mg/L) is followed by SO4 ion (125 to 159 mg/L), and then by Cl ion (43 to 59 mg/L). The content of dissolved CO2 is low ranging from 0.14 to 0.41 g/L.
In the Titon-Valanginian aquifer waters (J3tt–K1v), the average concentration of HCO3 reaches 3064 mg/L, Cl—56 mg/L, and SO42−—829 mg/L. The average content of dissolved carbon dioxide is high (1.46 g/L), close to that in waters of the Elburg aquifer. A very high gas factor of 17.5–31.5 m3/m3 is observed in groundwater from this aquifer.
An increased concentration of sulfate ion in water produced by the wells from the Aptian-Lower Albian (K1a–al1) and Titon-Valanginian (J3tt–K1v) aquifers compared to water from other productive horizons of the Essentuki field reflects the lithological composition of water-bearing rocks. It is discussed further in determining the isotopic composition of sulfate sulfur in groundwater.
The maximum concentration of HCO3 is typical for waters of the Cenomanian-Maastrichtian aquifer (K2), and the minimum concentration for the Aptian-Lower Albian aquifer (K1a–al1). The direct dependence of the studied waters’ TDS on HCO3 content (Figure 6) indicates that TDS of CO2-rich waters is controlled mainly by the amount of bicarbonate ion, which is formed by the dissolution in water of CO2 gas migrating from subsurface through open faults and tectonic deformation zones.
Chloride ion content also significantly affects the value of TDS, which is confirmed by their direct correlation (Figure 6). The elevated Cl concentration in mineral waters of the Essentuki field is associated with the salt complex of sedimentation pore waters of marine genesis, which is partially preserved in weakly permeable blocks of terrigenous-carbonate rocks of the Cenomanian- Maastrichtian aquifer (K2) [9,10].
Na+ is predominant among the cations in all studied samples, while other cations have sharply inferior concentrations (Figure 5). Figure 6 shows a direct dependence of water salinity on sodium ion content at R2 = 0.96.
The Gibbs diagram in the Figure 7 shows that all samples of the studied natural mineral waters of different aquifers are located in the zone of rock dominance. This indicates the process of interaction between water and rocks, which is one of the main mechanisms controlling the chemical composition of studied groundwaters.
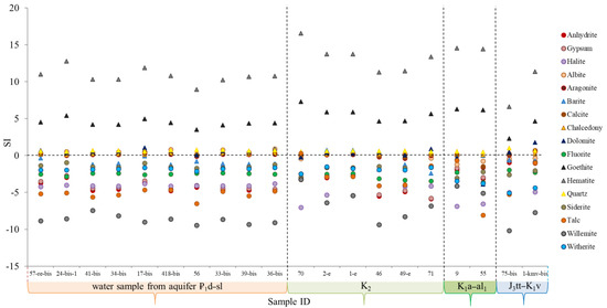
Calculations of the saturation index (SI) have shown that almost all the studied waters from different aquifers are oversaturated with quartz, hematite, goethite, dolomite, chalcedony, calcite, aragonite and albite (Figure 8).

4.2. Groundwater Temperature

Groundwater temperature in the studied wells varies in a wide range from 13 to 48 °C (Table 2). The maximum temperature measured at the discharge (about 48 °C) is fixed in the well 71 (Upper Cretaceous aquifer) located in the northeast of the territory near the laccolite mountain Byk. The minimum temperature (13 °C) was recorded in water of the well 70 located near the supposed groundwater recharge zone–the Elbrus mountain system. In general, groundwater temperature tends to increase with the depth of aquifers and in the northern direction. For groundwater sampled from the Upper Cretaceous aquifer, there is a very good correlation R2 = 0.94 with the sampling depth (Figure 4).
Surface water temperature in the stream, in the pond, and in Podkumok river at the time of sampling (summer period) had approximately the same values, about 10 °C (Table 2).

4.3. Total Carbon Content

Total carbon (TC) content in the studied samples of mineral and surface waters indicates a significant predominance of inorganic carbon (>95%), which is formed during the dissolution of water-bearing carbonate rocks (Table 3, Figure 9). The small amount of organic carbon (OC) in carbonate groundwater is caused by a very minor quantity of organic fraction of the water-bearing strata. The highest concentration of OC (2.2%) is typical of clay mineral phases of the Lower Cretaceous and limestones containing the remains of organic matter of the Upper Cretaceous [11]. OC was not found in CO2-free (fresh) waters, apparently due to poor interaction between water and water-bearing rocks.

