Estimation of the Spring Tide Bedload Transport at the Eastern Entrance of the Qiongzhou Strait
Abstract
:1. Introduction
2. Materials and Methods
2.1. Overview of the Study Area
2.2. Field Work and Data Processing
2.3. Numerical Simulation of Tidal Current
2.4. Calculation of Bedload Transport Rate
3. Results and Discussion
3.1. Sediment Distribution
3.2. Critical Incipient Velocity
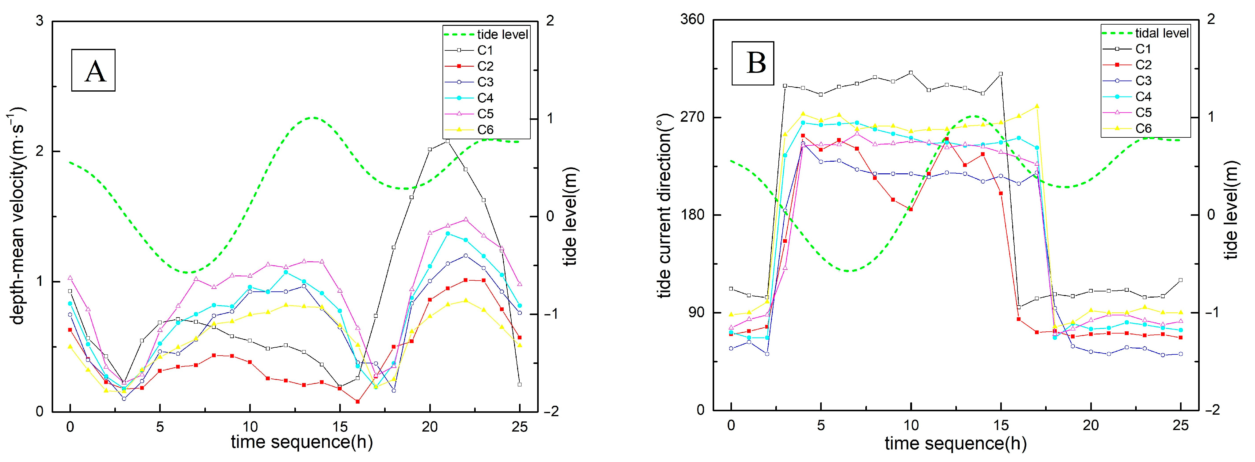
3.3. Temporal and Spatial Characteristics of Tidal Currents
3.4. Analysis of Bedload Transport Rate
3.5. Estimation of Bedload Transport Flux
4. Conclusions
Author Contributions
Funding
Data Availability Statement
Conflicts of Interest
References
- Ye, C.C. Distribution of sediments and submarine topography of Qiongzhou Strait. Trop. Geogr. 1986, 6, 346–353, (In Chinese with English abstract). [Google Scholar]
- Liu, Z.X.; Xia, D.X.; Wang, K.Y. Tidal depositional system and patterns of China’s continental shelf. Oceanol. ET Limnol. Sin. 1998, 29, 141–147, (In Chinese with English abstract). [Google Scholar]
- Li, Z.H.; Ke, X.K. Prelimary study on tidally-induced sediment fluxes of the Qiongzhou Strait. Mar. Sci. Bull. 2000, 19, 42–49, (In Chinese with English abstract). [Google Scholar]
- Li, Z.H.; Ke, X.K.; Wang, Q.; Gao, J. Characteristics of water and sediment transport in the Qiongzhou Strait. Geogr. Res. 2003, 22, 151–159, (In Chinese with English abstract). [Google Scholar]
- Cheng, H.; Li, J.; Yin, D.; Li, M.; Wang, B. Nearshore bedform instability in the eastern entrance to the Qiongzhou Strait, South China Sea. Front. Earth Sci. 2008, 2, 283–291. [Google Scholar] [CrossRef]
- Ni, Y.G.; Endler, R.; Xia, Z.; Endler, M.; Harff, J.; Gan, H.; Schulz-Bull, D.E.; Waniek, J.J. The “butterfly delta” system of Qiongzhou Strait: Morphology, seismic stratigraphy and sedimentation. Mar. Geol. 2014, 355, 361–368. [Google Scholar] [CrossRef]
- Zhang, Q.; Wang, P.; Wang, W.; Zhang, Y. Marine sand resources in the Pearl River estuary waters of China. J. Mar. Syst. 2010, 82, S83–S89. [Google Scholar] [CrossRef]
- Ouillon, S. Why and How Do We Study Sediment Transport? Focus on Coastal Zones and Ongoing Methods. Water 2018, 10, 390. [Google Scholar] [CrossRef]
- Conery, I.; Walsh, J.P.; Mallinson, D.; Corbett, D.R. Marine Geology and Sand Resources of the Southern North Carolina Inner Shelf. Mar. Georesources Geotechnol. 2022, 40, 1084–1107. [Google Scholar] [CrossRef]
- Hasiotis, T.; Gazis, I.-Z.; Anastasatou, M.; Manoutsoglou, E.; Velegrakis, A.F.; Kapsimalis, V.; Karditsa, A.; Stamatakis, M. Searching for potential marine sand resources to mitigate beach erosion in island settings. Mar. Georesources Geotechnol. 2021, 39, 527–542. [Google Scholar] [CrossRef]
- Liu, Y.; Zhong, C.; Bai, B.; Zhou, Y. Assessment of government supervision on the loss of sea sand resource in China. Econ. Res.-Ekon. Istraživanja 2022, 35, 2732–2746. [Google Scholar] [CrossRef]
