Combined Effects of Cadmium and Azithromycin on Soil Nitrification Process
Abstract
1. Introduction
2. Materials and Methods
2.1. Soil Sampling and Experimental Design
2.2. Acute Ammonium Oxidation Toxicity Test
2.3. Analytical Methods for the Determination of Soil’s Physicochemical Properties and Heavy Metals
3. Results
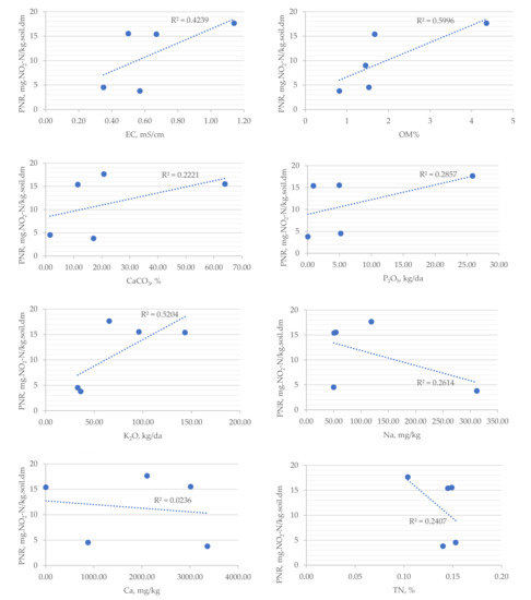
3.1. Nitrification Potential of Soil Samples
3.2. Model Fitting and Statistical Analysis
3.3. Effect of Cd, AZI, and Soil pH on PNR Inhibition through Response Surface Methodology
4. Discussion
5. Conclusions
Funding
Data Availability Statement
Conflicts of Interest
References
- Aydin, S.; Ulvi, A.; Beduk, F.; Aydin, M. Pharmaceutical residues in digested sewage sludge: Occurrence, seasonal variation and risk assessment for soil. Sci. Total Environ. 2022, 817, 152864. [Google Scholar] [CrossRef] [PubMed]
- Bahadir, M.; Aydin, M.E.; Aydin, S.; Beduk, F.; Batarseh, M. Wastewater reuse in middle east countries—A review of prospects and challenges. Fresenius Environ. Bull. 2016, 25, 1284–1304. [Google Scholar]
- Shomar, B.; Kalavrouziotis, I.K.; Koukoulakis, P.H.; Yahya, A. Soil pollution indices under the effect of sludge. Water Air Soil Pollut. 2013, 224, 1436. [Google Scholar] [CrossRef]
- Zhang, H.; Reynolds, M. Cadmium exposure in living organisms: A short review. Sci. Total. Environ. 2019, 678, 761–767. [Google Scholar] [CrossRef] [PubMed]
- Geng, H.; Wang, L. Cadmium: Toxic effects on placental and embryonic development. Environ. Toxicol. Pharmacol. 2019, 67, 102–107. [Google Scholar] [CrossRef]
- Jibril, S.A.; Hassan, S.A.; Ishak, C.F.; Wahab, P.E.M. Cadmium toxicity affects phytochemicals and nutrient elements composition of lettuce (Lactucasativa L.). Adv. Agric. 2017, 2017, 1–7. [Google Scholar] [CrossRef]
- Gray, C.W.; McDowell, R.W.; Condron, L.M.; McLenaghen, R.D. Changes in soil cadmium concentrations with time following cessation of phosphorus fertilizer inputs, Changes in soil cadmium concentrations with time following cessation of phosphorus fertilizer inputs. J. Environ. Qual. 2021, 49, 1054–1061. [Google Scholar] [CrossRef]
- Vig, K.; Megharaj, M.; Sethunathan, N.; Naidu, R. Bioavailability and toxicity of cadmium to microorganisms and their activities in soil: A review. Adv. Environ. Res. 2003, 8, 121–135. [Google Scholar] [CrossRef]
- Song, Y.; Jinc, L.; Wang, X. Cadmium absorption and transportation pathways in plants. Int. J. Phytoremediat. 2017, 19, 133–141. [Google Scholar] [CrossRef] [PubMed]
- Haider, F.U.; Liqun, C.; Coulter, J.A.; Cheema, S.A.; Wu, J.; Zhang, R.; Wenjun, M.; Farooq, M. Cadmium toxicity in plants: Impacts and remediation strategies. Ecotoxicol. Environ. Saf. 2021, 211, 111887. [Google Scholar] [CrossRef]
- Aydin, S.; Aydin, M.E.; Ulvi, A.; Kiliç, H. Antibiotics in hospital effluents: Occurrence, contribution to urban wastewater, removal in a wastewater treatment plant, and environmental risk assessment. Environ. Sci. Pollut. Res. 2019, 26, 544–555. [Google Scholar] [CrossRef] [PubMed]