4.4. Isotopic Composition of Groundwater

The content of stable oxygen and hydrogen isotopes (δ18OSMOW and δDSMOW) varies greatly in studied mineral waters: from −13.75 to −9.69‰, and from −101.08 to −74.34‰, respectively. Isotopic composition of surface waters ranges smaller: from −10.00 to −7.10‰ for δ18OSMOW, and from −72.30 to −61.00‰ for δDSMOW (Figure 10, Table 4). Isotopic composition of the snow has very light values for both oxygen −29.00‰ and hydrogen −225.30‰, which indicates that it was formed at a high altitude.
The mineral waters of the Elburg (₽1d–sl) and Cenomanian-Maastrichtian (K2) aquifers are close to each other, as well as to atmospheric precipitation and surface waters of the region by their δ18OSMOW and δDSMOW data (Table 4). The binary diagram (Figure 10) shows that the majority of figurative points of mineral waters in these productive aquifers are located along the global meteoric water line (GMWL) indicating their infiltration genesis. Also, the recharge area of the Elburg and Cenomanian-Maastrichtian aquifers is very compact, forming a cloud, suggesting a similar genesis for groundwater of both aquifers. The absence of a significant «right shift δ18OSMOW» that could indicate rock-water oxygen isotope exchange (Δ18Owater-rock) under increased temperatures points to an active groundwater hydrodynamic regime in the aforementioned horizons and a weak interaction between groundwater and host-rocks. A slight deviation of some figurative points of groundwater in the Elburg aquifer and the pond water sample from the GMWL apparently reflects the initial evaporative concentration processes in the surface water (Figure 10). Well-known that heavy isotope of hydrogen and oxygen accumulate in water during evaporation.
Mineral waters of the Aptian-Lower Albian (K1a–al1) and Titon-Valanginian (J3tt–K1v) aquifers differ from waters in the overlying horizons by much lighter values of δ18OSMOW and δDSMOW, while still being located on the GMWL, which indicates their infiltration genesis. The most light values of δ18OSMOW (from −13.75 to −12.91‰) and δDSMOW (from −101.08 to −93.49‰) registered for the Aptian-Lower Albian aquifer waters are probably caused either by a greater share of winter precipitation in the aquifer groundwater recharge, or by the location of their recharge area on structurally higher relief levels.
In summary, the water phase of mineral waters of the Essentuki field, undoubtedly, has meteoric genesis, and the ion-salt composition of the Essentuki type mineral water forms through its interaction with the layer of water-bearing carbonate-terrigenous rocks. Similar chemical composition and most importantly, identical distribution of the major components in mineral waters of Paleogene and Upper Cretaceous horizons indicate a common genesis of waters (Figure 3). Therefore, all studied mineral waters are originally meteoric, and the current chemical composition is the result of a combination of hydrogeochemical and hydrobiochemical processes in the system groundwater-rock-gas-living matter. During the circulation originally meteoric water interacts with water-bearing rocks and the metamorphization of water occurs, in which the content of salts of marine genesis starts to increase and sodium predominates in the chemical composition of water. The recharge area of mineral waters of the field is located in the spurs of the Caucasus Mountains at 615–2100 m altitude, and the recharge area of waters circulating in the Aptian-Albian horizon is structurally higher than the recharge area of waters from the Titon-Valanginian horizon.
The obtained data are in agreement with the earlier studies of genesis and the circulation ways of the Essentuki field mineral waters [1,9,12,13,14,15]. Debatable idea about the genesis aqueous and gaseous phases from CO2-rich mineral waters located within the Caucasus region are considered in the works [9,12,13]. Works [1,15] are devoted to the geological structure and hydrogeological conditions of Caucasus region. Paper [14] represents the results of the estimation of mineral water supply within the Essentuki field.
In addition, the analysis of the data obtained confirms the views that the Essentuki type CO2-rich waters penetrate to the field from the northern part of the region in an already practically formed state, while the long-term circulation of waters in the Elburg marls does not change their chemical type [7,16]. The exact type of water (Essentuki-4 or Essentuki-17) depends on the mixing ratio of fresh groundwater coming from the southern recharge areas with high TDS mineral water moving from the north from the Nagut flexure.
H2S-bearing mineral waters of the Essentuki field produced by wells 1-e and 2-e from the Cenomanian-Maastrichtian aquifer are similar to CO2-rich waters by their δ18OSMOW and δDSMOW data, which confirms their identical genesis (Table 4, Figure 10). Lower TDS values (1.0–3.0 g/L) are caused by a significant dilution of the «initial» Essentuki CO2-rich mineral waters with high TDS by fresh groundwater from the local recharge area (e.g., well 70). The genesis of dissolved H2S (up to 22 mg/L) in these waters is debatable. Most likely, the presence of dissolved H2S in water is caused by anaerobic sulfate reduction reactions that occur during the interaction of local groundwater containing sulfate ion in significant concentrations with water-bearing rocks (limestone and marl) [17].

4.5. Isotopic Composition of Carbon Bicarbonate Ion

Isotopic composition of carbon bicarbonate ion (δ13CDIC) clarifies the source of water dissolved carbon in the studied mineral waters. The values of δ13CDIC in the Essentuki mineral waters vary in a wide range from −14.43 to +8.59‰, revealing a polygenetic carbonate source (Figure 11, Table 4). The heaviest values of δ13CDIC were observed in water sample from the Titon-Valanginian aquifer (well 75-bis), which indicates that bicarbonate ion enters the water in the well mainly due to the dissolution of carbonate rocks. Waters of the same horizon sampled from well 1-kmv-bis are also characterized by positive values +2.97‰ which are typical for carbonate water-bearing strata. Lighter δ13CDIC values indicate a significant admixture of magmatic carbonic acid coming through deep faults and tectonic disturbance zones from the Proterozoic-Paleozoic basement.
The lightest isotopic composition of δ13CDIC (−14.43‰ and −10.95‰) is typical for samples taken from the Aptian-Lower Albian aquifer (wells 9 and 55). These low values of δ13CDIC indicate a mixed carbonate genesis in these waters: the greater part is a biogenic (soil) component and the minor part comes from the dissolution of carbonate material of water-bearing strata. Since the amount of soil carbonic acid is insignificant and the deep carbonic acid fluid does not enter this horizon, the interaction reactions in the water-water-bearing strata system (terrigenous rocks of the horizon) are very weak at temperatures up to 45 °C and the water is formed fresh.
The values of δ13CDIC in waters drawn by wells 71, 46, and 49 from the Cenomanian-Maastrichtian aquifers (K2) aquifer are positive and quite close to 1.68, 2.11 and 2.10‰, respectively. Such similar values indicate a single source of carbonates in these waters, the carbonate material of water-bearing strata. H2S-bearing and fresh waters of this horizon are characterized by a lighter carbon isotopic composition (Table 4), which is caused by the presence of significant amounts of soil carbonic acid in them. The intermediate δ13CDIC value in waters of wells 1-e and 2-e confirms their formation as a result of mixing of local fresh waters and CO2-rich mineral waters moving from the north.
The Elburg horizon waters (₽1d–sl), except for waters in wells 34-bis, 33-bis, 36-bis, and 56, are characterized by about zero or weakly negative δ13CDIC values (Table 4). This lightening of the isotopic value of dissolved carbon is the result of δ13CDIC fractionation during mixing of deeper CO2-rich mineral waters with fresh waters from local recharge zones. Strongly negative δ13CDIC values in wells 34-bis, 33-bis, and 36-bis (−10.93; −13.73 and −9.34‰, respectively) are caused by changes in δ13CDIC values when using gaslift during well operation, which ensures water saturation with carbonic acid. The depleted δ13CDIC values in well 56 are apparently caused by biogenic carbonic acid entering the water (from soil or formed during the oxidation of dispersed organic matter of the Elburg marl), since bicarbonate ion inherits the isotopic composition of the initial carbon dioxide.
In general, it is evident that highly saline groundwater, except for forced gaslift waters, contains more isotope-heavy carbonic acid than waters with low TDS (Figure 11). The obtained δ18ODIC values are negative ranging from −14.52 to −6.58‰ (Table 4).
Mineral waters of the Essentuki field are characterized by high gas saturation (0.5–3.5 dm3/dm3) varying from well to well. In the deepest Titon-Valanginian aquifer, which lies directly on crystalline rocks of the basement, abnormally high content of carbon dioxide was observed, while the intermediate Aptian-Lower Albian aquifer in this field is characterized by the lowest gas content (it is often almost completely absent).
Uneven gas saturation of groundwater in the Essentuki field, which is typical for the Titon-Valanginian horizon, is limited by the openness (or closure) of tectonic faults in the Proterozoic-Paleozoic basement. A zone of increased fracture permeability confined to the deep latitudinal North-Buguntinsky fault was reported in the area of well 75-bis [14].