- Liu, Y.; Li, C.; Omar, R.B.; Shi, X.; Zhang, H.; Faiz, N.N. Sediment Sources and Dispersion on the Western Sunda Shelf, Malay Peninsula, Southern South China Sea. Water 2021, 13, 2823. [Google Scholar] [CrossRef]
- Bates, R.; Velegrakis, A.F.; Brand, C.; Collins, M.B.; Nunn, A. Deep Water and Inshore Aggregates Exploitation; Research Report for the Countryside Council of Wales. 1997; 91p. [Google Scholar]
- van Lancker, V.R.M.; Bonne, W.; Velegrakis, A.F.; Collins, M.B. Aggregate extraction from tidal sandbanks: Is dredging with nature an option? Introduction. J. Coast. Res. 2010, 51, 53–61. [Google Scholar]
- Tong, C.; Zhang, K.; Chen, F.; Gou, P. The potential evaluation of marine sand resources in the northern sea areas of Hainan Island. Geol. China 2020, 47, 1567–1575, (In Chinese with English abstract). [Google Scholar]
- de Swart, H.E.; Yuan, B. Dynamics of offshore tidal sand ridges, a review. Environ. Fluid Mech. 2019, 19, 1047–1071. [Google Scholar] [CrossRef]
- Khalil, S.M.; Forrest, B.M.; Haywood, E.; Raynie, R.C. Surficial sediment distribution maps for sustainability and ecosystem restoration of coastal Louisiana. Shore Beach 2018, 86, 21–29. [Google Scholar]
- Jia, J.; Wang, Y.P.; Gao, S.; Wang, A.; Li, Z. Interpreting grain-size trends associated with bedload transport on the intertidal flats at Dafeng, central Jiangsu coast. Chin. Sci. Bull. 2006, 51, 341–351. [Google Scholar] [CrossRef]
- Du, X.Q.; Li, Y.; Gao, S. Characteristics of the large-scale sandwaves, tidal flow structure and bedload transport over the Taiwan Bank in southern China. Acta Oceanol. Sin. 2008, 30, 124–136, (In Chinese with English abstract). [Google Scholar]
- Li, D.Y.; Chen, J.; Wang, Y.P.; Wang, A.; Yang, Y. High resolution measurement and analysis of sediment dynamics in bottom boundary layer of macro tidal esturary. Acta Sedimentol. Sin. 2014, 32, 278–289, (In Chinese with English abstract). [Google Scholar]
- Wang, A.J.; Lai, Z.K.; Ye, X.; Wang, L. Sediment transport in Minjiang River estuary and adjacent shelf area and associated resource effect. Oceanol. ET Limnol. Sin. 2020, 51, 1013–1024, (In Chinese with English abstract). [Google Scholar]
- Collins, M.B.; Balson, P.S. Coastal and Shelf Sediment Transport: An Introduction, Coastal and Shelf Sediment Transport. Geol. Soc. Lond. Spec. Publ. 2007, 274, 1–5. [Google Scholar] [CrossRef]
- Folk, R.L. A review of grain size parameters. Sedimentology 1966, 6, 73–93. [Google Scholar] [CrossRef]
- Visher, G.S. Grain size distributions and depositional of processes. J. Sediment. Petrol. 1969, 39, 1074–1106. [Google Scholar]
- Mclaren, P.; Bowles, D. The effects of sediment transport on grain-size distributions. J. Sediment. Petrol. 1985, 55, 457–470. [Google Scholar]
