Abstract
The petroleum industry produces a large amount of wastewater, known as produced water (PW), during oil production and processing. This PW contains hazardous organic and inorganic components that can harm the environment. Conventional treatment methods have been used to purify PW, but they do not meet environmental regulations, especially when the goal is to reuse the water. Therefore, further research is needed to find an effective technology for managing PW. This review focuses on the characteristics and management of PW originating from oil and gas fields. Firstly, we provide a detailed overview of PW production scenarios worldwide and in the US with detailed quantities and chemical compositions of organic, inorganic, and physicochemical characteristics. Secondly, challenges and environmental concerns associated with treating PW are discussed. Thirdly, all relevant treatment technologies for PW are systematically explored. In addition, this review highlights the management of PW and suggests treatment options and best practices for the industry, and finally, future research needs and opportunities for sustainable water treatment and effective reuse technologies are addressed. Because PW contains a variety of severe contaminants, single methods have not been effective in converting it to a reusable form or fulfilling disposal criteria. As a result, integrated technologies may provide a potential approach that not only meets regulatory standards but also provides chances to employ PW as a non-conventional water supply. Advances in PW management are critical and demand a defined framework and risk-based approach to determine and build the most efficient plan.
1. Introduction
Oilfield produced water (PW) is the industry’s principal source of waste byproducts [1,2,3]. Oil-producing countries, especially those with limited water resources, face significant difficulty in treating PW for recovery and reuse [4,5,6]. Depending on its quality and content, PW can be treated using a variety of technologies. Numerous nations are currently undertaking substantial endeavors to ascertain efficacious and cost-effective treatment methodologies in order to rehabilitate their freshwater supplies. The compositions of pollutants play a major role in the selection of acceptable methods. According to the degree of contamination and the requirement for water quality, several treatment strategies can, therefore, be used. To successfully remove pollutants and/or lessen their detrimental effects on the environment, methods comprising physical, chemical, biological, and membrane treatments have been applied [7].
In general, a single treatment strategy cannot meet every reuse and disposal requirement. Physical treatment methods are unable to comply with the regulatory restrictions for oilfield produced water (PW) due to the presence of highly hazardous contaminants, such as phenols, radionuclides, and other persistent organic pollutants [8,9]. In addition, flocculation and coagulation, two chemical treatment procedures, have not been shown to be efficient enough to remove dissolved elements. Sludge generated from chemical treatment operations also contributes to effluent’s concentration of dangerous metals [8,9,10]. While membrane treatment is effective, it does have certain limitations, such as its sensitivity to feed-stream constituents, periodic cleaning, disposal and recycling issues, and the requirement for further waste treatment during the backwash process [11,12,13]. Numerous studies in recent years have identified process integration as a viable strategy for treating and recycling PW [8,9,14,15,16,17,18].
Therefore, in this detailed study, we first examine oilfield PW, its origins, its characteristics, and the regulations governing its disposal. The pros and cons of the various treatment technologies and hybrid systems now in use for oilfield PW management are then explored at length. Finally, a conclusion and future prospects are provided.
2. Overview of Produced Water in Oil and Gas Industry
The extraction of oil and gas supplies from shale has become feasible due to the use of horizontal drilling and hydraulic fracturing techniques [19,20]. Hydraulic fracturing is the most popular technique for recovering unconventional gas and tight oil from shale [21]. However, the exploration and production of oil and gas generates a significant amount of solid, liquid, and gas waste, with liquid waste comprising the majority [22]. Water is the main liquid effluent from oil and gas exploration activities [23].
Produced water, which is composed of various organic and inorganic materials, has gained attention due to its impact on the environment [8,24,25]. The water footprint of oil and gas production, particularly in unconventional gas and tight oil recovery, has also been a focus of recent research [26,27]. The management of flowback and produced water (FPW) from shale oil and gas (SOG) exploration is a critical issue for both economic and environmental reasons [19,28]. Different techniques are used to manage extracted water, including disposal, reinjection, and recycling.
Currently, disposal accounts for 46% of produced water in the United States, followed by reinjection at 41% and recycling at 13% (Figure 1). However, with the expected increase in the water-to-oil ratio for crude oil resources by 2025, the market for purifying and utilizing produced water is likely to expand significantly [29,30]. The water-to-oil ratio is expected to increase by 2025, leading to a growing market for purifying and utilizing produced water [31].
Figure 1.
Produced water scenarios in oil and gas industry (data from [29,30]).
Produced water in the gas industry is a combination of condensed and formation water, as water injection is not used [32]. Compared to oilfields, produced water from gas fields is more acidic and volatile [32]. The onshore oil and gas industry disposes of produced water through the subsurface, while the offshore industry directly dumps it into the aquatic environment, causing harm to marine ecology [32]. The composition of produced water is influenced by geological and geographical factors of the reservoir and the type of hydrocarbon formation [32]. In shale oil and gas production, produced water includes flowback water and formation water [19]. The flowback water rate during well extraction initially increases and then decreases over time. Figure 2 shows the main sources of produced water, such as reservoir formation water, flowback water, and conventional and unconventional oil and gas production.
Figure 2.
Different sources of produced water.
The volume of produced water from oil or natural gas production varies based on location and extraction method [33,34,35,36]. Produced water contains radioactive elements, salts, metals, and hydrocarbons [33,34,35,36]. The physical and chemical qualities of produced water also vary based on geographic location, geologic formation, and type of hydrocarbon product [37,38]. Reservoir fluid, in addition to oil, gas, and water, contains other components. When reservoir fluids are separated during the oil production process, the pressure drop leads to the formation of carbonate ions and the release of carbon dioxide. If the produced water is discharged into the sea or other bodies of water, it can contain dissolved hydrocarbons, heavy metals, CO2 gas, residual oil, and water-soluble compounds, making it harmful to the environment. Water treatment is necessary to mitigate these effects [39]. Figure 3 illustrates the water sources used in oil and gas exploration.
Figure 3.
Water injection sources for hydrocarbon formation.
The United States, Russia, and Saudi Arabia are the world’s three largest producers in terms of crude oil output. The United States has nearly one million wells that produce approximately 3.8 billion cubic meters of produced water annually [40,41,42,43]. Russia’s annual oil equivalent production of 285 million metric tons results in a production of 1.5 billion cubic meters of produced water [43,44].
According to Figure 4a, the volume of produced water generated in 2017 and 2018 by the United States, Russia, and Saudi Arabia, the three largest oil and gas-producing nations, is compared. Additionally, Figure 4b includes data from Brazil and Oman, allowing for a comparison of their 2018 output as well.
Figure 4.
(a) PW volume for dominant oil- and gas-producing countries (USA, Russia, and Saudi Arabia) for 2017 and 2018; (b) PW volume for USA, Russia, Saudi Arabia, Oman, and Brazil in 2018 (data from [42,43,44,45,46,47,48,49]).
From 2012 to 2017, oil production in the US increased by 50.4% to 3.4 billion barrels per day, a 94% increase from 2007–2017 (Figure 5). Texas was the leading producer, accounting for 37% of hydrocarbon production. The federal offshore enterprise was the second largest hydrocarbon producer. North Dakota produced 11% of crude oil in 2017. Alaska, New Mexico, California, Oklahoma, Colorado, Wyoming, and Louisiana were among the top ten oil-producing states in 2017 [42].
Figure 5.
Top ten oil-producing states in the US. (data from [42]).