4.6. Gas Composition of Groundwater

Generally, CO2 is predominant in the free gas phase of the Essentuki field waters (its content often reaches 98 volume%), followed by N2 (up to 66 vol.%), and NH4 (up to 29 vol.%). Oxygen (13 vol.%), argon (1.86 vol.%), and helium (0.98 vol.%) are present in insignificant amounts (Table 5, Figure 12).
N2/Ar ratio values vary from 1 to 190. Its lowest values (1–15) are common for samples taken from wells draining water from the Titon-Valanginian horizon (J3tt–K1v). In the gases samples (wells 9 and 55) taken from the Aptian-Lower Albian (K1a-al1) aquifer, N2/Ar values range from 60 to 100, which is higher than the values of this ratio in the air. In free gas samples taken from CO2-rich mineral waters of the Cenomanian-Maastrichtian aquifer, N2/Ar ratio values range 1–40, while in H2S-bearing waters from this aquifer this ratio reaches higher values of 72–96. Fresh water from well 70 is characterized by a very high N2/Ar value (280), much higher than N2/Ar in the air, probably indicating a non-atmospheric nitrogen admixture. In gas samples from the Elburg horizon, N2/Ar values vary from well to well within the 60–270 range.
To identify the genesis of nitrogen we studied δ15N in the N2 free gas from several wells, and additional data on δ15N were taken from the manuscript [18]. δ15Ngas values in mineral waters of the Essentuki field vary quite widely from −2.31 to 2.50‰ (Table 6) indicating a different source of this gas. Typically atmogenic N215N close to 0 ± 0.5‰) is characteristic of most mineral waters from wells draining water from the Paleogene (wells 57-re-bis, 41-bis, 418-bis, 56, and 39-bis), and Cenomanian-Maastrichtian aquifers (except for well 71). Gas phase of samples taken from wells 34-bis, 17-bis, and 36-bis shows weakly negative δ15N values from −1.54 to −2.31‰. N2 from the deepest well 1-kmv-bis (J3tt-K1v aquifer), is also characterized by isotope-light δ15N values of −2.0‰. These values indicate a possible admixture of mantle nitrogen (δ15Nmantle ≈ −5‰) in N2gas of mineral waters according to [19]. Isotopic heavy nitrogen δ15N (from +1.2 to +2.5) was observed in the associated gas from wells 55, 71, and 24-bis-1 (Table 6). These values indicate an admixture of crustal nitrogen (δ15Ncrust ≈ +6‰) according to [19]. Therefore, the isotopic characteristics of nitrogen in the gas phase of the Essentuki field indicate its polygenetic genesis. N2 is predominantly of atmospheric origin, but in some local environments an additional source of gas is possible either from deep parts of the Earth’s crust (Nmantle) or as a result of the degradation of water-bearing strata (Ncrust).

4.7. Isotopic Composition of Carbon in the Gas Phase

δ13CCO2 and δ13CCH4 revealed the genesis of carbon-bearing gases in the mineral waters of the Essentuki field (Figure 13, Table 6). δ13CCO2 values vary in a wide range from −23.34 to −6.03‰, and the maximum δ13CCO2 (−1.96 ÷ −2.46‰) are typical for gases from the deepest Titon-Valanginian aquifer. Methane is practically absent in free gases from this horizon. These figures are very close to δ13CCO213CCO2carb. varies from −2 to +2‰) which was formed during the thermal decomposition of carbonate complexes. Two sources of CO2 are most probable here: a significant part is supplied during the metamorphogenic transformation of the carbonate bed, and a minor admixture of mantle gas from the basement through open fractures cannot also be ruled out.
Figure 13 clearly shows a group of wells (36-bis, 33-bis, and 34-bis) delivering mineral water from the Elburg horizon strongly depleted with δ13CCO2, which are typical for biogenic gases [20]. As discussed earlier, these wells are operating in a forced gaslift mode and the values obtained show δ13CCO2 fractionation during this process. Other wells draining water from the ₽1d–sl stratum on the contrary enriched with δ13CCO2 −9.59 to −6.87‰ (Table 6). Very similar δ13CCO2 (−9.52 ÷ −6.03‰) are typical for mineral waters from the Cenomanian-Maastrichtian (K2) aquifer. These similar δ13CCO2 data confirm the hypothesis of a single source of CO2 gas in mineral waters in both aquifers, which is probably the mantle CO2 with the values of −8 ÷ −3‰ [21]. The low δ13CCO2 data recorded in a number of wells (24-bis-1, 1-e, and 2-e) possibly indicate the input of the biogenic CO2.
The content of δ13CCO2 in waters from the Aptian-Lower Albian (K1a–al1) aquifer are quite low (−17.35 ÷ −16.37‰) and close to the upper threshold of biogenic (soil) CO2 formed by the oxidation of organic matter. δ13CCO2soil varies from −30 to −18‰ [22] suggesting the soil genesis of this gas.
Therefore, it is possible to argue that CO2 gas in mineral waters of the Essentuki field does not have a single source, but it is a mixture of gases of mantle, biogenic, and metamorphogenic origin.
δ13CCH4 values are very similar in all studied samples (except for well 55). They vary insignificantly from −66.41 to −59.20‰ indicating this methane is of biogenic genesis (Figure 13). The only exception is the sample taken from well 55 (K1a–al1 aquifer) characterized by heavier δ13CCH4 values (−23.66‰), which are typical for abiotic methane (Figure 13).