- Bourdat-Deschamps, M.; Ferhi, S.; Bernet, N.; Feder, F.; Crouzet, O.; Patureau, D.; Montenanch, D.; Moussard, G.D.; Mercier, V.; Benoit, P.; et al. Fate and impacts of pharmaceuticals and personal care products after repeated applications of organic waste products in long-term field experiments. Sci. Total Environ. 2017, 607–608, 271–280. [Google Scholar] [CrossRef] [PubMed]
- Sun, C.; Li, W.; Chen, Z.; Qin, W.; Wen, X. Responses of antibiotics, antibiotic resistance genes, and mobile genetic elements in sewage sludge to thermal hydrolysis pre-treatment and various anaerobic digestion conditions. Environ. Int. 2019, 133, 105156. [Google Scholar] [CrossRef]
- Collivignarelli, M.C.; Abbà, A.; Frattarola, A.; Miino, M.; Padovani, S.; Katsoyiannis, I.; Torretta, V. Legislation for the reuse of biosolids on agricultural land in Europe: Overview. Sustainability 2019, 11, 6015. [Google Scholar] [CrossRef]
- Buta, M.; Hubeny, J.; Zielinski, W.; Harnisz, M.; Korzeniewska, E. Sewage sludge in agriculture—The effects of selected chemical pollutants and emerging genetic resistance determinants on the quality of soil and crops—A review. Ecotoxicol. Environ. Saf. 2021, 214, 112070. [Google Scholar] [CrossRef]
- Bastos, M.C.; Soubrand, M.; Guet, T.L.; Floch, É.L.; Joussein, E.; Baudu, M.; Casellas, M. Occurrence, fate and environmental risk assessment of pharmaceutical compounds in soils amended with organic wastes. Geoderma 2020, 375, 114498. [Google Scholar] [CrossRef]
- Baize, D. Cadmium in soils and cereal grains after sewage-sludge application on French soils. A review. Agron. Sustain. Dev. 2009, 29, 175–184. [Google Scholar] [CrossRef]
- Topp, E.; Renaud, J.; Sumarah, M.; Sabourin, L. Reduced persistence of the macrolide antibiotics erythromycin, clarithromycin and azithromycin in agricultural soil following several years of exposure in the field. Sci. Total Environ. 2016, 562, 136–144. [Google Scholar] [CrossRef] [PubMed]
- Lau, C.H.F.; Tien, Y.C.; Stedtfeld, R.D.; Topp, E. Impacts of multi-year field exposure of agricultural soil to macrolide antibiotics on the abundance of antibiotic resistance genes and selected mobile genetic elements. Sci. Total Environ. 2020, 727, 138520. [Google Scholar] [CrossRef] [PubMed]
- Aydin, M.E.; Aydin, S.; Beduk, F.; Tor, A.; Tekinay, A.; Kolb, M.; Bahadir, M. Effects of long-term irrigation with untreated municipal wastewater on soil properties and crop quality. Environ. Sci. Pollut. Res. 2015, 22, 19203–19212. [Google Scholar] [CrossRef]
- Ozcan, S.; Tor, A.; Aydin, M.E. Investigation on the levels of heavy metals, polycyclic aromatic hydrocarbons, and polychlorinated biphenyls in sewage sludge samples and ecotoxicological testing. Clean—Soil Air Water 2013, 41, 411–418. [Google Scholar] [CrossRef]
- Shi, J.; Du, P.; Luo, H.; Wu, H.; Zhang, Y.; Chen, J.; Wu, M. Soil contamination with cadmium and potential risk around various mines in China during 2000–2020. J. Environ. Manag. 2022, 310, 114509. [Google Scholar] [CrossRef]
- Liu, J.; Sun, S. Total concentrations and different fractions of heavy metals in sewage sludge from Guangzhou, China. Trans. Nonferrous Met. Soc. China 2013, 23, 2397–2407. [Google Scholar] [CrossRef]
