Effect of Sand Co-Presence on CrVI Removal in Fe0-H2O System
Abstract
1. Introduction
2. Materials and Methods
2.1. Materials
2.2. Experimental Procedure
2.2.1. Non-Disturbed Batch Experiments
2.2.2. Continuous-Flow-through Column Experiments
2.3. Analytical Procedure
3. Results and Discussion
3.1. Solid Phase Characterization
3.2. Non-Disturbed Batch Tests
3.3. CrVI Evolution in Column Tests
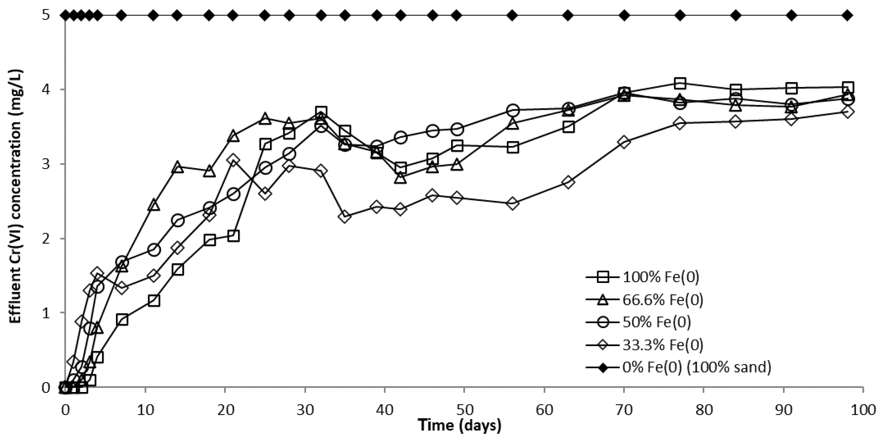
3.3.1. Column Tests with Reactive Zone Having a Fixed Fe0 Volume and Variable Total Volume V2
3.3.2. Column Tests with Reactive Zone Having Variable Fe0 Volume and Fixed Total Volume V2
3.4. pH Evolution in the Column Tests
3.5. CrIII, FeIII and FeII Evolution in Column Tests
4. Conclusions
Supplementary Materials
Author Contributions
Funding
Data Availability Statement
Acknowledgments
Conflicts of Interest
References
- Mwakabona, H.T.; Nde-Tchoupe, A.I.; Njau, K.N.; Noubactep, C.; Wydra, K.D. Metallic iron for safe drinking water provision: Considering a lost knowledge. Water Res. 2017, 117, 127–142. [Google Scholar] [CrossRef] [PubMed]
- Noubactep, C. Metallic iron for environmental remediation: A review of reviews. Water Res. 2015, 85, 114–123. [Google Scholar] [CrossRef] [PubMed]
- Sun, Y.; Li, J.; Huang, T.; Guan, X. The influences of iron characteristics, operating conditions and solution chemistry on contaminants removal by zero-valent iron: A review. Water Res. 2016, 100, 277–295. [Google Scholar] [CrossRef] [PubMed]
- Hu, R.; Cui, X.; Gwenzi, W.; Wu, S.; Noubactep, C. Fe0/H2O systems for environmental remediation: The scientific history and future research directions. Water 2018, 10, 1739. [Google Scholar] [CrossRef]
- Fu, F.; Dionysiou, D.D.; Liu, H. The use of zero-valent iron for groundwater remediation and wastewater treatment: A review. J. Hazard. Mater. 2014, 267, 94–205. [Google Scholar] [CrossRef] [PubMed]
- Lipczynska-Kochany, E.; Harms, S.; Milburn, R.; Sprah, G.; Nadarajah, N. Degradation of carbon tetrachloride in the presence of iron and sulphur containing compounds. Chemosphere 1994, 29, 1477–1489. [Google Scholar] [CrossRef]
- Ansaf, K.V.K.; Ambika, S.; Nambi, I.M. Performance enhancement of zero valent iron based systems using depassivators: Optimization and kinetic mechanisms. Water Res. 2016, 102, 436–444. [Google Scholar] [CrossRef]
- Btatkeu-K, B.D.; Olvera-Vargas, H.; Tchatchueng, J.B.; Noubactep, C.; Caré, S. Determining the optimum Fe0 ratio for sustainable granular Fe0/sand water filters. Chem. Eng. J. 2014, 247, 265–274. [Google Scholar] [CrossRef]
- Guan, X.; Sun, Y.; Qin, H.; Li, J.; Lo, I.M.C.; He, D.; Dong, H. The limitations of applying zero-valent iron technology in contaminants sequestration and the corresponding countermeasures: The development in zero-valent iron technology in the last two decades (1994–2014). Water Res. 2015, 75, 224–248. [Google Scholar] [CrossRef]
- Madaffari, M.G.; Bilardi, S.; Calabro, P.S.; Moraci, N. Nickel removal by zero valent iron/lapillus mixtures in column systems. Soils Found. 2017, 57, 745–759. [Google Scholar] [CrossRef]