4.8. Isotopic Determinations of Sulphate Forms of Sulfur

In order to identify the sulfate-ion genesis we carried out the δ34SVCDT determination in several groundwaters. In general, the groundwaters within the Essentuki field are characterized by insignificant concentrations of sulfate ion, which increase further down the section (Table 2). The highest concentrations of SO42− were determined in waters from the Titon-Valanginian (J3tt–K1v) aquifer (up to 831.1 mg/L), whereas samples from of the Elburg (₽1d–sl) and Cenomanian-Maastrichtian (K2) aquifers content the negligible amount of the sulfate ion (less than 10 mg/L), excluding waters from four wells: 24-bis-1, 70, 1-e and 2-e (Table 2). Waters taken from K1a–al1 aquifer contain 142.1 mg/L of sulfate ion on average.
δ34SVCDT data demonstrated that mineral waters of the Elburg horizon (well 24-bis-1) are enriched with δ34SVCDT +17.2‰ (Table 7, Figure 14), which corresponds to the isotopic composition of sulfates from marls of the Elburg horizon where δ34SVCDT ≈+12.4‰, according to [23]. A comparable isotopic value of δ34SVCDT is observed in waters of the Titon-Valanginian (J3tt–K1v) horizon, where δ34SVCDT also has positive values +17.3 ÷ 17.8‰. Similar values (+12.2 ÷ 20.4‰) were reported in gypsum and anhydrite forming this complex [24].
Mineral waters from the Cenomanian-Maastrichtian (K2) aquifer are also characterized by positive but lower values of δ34SVCDT = +2.6 ÷ 4.7‰ (Table 7, Figure 14) compared to waters of overlying and underlying aquifers. δ34SVCDT values of carbon-free waters (well 70) and H2S-bearing waters (wells 1-e and 2-e) are close, which indicates a single source of sulfur in these waters.
Negative values δ34SVCDT are typical both for waters of the Aptian-Lower Albian aquifer (from −16.8 to −23.6‰) and for pyrite from the Lower Cretaceous sandstone (δ34SVCDT = −11.0‰) [23]. It is likely that sulfate in waters of this aquifer complex is formed by the dissolution of sulfides in sandstone and mudstone.
This means that SO42− appears in mineral waters of different aquifers of the Essentuki field during the dissolution of water-bearing strata and there is no evidence of possible groundwater exchange between the aquifers. In general, the dissolution of gypsum and anhydrite of water-bearing sediments causes the appearance of SO42− in waters of the Elburg and Titon-Valanginian aquifers. Sulfate ion come to the Aptian-Lower Albian horizon waters during the oxidation of pyrite spreading within host-rocks. Besides, additional sulfate come to CO2 rich mineral water K2 aquifer from the aquifer recharge area.
The main sources of H2Sdis. in waters from wells 1-e and 2-e are the products of sulfate-reducing bacteria which produce H2S by consuming organic matter from sedimentary rocks in the area. According to previous studies [23], almost all groundwater in main productive aquifers of the studied region contains sulfate-reducing bacteria which actively grow on various nutrient media (water-dissolved organic matter, hydrogen, methane, etc.). As a result of bacterial anaerobic sulfate reduction of source waters with significant sulfate ion content, sulfate concentration is notably reduced and dissolved hydrogen sulfide is formed. The data we obtained are in good agreement with the available literature on the formation of sulfurous carbonated waters in the Essentuki field [23,24,25].

5. Conclusions

Thus, new data on the chemical, gas and isotopic composition of natural mineral waters of the Essentuki field allow us to determine the general processes and way of their formation:
  • as a whole, mineral waters of the Essentuki field are characterized by lateral and vertical zoning, hydrogeological and hydrogeochemical settings gradually change in the northeast direction;
  • stable isotopes (δ18OSMOW and δDSMOW) values of the water phase indicate the predominantly infiltration genesis of the studied waters. Most likely, these waters were originally meteoric and their salt composition was formed during the interaction of atmospheric precipitation of the region with water-bearing rocks under active participation of the gas phase. At the same time, mineral waters of different aquifers are characterized by identical isotopic composition, but different values;
  • analysis of δ13CCO2 and δ13CCH4, as well as δ13CDIC revealed a mixed genesis of CO2 phases into the mineral waters of Essentuki field. These are the processes of dissolution of carbonate strata, biogenic source, as well as a mixture of different genetic types of the CO2 fluid (mantle and metamorphogenic);
  • N2-gas isotopic data demonstrate a polygenetic genesis: some amount of gas move to water from the atmosphere, but another part comes from subsurface sources (mantle or crust);
  • δ34SVCDT indicate that the sulfate-ion come to mineral waters during the dissolution of water-bearing strata. The main source of H2S dissolved in mineral waters is the original sulfate ion reduced to H2S through the activity of sulfate-reducing microorganisms.
Knowledge about the conditions and sources of formation of valuable CO2-rich mineral waters is of particular interest and is important for economically rational, mining, exploitation and change of its quality.

Author Contributions

Conceptualization, N.A.K. and E.I.B.; writing-original draft preparation and visualization, project administration, funding acquisition—E.I.B.; writing-original draft preparation, N.A.K.; validation, I.A.T. and G.A.C., project administration—A.A.M. All authors have read and agreed to the published version of the manuscript.

Funding

This work was supported by the Russian Science Foundation, grant № 21-77-00060.

Data Availability Statement

Not applicable.

