Differential Impact of the Biodegradation Sunflower Oil, Particulate Substrate, Caused by the Presence of Saccharose, Soluble Substrate, on Activated Sludge Treatment
Abstract
1. Introduction
2. Materials and Methods
2.1. Utilized Substrate
2.2. Physicochemical Parameters and Analytical Methods
2.3. Continuous Equipment
- Control unit:
- Aeration tank:
- Sedimentation tank:
2.4. Material Balance: Biodegradability Determination of Fats and Oils
- where M1 corresponds to the oils and fats in the aerator tank.
- M2 corresponds to oils and fats in the sedimentation tank.
- V is the volume reactor.
- rA is the vegetable oil biodegradation rate.
2.5. Operating Modes
3. Results and Discussion
3.1. Mass Balance and Biodegradation Rate
- (A)
- Biodegradation and removal of vegetable oil as the sole substrate
- (B)
- Biodegradation and removal of vegetable oil for mixed influent
3.1.1. Mass Load and COD Elimination
3.1.2. Oil in Influent and Biodegradation Efficiency
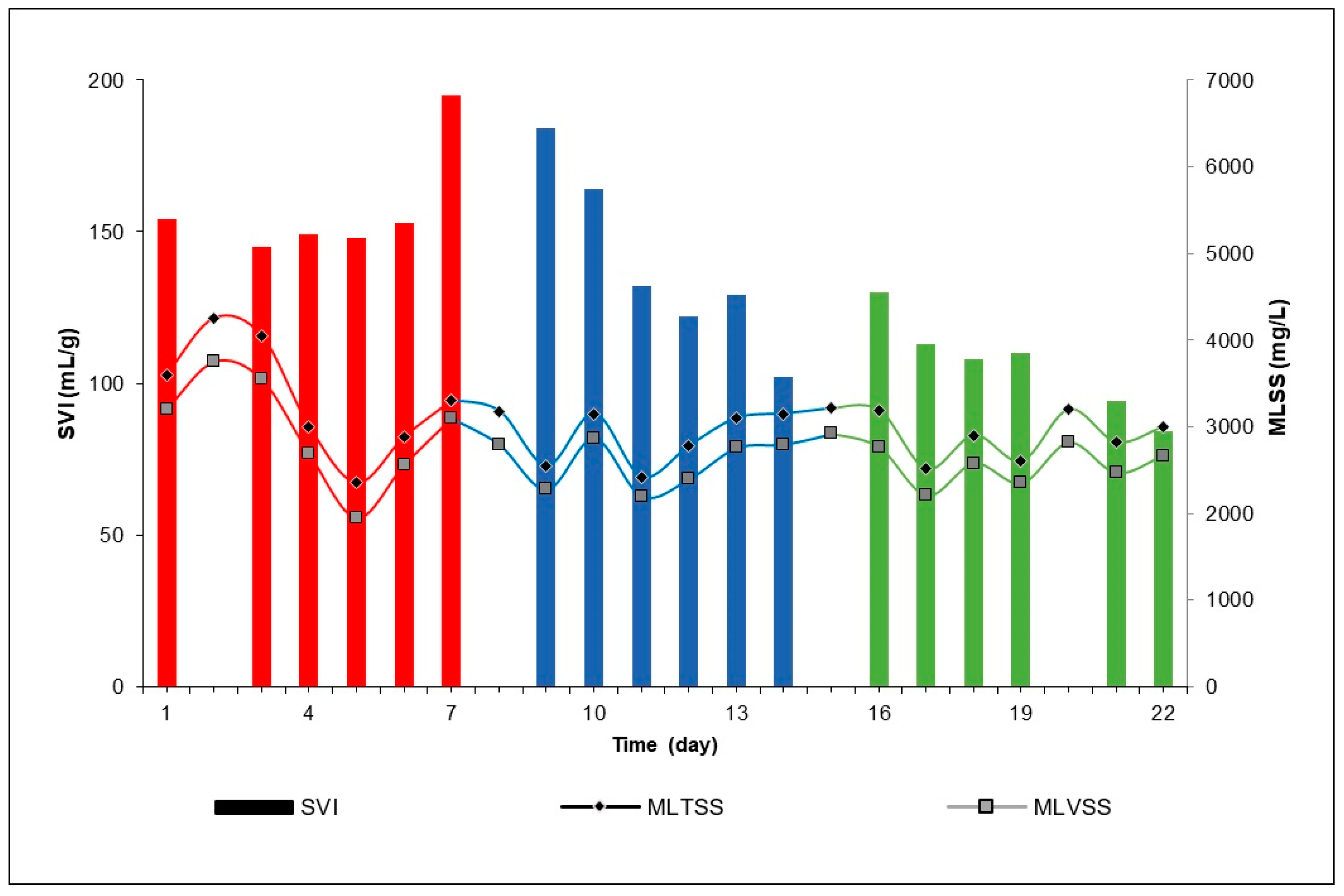
3.1.3. Biomass Behavior
The Oxygen Uptake Rate (OUR) Behavior
The Oxygen Uptake Rate (OUR) Behavior
4. Conclusions
Author Contributions
Funding
Data Availability Statement
Conflicts of Interest
References
- Jamaly, S.; Giwa, A.; Hasan, S.W. Recent Improvements in Oily Wastewater Treatment: Progress, Challenges, and Future Opportunities. J. Environ. Sci. 2015, 37, 15–30. [Google Scholar] [CrossRef]
- Un, U.T.; Koparal, A.S.; Ogutveren, U.B. Electrocoagulation of Vegetable Oil Refinery Wastewater Using Aluminum Electrodes. J. Environ. Manag. 2009, 90, 428–433. [Google Scholar]
- Capodici, M.; Cosenza, A.; Di Trapani, D.; Mannina, G.; Torregrossa, M.; Viviani, G. Treatment of Oily Wastewater with Membrane Bioreactor Systems. Water 2017, 9, 412. [Google Scholar] [CrossRef]
- Chipasa, K.B.; Mdrzycka, K. Characterization of the Fate of Lipids in Activated Sludge. J. Environ. Sci. 2008, 20, 536–542. [Google Scholar] [CrossRef] [PubMed]
- Chipasa, K.B.; Mędrzycka, K. Behavior of Lipids in Biological Wastewater Treatment Processes. J. Ind. Microbiol. Biotechnol. 2006, 33, 635–645. [Google Scholar] [CrossRef] [PubMed]
- Rodríguez, L.F.; Muñoz, Y.D.O.; Chaparro, H.N.; Garcia, H.E.; Montaña, V.H. Ensayos de Eficiencia Con Macrófitas Para La Remoción de Carga Contaminante En Aguas Residuales de Hatos Lecheros Para Un Subsector de La Laguna Fúquene. Rev. Científica 2006, 8, 130–156. [Google Scholar] [CrossRef][Green Version]
- Kurashige, J.; Matsuzaki, N.; Makabe, K. Modification of Fats and Oils by Lipases. J. Dispers. Sci. Andtechnol. 1989, 10, 531–559. [Google Scholar] [CrossRef]
- Sugimori, D.; Utsue, T. A Study of the Efficiency of Edible Oils Degraded in Alkaline Conditions by Pseudomonas Aeruginosa SS-219 and Acinetobacter Sp. SS-192 Bacteria Isolated from Japanese Soil. World J. Microbiol. Biotechnol. 2012, 28, 841–848. [Google Scholar] [CrossRef]