- Noubactep, C.; Care, S.; Togue-Kamga, F.; Schöner, A.; Woafo, P. Extending service life of household water filters by mixing metallic iron with sand. Clean Soil Air Water 2010, 38, 951–959. [Google Scholar] [CrossRef]
- Care, S.; Crane, R.; Calabro, P.S.; Ghauch, A.; Temgoua, E.; Noubactep, C. Modeling the permeability loss of metallic iron water filtration systems. Clean Soil Air Water 2013, 41, 275–282. [Google Scholar] [CrossRef]
- Tao, R.; Yang, H.; Cui, X.; Xiao, M.; Gatcha-Bandjun, N.; Kenmogne-Tchidjo, J.F.; Lufingo, M.; Amoah, B.K.; Tepong-Tsindé, R.; Ndé-Tchoupé, A.I.; et al. The suitability of hybrid Fe0/aggregate filtration systems for water treatment. Water 2022, 14, 260. [Google Scholar] [CrossRef]
- Miyajima, K.; Noubactep, C. Effects of mixing granular iron with sand on the efficiency of methylene blue discoloration. Chem. Eng. J. 2012, 200–202, 433–438. [Google Scholar] [CrossRef]
- Noubactep, C. On the suitability of admixing sand to metallic iron for water treatment. Int. J. Environ. Poll. Solut. 2013, 1, 22–36. [Google Scholar] [CrossRef]
- Ndé-Tchoupé, A.I.; Makota, S.; Nassi, A.; Rui, H.; Noubactep, C. The suitability of pozzolan as admixing aggregate for Fe0-based filters. Water 2018, 10, 417. [Google Scholar] [CrossRef]
- O’Hannesin, S.F.; Gillham, R.W. Long-term performance of an in situ “iron wall” for remediation of VOCs. Ground Water 1998, 36, 164–170. [Google Scholar] [CrossRef]
- Bilardi, S.; Calabro, P.S.; Care, S.; Moraci, N.; Noubactep, C. Improving the sustainability of granular iron/pumice systems for water treatment. J. Environ. Manag. 2013, 121, 133–141. [Google Scholar] [CrossRef]
- Ebelle, T.C.; Makota, S.N.; Tepong-Tsinde, R.; Nassi, A.; Noubactep, C. Metallic iron and the dialogue of the deaf. Fres. Environ. Bull. 2019, 28, 8331–8340. [Google Scholar]
- Hu, R.; Gwenzi, W.; Sipowo-Tala, V.R.; Noubactep, C. Water treatment using metallic iron: A tutorial review. Processes 2019, 7, 622. [Google Scholar] [CrossRef]
- Cantrell, K.J.; Kaplan, D.I.; Wietsma, T.W. Zero-valent iron for the in situ remediation of selected metals in groundwater. J. Hazard. Mater. 1995, 42, 201–212. [Google Scholar] [CrossRef]
- Blowes, D.W.; Ptacek, C.J.; Jambor, J.L. In-situ remediation of chromate contaminated groundwater using permeable reactive walls: Laboratory Studies. Environ. Sci. Technol. 1997, 31, 3348–3357. [Google Scholar] [CrossRef]
- Melitas, N.; Chufe-Moscoso, O.; Farrell, J. Kinetics of soluble chromium removal from contaminated water by zerovalent iron media: Corrosion inhibition and passive oxide effects. Environ. Sci. Technol. 2001, 35, 3948–3953. [Google Scholar] [CrossRef] [PubMed]
- Junyapoon, S.; Weerapong, S. Removal of hexavalent chromium from aqueous solutions by scrap iron fillings. KMITL Sci. Technol. J. 2006, 6, 1–12. [Google Scholar]
- Gheju, M.; Iovi, A. Kinetics of hexavalent chromium reduction by scrap iron. J. Hazard. Mater. 2006, B135, 66–73. [Google Scholar] [CrossRef] [PubMed]