Acknowledgments

We are grateful to the editors and the anonymous reviewers. Their comments are quite constructive and helpful for us to improve the quality of the manuscript. We would like to thank Tatiana Velivetskaya, Natalia Zarubina, Irina Vanganen, Elizaveta Krasnova for their help on chemical and isotopic analyses.

Conflicts of Interest

The authors declare no conflict of interest.

References

  1. Fillimonova, E.; Lavrushin, V.; Kharitonova, N.; Sartykov, A.; Maximova, E.; Baranovskaya, E.; Korzun, A.; Maslov, A.; Baidariko, E. Hydrogeology and hydrogeochemistry of mineral sparkling groundwater within Essentuki area (Caucasian mineral water region). Environ. Earth Sci. 2020, 79, 15. Available online: https://www.researchgate.net/publication/337905130 (accessed on 15 December 2022).
  2. Abramov, V.Y. Formation of the Chemical Composition of Groundwater in Extreme Thermodynamic Conditions. Ph.D. Thesis, Sergo Ordzhonikidze Russian State University for Geological Prospecting (MGRI), Moscow, Russia, 2015; 192p. (In Russian). [Google Scholar]
  3. Shinkarenko, A.L. Hydrogeochemical characteristics and issues of genesis of Essentuki carbon dioxide waters. Tr. State Balneol. Inst. CMW 1946, 25, 457–460. (In Russian) [Google Scholar]
  4. Ovchinnikov, A.M. Mineral Waters. Ed. 2-e. M; Gosgeoltehizdat: Moscow, Russia, 1963; 375p. (In Russian) [Google Scholar]
  5. Panteleev, I.Y. Essentuki Salt-Alkaline Waters in the System of Caucasian Mineral Waters; Publishing House of the USSR Academy of Sciences: Moscow, Russia, 1963; 262p. (In Russian) [Google Scholar]
  6. Abramov, V.Y.; Vavichkin, A.Y. Features of the formation of the thermogasochemical composition of mineral waters of the Essentuki area. Explor. Prot. Miner. Resour. 2010, 10, 27–32. (In Russian) [Google Scholar]
  7. Shagoyants, S.A. Features of vertical zoning of groundwater in the Essentuki zone of violations on the CMW. Tez. dokl. V. Conf. on geology and minerals of the North Caucasus. Essentuki 1980, Book 2, 345–346. (In Russian) [Google Scholar]
  8. Potapov, E.G. Geological-hydrogeological and hydrochemical features of the formation of carbonated mineral waters of soda type in the CMW. Cand. Diss. Pyatigorsk 1986, 2, 251. (In Russian) [Google Scholar]
  9. Lavrushin, V.Y.; Lisenkov, A.B.; Aidarkozhina, A.S. Genesis of the Essentuki deposit of carbon dioxide waters (North Caucasus). Geochemistry 2020, 65, 77–91. (In Russian) [Google Scholar]
  10. Ivanov, V.V. Caucasian Mineral Waters; 1st Printing House of Profizdat: Moscow, Russia, 1972; 157p. (In Russian) [Google Scholar]
  11. Potapov, E.G.; Aidarkozhina, A.S.; Lavrushin, V.Y.; Danilov, S.R. The influence of scattered organic matter of rocks on the composition of mineral waters of the CMW area. In the collection: Groundwater of the East of Russia. Materials of the All-Russian Meeting on Groundwater in the East of Russia (XXII Meeting on Groundwater in Siberia and the Far East with International Participation). Novosibirsk 2018, 389–393. (In Russian) [Google Scholar]
  12. Lavrushin, V.Y. Ground Fluids of the Greater Caucasus and Its Framing; Polyak, B.G., Ed.; GEOS: Moscow, Russia, 2012; 348p. (In Russian) [Google Scholar]
  13. Potapov, E.G. Evolution of views on the genesis of carbon dioxide mineral waters of the Essentuki area. In The Collection: In Memory of A.N. Voronov; Kryukova, E.P., Ed.; BBM Publishing Ltd.: St. Petersburg, Russia, 2018; pp. 87–91. (In Russian) [Google Scholar]
  14. Baidariko, E.A.; Pozdnyakov, S.P.; Sartykov, A.S.; Kharitonova, N.A.; Baranovskaya, E.I.; Fillimonova, E.A.; Kortunov, E.V.; Maksimova, E.S.; Preobrazhenskaya, A.E.; Maslov, A.A.; et al. Results of work on revaluation of reserves of the Essentuki field. In Geology and Subsoil Use; Issue 4; Eurasian Union of Experts on Subsoil Use: Moscow, Russia, 2021; pp. 130–150. (In Russian) [Google Scholar]
  15. Filimonova, E.; Kharitonova, N.; Baranovskaya, E.; Maslov, A. Geochemistry and Therapeutic Properties of Caucasian Mineral Waters: A Review. Environ. Geochem. Health 2022, 44, 1–19. Available online: https://www.researchgate.net/publication/357659280 (accessed on 15 December 2022). [CrossRef] [PubMed]
  16. Potapov, E.G.; Danilov, S.R.; Gadzhikhanova, S.U. Results of experimental studies of the processes of formation of mineral waters of the Essentuki area. Explor. Prot. Miner. Resour. 2013, 2, 41–45. (In Russian) [Google Scholar]
  17. Potapov, E.G.; Danilov, S.R.; Gadzhikhanova, S.U. Genesis of carbon dioxide-hydrogen sulfide mineral waters of the Essentuki area according to hydrochemical, microbiological and isotope studies. Spa Med. 2017, 1, 11–16. (In Russian) [Google Scholar]
  18. Lavrushin, V.Y.; Aydarkozhina, A.S.; Pokrovsky, B.G.; Prasolov, E.M.; Potapov, E.G.; Ermakov, A.V. Isotopic composition of nitrogen and carbon in gases of carbon dioxide waters of the North Caucasus. Geochemistry 2020, 65, 1115–1128. (In Russian) [Google Scholar]
  19. Pierre, C.; Bernard, M. Nitrogen Isotopes and Mantle Geodynamics: The Emergence of Life and the Atmosphere–Crust–Mantle Connection. Elements 2013, 9, 359–366. Available online: https://www.researchgate.net/publication/274325407 (accessed on 15 December 2022).
  20. Batard, F.; Baubron, J.S.; Bosch, B.; Marce, A.; Risler, J. Isotopic Identification of A Deep Origin in French Thermomineral Waters. J. Hydrol. 1982, 56, 1–21. Available online: https://www.researchgate.net/publication/223397580 (accessed on 15 December 2022). [CrossRef]
  21. Deines, P.; Langmuir, D.; Harmon, R.S. Stable Carbon Isotope Ratios and the Existence of A Gas Phase in the Evolution of Carbonate Ground Waters. Geochim. Cosmochim. Acta 1974, 38, 1147–1164. Available online: https://www.researchgate.net/publication/223496825 (accessed on 15 December 2022). [CrossRef]