- Otálora, M.F.; Peña, J.L.; Martínez, M.M.; Varela, A. Evaluación de La Capacidad Degradadora de Aceite Por Bacterias Lipolítica En El Lodo Residual de La Extracción de Aceite de Palma. Palmas 2000, 21, 283–294. [Google Scholar]
- Chou, K.W.; Tan, S.W.; Morad, N.; Tow, T.T.; Kadir, M.O.A.; Ismail, N. Aerobic Post-Treatment of Different Anaerobically Digested Palm Oil Mill Effluent (POME). Int. J. Environ. Sci. Dev. 2016, 7, 511. [Google Scholar] [CrossRef]
- Azbar, N.; Yonar, T. Comparative Evaluation of a Laboratory and Full-Scale Treatment Alternatives for the Vegetable Oil Refining Industry Wastewater (VORW). Process Biochem. 2004, 39, 869–875. [Google Scholar] [CrossRef]
- Volkering, F.; áM Breure, A.; Van Andel, J.G. Effect of Micro-Organisms on the Bioavailability and Biodegradation of Crystalline Naphthalene. Appl. Microbiol. Biotechnol. 1993, 40, 535–540. [Google Scholar] [CrossRef]
- Jiménez Islas, D.; Medina Moreno, S.A.; Gracida Rodríguez, J.N. Propiedades, Aplicaciones y Producción de Biotensoactivos: Una Revisión. Rev. Int. Contam. Ambient. 2010, 26, 65–84. [Google Scholar]
- Schubert, H.; Armbruster, H. Principles of Formation and Stability of Emulsions. Chem. Ing. Tech. 1989, 61, 701–711. [Google Scholar] [CrossRef]
- Capek, I. Degradation of Kinetically-Stable o/w Emulsions. Adv. Colloid Interface Sci. 2004, 107, 125–155. [Google Scholar] [CrossRef] [PubMed]
- Weatherley, L.R.; Rooney, D.W.; Niekerk, M. V Clean Synthesis of Fatty Acids in an Intensive Lipase-catalysed Bioreactor. J. Chem. Technol. Biotechnol. Int. Res. Process Environ. Clean. Technol. 1997, 68, 437–441. [Google Scholar] [CrossRef]
- Albasi, C.; Riba, J.P.; Sokolovska, I.; Bales, V. Enzymatic Hydrolysis of Sunflower Oil: Characterisation of Interface. J. Chem. Technol. Biotechnol. Int. Res. Process Environ. Clean. Technol. 1997, 69, 329–336. [Google Scholar] [CrossRef]
- Moon, M.; Kim, C.W.; Farooq, W.; Suh, W.I.; Shrivastav, A.; Park, M.S.; Mishra, S.K.; Yang, J.-W. Utilization of Lipid Extracted Algal Biomass and Sugar Factory Wastewater for Algal Growth and Lipid Enhancement of Ettlia sp. Bioresour. Technol. 2014, 163, 180–185. [Google Scholar] [CrossRef]
- Al-Bahry, S.N.; Al-Wahaibi, Y.M.; Elshafie, A.E.; Al-Bemani, A.S.; Joshi, S.J.; Al-Makhmari, H.S.; Al-Sulaimani, H.S. Biosurfactant Production by Bacillus Subtilis B20 Using Date Molasses and Its Possible Application in Enhanced Oil Recovery. Int. Biodeterior. Biodegrad. 2013, 81, 141–146. [Google Scholar] [CrossRef]
- Belitz, H.D.Y.G.W. Química de Los Alimentos, 2nd ed.; Editorial Acribia SA.: Zaragoza, Spain, 1997. [Google Scholar]
- Rittmann, B.E. Biotecnología Del Medio Ambiente; McGraw Hill Madrid: Madrid, Spain, 2001. [Google Scholar]