- Yang, J.E.; Kim, J.S.; Ok, Y.S.; Kim, S.J.; Yoo, K.Y. Capacity of Cr(VI) reduction in an aqueous solution using different sources of zerovalent irons. Korean J. Chem. Eng. 2006, 23, 935–939. [Google Scholar] [CrossRef]
- Qian, H.; Wu, Y.; Liu, Y.; Xu, X. Kinetics of hexavalent chromium reduction by iron metal. Front. Environ. Sci. Engin. China 2008, 2, 51–56. [Google Scholar] [CrossRef]
- Hou, M.; Wan, H.; Liu, T.; Fan, Y.; Liu, X.; Wang, X. The effect of different divalent cations on the reduction of hexavalent chromium by zerovalent iron. Appl. Catal. B 2008, 84, 170–175. [Google Scholar] [CrossRef]
- Geng, B.; Jin, Z.; Li, T.; Qi, X. Kinetics of hexavalent chromium removal from water by chitosan-Fe0 nanoparticles. Chemosphere 2009, 75, 825–830. [Google Scholar] [CrossRef]
- Franco, D.V.; Da Silva, L.M.; Jardim, W.F. Chemical reduction of hexavalent chromium and its immobilisation under batch conditions using a slurry reactor. Water Air Soil Pollut. 2009, 203, 305–315. [Google Scholar] [CrossRef]
- Dutta, R.; Mohammad, S.K.S.; Chakrabarti, S.; Chaudhuri, B.; Bhattacharjee, S.; Dutta, B.K. Reduction of hexavalent chromium in aqueous medium with zerovalent iron. Water Environ. Res. 2010, 82, 138–146. [Google Scholar] [CrossRef]
- Fiuza, A.; Silva, A.; Carvalho, G.; de la Fuente, A.V.; Delerue-Matos, C. Heterogeneous kinetics of the reduction of chromium (VI) by elemental iron. J. Hazard. Mater. 2010, 175, 1042–1047. [Google Scholar] [CrossRef] [PubMed]
- Lee, J.W.; Cha, D.K.; Oh, Y.K.; Ko, K.B.; Jin, S.H. Wastewater screening method for evaluating applicability of zero-valent iron to industrial wastewater. J. Hazard. Mater. 2010, 180, 354–360. [Google Scholar] [CrossRef] [PubMed]
- Alidokht, L.; Khataee, A.R.; Reyhanitabar, A.; Oustan, S. Reductive removal of Cr(VI) by starch-stabilized Fe0 nanoparticles in aqueous solution. Desalination 2011, 270, 105–110. [Google Scholar] [CrossRef]
- Jiao, C.; Cheng, Y.; Fan, W.; Li, J. Synthesis of agar-stabilized nanoscale zero-valent iron particles and removal study of hexavalent chromium. Int. J. Environ. Sci. Technol. 2015, 12, 1603–1612. [Google Scholar] [CrossRef]
- Li, J.; Qin, H.; Zhang, W.X.; Shi, Z.; Zhao, D.; Guan, X. Enhanced Cr(VI) removal by zero-valent iron coupled with weak magnetic field: Role of magnetic gradient force. Sep. Purif. Technol. 2017, 176, 40–47. [Google Scholar] [CrossRef]
- Liu, J.; Mwamulima, T.; Wang, Y.; Fang, Y.; Song, S.; Peng, C. Removal of Pb(II) and Cr(VI) from aqueous solutions using the fly ash-based adsorbent material-supported zero-valent iron. J. Molec. Liq. 2017, 243, 205–211. [Google Scholar] [CrossRef]
- Huang, X.Y.; Ling, L.; Zhang, W.X. Nanoencapsulation of hexavalent chromium with nanoscale zero-valent iron: High resolution chemical mapping of the passivation layer. J. Environ. Sci. 2018, 67, 4–13. [Google Scholar] [CrossRef]