- Gao, S.; Collins, M.; Lanckneus, J.; De Moor, G.; Van Lancker, V. Grain size trends associated with net sediment transport patterns: An example from the Belgian continental shelf. Mar. Geol. 1994, 121, 171–185. [Google Scholar] [CrossRef]
- Zanke, U.; Roland, A. Sediment Bed-Load Transport: A Standardized Notation. Geosciences 2020, 10, 368. [Google Scholar] [CrossRef]
- Kalra, T.S.; Suttles, S.E.; Sherwood, C.R.; Warner, J.C.; Aretxabaleta, A.L.; Leavitt, G.R. Shoaling Wave Shape Estimates from Field Observations and Derived Bedload Sediment Rates. J. Mar. Sci. Eng. 2022, 10, 223. [Google Scholar] [CrossRef]
- Soulsby, R.L.; Damgaard, J.S. Bedload sediment transport in coastal waters. Coast. Eng. 2005, 52, 673–689. [Google Scholar] [CrossRef]
- Wang, W.J. Propagation of tidal waves and development of sea-bottom sand ridges and sand ripples in northern South China Sea. Trop. Oceanol. 2000, 19, 1–7, (In Chinese with English abstract). [Google Scholar]
- Duffy, G.; Clarke, H.J.E. Measurement of Bedload Transport in a Coastal Sea Using Serial Multibeam Surveying: Assessing bedload formulae using sand dune migration. In IAS Special Publication # 44, Sediments, Morphology and Sedimentary Processes on Continental Shelves; Wiley: Hoboken, NJ, USA, 2012; pp. 249–272. [Google Scholar]
- Krabbendam, J.M.; Roche, M.; Van Lancker, V.R.; Nnafie, A.; Terseleer, N.; Degrendele, K.; De Swart, H.E. Do tidal sand waves always regenerate after dredging? Mar. Geol. 2022, 451, 106866. [Google Scholar] [CrossRef]
- Wang, S.; Toumi, R. Recent migration of tropical cyclones toward coasts. Science 2021, 371, 514–517. [Google Scholar] [CrossRef]
- Zou, Q.; Xie, D. Tide-surge and wave interaction in the Gulf of Maine during an extratropical storm. Ocean. Dyn. 2016, 66, 1715–1732. [Google Scholar] [CrossRef]
- Xie, D.; Zou, Q.; Cannon, J.W. Application of SWAN+ADCIRC to tide-surge and wave simulation in Gulf of Maine during Patriot’s Day storm. Water Sci. Eng. 2016, 9, 33–41. [Google Scholar] [CrossRef]
- Kuang, C.; Han, X.; Zhang, J.; Zou, Q.; Dong, B. Morphodynamic Evolution of a Nourished Beach with Artificial Sandbars: Field Observations and Numerical Modeling. J. Mar. Sci. Eng. 2021, 9, 245. [Google Scholar] [CrossRef]
- Chen, L.; Zhang, Y.; Li, T.; Yang, W.; Chen, J. Sedimentary environment and its evolution of Qiongzhou Strait and nearby seas since last ten thousand years. Earth Sci.—J. China Univ. Geosci. 2014, 39, 696–704, (In Chinese with English abstract). [Google Scholar]
- Shi, M.; Chen, C.; Xu, Q.; Lin, H.; Liu, G.; Wang, H.; Wang, F.; Yan, J. The role of the Qiongzhou Strait in the seasonal variation of the South China Sea Circulation. J. Phys. Oceanogr. 2002, 32, 103–121. [Google Scholar] [CrossRef]
- Chen, C.; Li, P.; Shi, M.; Zuo, J.; Chen, M.; Sun, H. Numerical study of the tides and residual currents in the Qiongzhou Strait. Chin. J. Oceanol. Limnol. 2009, 27, 931–942. [Google Scholar] [CrossRef]