According to Figure 6, Texas was the leading producer of natural gas in the United States in 2017, accounting for 23.0% of the total output. Pennsylvania followed in second place with a proportion of approximately 16%. Louisiana and Alaska both contributed 9% each, while Oklahoma and Colorado contributed 7% and 6%, respectively. New Mexico produced more natural gas than Wyoming, Ohio, and West Virginia combined, with a 5% share compared to their combined 4%. According to John Veil’s report in 2020, gas production in the United States experienced a significant increase of 17.7% from 2012 to 2017, reaching a total of 35 billion Mmcf [42].
Figure 6.
Top ten gas-producing states in the US (data from [42]).
In 2017, 24.4 billion barrels of water were produced from oil and gas production, equivalent to one trillion gallons of water annually. This represents a 15.2% increase from 2012 and a 16.2% increase from 2007 to 2017 as shown in Figure 7. The top ten states in the US in terms of generated water production in 2017 include Texas, which contributed to the highest discharge (41% in 2017), followed by California and Oklahoma, North Dakota, Wyoming, Kansas, Louisiana, New Mexico, Alaska, and the federal offshore. The volume of produced water has increased by 16.2% in the past decade [42].
Figure 7.
Top ten states in the US regarding produced water production (data from [42]).
Oil and gas production generates significant wastewater, necessitating effective management without harming the economy or environment. Effective treatment requires a comprehensive understanding of the effluent’s features and properties and the consequences to the ecosystem in each country, as highlighted by [50].
Unconventional gas and tight oil reservoirs have low permeability compared to conventional oil and gas reservoirs (1–1000 mD). Hydrocarbon recovery is more challenging in these formations [51]. Hydraulic fracturing operations use hydraulic fracturing fluid, composed of water and proppant, with chemical additives accounting for less than 20% of the total volume. These additives can include friction-reducing polymers, liner gels, biocides, surfactants, and corrosion inhibitors. The use of hydraulic fracturing fluid is crucial for efficient oil and gas production [52,53,54,55,56,57].
Hydraulic fracturing, a process used in oil and gas production, consumes a significant amount of water, which is problematic in semi-arid basins where water availability is often stressed to meet demand. From 2000 to 2011, total freshwater consumption for shale gas HF activities in Texas ranged from 6.5 × 106 m3 to 18 × 106 m3 and up to 145 × 106 m3 [58]. Between 2005 and 2014, the total hydraulic fracturing water volume for ten of the biggest US formations was around 940 × 106 m3 [59,60]. Nearly half of the hydraulically fractured wells in the United States were in areas of severe or extreme water stress, with 97% of wells in Colorado falling into this category [61,62]. The median yearly water use for horizontal wells increased from 700 m3 per well to more than 15,200 and 19,400 m3 per well.
Figure 8 represents the average water use (m3) for hydraulic fracturing of horizontal wells in major shale plays in the US. Huge volumes of water are needed for hydraulic fracturing of horizontal wells. For example, Eagle Ford (18,300 m3), Barnett (18,900 m3), DJ Basin (12,800 m3), Bakken (8400 m3), Marcellus (16,700 m3), and Monterey (530 m3) require high volumes of water [63]. The annual average water usages for the Permian and Williston basins regarding hydraulic fracturing operations account for 24,548 m3 and 21,366 m3, respectively [64].
Figure 8.
Average water use (m3) for HF (hydraulic fracturing) of horizontal wells in major shale plays in USA (data from [63,64]).
3. Issues of Produced Water for the New Sustainability Challenge
Semi-arid western United States is home to the world’s largest unconventional oil reserves [65,66,67], but water scarcity has increased due to increasing amounts of water used for HF, which is highest in the Permian Basin oil play [2,68,69]. HF has been related to another environmental problem, induced seismicity, in some areas [70,71]. Unconventional oil and gas reservoirs produce large quantities of water in addition to oil and natural gas, with the Permian oil play producing the most PW [68,72,73]. Most PW in the oil and gas industry is managed by injecting or disposing of it deep below [74,75]. Because these injections alter subsurface fluid budgets and pressures, they may cause induced seismicity. For example, in Oklahoma, most of the recorded earthquakes may be traced back to disposal close to the basement and heavily loaded faults [76,77,78]. Spills and leaks of fluids could contaminate water systems, and methane could seep into the groundwater [79,80,81,82,83]. Therefore, it is evident that PW management has become a challenging issue in the oil and gas industry, necessitating a long-term and cost-effective technology solution. Companies have been building their water midstream industry to address water management issues and have attracted considerable private equity investment.
4. Characteristics of Oilfield Produced Water
Produced water contains dissolved oily compounds such as BTEX, phenols, and hydrocarbons. Because of their solubility in water, a reservoir’s pH, temperature, and pressure all have a role in determining how much of each chemical is there. Some alkylated phenols became less soluble in generated water, and PAHs were found to be coated in oily substances [84]. Produced water contains a wide variety of contaminants, including dissolved salts (Cl−, Na+, Ca2+, SO42−, CO32−), radioactive elements (226 Ra, 228 Ra), and heavy metals and metalloids (As, Cd, Cr, Zn, Cu, Pb). Production solids include, but are not limited to, forming solids, particulate matter, microbes, asphaltenes, and corrosion products [85,86,87,88]. Increases in ionic strength and water temperature reduce the solubility of dissolved gases including volatile hydrocarbons, carbon dioxide (CO2), oxygen (O2), and hydrogen sulfide (H2S) in petroleum brine [87]. However, the chemical compositions of petroleum production include corrosion inhibitors, biocides, anticoagulants, and dispersants [89].
4.1. Physicochemical Characteristics
The ranges of major physicochemical parameters in different primary shale plays in the US are represented in Figure 9. It shows the ranges of major physicochemical parameters of PW including pH, dissolved organic carbon (DOC), chemical oxygen demand (COD), total organic carbon (TOC), total dissolved solid (TDS), EC ranges, and turbidity.
The pH range of various shale types is varying, with Marcellus having a maximum of 7.9 and a minimum of 3.9, Woodford having a maximum of 9.3, Eagle Ford having a maximum of 8.9 and a minimum of 4.3, Bakken having a maximum of 2.5, Barnett having a maximum of 1.5, Sichuan Basin having a maximum of 8.2, and DJ Basin having a maximum of 7.42 [90,91,92,93,94,95,96,97,98].
The ranges of Total organic carbon (TOC) for various shale types are also varying. For the Marcellus shale play, TOC ranges are 5803 Δmg/L, Bakken’s ranges are 2719 Δmg/L, Sichuan Basin’s ranges are 1897 Δmg/L, DJ Basin’s ranges are 663 Δmg/L, Woodford’s ranges are 170 Δmg/L, Permian’s ranges are 98 Δmg/L, and Barnett’s ranges are 93 Δmg/L [94,95,98,99,100,101,102,103,104,105].
In terms of DOC, the maximum range is 5957 Δmg/L, DJ Basin’s ranges are 2123 Δmg/L, Eagle Ford’s ranges are 851 Δmg/L, Barnett’s ranges are 86 Δmg/L, and Permian’s ranges are 82 Δmg/L [92,95,98,105,106,107,108].
In Bakken, COD ranges are 59,000 Δmg/L; for Marcellus, 50,981 Δmg/L; for Barnett, 9670 Δmg/L; for DJ Basin, 7507 Δmg/L; for Sichuan Basin, 3119 Δmg/L; and DJ Basin’s ranges are 430,800 Δmg/L [92,95,96,98,109,110,111,112].