- Zhang, Y.; Gao, X.; Xu, C. The sequestration of Cr(VI) by zero valent iron under a non-uniform magnetic field: An interfacial dynamic reaction. Chemosphere 2020, 249, 126057. [Google Scholar] [CrossRef]
- Rong, K.; Wang, J.; Zhang, Z.; Zhang, Z. Green synthesis of iron nanoparticles using Korla fragrant pear peel extracts for the removal of aqueous Cr(VI). Ecol. Eng. 2020, 149, 105793. [Google Scholar] [CrossRef]
- Miyajima, K.; Noubactep, C. Characterizing the impact of sand addition on the efficiency of granular iron for contaminant removal in batch systems. Chem. Eng. J. 2015, 262, 891–896. [Google Scholar] [CrossRef]
- Ndé-Tchoupé, A.I.; Nanseu-Njiki, C.P.; Hu, R.; Nassi, A.; Noubactep, C.; Licha, T. Characterizing the reactivity of metallic iron for water defluoridation in batch studies. Chemosphere 2019, 219, 855–863. [Google Scholar] [CrossRef] [PubMed]
- Westerhoff, P.; James, J. Nitrate removal in zero-valent iron packed columns. Water Res. 2003, 37, 1818–1830. [Google Scholar] [CrossRef] [PubMed]
- Hussam, A. Contending with a development disaster: SONO filters remove arsenic from well water in Bangladesh. Innovations 2009, 4, 89–102. [Google Scholar] [CrossRef]
- Ahmed, J.U.; Tinne, W.S.; Al-Amin, M.; Rahanaz, M. Social innovation and SONO filter for drinking water. Soc. Busin. Rev. 2018, 13, 15–26. [Google Scholar] [CrossRef]
- Kaplan, D.I.; Gilmore, T.J. Zerovalent iron removal rates of aqueous Cr(VI) measured under flow conditions. Water Air Soil Pollut. 2004, 155, 21–33. [Google Scholar] [CrossRef]
- Gheju, M.; Balcu, I. Sustaining the efficiency of the Fe(0)/H2O system for Cr(VI) removal by MnO2 amendment. Chemosphere 2019, 214, 389–398. [Google Scholar] [CrossRef]
- Flury, B.; Eggenberger, U.; Mader, U. First results of operating and monitoring an innovative design of a permeable reactive barrier for the remediation of chromate contaminated groundwater. J. Appl. Geochem. 2009, 24, 687–697. [Google Scholar] [CrossRef]
- Ishikawa, Y.; Saitoh, O.; Numabe, A. Estimation of long-term changes in Cr(VI) concentration in public water after countermeasures against water pollution. J. Japan Soc. Water Environ. 2004, 27, 423–429. [Google Scholar] [CrossRef]
- APHA; AWWA; WEF. 3500-Cr B; Colorimetric method. In Standard Methods for the Examination of Water and Wastewater, 21st ed.; Eaton, A.D., Clesceri, L.S., Rice, E.W., Greenberg, A.E., Franson, M.A.H., Eds.; American Public Health Association: Washington, DC, USA, 2005; pp. 3.67–3.68. [Google Scholar]
- APHA; AWWA; WEF. 3500-Fe B; Phenantroline method. In Standard Methods for the Examination of Water and Wastewater, 21st ed.; Eaton, A.D., Clesceri, L.S., Rice, E.W., Greenberg, A.E., Franson, M.A.H., Eds.; American Public Health Association: Washington, DC, USA, 2005; pp. 3.77–3.78. [Google Scholar]
- Dai, Y.; Hua, Y.; Jiang, B.; Zou, J.; Tian, G.; Fu, H. Carbothermal synthesis of ordered mesoporous carbon-supported nano zero-valent iron with enhanced stability and activity for hexavalent chromium reduction. J. Hazard. Mater. 2016, 309, 249–258. [Google Scholar] [CrossRef]