- Adimalla, N. Heavy metals contamination in urban surface soils of Medak province, India, and its risk assessment and spatial distribution. Environ. Geochem. Health 2020, 42, 59–75. [Google Scholar] [CrossRef] [PubMed]
- Krishna, V.; Pandey, A.K.; Gupta, P.K. Heavy Metals in Sludge Produced from UASB Treatment Plant at Mirzapur, India. Pollution 2021, 7, 607–616. [Google Scholar] [CrossRef]
- Abollino, O.; Aceto, M.; Malandrino, M.; Mentasti, E.; Sarzanini, C.; Petrella, F. Heavy metals in agricultural soils from Piedmont, Italy. Distribution, speciation and chemometric data treatment. Chemosphere 2002, 49, 545–557. [Google Scholar] [CrossRef]
- Mininni, G.; Mauro, E.; Piccioli, B.; Colarullo, G.; Brandolini, F.; Giacomelli, P. Production and characteristics of sewage sludge in Italy. Water Sci. Technol. 2019, 79, 619–626. [Google Scholar] [CrossRef]
- Rinklebe, J.; Shaheen, S.M. Assessing the mobilization of Cadmium, Lead, and Nickel using a seven-step sequential extraction technique in contaminated floodplain soil profiles along the Central Elbe River, Germany. Water Air Soil Pollut. 2014, 225, 2039. [Google Scholar] [CrossRef]
- Umweltbundesamt 2013 Sewage Sludge Management in Germany. Available online: https://www.umweltbundesamt.de/sites/default/files/medien/378/publikationen/sewage_sludge_management_in_germany.pdf (accessed on 25 September 2022).
- Liu, P.; Chen, J.; Shao, L.; Tan, J.; Chen, D. Responses of flocculent and granular sludge inanaerobic sequencing batch reactors (ASBRs) to azithromycin wastewater and its impact onmicrobial communities. J. Chem. Technol. Biotechnol. 2018, 93, 2341–2350. [Google Scholar] [CrossRef]
- Guerra, P.; Kim, M.; Shah, A.; Alaee, M.; Smyth, S.A. Occurrence and Fate of Antibiotic, Analgesic/Anti-İnflammatory, and Antifungal Compounds in Five Wastewater Treatment Processes. Sci. Total Environ. 2014, 473–474, 235–243. [Google Scholar] [CrossRef]
- Peysson, W.; Vulliet, E. Determination of 136 pharmaceuticals and hormones in sewage sludge using quick, easy, cheap, effective, rugged and safe extraction followed by analysis with liquid chromatography–time-of-flight-mass spectrometry. J. Chromatogr. A 2013, 1290, 46–61. [Google Scholar] [CrossRef] [PubMed]
- Radjenovic, J.; Petrovic, M.; Barcelo, D. Fate and distribution of pharmaceuticals in wastewater and sewage sludge of the conventional activated sludge (CAS) and advanced membrane bioreactor (MBR) treatment. Water Res. 2009, 43, 831–841. [Google Scholar] [CrossRef] [PubMed]
- Beeckman, F.; Motte, H.; Beeckman, T. Nitrification in agricultural soils: Impact, actors and mitigation. Curr. Opin. Biotechnol. 2018, 50, 166–173. [Google Scholar] [CrossRef]
- Bai, J.; Yu, P.; Wen, X.; Wang, W.; Jia, J.; Wang, X. Effects of cadmium addition on net nitrogen mineralization processes in the urban constructed wetland soils of a Chinese delta. Environ. Geochem. Health 2021, 43, 1155–1164. [Google Scholar] [CrossRef]
- Smolders, E.; Brans, K.; Coppens, F.; Merckx, R. Potential nitrification rate as a tool for screening toxicity in metal-contaminated soils. Environ. Toxicol. Chem. 2001, 20, 2469–2474. [Google Scholar] [CrossRef] [PubMed]