TDS ranges for DJ Basin, Eagle Ford, Marcellus, Bakken, Woodford, Sichuan Basin, Barnett, and DJ Basin are also varying [90,92,93,94,98,105,111,112,113,114,115,116]
The TSS ranges for Permian, Marcellus, Eagle Ford, DJ Basin, Woodford, Sichuan Basin, and Barnett vary from 14,970 Δmg/L to 762,938 Δmg/L [90,92,95,96,105,107,111,115,117,118,119].
The EC range in Marcellus is 167700 Δmg/L, while that of Barnett is 277 Δmg/L [56,92,95,101,112]. Turbidity in Marcellus is 2998 NTU, while Eagle Ford and DJ Basin levels vary from 1726 NTU to 418 NTU [90,92,95,98,101,112,120,121].

Figure 9.
Ranges of concentration (Δmg/L) for major physicochemical parameters of PW in different primary oil and gas plays in the US (data from [92,93,94,95,96,97,98,99,100,101,102,103,104,105,106,107,108,109,110,111,112,113,114,115,116,117,118,119,120,121,122,123,124,125,126,127,128]).
Figure 9.
Ranges of concentration (Δmg/L) for major physicochemical parameters of PW in different primary oil and gas plays in the US (data from [92,93,94,95,96,97,98,99,100,101,102,103,104,105,106,107,108,109,110,111,112,113,114,115,116,117,118,119,120,121,122,123,124,125,126,127,128]).


4.2. Inorganic Characteristics
The inorganic characteristics of produced water are illustrated in Figure 10. The figure focuses on the concentration of various minerals in different types of soils, such as those located at Marcellus, Eagle Ford, Bakken, Woodford, Barnett, and DJ Basin. The concentrations of Ca2+, Cl−, Na+, HCO3−, Sr2+, Mg 2+, Br−, Ba2+, and Ba2+ in the oil and gas plays Sichuan Basin and Permian Basin are analyzed.
Figure 10.
Ranges of concentration (Δmg/L) for major inorganic components in different primary shale plays in the US (data from [92,93,94,95,96,97,98,99,100,101,102,103,104,105,106,107,108,109,110,111,112,113,114,115,116,117,118,119,120,121,122,123,124,125,126,127,128]).
The Ca2+ concentration in various basins ranks from highest to lowest as follows: Marcellus, Eagle Ford, Bakken, Woodford, Barnett, Permian, and DJ Basin [92,93,95,111,123,124]. The Cl− concentration follows a similar pattern, with Eagle Ford having the highest concentration followed by Marcellus, Bakken, Barnett, Woodford, Permian, and DJ Basin [92,93,94,98,113,115,124].
The Na+ concentration is highest in Marcellus, followed by Eagle Ford, Bakken, Barnett, Woodford, DJ Basin, Sichuan Basin, and Permian [92,93,95,111,112,113,123,124,125].
The HCO3− concentration in different oil and gas basins ranges from highest to lowest as follows: Eagle Ford, Sichuan Basin, Barnett, Bakken, DJ Basin, Marcellus, and Permian [93,101,106,115,123,124].
The Sr2+ concentration in different regions is ranked from highest to lowest as follows: Barnett (1502 Δmg/L), Bakken (977 Δmg/L), DJ Basin (186 Δmg/L), Woodford (116 Δmg/L), Sichuan Basin (92 Δmg/L), Permian (90 Δmg/L) [95,123].
Based on the provided data, the concentrations of Mg2+ in different shale formations are as follows: Eagle Ford (17,202 Δmg/L), Marcellus (13,000 Δmg/L), Bakken (1181 Δmg/L), Barnett (755 Δmg/L), Woodford (627 Δmg/L), Sichuan Basin (493 Δmg/L), and Permian (320 Δmg/L) [92,93,95,115,123,124,125].
In terms of K+ concentration, Marcellus has the highest value (5000 Δmg/L), followed by Woodford (2794 Δmg/L), Eagle Ford (1633 Δmg/L), Barnett (746 Δmg/L), Permian (530 Δmg/L), and Sichuan Basin (406 Δmg/L) [92,93,95,113,124,125].
Marcellus also has the highest Br− concentration (3340 Δmg/L), followed by Barnett (764 Δmg/L), Bakken (564 Δmg/L), Permian (490 Δmg/L), Eagle Ford (260 Δmg/L), DJ Basin (202 Δmg/L), and Sichuan Basin (36 Δmg/L) [92,94,98,99,123,126,127].
Some of the basins with higher Ba2+ levels are Woodford (78 Δmg/L) [92]; Eagle Ford (49 Δmg/L) [121]; Bakken (25 Δmg/L) [94]; Barnett (17.8 Δmg/L) [95]; DJ Basin (17.2 Δmg/L) [118,127]; and Permian (16 Δmg/L). More Al3+ is found in the DJ Basin, 3.290 Δmg/L [80], than in the Sichuan Basin, 3.10 Δmg/L [101]; in Barnett, 2.096 Δmg/L [95]; and in Bakken, 0.90 Δmg/L [123].
Marcellus has a high concentration of Li2+ at 634 mg/L [92], Barnett has 37.4 mg/L [95], Bakken has 36.3 mg/L [94,123], and DJ Basin has 7.1 mg/L [127].
Higher SO42− concentrations are found in Marcellus with 2920 mg/L [128]; Barnett, with 1140 mg/L [95]; Bakken, with 430 mg/L [94]; and DJ Basin, with 253 mg/L [98,127].
4.3. Organic Characteristics
Figure 11 depicts the ranges of major organic components in different primary shale plays in the US. The DJ Basin has the highest acetone ranges of 21.10 Δmg/L, followed by Marcellus with ranges of 7.49 Δmg/L and Barnett with ranges of 0.51 Δmg/L [30,92,95].
Figure 11.
Ranges of concentration (Δmg/L) for major organic components in different shale plays in the US (data from [92,93,94,95,96,97,98,99,100,101,102,103,104,105,106,107,108,109,110,111,112,113,114,115,116,117,118,119,120,121,122,123,124,125,126,127,128]).
In terms of benzene concentration, the Permian Basin has the highest ranges of 777 Δmg/L, followed by the DJ Basin with ranges of 9 Δmg/L, Barnett with ranges of 5.3 Δmg/L, and Marcellus with ranges of 1.3 Δmg/L [95,105,113,129]. Oil and grease concentration is highest in the Barnett Basin with ranges of 1714 Δmg/L, followed by Marcellus with ranges of 1497 Δmg/L, the DJ Basin with ranges of 59 Δmg/L, and the Sichuan Basin with ranges of 17 Δmg/L [57,95,113,117].
The Permian Basin has the highest ethylbenzene ranges of 397.8 Δmg/L, followed by the DJ Basin with ranges of 1.4 Δmg/L, Barnett with ranges of 0.7 Δmg/L, and Marcellus with ranges of 0.2 Δmg/L [95,105,106,130]. The DJ Basin has the highest toluene concentration ranges of 39.38 Δmg/L, followed by Barnett with ranges of 8.2 Δmg/L, Permian with ranges of 5.51 Δmg/L, and Marcellus with ranges of 2.45 Δmg/L [92,95,105,129,130].
The DJ Basin has the highest m, p-Xylene concentration levels at 52.08 Δmg/L [129]; Marcellus has the lowest at 3.38 Δmg/L [130]; and Permian has the lowest at 0.45 Δmg/L [105]. The concentration of o-xylene in DJ Basin is 20.21 Δmg/L [129], and the concentration in Marcellus is 0.67 Δmg/L [130].