  22. Lepokurova, O.E. Soda Groundwater of the South-East of Western Siberia: Geochemistry and Conditions of Formation. Ph.D. Thesis, Tomsk Polytechnic University, Tomsk, Russia, 2018; 217p. (In Russian). [Google Scholar]
  23. Potapov, E.G.; Dubinina, E.O. Isotopic Composition of Sulfur of Rocks and Groundwater of the CMW Area. Geological Evolution of Interaction of Water with Rocks: Materials of the Third All-Russian Scientific Conference with International Participation; Zaman, L.V., Shvartsev, S.L., Eds.; BSC SB RAS Publisher: Ulan-Ude, Russia, 2018; pp. 308–311. [Google Scholar]
  24. Pankina, R.G.; Mekhtieva, V.L.; Grinenko, V.A.; Churmanthaeva, M.N. Isotopic composition of sulfur sulfates and sulfides of waters of some regions of the Caucasus in connection with their genesis. Geochemistry 1966, 9, 1087–1094. (In Russian) [Google Scholar]
  25. Potapov, E.G.; Danilov, S.R. History of the study of carbon dioxide mineral waters of the Essentuki area. Spa Med. 2012, 3, 9–12. (In Russian) [Google Scholar]
Figure 1. Study area: (a) sampling points; (b) geological cross-section of A-A’ in the region.
Figure 1. Study area: (a) sampling points; (b) geological cross-section of A-A’ in the region.
Water 15 00901 g001
Figure 2. Geological map of the study area.
Figure 2. Geological map of the study area.
Water 15 00901 g002
Figure 3. Stiff diagrams showing the chemical composition of natural mineral water of the Essentuki field.
Figure 3. Stiff diagrams showing the chemical composition of natural mineral water of the Essentuki field.
Water 15 00901 g003
Figure 4. Relationship between temperature (T, °C), TDS, pH, SiO2 and dissolved carbon dioxide (CO2, g/L) for the water samples in the study area.
Figure 4. Relationship between temperature (T, °C), TDS, pH, SiO2 and dissolved carbon dioxide (CO2, g/L) for the water samples in the study area.
Water 15 00901 g004
Figure 5. Piper diagram of water samples.
Figure 5. Piper diagram of water samples.
Water 15 00901 g005
Figure 6. Relationship between TDS and the content of main ions in the studied water, and their correlation coefficients (R2).
Figure 6. Relationship between TDS and the content of main ions in the studied water, and their correlation coefficients (R2).
Water 15 00901 g006
Figure 7. Gibbs diagram of natural mineral waters samples: (a) anion ratio (Cl/(Cl+HCO3); (b) cation ratio (Na++K+)/(Na++K++Ca2+).
Figure 7. Gibbs diagram of natural mineral waters samples: (a) anion ratio (Cl/(Cl+HCO3); (b) cation ratio (Na++K+)/(Na++K++Ca2+).
Water 15 00901 g007
Figure 8. Saturation indices (SI) values of groundwater samples, with respect to minerals in the study area.
Figure 8. Saturation indices (SI) values of groundwater samples, with respect to minerals in the study area.
Water 15 00901 g008
Figure 9. Distribution of various forms of carbon in water samples of the Essentuki field.
Figure 9. Distribution of various forms of carbon in water samples of the Essentuki field.
Water 15 00901 g009
Figure 10. Binary distribution diagram of δ18OVSMOW and δDVSMOW in natural mineral water of the Essentuki field.
Figure 10. Binary distribution diagram of δ18OVSMOW and δDVSMOW in natural mineral water of the Essentuki field.
Water 15 00901 g010
Figure 11. Relationship between the content of δ13CDIC and the concentration of bicarbonate in natural mineral water of the Essentuki field.
Figure 11. Relationship between the content of δ13CDIC and the concentration of bicarbonate in natural mineral water of the Essentuki field.
Water 15 00901 g011
Figure 12. Gas composition of natural mineral water of the Essentuki field.
Figure 12. Gas composition of natural mineral water of the Essentuki field.
Water 15 00901 g012
Figure 13. Distribution of δ13CPDB in free gases of mineral water of the Essentuki field.
Figure 13. Distribution of δ13CPDB in free gases of mineral water of the Essentuki field.
Water 15 00901 g013
Figure 14. Isotopic composition of sulfur δ34SVCDT in mineral water of the Essentuki field. Data on the isotopic composition of sulfur in the rocks are borrowed from [23].
Figure 14. Isotopic composition of sulfur δ34SVCDT in mineral water of the Essentuki field. Data on the isotopic composition of sulfur in the rocks are borrowed from [23].
Water 15 00901 g014
Table 1. Characteristics of the studied water samples.
Table 1. Characteristics of the studied water samples.
Sample IDAquiferLithologiesWell Depth (m)
157-re-bis1d–slMarl, sandstone, limestone92
224-bis-11d–slMarl, sandstone, limestone96
341-bis1d–slMarl, sandstone, limestone115
434-bis1d–slMarl, sandstone, limestone125
517-bis1d–slMarl, sandstone125
6418-bis1d–slMarl, sandstone157
7561d–slMarl, siltstone, sandstone, limestone191
833-bis1d–slMarl, sandstone, limestone212
939-bis1d–slMarl, sandstone, limestone266
1036-bis1d–slMarl, sandstone, limestone301
1170K2Limestone, sandstone212
122-eK2Limestone435
131-eK2Limestone, sandstone, mudstone462
1446K2Dolomitized limestone with interlayers of marls686
1549-eK2Dolomitized limestone with interlayers of marls865
1671K2Limestone, with thin layers of marls and mudstone999
179K1a–al1Sandstone, siltstone600
1855K1a–al1Sandstone, mudstone1222
1975-bisJ3tt–K1vQuartz sandstone974
201-kmv-bisJ3tt–K1vLimestone, granodiorite1468
Table 2. Chemical composition of natural mineral water of the Essentuki field.
Table 2. Chemical composition of natural mineral water of the Essentuki field.
Sample IDAquiferWater TypeT (°C)pHTDS CO2disNaKCaMgHCO3SO4ClSiO2
g/Lmg/L
157-re-bis1d–slNa-HCO3-Cl12.96.98.11.682161.5816.2264.1751.084616.255.621376.7516.54
224-bis-11d–slNa-HCO3-Cl14.27.19.51.202646.0813.6129.1423.774530.1677.061906.7714.66
341-bis1d–slNa-HCO3-Cl12.86.89.11.782356.4622.1574.0548.634684.280.521703.6919.23
434-bis1d–slNa-HCO3-Cl14.06.88.61.932266.1422.7776.7648.994551.890.671643.2920.29
517-bis1d–slNa-HCO3-Cl13.37.012.81.923354.2324.8860.3058.906198.7210.182515.4615.37
6418-bis1d–slNa-HCO3-Cl13.66.98.51.912227.8323.9165.3347.944360.040.481657.0022.41