- Rosendahl, I.; Siemens, J.; Kindler, R.; Groeneweg, J.; Zimmermann, J.; Czerwinski, S.; Lamshöft, M.; Laabs, V.; Wilke, B.M.; Vereecken, H.; et al. Persistence of the Fluoroquinolone Antibiotic Difloxacin in Soil and Lacking Effects on Nitrogen Turnover. J. Environ. Qual. 2012, 41, 1275–1283. [Google Scholar] [CrossRef]
- Liu, H.; Li, M.; Zhou, J.; Zhou, D.; Wang, Y. Effects of soil properties and aging process on the acute toxicity of cadmium to earthworm Eisenia fetida. Environ. Sci. Pollut. Res. 2018, 25, 3708–3717. [Google Scholar] [CrossRef]
- Tian, H.; Kong, L.; Megharaj, M.; He, W. Contribution of attendant anions on cadmium toxicity to soil enzymes. Chemosphere 2017, 187, 19–26. [Google Scholar] [CrossRef]
- Sauve, S.; Dumestre, A.; McBride, M.; Gillett, J.W.; Berthelin, J.; Hendershot, W. Nitrification potential in field-collected soils contaminated with Pb or Cu. Appl. Soil Ecol. 1999, 12, 29–39. [Google Scholar] [CrossRef]
- Toth, J.D.; Feng, Y.; Dou, Z. Veterinary antibiotics at environmentally relevant concentrations inhibit soil iron reduction and nitrification. Soil Biol. Biochem. 2011, 43, 2470–2472. [Google Scholar] [CrossRef]
- Tang, Q.; Xia, L.; Ti, C.; Zhou, W.; Fountain, L.; Shan, J.; Yan, X. Oxytetracycline, copper, and zinc effects on nitrification processes and microbial activity in two soil types. Food Energy Secur. 2020, 9, e248. [Google Scholar] [CrossRef]
- DS/EN ISO 14238; Soil quality, Biological methods, Determination of nitrogen mineralization and nitrification in soils and the influence of chemicals on these processes. International Standart Organisation: Geneva, Switzerland, 2014.
- ISO 11465; Soil Quality, Determination of Dry Matter and Water Content on a Mass Basis—Gravimetric Method. 1993. Available online: https://www.iso.org/standard/20886.html (accessed on 22 October 2022).
- ISO 10390; Soil Quality, Determination of pH. 2021. Available online: https://www.iso.org/standard/40879.html (accessed on 22 October 2022).
- ISO 11265; Soil Quality, Determination of the Specific Electrical Conductivity. 1994. Available online: https://www.iso.org/standard/19243.html (accessed on 22 October 2022).
- ASTM D 422-63; Standard Test Method for Particle-Size Analysis of Soils. Available online: https://www.astm.org/d0422-63r98.html (accessed on 22 October 2022).
- Walkley, A.; Black, L.A. An examination of the Dgtjareff method for determining soil organic matter, and a proposed modification of the chromic acid titration method. Soil Sci. 1934, 37, 29–38. [Google Scholar] [CrossRef]
- ISO 11261; Soil Quality, Determination of Total Nitrogen, Modified Kjeldahl Method. 1995. Available online: https://www.iso.org/standard/19239.html (accessed on 22 October 2022).
- U.S. EPA. “Method 6010D (SW-846): Inductively Coupled Plasma-Atomic Emission Spectrometry,” Revision 4. Washington, DC, USA. 2014. Available online: https://www.epa.gov/esam/epa-method-6010d-sw-846-inductively-coupled-plasma-atomic-emission-spectrometry (accessed on 11 December 2022).