5. Produced Water Treatment Technologies
The environmental impact of oil and gas production is increasing due to the increasing demand for water. The proper treatment can help generate water, which can be a crucial source of freshwater in the face of scarcity [57]. Emphasis is on reclaiming, reusing, and recycling water to meet community scarcity. Treatment of petroleum by-products (PW) is an effective method for managing wastewater from offshore and onshore oilfields for irrigation purposes. PW treatment is non-toxic, useful, and can be applied to various industries, farm animals, wildlife watering, and power plant production [11]. Figure 12 represents the current practices of produced water treatment technologies available for the industry.
Figure 12.
Flow chart for PW treatment technologies.
The primary aims for the treatment of PW could be explored [131,132,133] as follows:
- (a)
- Elimination of fats and oils in free and dispersed states in PW;
- (b)
- Removal of organic matter dissolved in PW;
- (c)
- Elimination of different algae, bacteria, and microorganisms;
- (d)
- Haze separation by removing colloids and suspended matter;
- (e)
- Exclusion of gases dissolved in water;
- (f)
- Elimination of minerals and dissolved salts, leftover water hardness, and possible probable radioactive substances.
5.1. Physical Process
5.1.1. Hydrocyclone
The hydrocyclone is a classical treatment method for produced water adopted to eradicate suspended solids, sand, and oil from PW [134]. The mechanism of elimination by hydrocyclone is mostly based on the differences in the density of different materials found in the PW to be separated [135]. The instrumentation of the hydrocyclone is simple. The essential part of the instrumentation is the cylindrical section on top, from which the PW is inserted tangentially on a conical base. The angle of the conical section determines the separation capability and performance. The system has a bottom portion called the underflow or rejects stream for the denser fraction and an overflow or product portion for the less dense proportion of the liquid stream [136]. This system can remove particles to an extent of 5–15 µm, but it cannot remove soluble materials [137].
A large number of companies use the hydrocyclone for the treatment of PW. Due to space constraints, a small and compact system is required [137]. There are various advantages of using hydrocyclones such as not needing any chemicals or energy or any pre- or post-treatment stage. Sometimes, a forwarding pump is needed to deliver water to the hydrocyclone due to a plant-specific setup [138]. In the first step of its mechanism, it produces a stirring motion that creates a centrifugal force to act on the PW to separate the water with heavier material on the outside and the middle core of the cones is filled up with light oil. Then, the water flows downward and is separated from the tapered end [139].
5.1.2. Thermal Separation Process
Thermal separation techniques comprise a traditional process of PW treatment that was used for the desalting of PW [140]. Middle Eastern regions where energy resources are readily available and cost-effective use this process to treat the PW from oil and gas fields because this process requires high energy consumption [140]. There are two types of units in this process, namely multiple-effect flash units and multiple effect distillation units. In the MSF unit, the liquid from the oil and gas field is passed through multiple stages (more than 30), which act as countercurrent heat exchangers [141]. A heat exchanger and a condenser are connected simultaneously to each series of stages and help to maintain the hot and cold temperature at the end of each stage. The different temperatures and pressure help to separate salts from the PW in different stages according to the boiling point of these materials [14].
5.1.3. Adsorption
Adsorption is a method in which molecules are selectively moved to a solid surface from liquid owing to chemical bonds or van der Waals forces in the middle of the two phases [142]. This is a widely adopted treatment technology for the removal of hydrocarbons that are soluble in produced water. This can be attained by using a wide range of materials including organic clays, zeolites, chitosan, and activated carbon [143]. By using this process, it is possible to remove more than 80% of heavy metals and achieve an early 100% recovery rate of water from contaminated water [144]. The efficiency of this method is closely associated with the capability of the adsorbents to release impurities, which relies on temperature, pH, concentration, type, and the physical state of the adsorbents, along with the operating conditions applied [144].
It is well known from the literature that adsorbents are mainly picked and assessed based on their kinetics, characterization, and isotherms. Their characterization takes into consideration major factors such as pore size and volume, specific surface area, the kind of precursor used, cost, availability, and so on [145]. Additionally, it is of significant interest that a single absorbent is enough to maintain these factors to raise the execution of the process. Particles with large pores (between 2–50 nm) are mostly utilized as adsorbents because of their large surface area and the greater capacity of adsorbates to gather on these surfaces [146].
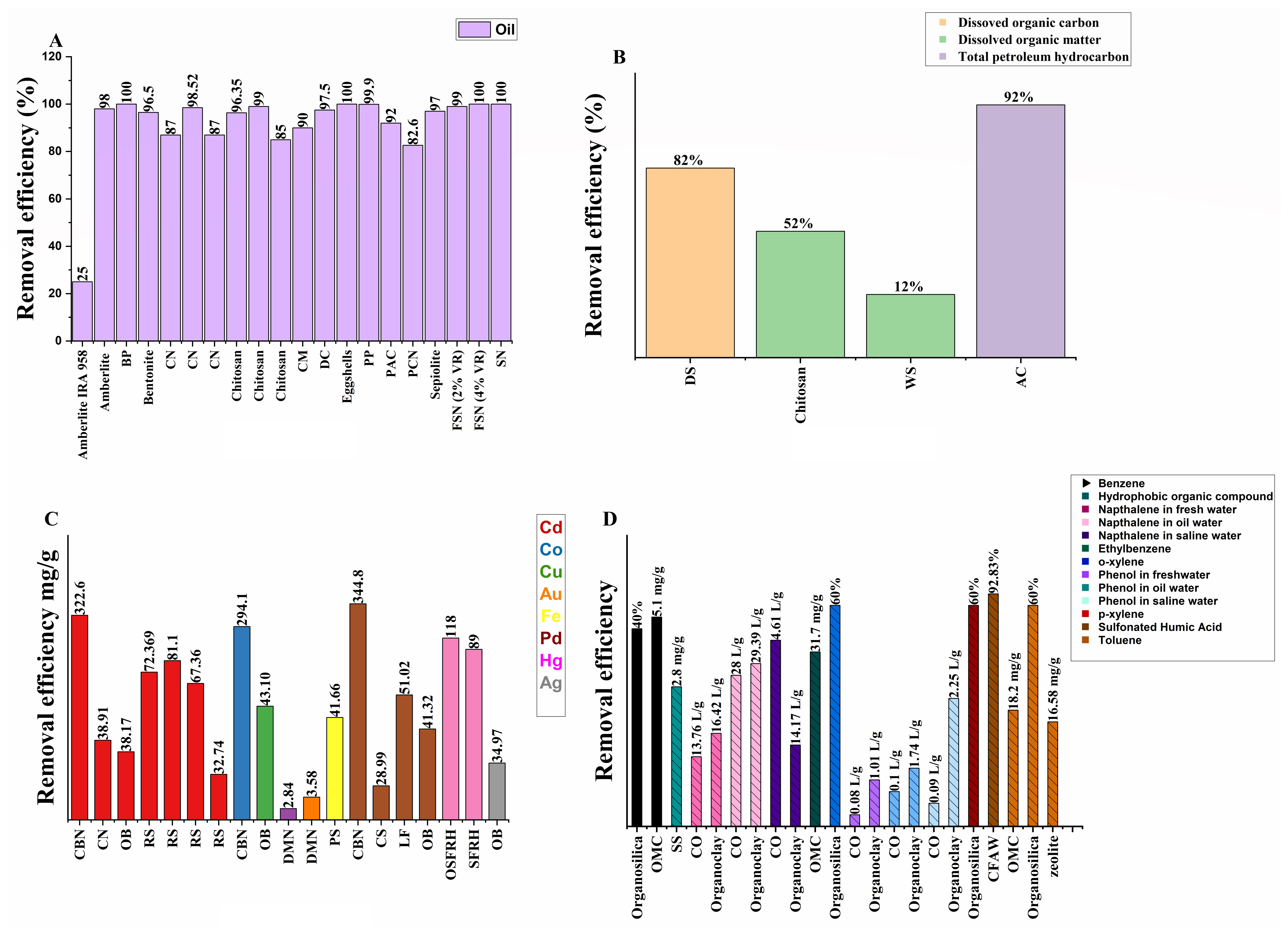
Investigations of isothermal batch and kinetic processes, although not used in industrial processes, are essential in laboratory experiments to evaluate the equilibrium time and to measure the total capacity of an adsorbent to absorb adsorbates from an aqueous phase under particular conditions owing to their simple configuration [147]. Adsorption kinetics explain the movement of adsorbates over time in an adsorbent. Factors such as pH, temperature, ionic initial adsorbate concentration, agitation, strength, and pore size and particle size distributions are some limitations influencing the steps of the process [148]. Mathematical models are frequently formulated and adopted to comprehend and forecast adsorption kinetics and to detect the control mechanism. The empirical models frequently applied are pseudo-first-order, pseudo-second-order, Elovich, and intraparticle diffusion models [149]. Comparisons of different adsorption capacities of the above contaminants with different adsorbents are illustrated in the bar chart in Figure 13.