- Shi, M.C. Study comments on circulation of Beibu Gulf. Guangxi Sci. 2014, 21, 313–324, (In Chinese with English abstract). [Google Scholar]
- Wang, Q.; Wang, X.; Xie, L.; Shang, Q.; Lu, Y. Observed water current and transport through Qiongzhou Strait during August 2010. Chin. J. Oceanol. Limnol. 2014, 32, 703–708. [Google Scholar] [CrossRef]
- Bai, P.; Ling, Z.; Liu, C.; Wu, J.; Xie, L. Effects of tidal currents on winter wind waves in the Qiongzhou Strait: A numerical study. Acta Oceanol. Sin. 2020, 39, 33–43. [Google Scholar] [CrossRef]
- Zhang, Y.; Baptista, A.M. SELFE: A semi-implicit Eulerian-Lagrangian finite-element model for cross-scale ocean circulation. Ocean. Model. 2008, 21, 71–96. [Google Scholar] [CrossRef]
- Zhang, Y.; Ye, F.; Stanev, E.V.; Grashorn, S. Seamless cross-scale modeling with SCHISM. Ocean Model. 2016, 102, 64–81. [Google Scholar] [CrossRef]
- Rosa, J.; Silva, P.A.; Bertin, X.; Fortunato, A.B. Waves, wind and tidal forcing on a sandpit morphodynamics. J. Coast. Res. 2011, SI 64, 1170–1174. [Google Scholar]
- Ye, F.; Zhang, Y.; Wang, H.; Huang, H.; Wang, Z.; Liu, Z.; Li, X. Cross-Scale Baroclinic Simulation of the Effect of Channel Dredging in an Estuarine Setting. Water 2018, 10, 163. [Google Scholar] [CrossRef]
- Tozer, B.; Sandwell, D.T.; Smith, W.H.F.; Olson, C.; Beale, J.R.; Wessel, P. Global bathymetry and topography at 15 arc sec: SRTM15+. Earth Space Sci. 2019, 6, 1847–1864. [Google Scholar] [CrossRef]
- Bagnold, R.A. An Approach to the Sediment Transport Problem from General Physics; U.S. Geological Survey Professional Paper; US Government Printing Office: Washington, DC, USA, 1966; Volume 422, pp. 1–37. [Google Scholar]
- Hardisty, J. An assessment and calibration of formulations for Bagnold’s bedload equation. J. Sediment. Petrol. 1983, 53, 1007–1010. [Google Scholar] [CrossRef]
- Soulsby, R.L. Dynamics of Marine Sands; Thomas Telford Services Limited: London, UK, 1997; p. 249. [Google Scholar]
- Miller, M.C.; McCave, I.N.; Komar, P.D. Threshold of sediment motion under unidirectional currents. Sedimentology 1977, 24, 507–527. [Google Scholar] [CrossRef]
- Wang, Y.P.; Gao, S. Modification to the Hardisty equation, regarding the relationship between sediment transport rate and particle size. J. Sediment. Res. 2001, 71, 118–121. [Google Scholar] [CrossRef]
- Morales, J.A.; Lozano, C.; Sedrati, M. Calculated Potential Bedload Versus Real Transported Sands along the Guadiana River Estuary (Spain–Portugal). J. Mar. Sci. Eng. 2019, 7, 393. [Google Scholar] [CrossRef]
- Chen, D.S.; Chen, B.; Yan, J.H.; Xu, H.F. The seasonal variation characteristics of residual currents in the Qiongzhou Strait. Trans. Oceanol. Limnol. 2006, 28, 12–17, (In Chinese with English abstract). [Google Scholar]
- Peng, X.C. Geological structure characteristics and cause of formation analyzing in Qiongzhou Strait, South China Sea. Geol. Res. South China Sea 2000, 12, 44–57, (In Chinese with English abstract). [Google Scholar]