- Houben, D. Heavy Metal Mobility in Contaminated Soils as Affected by Plants, Amendments and Biochar. Available online: http://hdl.handle.net/2078.1/123342 (accessed on 20 September 2022).
- Krishnamurti, G.S.R.; Smith, L.H.; Naidu, R. Method for assessing plant–available cadmium. Aust. J. Soil Res. 2000, 38, 823–836. [Google Scholar] [CrossRef]
- Rodríguez-González, L.; Santás-Miguel, V.; Campillo-Cora, C.; Arias-Estévez, M.; Fernández-Calviño, D. The effect of clarithromycin toxicity on the growth of bacterial communities in agricultural soils. Processes 2021, 9, 1303. [Google Scholar] [CrossRef]
- Boxall, A.B.A.; Johnson, P.; Smith, E.J.; Sinclair, C.J.; Stutt, E.; Levy, L.S. Uptake of veterinary medicines from soils into plants. J. Agric. Food Chem. 2006, 54, 2288–2297. [Google Scholar] [CrossRef] [PubMed]
- Zeng, F.; Ali, S.; Zhang, H.; Ouyang, Y.; Qiu, B.; Wu, F.; Zhang, G. The influence of pH and organic matter content in paddy soil on heavy metal availability and their uptake by rice plants. Environ. Pollut. 2011, 159, 84–91. [Google Scholar] [CrossRef]
- Fang, Y.; Karnjanapiboonwong, A.; Chase, D.A.; Wang, J.; Morse, A.N.; Anderson, T.A. Occurrence, fate, and persıstence of gemfibrozil in water and soil. Environ. Toxicol. Chem. 2012, 31, 550–555. [Google Scholar] [CrossRef]




| Soil | Reference | Sewage Sludge | Reference |
|---|---|---|---|
| Cd (mg/kg dm) | |||
| 8.23–11.6 (range) | [20] | nd–24.46 (range) | [21] |
| 9.45 (mean) | [22] | 7.18 (mean) | [23] |
| 0.1–4.2 (range) | [24] | 49.26 (mean) | [25] |
| 0.3–6.4 (range) | [26] | 0.7–1.3 (range) | [27] |
| 1.3–8.5 (range) | [28] | 1.5–4.5 (range) | [29] |
| Macrolide Antibiotics (mg/kg dm) | |||
| - | - | nd–1.496 (total range) | [1] |
| - | - | 5.315–8.466 (total range) | [30] |
| - | - | 0.081–0.850 (AZI range) | [31] |
| - | - | 0.200–0.666 (AZI range) | [32] |
| - | - | 0.299 (AZI) | [33] |
| Factor | Variable | Level | ||||
|---|---|---|---|---|---|---|
| −2 (−α) | −1 (Low) | 0 (Mid) | +1 (High) | +2 (+α) | ||
| X1 | Cd (mg/kg) | 1 | 6 | 11 | 16 | 21 |
| X2 | AZI (mg/kg) | 1 | 3 | 5 | 7 | 9 |
| X3 | pH | 6.5 | 7.0 | 7.5 | 8.0 | 8.5 |
| Sampling Site | pH | EC mS/cm | Soil Texture | OM% | CaCO3% | P2O5 kg/da | K2O kg/da | Na mg/kg | Ca mg/kg | TN% | Cd mg/kg |
|---|---|---|---|---|---|---|---|---|---|---|---|
| S1 | 8.5 | 0.57 | Clay | 0.82 | 17.06 | 0.06 | 36 | 312 | 3364 | 0.140 | 1.2 |
| S2 | 6.5 | 0.35 | Clay Loam | 1.53 | 1.56 | 5.21 | 33 | 50 | 881 | 0.153 | 1.5 |
| S3 | 8.0 | 0.50 | Loam | 1.45 | 63.92 | 4.98 | 96 | 54 | 3015 | 0.149 | 0.8 |
| S4 | 7.5 | 0.67 | Clay | 1.67 | 11.46 | 0.92 | 143.4 | 51 | 3.14 | 0.145 | 1.4 |