- Cisterna, P. Biological Treatment by Active Sludge with High Biomass Concentration at Laboratory Scale for Mixed Inflow of Sunflower Oil and Saccharose. Environments 2017, 4, 69. [Google Scholar] [CrossRef]
- APHA-AWWA-WPCF. Métodos Normalizados Para El Análisis de Aguas Potables y Residuales; Versión En Español; Ediciones Díaz de Santos, S.A., Ed.; Dialnet: Madrid, Spain, 1992; p. 188. [Google Scholar]
- Vittadini, G. Catálogo de Información de Equipamiento de Biocontrol; Vittadini Riferiment: Milan, Italy, 1991. [Google Scholar]
- Metcalf, L.; Eddy, H.P.; Tchobanoglous, G. Wastewater Engineering: Treatment, Disposal, and Reuse; McGraw-Hill: New York, NY, USA, 1991; Volume 4. [Google Scholar]
- Loperena, L.; Ferrari, M.D.; Díaz, A.L.; Ingold, G.; Pérez, L.V.; Carvallo, F.; Travers, D.; Menes, R.J.; Lareo, C. Isolation and Selection of Native Microorganisms for the Aerobic Treatment of Simulated Dairy Wastewaters. Bioresour. Technol. 2009, 100, 1762–1766. [Google Scholar] [CrossRef]
- Loperena, L.; Ferrari, M.D.; Saravia, V.; Murro, D.; Lima, C.; Fernández, A.; Lareo, C. Performance of a Commercial Inoculum for the Aerobic Biodegradation of a High Fat Content Dairy Wastewater. Bioresour. Technol. 2007, 98, 1045–1051. [Google Scholar] [CrossRef]
- Nahib, I.; Ambarwulan, W.; Sutrisno, D.; Darmawan, M.; Suwarno, Y.; Rahadiati, A.; Suryanta, J.; Prihanto, Y.; Rudiastuti, A.W.; Gaol, Y.L. Spatial-temporal heterogeneity and driving factors of water yield services in Citarum river basin unit, West Java, Indonesia. Arch. Environ. Prot. 2023, 49, 3–24. [Google Scholar]
- Gao, L.-L.; Lu, Y.-C.; Zhang, J.-L.; Li, J.; Zhang, J.-D. Biotreatment of Restaurant Wastewater with an Oily High Concentration by Newly Isolated Bacteria from Oily Sludge. World J. Microbiol. Biotechnol. 2019, 35, 179. [Google Scholar] [CrossRef] [PubMed]
- Ren, J.; Fan, B.; Huhetaoli; Niu, D.; Gu, Y.; Li, C. Biodegradation of Waste Cooking Oils by Klebsiella Quasivariicola IUMR-B53 and Characteristics of Its Oil-Degrading Enzyme. Waste Biomass Valorization 2021, 12, 1243–1252. [Google Scholar] [CrossRef]
- Łobos-Moysa, E.; Bodzek, M. Application of Hybrid Biological Techniques to the Treatment of Municipal Wastewater Containing Oils and Fats. Desalination Water Treat. 2012, 46, 32–37. [Google Scholar] [CrossRef]
- Cisterna-Osorio, P.; Arancibia-Avila, P. Comparison of Biodegradation of Fats and Oils by Activated Sludge on Experimental and Real Scales. Water 2019, 11, 1286. [Google Scholar] [CrossRef]
- Dueholm, T.E.; Andreasen, K.H.; Nielsen, P.H. Transformation of Lipids in Activated Sludge. Water Sci. Technol. 2001, 43, 165–172. [Google Scholar] [CrossRef] [PubMed]