Figure 13.
Comparison of removal efficiency for different contaminants—(A) oil, (B) dissolved organic matters, (C) metals (Cadmium-Cd, Cobalt-Co, Cupper-Cu, Gold-Au, Iron-Fe, Palladium-Pd, Mercury- Hg, Silver-Ag), and (D) chemical compounds in different adsorbents (BP- Banana Peel, CN-Carbon Nanotube, CM-Carbon Methyl, DC-Deposited Carbon, PP-Pineapple Peel, PAC Powder Activated Carbon, PCN-Poly Carbon Nanotube, FSN-Functional Silica Nano-particle, SN-Silica Nano-particle, DS-Date Seed, WS-Wheat Straw, AC- Activated Carbon, CBN-Camel-bone Nano-composite, CN-Carbon Nanotube, OB- Olive Brunches, RS-Rape Straw, DMN-Dendrimer Magnetic Particle, PS-Pomegranate Seed, CS-Corn Straw, LF-Low-density Fly ash, OB-Organic bentonite, OSFRH-Organosilanes Functionalized Rice Husk, SFRH-Sulfur Functionalized Rice Husk, OMC-Ordered mesoporous Carbon, SS-Sewage Sludge, CO-Commercial Organo-clay, and CFAW-Coal Fly-ash waste (data from [142,143,144,145,146,147,148,149]).
Although this technique is widely extensively utilized and may represent empirical trends, caution should be implemented when utilizing this approach. This is because the kinetic models require many operational supplies and physical processes and cannot be employed to explain a system beyond the conditions deemed for its fitting [150]. At this point, mechanistic and phenomenological models are well matched. They are based on equilibria, transport kinetics equations, and conservation and not on experimental attempts [151]. There are a large number of adsorbents used to remove oil, soluble heavy metals, organic carbon of various natures, and organic substances such as naphthalene, toluene, xylene, phenol, benzene, humic acid, etc.
5.1.4. Gravity Separation
The most frequently used water purification process depends on gravitational forces to pull out droplets of oil from the continuous aqueous phase [152]. A gravitational force on oil droplets that are lighter than water is responsible for the displacement. This is counteracted by a force of dragging which is triggered by the vertical movement of water [153]. The oil and grease elimination process depends on the end utilization of the water and the oil’s composition in the produced water. The preliminary gravity separation apparatus consists of classical gravity oil–water separators and a corrugated plate separator (CPI) [154].
The oil–water separators are conventional baffle-type separators and can eradicate oil particles greater than 150 µm [155]; the CPI can remove oil droplets 40 nm in size and its treatment capacity is higher than that of the American Petroleum Institute (API) separator [156]. Furthermore, the skim tank is also a general apparatus for oil–water separation and depends on gravity. A suitable upgrade to the classical gravity separation system has also been developed [157]. Forero et al. [158] mounted an additional structure to the gun barrel separation tanks and attained better dehydration degrees. The composition of PW is comparatively complex, and PW treatment by gravity separation only cannot meet wastewater quality needs.
5.1.5. Flotation
Flotation is a method of water treatment that utilizes gas bubbles to split up small, suspended particles that are hard to remove owing to settling [159]. In this technique, fine gas bubbles are introduced for the elimination of suspended particles that are very hard to remove by the sedimentation process [160]. Gas is inserted into the contaminated water and attracts suspended oil droplets and particles in the water to the resultant air bubbles. This produces foam on the surface, which is generally removed by floating. Furthermore, dissolved gas flotation effectively removes volatile organic substances in addition to oil and grease [161]. Dissolved air flotation has been extensively utilized to deal with produced water contamination.
The method of gas flotation has two categories, namely induced gas flotation (IGF) and dissolved gas flotation (DGF) [158]. These two methods are different from each other in the technique applied to produce gas bubbles and the sizes of resulting bubbles. First, the gas (normally air) enters the chamber in the DGF method, which is loaded with a completely saturated solution [161]. Within the chamber, the gas is distributed by using a vacuum or by generating a fast pressure drop. However, IGF technology has automatic shear or propellers to formulate bubbles that enter the end of the chamber of flotation [162]. The ability of the technique entirely relies on the pollutants to be separated, density variations in the aqueous solution, temperature, and the oil droplets.
There are several benefits and drawbacks of the gas flotation techniques. The benefits include: (i) coalescence raises the processing capacity; (ii) operation is very easy; (iii) instrumentation has no moving apparatus; (iv) it is durable and robust [158]. The drawbacks are that the performance efficiency is restricted to the oil droplets which are bigger than 25 microns and the flotation process does not work out preferable feed streams with elevated temperatures [163]. However, the techniques work efficiently under lower temperatures and can be applied to treat produced water with high or low total oxygen content (TOC) concentrations and water containing particulates, oil, and grease with a 7% solids content [160]. Particles with a size of 25 are eliminated by the DGF process, and when the coagulation process is used as a pretreatment step, the 3–5 μm size pollutants can be removed [164].
5.1.6. Coalescence Separation
In the coalescence separation technique, the dispersed particles in PW are passed through a reactor set up with the materials for coalescing which are capable of eliminating the homogeneously dispersed and emulsified greases and oils [165]. The working methods of the applied coalescer in this process are illustrated as whenever oil droplets are close together in the PW, a film of particles is formed automatically between the droplets [166]. When the thickness of this film is adequately small, the electrostatic force of attraction breaks down the film and several small droplets of contaminants unify into the one bigger droplet. The function of a coalescer is often influenced by the velocity of fluid, droplet diameter, pressure, interfacial curvature interfacial tension, etc. [167]. Coalescers usually used in the industry are particle bed coalescers and fiber bed coalescers and represent high productivity, accessible installation, simple operation, and bed cleaning. Compared with the gravity separation process, the coalescence separation technique has a more efficient structure, more separation precision, and an extended service life of materials [168]. In some instances, however, the layer of coalescing particles can be closed by solid particles and sludge.