- Papassiopi, N.; Vaxevanidou, K.; Christou, C.; Karagianni, E.; Antipas, G.S.E. Synthesis, characterization and stability of Cr(III) and Fe(III)hydroxides. J. Hazard. Mater. 2014, 264, 490–497. [Google Scholar] [CrossRef] [PubMed]
- Gheju, M. Decontamination of hexavalent chromium-polluted waters: Significance of metallic iron technology. In Enhancing Cleanup of Environmental Pollutants. Non Biological Approaches; Anjum, N., Gill, S., Tuteja, N., Eds.; Springer International Publishing: Cham, Switzerland, 2017; Volume 2, pp. 209–254. [Google Scholar]
- Bilardi, S.; Calabro, P.S.; Care, S.; Moraci, N.; Noubactep, C. Effect of pumice and sand on the sustainability of granular iron beds for the aqueous removal of CuII, NiII, and ZnII. Clean Soil Air Water 2013, 41, 835–843. [Google Scholar] [CrossRef]
- Gatcha-Bandjun, N.; Noubactep, C.; Loura, B.B. Mitigation of contamination in effluents by metallic iron: The role of iron corrosion products. Environ. Technol. Innovat. 2017, 8, 71–83. [Google Scholar] [CrossRef]
- Domga, R.; Togue-Kamga, F.; Noubactep, C.; Tchatchueng, J.B. Discussing porosity loss of Fe0 packed water filters at ground level. Chem. Eng. J. 2015, 263, 127–134. [Google Scholar] [CrossRef]
- Noubactep, C.; Care, S. Dimensioning metallic iron beds for efficient contaminant removal. Chem. Eng. J. 2010, 163, 454–460. [Google Scholar] [CrossRef]
- Buerge, I.J.; Hug, S.J. Kinetics and pH dependence of chromium(VI) reduction by iron(II). Environ. Sci. Technol. 1997, 31, 1426–1432. [Google Scholar] [CrossRef]
- Fendorf, S.E.; Li, G. Kinetics of chromate reduction by ferrous iron. Environ. Sci. Technol. 1996, 30, 1614–1617. [Google Scholar] [CrossRef]
- Schlautman, M.A.; Han, I. Effects of pH and dissolved oxygen on the reduction of hexavalent chromium by dissolved ferrous iron in poorly buffered aqueous systems. Water Res. 2001, 35, 1534–1546. [Google Scholar] [CrossRef]
- Eary, L.E.; Rai, D. Chromate removal from aqueous wastes by reduction with ferrous iron. Environ. Sci. Technol. 1988, 22, 972–977. [Google Scholar] [CrossRef]
- Konadu-Amoah, B.; Hu, R.; Nde-Tchoupe, A.I.; Gwenzi, W.; Noubactep, C. Metallic iron (Fe0)-based materials for aqueous phosphate removal: A critical review. J. Environ. Manag. 2022, 315, 115–157. [Google Scholar] [CrossRef]
- Firdous, R.; Devlin, J.F. Visualizations and optimization of iron-sand mixtures for permeable reactive barriers. Ground Water Monit. Remed. 2015, 35, 78–84. [Google Scholar] [CrossRef]
- Oh, Y.J.; Song, H.; Shin, W.S.; Choi, S.J.; Kim, Y.H. Effect of amorphous silica and silica sand on removal of chromium(VI) by zero-valent iron. Chemosphere 2007, 66, 858–865. [Google Scholar] [CrossRef] [PubMed]
- White, A.F.; Paterson, M.L. Reduction of aqueous transition metal species on the surface of Fe(II)-containing oxides. Geochim. Cosmochim. Acta. 1996, 60, 3799–3814. [Google Scholar] [CrossRef]