| S5 | 7.0 | 1.14 | Clay | 4.36 | 20.78 | 25.88 | 65.4 | 119 | 2109 | 0.104 | 0.8 |
| Run | Codified Variables | No Codified Variables | Response for PNR Inhibition (%) | ||||
|---|---|---|---|---|---|---|---|
| X1 Cd (mg/kg) | X2 AZI (mg/kg) | X3 pH | X1 Cd (mg/kg) | X2 AZI (mg/kg) | X3 pH | ||
| 1 | −2 | 0 | 0 | 1 | 5 | 7.5 | 3 |
| 2 | 0 | 2 | 0 | 11 | 9 | 7.5 | 29 |
| 3 | −1 | −1 | −1 | 6 | 3 | 7.0 | 10 |
| 4 | 1 | 1 | −1 | 16 | 7 | 7 | 31 |
| 5 | 0 | 0 | −2 | 11 | 5 | 6.5 | 30 |
| 6 | 0 | 0 | 0 | 11 | 5 | 7.5 | 21.5 |
| 7 | 2 | 0 | 0 | 21 | 5 | 7.5 | 35 |
| 8 | 0 | 0 | 0 | 11 | 5 | 7.5 | 22 |
| 9 | 0 | 0 | 2 | 11 | 5 | 8.5 | 50 |
| 10 | 1 | −1 | −1 | 16 | 3 | 7 | 22 |
| 11 | 1 | −1 | 1 | 16 | 3 | 8 | 32 |
| 12 | −1 | −1 | 1 | 6 | 3 | 8 | 17 |
| 13 | −1 | 1 | −1 | 6 | 7 | 7 | 14 |
| 14 | 0 | −2 | 0 | 11 | 1 | 7.5 | 13 |
| 15 | 0 | 0 | 0 | 11 | 5 | 7.5 | 21 |
| 16 | 1 | 1 | 1 | 16 | 7 | 8 | 46 |
| 17 | −1 | 1 | 1 | 6 | 7 | 8 | 21 |
| Source | Sum of Squares | F-Value | p-Value |
|---|---|---|---|
| A-Cd | 1105.56 | 638.55 | <0.0001 |
| B-AZI | 248.06 | 143.28 | <0.0001 |
| C-pH | 390.06 | 225.29 | <0.0001 |
| AB | 28.12 | 16.24 | 0.003 |
| AC | 15.12 | 8.74 | 0.0161 |
| A2 | 8.50 | 4.91 | 0.0540 |
| C2 | 494.27 | 285.48 | <0.0001 |
| Residual | 15.58 | ||
| Lack of Fit | 15.08 | 8.62 | 0.1079 |
| Pure Error | 0.5000 | ||
| Cor Total | 2388.94 |
Disclaimer/Publisher’s Note: The statements, opinions and data contained in all publications are solely those of the individual author(s) and contributor(s) and not of MDPI and/or the editor(s). MDPI and/or the editor(s) disclaim responsibility for any injury to people or property resulting from any ideas, methods, instructions or products referred to in the content. |
© 2023 by the author. Licensee MDPI, Basel, Switzerland. This article is an open access article distributed under the terms and conditions of the Creative Commons Attribution (CC BY) license (https://creativecommons.org/licenses/by/4.0/).
Share and Cite
Beduk, F. Combined Effects of Cadmium and Azithromycin on Soil Nitrification Process. Water 2023, 15, 881. https://doi.org/10.3390/w15050881
Beduk F. Combined Effects of Cadmium and Azithromycin on Soil Nitrification Process. Water. 2023; 15(5):881. https://doi.org/10.3390/w15050881
Chicago/Turabian StyleBeduk, Fatma. 2023. "Combined Effects of Cadmium and Azithromycin on Soil Nitrification Process" Water 15, no. 5: 881. https://doi.org/10.3390/w15050881
APA StyleBeduk, F. (2023). Combined Effects of Cadmium and Azithromycin on Soil Nitrification Process. Water, 15(5), 881. https://doi.org/10.3390/w15050881