- Cisterna Osorio, P.E.; Faundez-Miño, B. Differential Impact of the Prior Mix by Stirring in the Biodegradation of Sunflower Oil. In Biodegradation Technology of Organic and Inorganic Pollutants; IntechOpen: London, UK, 2021; pp. 155–173. ISBN 1839688963. [Google Scholar]
- Canler, J.P.; Royer, C.; Duchene, P. Aerobic Biological Treatment of Grease from Urban Wastewater Treatment Plants. Water Sci. Technol. 2001, 44, 219–226. [Google Scholar] [CrossRef] [PubMed]
- Wakelin, N.G.; Forster, C.F. An Investigation into Microbial Removal of Fats, Oils and Greases. Bioresour. Technol. 1997, 59, 37–43. [Google Scholar] [CrossRef]
- Sürücü, G. Growth Requirements of Thermophilic Aerobic Microorganisms in Mixed Cultures for the Treatment of Strong Wastes. Water Sci. Technol. 1999, 40, 53–60. [Google Scholar] [CrossRef]
- Brooksbank, A.M.; Latchford, J.W.; Mudge, S.M. Degradation and Modification of Fats, Oils and Grease by Commercial Microbial Supplements. World J. Microbiol. Biotechnol. 2007, 23, 977–985. [Google Scholar] [CrossRef]
- Shon, H.K.; Tian, D.; Kwon, D.Y.; Jin, C.S.; Lee, T.J.; Chung, W.J. Degradation of Fat, Oil, and Grease (FOGs) by Lipase-Producing Bacterium Pseudomonas Sp. Strain D2D3. J. Microbiol. Biotechnol. 2002, 12, 583–591. [Google Scholar]
- Schneider, I.; Topalova, Y. Bioaugmentative Approaches for Dairy Wastewater Treatment. Am. J. Agric. Biol. Sci. 2010, 5, 459–467. [Google Scholar] [CrossRef][Green Version]
- Silva-Bedoya, L.M.; Sánchez-Pinzón, M.S.; Cadavid-Restrepo, G.E.; Moreno-Herrera, C.X. Bacterial Community Analysis of an Industrial Wastewater Treatment Plant in Colombia with Screening for Lipid-Degrading Microorganisms. Microbiol. Res. 2016, 192, 313–325. [Google Scholar] [CrossRef] [PubMed]
- Silva, E.J.; Almeida, D.G.; Luna, J.M.; Rufino, R.D.; Santos, V.A.; Sarubbo, L.A. Use of Bacterial Biosurfactants as Natural Collectors in the Dissolved Air Flotation Process for the Treatment of Oily Industrial Effluent. Bioprocess. Biosyst. Eng. 2018, 41, 1599–1610. [Google Scholar] [CrossRef] [PubMed]
- Cisterna-Osorio, P.; Calabran-Caceres, C.; Tiznado-Bustamante, G.; Bastias-Toro, N. Influent with Particulate Substrate, Clean, Innocuous and Sustainable Solution for Bulking Control and Mitigation in Activated Sludge Process. Water 2021, 13, 984. [Google Scholar] [CrossRef]
- Drewnowski, J. The impact of slowly biodegradable organic compounds on the oxygen uptake rate in activated sludge systems. Water Sci. Technol. 2014, 69, 1136–1144. [Google Scholar] [CrossRef]









| Fat | Position | 16:0 | 18 | 18:1 (9) | 18:2 (9,12) | 18:3 (9,12,15) |
|---|---|---|---|---|---|---|
| 1 | 10.6 | 3.3 | 16.6 | 69.5 | - | |
| Sunflower oil | 2 | 1.3 | 1.1 | 21.5 | 76.0 | - |
| 3 | 9.7 | 9.2 | 27.6 | 53.5 | - |