- Xu, D.; Chu, F.Y.; Li, J.B.; Yang, H.L.; Chen, L. Transport and deposition of sediment on the shelf off Western Guangdong to Northeastern Hainan. J. Jilin Univ. Earth Sci. Ed. 2014, 44, 905–917, (In Chinese with English abstract). [Google Scholar]
- Tong, C.; Li, G.; Chen, F.; Zhang, K. Geological characteristics and origin of marine sands in the northeast sea off Hainan Island. Mar. Geol. Front. 2018, 34, 12–19, (In Chinese with English abstract). [Google Scholar]
- Kong, J.; Pan, M.; Shen, C.; Hua, G.; Zhao, H. Analysis of the morphological changes and related sediment transport mechanisms of the Baisha Shoal in the Qiongzhou Strait. China. J. Coast. Res. 2016, 32, 1428–1444. [Google Scholar] [CrossRef]










| Location | The Tide Phases | |||
|---|---|---|---|---|
| Phase A | Phase B | Phase C | Phase D | |
| The whole Study area | 1.96/0.67 | 2.30/0.93 | 2.72/0.92 | 2.57/0.67 |
| Inside the strait and the shoal area | 1.96/0.92(31%) | 2.30/1.30(40%) | 2.72/1.59(34%) | 2.57/1.24(17%) |
| Other areas | 1.10/0.32(69%) | 2.20/0.54(60%) | 2.02/0.59(66%) | 2.00/0.55(83%) |
| Station Name | Mass Unit Width Transport Flux (kg·m−1·d−1) | Volume Unit Width Transport Flux (m3·m−1·d−1) | Direction (°) |
|---|---|---|---|
| C1 | 6048.5 | 2.28 | 109 |
| C2 | 4061.8 | 1.53 | 72 |
| C3 | 716.0 | 0.27 | 72 |
| C4 | 719.3 | 0.27 | 80 |
| C5 | 938.7 | 0.35 | 105 |
| C6 | 279.6 | 0.11 | 233 |
Disclaimer/Publisher’s Note: The statements, opinions and data contained in all publications are solely those of the individual author(s) and contributor(s) and not of MDPI and/or the editor(s). MDPI and/or the editor(s) disclaim responsibility for any injury to people or property resulting from any ideas, methods, instructions or products referred to in the content. |
© 2023 by the authors. Licensee MDPI, Basel, Switzerland. This article is an open access article distributed under the terms and conditions of the Creative Commons Attribution (CC BY) license (https://creativecommons.org/licenses/by/4.0/).
Share and Cite
Tong, C.; Qin, M.; Wang, X.; Wu, X. Estimation of the Spring Tide Bedload Transport at the Eastern Entrance of the Qiongzhou Strait. Water 2023, 15, 724. https://doi.org/10.3390/w15040724
Tong C, Qin M, Wang X, Wu X. Estimation of the Spring Tide Bedload Transport at the Eastern Entrance of the Qiongzhou Strait. Water. 2023; 15(4):724. https://doi.org/10.3390/w15040724
Chicago/Turabian StyleTong, Changliang, Maogang Qin, Xuemu Wang, and Xiangbai Wu. 2023. "Estimation of the Spring Tide Bedload Transport at the Eastern Entrance of the Qiongzhou Strait" Water 15, no. 4: 724. https://doi.org/10.3390/w15040724
APA StyleTong, C., Qin, M., Wang, X., & Wu, X. (2023). Estimation of the Spring Tide Bedload Transport at the Eastern Entrance of the Qiongzhou Strait. Water, 15(4), 724. https://doi.org/10.3390/w15040724