7561d–slNa-HCO3-Cl15.06.58.81.742278.8025.4986.9451.704478.471.221756.4026.33
833-bis1d–slNa-HCO3-Cl14.36.88.81.862301.4627.8982.3853.504350.070.521766.0024.56
939-bis1d–slNa-HCO3-Cl12.76.99.01.832376.3321.4664.4840.964508.500.601734.7817.07
1036-bis1d–slNa-HCO3-Cl14.06.812.51.953323.0832.0875.7573.436202.260.582471.3122.39
1170K2Na-HCO314.48.50.60.05155.292.385.091.15369.7647.2122.0115.15
122-eK2Na-HCO3-Cl20.67.32.70.42616.809.3133.8310.721490.3523.11309.4022.20
131-eK2Na-HCO3-Cl22.47.21.20.29486.737.1449.2012.101110.5826.38314.2725.07
1446K2Na-HCO3-Cl26.96.79.80.802604.1836.3428.2949.704934.320.241727.8225.47
1549-eK2Na-HCO3-Cl35.96.68.20.642308.0024.2320.3323.114042.451.081623.4338.21
1671K2Na-HCO3-Cl47.76.89.40.622478.7132.4422.5024.214524.300.101801.2942.97
179K1a–al1Na-Ca-HCO3-SO416.47.90.60.41116.502.5937.355.99215.70158.7542.7017.43
1855K1a–al1Na-HCO3-SO434.17.10.70.14184.002.122.400.14276.45125.1759.4327.46
1975-bisJ3tt–K1vNa-Mg-Ca-HCO3-Cl-SO415.06.32.52.12650.2543.23263.00178.253338.21837.75704.7543.51
201-kmv-bisJ3tt–K1vNa-Mg-HCO3-Cl-SO434.26.76.50.79752.6763.57211.67192.502790.18821.17853.5036.24
21stream-Na-Mg-Ca-HCO3-SO410.66.10.91-95.601.8561.8039.20421.00220.0060.705.45
22river Podkumok-Ca-Mg-Na-HCO3-SO47.05.70.92-42.705.23123.0028.30402.00211.0087.808.25
23pond-Na-Ca-SO4-Cl10.26.73.99-633.0012.80435.00129.0090.002254.00418.0021.47
24snow-Na-Ca-HCO3-Cl-SO4<0.05.00.02-2.240.851.950.257.002.732.770.12
Table 3. Content of various forms of carbon in water samples of the study area.
Table 3. Content of various forms of carbon in water samples of the study area.
Sample IDAquiferTCICTOC
mg/L
157-re-bis1d–sl88786621
224-bis-11d–sl87984337
341-bis1d–sl92789434
434-bis1d–sl93588154
517-bis1d–sl1198112671
6418-bis1d–sl83780631
7561d–sl88886028
833-bis1d–sl87383439
939-bis1d–sl91288428
1036-bis1d–sl1207113968
1170K271692
122-eK228126813
131-eK21991909
1446K285679066
1549-eK278875533
1671K279271974
179K1a–al145431
1855K1a–al157516
1975-bisJ3tt–K1v44840840
201-kmv-bisJ3tt–K1v27325221
21stream-59554
22river Podkumok-50491
23pond-64586
24snow-761
Table 4. Isotopic characteristics of natural mineral water of the Essentuki field.
Table 4. Isotopic characteristics of natural mineral water of the Essentuki field.
Sample IDAquiferδ18OVSMOW δDVSMOW δ13CDIC δ18ODIC
157-re-bis1d–sl−10.68−80.52−0.61−11.48
224-bis-11d–sl−10.19−77.83−1.05−10.15
341-bis1d–sl−10.31−83.35−0.03−12.62
434-bis1d–sl−9.93−76.29−10.93−12.90
517-bis1d–sl−10.55−88.340.23−10.61
6418-bis1d–sl−9.96−86.51−0.32−12.07
7561d–sl−10.11−74.39−5.61−12.96
833-bis1d–sl−9.88−74.36−13.73−11.58
939-bis1d–sl−10.22−79.39−0.40−11.87
1036-bis1d–sl−9.97−85.06−9.34−11.21
1170K2−10.89−78.34−5.02−11.97
122-eK2−10.81−74.34−0.76−10.13
131-eK2−9.69−78.33−1.40−10.07
1446K2−10.32−76.582.11−7.68
1549-eK2−10.73−79.792.10−6.58
1671K2−10.54−77.271.68−7.60
179K1a–al1−13.75−101.08−14.43−14.34
1855K1a–al1−12.91−93.49−10.95−12.71
1975-bisJ3tt–K1v−11.06−78.988.59−6.90
201-kmv-bisJ3tt–K1v−11.52−83.252.97−14.52
21stream-−8.80−61.00--
22river Podkumok-−10.00−72.30--
23pond-−7.10−61.20--
24snow-−29.00−225.30--
Table 5. Chemical composition of free gases of natural mineral water of the Essentuki field.
Table 5. Chemical composition of free gases of natural mineral water of the Essentuki field.
Sample IDAquiferCO2CH4N2O2ArHe
vol.%
157-re-bis1d–sl79.3613.306.960.180.090.11
224-bis-11d–sl53.0528.5917.910.010.170.28
341-bis1d–sl86.876.675.470.910.060.03
434-bis1d–sl91.212.096.290.360.030.02
517-bis1d–sl91.476.212.060.210.030.03
6418-bis1d–sl81.207.8810.110.650.090.07
7561d–sl81.4812.375.940.030.070.11
833-bis1d–sl98.131.080.680.070.030.01
939-bis1d–sl78.9611.458.940.500.050.09
1036-bis1d–sl94.441.473.270.770.040.01
1170K20.35 *0.015 *98.00 *0.04 *1.30 *0.003 *
122-eK215.465.2865.6312.630.620.39
131-eK222.2711.5659.086.160.550.38
1446K291.524.612.430.231.140.07
1549-eK271.5721.315.130.521.220.25
1671K288.835.332.580.421.860.98
179K1a–al10.550.0278.9419.720.77-
1855K1a–al10.180.4494.133.571.330.35
1975-bisJ3tt–K1v82.270.0113.414.100.210.003
201-kmv-bisJ3tt–K1v80.930.0110.986.751.210.12
Note: * The data is borrowed from [18].
Table 6. Isotopic composition of free gases of natural mineral water of the Essentuki field.
Table 6. Isotopic composition of free gases of natural mineral water of the Essentuki field.
Sample IDAquiferδ13C, CH4δ13C, CO2δ15N
157-re-bis1d–sl−60.75−7.61−0.24
224-bis-11d–sl−66.41−9.592.50
341-bis1d–sl−61.71−7.65−0.20
434-bis1d–sl−62.07−23.34−1.58
517-bis1d–sl−62.38−7.23−1.54
6418-bis1d–sl−60.93−6.87−0.19
7561d–sl−61.12−7.830.64
833-bis1d–sl−61.54−22.94-
939-bis1d–sl−62.54−7.290.22
1036-bis1d–sl−61.55−21.14−2.31
1170K2--0.40
122-eK2−59.24−8.500.05
131-eK2−59.20−9.520.41
1446K2−60.00−6.040.30 *
1549-eK2−61.21−6.030.10 *
1671K2−61.11−7.431.30 *
179K1a–al1-−16.37-
1855K1a–al1−23.66−17.351.20 *
1975-bisJ3tt–K1v-−1.96-
201-kmv-bisJ3tt–K1v-−2.46−2.00 *
Note: * The data is borrowed from [18].
Table 7. Isotopic composition of sulfur in natural mineral water and water-bearing rocks of the Essentuki field.
Table 7. Isotopic composition of sulfur in natural mineral water and water-bearing rocks of the Essentuki field.
AquiferSample IDδ34SVCDT in the Rocks *δ34SVCDT in the Water Phase
1d–sl24-bis-1marl sulfates, 12.2 ÷ 12.517.4 ÷ 17.7
K21-e-3.2 ÷ 5.0
K22-e-1.3 ÷ 3.9
K270-4.01 ÷ 5.45
K1a–al19pyrite, −11.0−23.3 ÷ −23.8
K1a–al155pyrite, −11.0−16.7 ÷ −16.8
J3tt–K1v75-bissulfates, 12.2 ÷ 20.417.7 ÷ 17.8
J3tt–K1v1-kmv-bissulfates, 12.2 ÷ 20.417.2 ÷ 17.3
Note: * The data is borrowed from [23,24].
Disclaimer/Publisher’s Note: The statements, opinions and data contained in all publications are solely those of the individual author(s) and contributor(s) and not of MDPI and/or the editor(s). MDPI and/or the editor(s) disclaim responsibility for any injury to people or property resulting from any ideas, methods, instructions or products referred to in the content.