| Operation Days, Balance Included | Oil Mass Fed (g) | Oil Mass Retained (g) | Oil Mass in Effluent (g) | Oil Mass Accumulated (g) | Biodegraded Mass (g) | Biodegradation Efficiency (%) |
|---|---|---|---|---|---|---|
| 1 a 7 | 39.5 | 22.6 | 4.35 | 0.5 | 11.9 | 71 |
| 8 a 15 | 88 | 23 | 6.4 | 11.8 | 46.8 | 72 |
| 16 a 22 | 108 | 38 | 9.7 | 21 | 39.3 | 56 |
| Operation Days, Balance Included | Oil Mass Feeding (G) | Oil Mass Retained (G) | Oil Mass in Effluent (G) | Oil Mass Accumulated (G) | Biodegraded Mass (G) | Biodegradation Efficiency (%) |
|---|---|---|---|---|---|---|
| 1 a 5 | 30 | 8 | 3 | 4.5 | 14.5 | 66 |
| 6 a 12 | 101 | 8 | 8 | 23 | 62 | 67 |
| 13 a 16 | 86.5 | 10.5 | 5.5 | 35 | 35.5 | 47 |
| Sunflower Oil Influent (mg/L) | OUR (gO2/(gMLVSS·h)) |
|---|---|
| 120 (Red) | 0.032 |
| 406 (Blue) | 0.011 |
| 580 (Green) | 0.007 |
| Sunflower Oil Influent (mg/L) | OUR (gO2/(gMLVSS·h)) |
|---|---|
| 175 (Red) | 0.048 |
| 550 (Blue) | 0.008 |
| 760 (Green) | 0.007 |
Disclaimer/Publisher’s Note: The statements, opinions and data contained in all publications are solely those of the individual author(s) and contributor(s) and not of MDPI and/or the editor(s). MDPI and/or the editor(s) disclaim responsibility for any injury to people or property resulting from any ideas, methods, instructions or products referred to in the content. |
© 2023 by the authors. Licensee MDPI, Basel, Switzerland. This article is an open access article distributed under the terms and conditions of the Creative Commons Attribution (CC BY) license (https://creativecommons.org/licenses/by/4.0/).
Share and Cite
Cisterna-Osorio, P.; Moraga-Chaura, M.; Manrique-Suárez, R.; Vega-Coloma, M. Differential Impact of the Biodegradation Sunflower Oil, Particulate Substrate, Caused by the Presence of Saccharose, Soluble Substrate, on Activated Sludge Treatment. Water 2023, 15, 4282. https://doi.org/10.3390/w15244282
Cisterna-Osorio P, Moraga-Chaura M, Manrique-Suárez R, Vega-Coloma M. Differential Impact of the Biodegradation Sunflower Oil, Particulate Substrate, Caused by the Presence of Saccharose, Soluble Substrate, on Activated Sludge Treatment. Water. 2023; 15(24):4282. https://doi.org/10.3390/w15244282
Chicago/Turabian StyleCisterna-Osorio, Pedro, Miguel Moraga-Chaura, Raydel Manrique-Suárez, and Mabel Vega-Coloma. 2023. "Differential Impact of the Biodegradation Sunflower Oil, Particulate Substrate, Caused by the Presence of Saccharose, Soluble Substrate, on Activated Sludge Treatment" Water 15, no. 24: 4282. https://doi.org/10.3390/w15244282
APA StyleCisterna-Osorio, P., Moraga-Chaura, M., Manrique-Suárez, R., & Vega-Coloma, M. (2023). Differential Impact of the Biodegradation Sunflower Oil, Particulate Substrate, Caused by the Presence of Saccharose, Soluble Substrate, on Activated Sludge Treatment. Water, 15(24), 4282. https://doi.org/10.3390/w15244282