5.1.7. Filtration Separation
Filtration is a straightforward technique utilized in water and wastewater treatment processes and is based on the application of porous filter media which particularly permit water to pass through but not pollutants [169]. Numerous porous materials such as gravel, sand, and activated carbon can be adopted as filter media. However, the most extensively applied material is sand owing to its abundance in the environment, low price, and efficiency [170]. A detailed summary of the pros and cons of all physical processes are illustrated in Table 1.
Table 1.
Summary of physical treatment processes for oilfield PW.
5.2. Chemical Treatment
5.2.1. Chemical Precipitation
In the context of chemically treating produced water, precipitation is considered a standard approach. Over 97% removal of suspended and colloidal particles is possible using this method [169]. It is possible to use coagulation and flocculation to filter out suspended and colloidal particles; however, they cannot be used to filter out dissolved elements. Inorganic metals including iron, magnesium, and aluminum polymers form the backbone of these techniques, and they have been shown to be effective in eliminating pollutants during the chemical treatment process [175,176]. Particles, carbonaceous chemicals, phosphorous, and metals were removed in another study using a flocculation unit and polymer anions such as ferric chloride (FeCl3). But it was found that these flocculants were not very good at keeping out nitrogen molecules and hydrophilic chemicals [177]. It has also been stated that almost 97% of oil and suspended solids may be eradicated from produced water by including the chemicals for coagulation [178].
Produced water containing 200 ppm of oil, 500 ppm of sulfides, 2000 ppm of hardness, and 10,000 ppm of TDS can be efficiently converted into steam generator-quality feedwater by modified hot lime procedures [8]. When compared to the traditional hot lime method, this approach has the potential to significantly cut down on both alkali consumption and sludge production. In produced water with greater SS levels, this chemical exhibited well coagulation, scale inhibition, and de-oiling [179]. Houcine also used spills or calcite and lime in an experiment to remove heavy metals from produced water. Lime’s cost-effectiveness and greater elimination efficiency (>95%) were demonstrated by the results [8]. Researchers used oxidants, ferric ions, and flocculants to remove arsenic, hydrocarbons, and mercury from treated water [138].
5.2.2. Chemical Oxidation
Chemical oxidation is a common method for treating compounds in contaminated water, using catalysts, a strong oxidant, and irradiation (not including ozone treatment). This method lowers COD, BOD, odor, color, certain organics, and inorganics in PW [4]. According to Igunnu and Chen [180], free electrons cannot be in the solution; hence, this treatment technique relies on groundwater redox reactions.
Huang [181] suggests breaking up organic contaminants in PW with catalysts and powerful oxidizers. Oxygen, ozone, peroxide, and chlorine can degrade many pollutants. The chemical dose, oxidant type, raw water quality, and oxidant–water contact time affect this method’s oxidation rate [178]. This treatment process uses minimal equipment, produces no pollutants, requires no pretreatment, and recovers about 100% of PW. However, the technique’s byproducts are difficult to separate, chemicals are expensive, and pump maintenance and calibration are required [4].
To remove all contaminants, Igunnu and Chen [180] recommended a final treatment. Advanced oxidation processes (AOP) are a recent breakthrough in water treatment and use oxidants or a mixture of oxidants to quickly oxidize organic pollutants [182]. AOP techniques create potent oxidizing radicals, mostly hydroxyl. The produced hydroxyl radicals react swiftly and non-selectively with practically all organic compounds containing more electrons [4]. Hydroxyl groups can transform high-molecular-weight organic compounds into minerals [181]. Non-conventional AOP include humid oxidation with peroxide and moist air oxidation. Chemical oxidants include hydrogen peroxide, iron, and ozone. This treatment generates hydroxyl radicals using titanium dioxide, iron oxide, and zinc oxide [183].
Electrochemical Oxidation Process
Research into electrochemistry, which focuses on improving chemical reactions involved in the production or use of electricity, represents a low-cost green approach in comparison to other current treatments for PW. It improves the beneficial utilization of PW without creating secondary waste or necessitating the use of additional chemicals [86]. Incorporating an electrochemical process with some of the aforementioned chemical techniques to produce clean water, store energy, and recover precious metals from oilfield PW is a promising alternative for PW treatment [178].
Electrodialysis (ED)
Ionic PW salts can be eliminated by oppositely charged electrodes. ED allows either anions or cations to pass through membranes placed between two oppositely charged electrodes (Patel et al., 2020). Each set of membranes has a spacer sheet to allow feed water to travel down the membrane face. Ions with positive charges (e.g., Na+) go to the cathode, whereas those with negative charges (e.g., Cl−) go to the anode [184]. The same-charge ions in ion-exchange membranes exclude ions with specific charges during migration. Thus, alternating cells concentrate ions while diluting nearby ions [185]. Through cell frame inlets and outlets, membrane cells can pass diluted and concentrated solutions. ED successfully treated PW from a conventional well in Wyoming’s Wind River Basin with oil, organic acids, BTEX, H2S, dissolved solids, and more [186]. Fernandez et al. [187] investigated polymer-flooding produced water (PFPW) desalination by an electric field pulsed through ED. This study desalinated synthetic PFPW under various operating circumstances until a specified number of charges were gone. PEF enhanced the ED’s performance, demineralization, and energy usage by 36% compared to the continuous mode.
Photocatalytic Treatment
Photocatalysis wastewater treatment is a promising AOP for pollution remediation [188]. This approach removes many organic pollutants without chemical oxidants at ambient temperatures and pressures [189,190]. This method removes most soluble oils from PW. This disruptive process uses little to or no chemicals and produces no waste sludge [191].
Organic pollutants in PW initially react with oxygen in the presence of photo-catalysts. Photocatalyst semiconductor materials produce CO2, H2O, and mineral acids. Photocatalyst performance depends on catalytic dosage, light wavelength and intensity, pH, salts and pollutants, and temperature [192]. Photocatalytic oxidation of PW is understudied compared to other treatments, and its suitability and methodologies for treatment success are unknown. PW ions including phosphate, carbonate, bicarbonate, nitrate, nitrite, and chloride affect photoelectron generation, electron–hole recombination, and hydroxyl radical scavenging. Ionic strength from chloride, calcium, magnesium, and sulfate can vary adsorption concentration and type. However, excessive organic matter in PW blocks adsorption sites, hydroxyl elimination, and light adsorption, making it a major inhibitor of PW treatment.
Classical physical separation methods must remove suspended oil, grease, and particles from PW to improve photocatalytic efficiency. Thus, this technique can be used as a pretreatment before biological treatments to reduce TOC, break big organic compounds, improve biodegradability, and minimize PW toxicity. After-treatment photocatalysis can remove leftover contaminants to improve produced water quality. Photocatalysts with improved specific surface area and self-cleaning ability must also be studied [193]. A detailed summary of chemical treatment processes for oilfield PW is provided in Table 2.
5.3. Thermal Treatment
Thermal technology extends systems’ lifespans and treats highly contaminated water. It is employed in instream water streams with high salinity concentrations, like those in Gulf Cooperation Council (GCC) countries, where the recommended limit is 32 mg/L [194]. This technique has a somewhat low recovery rate, hovering around 20% [188]. Multiple processes, such as multistage flash (MSF), multieffect distillation (MED), and vapor compression distillation (VCD), are used in thermal treatment. All of these techniques for cleaning PW rely on the water’s natural ability to evaporate and condense to remove impurities. Following are the most common thermal treatment methods [190,194].