Share and Cite

MDPI and ACS Style

Baranovskaya, E.I.; Kharitonova, N.A.; Chelnokov, G.A.; Tarasenko, I.A.; Maslov, A.A. Chemical and Isotopic Features of a High pCO2 Natural Mineral Water from Essentuki Field (Caucasian Mineral Water Region, Russia). Water 2023, 15, 901. https://doi.org/10.3390/w15050901

AMA Style

Baranovskaya EI, Kharitonova NA, Chelnokov GA, Tarasenko IA, Maslov AA. Chemical and Isotopic Features of a High pCO2 Natural Mineral Water from Essentuki Field (Caucasian Mineral Water Region, Russia). Water. 2023; 15(5):901. https://doi.org/10.3390/w15050901

Chicago/Turabian Style

Baranovskaya, Ekaterina I., Natalia A. Kharitonova, Georgy A. Chelnokov, Irina A. Tarasenko, and Alexey A. Maslov. 2023. "Chemical and Isotopic Features of a High pCO2 Natural Mineral Water from Essentuki Field (Caucasian Mineral Water Region, Russia)" Water 15, no. 5: 901. https://doi.org/10.3390/w15050901

APA Style

Baranovskaya, E. I., Kharitonova, N. A., Chelnokov, G. A., Tarasenko, I. A., & Maslov, A. A. (2023). Chemical and Isotopic Features of a High pCO2 Natural Mineral Water from Essentuki Field (Caucasian Mineral Water Region, Russia). Water, 15(5), 901. https://doi.org/10.3390/w15050901

Note that from the first issue of 2016, this journal uses article numbers instead of page numbers. See further details here.

Article Metrics

Back to TopTop