- Tomaszewski, E.J.; Lee, S.; Rudolph, J.; Xu, H.; Ginder-Vogel, M. The reactivity of Fe(II) associated with goethite formed during short redox cycles toward Cr(VI) reduction under oxic conditions. Chem. Geol. 2017, 464, 101–109. [Google Scholar] [CrossRef]
- Buerge, I.J.; Hug, S.J. Influence of mineral surfaces on chromium(VI) reduction by iron(II). Environ. Sci. Technol. 1999, 33, 4285–4291. [Google Scholar] [CrossRef]
- Nelson, J.; Joe-Wong, C.; Maher, K. Cr(VI) reduction by Fe(II) sorbed to silica surfaces. Chemosphere 2019, 234, 98–107. [Google Scholar] [CrossRef]
- Nanseu-Njiki, C.P.; Gwenzi, W.; Pengou, M.; Rahman, M.A.; Noubactep, C. Fe0/H2O Filtration systems for decentralized safe drinking water: Where to from here? Water 2019, 11, 429. [Google Scholar] [CrossRef]
- Xiao, M.; Hu, R.; Ndé-Tchoupé, A.I.; Gwenzi, W.; Noubactep, C. Metallic iron for water remediation: Plenty of room for collaboration and convergence to advance the science. Water 2022, 14, 1492. [Google Scholar] [CrossRef]
- Lu, Y.W.; Huang, C.P.; Huang, Y.H.; Lin, C.P.; Chen, H.T. Effect of pH on the oxidation of ferrous ion and immobilization technology of iron hydr(oxide) in fluidized bed reactor. Sep. Sci. Technol. 2008, 43, 1632–1641. [Google Scholar] [CrossRef]
- Sharma, S.K.; Greetham, M.R.; Schippers, J.C. Adsorption of iron(II) onto fillter media. J. Water SRT-Aqua. 1999, 48, 84–91. [Google Scholar]
- Buamah, R.; Petrusevski, B.; Schippers, J.C. Oxidation of adsorbed ferrous iron: Kinetics and influence of process conditions. Water Sci. Technol. 2009, 60, 2353–2363. [Google Scholar] [CrossRef] [PubMed]
- Mettler, S.; Wolthers, M.; Charlet, L.; von Gunten, U. Sorption and catalytic oxidation of Fe(II) at the surface of calcite. Geochim. Cosmochim. Acta 2009, 73, 1826–1840. [Google Scholar] [CrossRef]


















Disclaimer/Publisher’s Note: The statements, opinions and data contained in all publications are solely those of the individual author(s) and contributor(s) and not of MDPI and/or the editor(s). MDPI and/or the editor(s) disclaim responsibility for any injury to people or property resulting from any ideas, methods, instructions or products referred to in the content. |
© 2023 by the authors. Licensee MDPI, Basel, Switzerland. This article is an open access article distributed under the terms and conditions of the Creative Commons Attribution (CC BY) license (https://creativecommons.org/licenses/by/4.0/).
Share and Cite
Gheju, M.; Balcu, I. Effect of Sand Co-Presence on CrVI Removal in Fe0-H2O System. Water 2023, 15, 777. https://doi.org/10.3390/w15040777
Gheju M, Balcu I. Effect of Sand Co-Presence on CrVI Removal in Fe0-H2O System. Water. 2023; 15(4):777. https://doi.org/10.3390/w15040777
Chicago/Turabian StyleGheju, Marius, and Ionel Balcu. 2023. "Effect of Sand Co-Presence on CrVI Removal in Fe0-H2O System" Water 15, no. 4: 777. https://doi.org/10.3390/w15040777
APA StyleGheju, M., & Balcu, I. (2023). Effect of Sand Co-Presence on CrVI Removal in Fe0-H2O System. Water, 15(4), 777. https://doi.org/10.3390/w15040777