Table 2.
Summary of chemical treatment processes for oilfield PW.
Table 2.
Summary of chemical treatment processes for oilfield PW.
| Methods | Target of Removal | Pros | Cons | Results | References |
|---|---|---|---|---|---|
| Chemical precipitation | Suspended and colloidal particles, hardness, heavy metals | (1) High recovery, simple operation, low cost, and energy-saving. (2) The pretreatment step is unnecessary | Secondary trash, sludge, chemical needs, metal-rich effluent | Excellent in cost saving | [8,189,195] |
| Chemical oxidation | Heavy metals, TDS, organics, BTEX, bacteria | Chemical-free, helpful secondary products, eco-friendly | (1) Scaling issues, expert labor needed (2) Process monitoring, optimization, pretreatment, and specialized labor are necessary for low-pollution wastewater | Environmentally friendly | [14,180,196] |
5.4. Biological Treatment
Biological treatment methods reduce COD efficiently [197,198,199,200]. They are eco-friendly because they do not pollute. They utilize chemical substances, but not the physical disinfection. However, biological treatment cannot eliminate TDS [201,202].
Figure 9 summarizes biological PW treatments. In ex situ bioremediation, manmade wetlands or bioreactors improve biodegradation. Aerobic and anaerobic processes can bioremediate in situ. Bioaugmentation or bio-stimulation may be needed to speed up or stop pollutant biodegradation. Bio-stimulation adds trace minerals, soil nutrients, and electron donors or acceptors to speed up PW pollutant biodegradation, whereas bioaugmentation adds an exogenous mixed culture. This section discusses PW biological therapy advances.
5.5. Membrane Treatment
Membrane filtering technology is popular worldwide because it may be employed in numerous industries, including the oil and gas industry [203,204,205]. Membrane technology can overcome the limitations of current treatment methods, such as expensive setup, hazardous chemicals, instrument design, and undesired byproducts [131]. Membrane treatment technology can be incorporated into interface engineering methods like biomimetic coating, atomic layer deposition, and surface functionalization with advanced nanomaterials. These methods provide high antifouling ability and improve water treatment efficiency in challenging oil/water mixtures and emulsion separations. These efforts enhance water treatment efficiency and address oil/water mixtures and emulsion separations [133,206,207,208,209,210].
5.6. Hybrid Technologies
To remove pollutants and reduce environmental damage, oilfield wastewater is treated using various types of technologies (physical, chemical, thermal, biological). Membrane treatments and other methods remove or minimize pollutants. However, single treatment methods have not addressed all recycling and landfill needs. The following combinations of methods have been proven to effectively remove a wide range of wastewater pollutants.
A detailed summary of thermal, biological, and membrane treatment processes for oilfield PW is provided in Table 3.
Table 3.
Summary of thermal, biological, and membrane treatment processes for oilfield PW.
6. Sustainable PW Management
Sustainable oilfield water management is essential for responsible oil and gas exploitation, environmental protection, and water conservation. Every day, millions of barrels of PW are produced all over the world. Apart from providing a risk of water resource contamination, these effluents are directly linked to corrosion and scale in refinery pipelines [8]. The sort of treatment and disposal strategy chosen is determined by the technical feasibility, price, and availability of technology and facilities, as well as current legislation [220]. A typical produced water management workflow is shown in Figure 14.
Figure 14.
Typical produced water management strategies.
6.1. Treatment Aspects
Primary, secondary, and tertiary treatments can address PW effluent and management limits [221]. The primary operation usually removes free O&G, solids, and particles. Secondary treatment removes oil droplets and particulates. Tertiary treatment removes residual contaminants, improving water quality estimates for disposal or reuse [8]. Technology that reduces PW production, reuse and recycling of effluent, and, if required, disposal in the environment are the main methods for controlling PW onshore and offshore. Recovery, reuse, and recycling can control PW when process reduction fails. Injection, industrial, irrigation, and beneficial usage are choices [178].
Adsorption, membrane filtration, advanced oxidative processes (AOP), and biodegradation have been studied for PW treatment [43]. Physical and chemical therapy can address many instances of PW. Flotation, filtration, electrodialysis, cyclones, sand filters, evaporation, DAP, and adsorption are physical treatments. Chemical treatment methods use precipitation, chemical oxidation, photocatalysis, the Fenton reaction, demulsifiers, ozone, and electrochemical technologies. Active sludge, biological aerated filters (BAF), novel micro-capacitive desalination cell (MCDC), and microalgae-based treatments are biological treatments. Microfiltration, ultrafiltration, nanofiltration, and reverse osmosis membranes are examples of membrane technology [8,131,222].
Future technologies include electrochemical water purification. They are low-cost, environmentally benign, and do not require chemicals or generate secondary waste, making them better than other treatment systems. They also remove organic pollutants, generate and store energy, and recover vital elements from produced water without damaging the environment [180]. PW treatment efficiency and convenience depend on chemical agents. Bactericides, descalers, and corrosion inhibitors stabilize systems.
Water purification agents, which demulsify, flocculate, and modify water quality, are the most significant chemicals for effective PW treatment. Offshore PW purification can use quaternary ammonium, carboxylate, sulfonate, or poly-phosphate ester demulsifiers. Stabilization corrosion inhibitors used in offshore PW treatment include borate, organic amine, mercaptan, sulfonate, polyphosphate, molybdate, and tungstate [135].
6.2. Regulatory Aspects
To make sure that oil and gas businesses follow ethical environmental standards, regulatory requirements are essential for sustainable management of produced water from oilfields. Federal, state, and municipal governments, as well as other organizations, often establish these policies. Regulatory responsibilities [223] may consist of the following:
- Comply with the reporting obligations specified by the appropriate environmental agencies and obtain permits prior to discharging, injecting, or storing produced water. These include NPDES (National Pollutant Discharge Elimination System) and state-issued licenses, as well as UIC (Underground Injection Control) well permits;
- Conform with the criteria and standards for water quality that have been established by state and federal regulatory agencies. These standards establish the maximum allowable concentrations of various pollutants in the produced water and the bodies of water it may contaminate;
- Comply with standards governing the disposal and transportation of hazardous and non-hazardous waste generated during the treatment and handling of produced water. This may include following the Resource Conservation and Recovery Act (RCRA) regulations;
- Create and implement spill prevention and response plans to avoid inadvertent leaks of produced water or other contaminants. It is crucial to adhere to the regulations outlined in the Clean Water Act (CWA) and the Oil Pollution Act (OPA);
- Consistently monitor and provide regulatory authorities with reports on the quantity and quality of produced water, emissions, and discharges; frequently use electronic reporting systems. It is imperative to acquire the appropriate permits for UIC wells and adhere to the prescribed guidelines for injection wells, which may encompass pressure monitoring, mechanical integrity testing, and wellbore integrity assessments;
- In order to mitigate soil erosion and sediment discharge into water bodies, it is imperative to enforce erosion and sediment control measures mandated by regulatory agencies throughout the construction and operation phases. It is imperative to adhere to regulations pertaining to environmentally friendly completions and emission control, such as the Clean Air Act (CAA) and the implementation of best available control technology (BACT), to mitigate emissions;
- Ensure adherence to regulations pertaining to concentrated brine disposal and Zero Liquid Discharge (ZLD) systems, which may encompass standards for permits and disposal;
- Ensure that activities that have the potential to affect the environment or public health are duly communicated to the public and involve local stakeholders and communities in a manner consistent with regulatory requirements;
- Adhere to the stipulations placed forth by specific regulatory authorities with regard to the financing of research and development initiatives that seek to enhance technologies for water treatment and management;
- As required by federal and state agencies, conduct environmental impact assessments to determine the potential environmental effects of oilfield activities, such as produced water management;
- In order to verify compliance with relevant environmental regulations, regulatory authorities should conduct routine inspections and compliance assessments of the oilfield;
- Comply with standards governing the closure and remediation of oilfields, including produced water management facilities, to avoid long-term environmental damage.
Depending on where they operate, oil and gas businesses may be governed by different laws and authorities in different areas. Companies must maintain a sustainable and environmentally responsible approach to produced water management in oilfields by collaborating closely with regulatory bodies and ensuring stringent adherence to all applicable obligations. Noncompliance can result in fines, legal action, and damage to a company’s reputation. Typical regulatory aspects are summarized in Figure 15.
Figure 15.
Regulatory obligations for PW management.
7. Future Outlook of PW Treatment Technology
Despite the common misconception that produced water is toxic waste, proper handling can be beneficial. As the world’s population grows, demand for treated water increases. Current technologies lack energy efficiency, and future implementation is hindered by costs associated with pretreatment, contamination, and backwashing. Innovative approaches to lessen environmental effect, increase efficiency, and maximize water resource reuse are anticipated to define the future of oilfield produced water treatment technology and management. Various innovative methods and technologies have been developed for treating water from oilfields, attracting significant interest in the field. The adoption of these techniques varies based on oilfield conditions, regulatory requirements, water characteristics, environmental factors, and cost-effectiveness.
Forward osmosis is a membrane-based technology that separates clean water from contaminants using a semi-permeable membrane. Microwave-assisted treatment uses microwave energy to heat and evaporate water, leaving behind concentrated brine and contaminants. UV photocatalysis breaks down organic pollutants and removes contaminants. Biomass electrochemical systems (BES) use microbial electrochemical systems to treat produced water. ZVI nanoparticles inject nanoscale iron particles into water, facilitating their removal.
Electrocution technology has been improved to reduce chemical additives, making it more sustainable and cost-effective. Innovative filtration media like graphene-based materials and nanocomposite membranes are being developed to enhance contaminant removal. Combining multiple treatment techniques, such as electrocoagulation followed by membrane filtration, has improved treatment efficiency. Ionic liquids are being explored for extracting and separating valuable components from produced water. Membranes inspired by natural biological systems are under development to selectively separate water and contaminants while allowing specific ions or molecules to pass. The use of nanoparticles and nanomaterials for contaminant removal and water treatment in produced water is a rapidly evolving area of research. Future oilfield produced water treatment technologies are demonstrated in Figure 16.
Figure 16.
Future produced water treatment technology.
Macro-porous polymer extraction (MPPE) technology offers potential for future produced water management due to its zero-pollutant discharge and energy savings compared to thermal alternatives. However, progress is needed to minimize the high cost. To maximize produced water treatment, a hybrid system can be formed using two or more methods. Future technology may treat produced water electrochemically, which is cheaper, greener, and does not use chemicals or produce secondary waste. It can effectively remove biological pollutants, create and store energy, and help recover valuable elements from produced water without harming the environment [137,180]. Mechanical vapor compression (MVC), membrane distillation (MD), and forward osmosis (FO) technologies can treat high-salinity produced water for reuse, while geothermal energy can reduce energy costs [224]. Photocatalysis can be used to reduce total organic carbon (TOC), degrade organic contaminants, increase biodegradability, and reduce water toxicity [225]. Modernizing membrane materials and optimizing cleaning methods can be effective in purifying produced water [11].
CO2 decarbonation can change the pH of softened water to 8.4–8.6 and recover economically valuable elements from oilfield water [226]. Long-term, cost-effective NaCl and other salt management strategies are needed for sustainably produced water management. Pervaporative distillation is a promising desalination method for produced water treatment when paired with solar energy or waste heat [148]. Electrochemical coagulation (EC) uses more energy but is more efficient in treating produced water [215].
8. Conclusions
Treatment technology for PW is sought due to its toxicity, environmental problems, and water constraints. Over the last two decades, O&G has been removed from PW more than any other component. Modern PW research encompasses all sectors, especially in water-scarce countries with harsh or cold climates. More than 200 technical articles from throughout the world were examined, analyzed, and included in this study. Below are our findings and suggestions:
- The identification of constituents in PW makes it difficult to predict effective treatment methods. The scaling envelope and system performance for produced water are relatively unknown, making treatment technology selection difficult or ineffective. The market’s dynamic nature and new regulations increase the need for solutions to treat oilfield water, which has higher contaminants content. Off-the-shelf technologies can be developed for this purpose, driven by economics, flexibility, and real-time optimization. Analytical data are crucial for formulating treatment and optimization, but unreliable data are a concern as regulations tighten;
- Potentially sustainable PW is threatened by both nonconventional energy sources and an inadequate data repository. Contrary to common belief, shutting down oil and gas plants has resulted in a major reduction in water production. Based on WOR and limited test results, the actual volume of produced water is calculated. Oil and gas companies are hesitant to treat PW for beneficial reuse since meeting strict usage requirements is more expensive than simply disposing of it;
- PW’s complexity needs coordinated treatment to maximize water quality and save on costs. Thermal treatment cleans very polluted water, especially saline streams, with long life cycles. Membrane filtration technology has increased in popularity because it may solve conventional treatment methods’ high costs, harmful chemical use, requirement for specialized equipment and design, and undesired byproducts. Membrane filtering PW’s complex matrix requires advanced planning and more research on fouling solutions;
- Many physical, chemical, and biological approaches can comply with PW’s pollutants and reuse. However, PW’s complexity has prohibited separate technologies from converting it for reuse or disposal. More research is needed to determine the weighting factor of each component to the total risk, resulting in the best management plan;
- Chemical selection in oil and gas operations should consider non-organic carbon compounds, as removal is costly and difficult. Commercial treatment technologies are tailored to specific needs or compounds, making compact systems essential for sustainable treatment. These systems can address a wide range of pollutants while using minimal resources. No single technology can provide all desired effluent characteristics, so hybrid treatment systems may be used in series to meet regulatory limits. Environmental remediation purposes should be a key decision factor when choosing treatment technologies.
It is crucial to encourage the reuse of PW, particularly in areas experiencing water stress. We feel this comprehensive study will allow for further research on treating PW using the adsorption process and the proper disposal of treated water in academia and industry.
Author Contributions
Conceptualization, F.N.; methodology, F.N., M.O.S.C. and M.M.R.; validation, F.N. and M.O.S.C.; formal analysis, F.N., M.O.S.C. and M.R; investigation, F.N., M.O.S.C. and M.M.R.; resources, F.N. and M.O.S.C.; data curation, F.N. and M.O.S.C.; writing—original draft preparation, F.N., M.O.S.C. and M.M.R.; writing—review and editing, F.N. and M.O.S.C.; supervision, F.N.; project administration, F.N.; funding acquisition, F.N. All authors have read and agreed to the published version of the manuscript.
Funding
This research received no external funding.
Data Availability Statement
The data presented in this study are available on request from the corresponding author.
Acknowledgments
The authors thank Texas A&M International University for providing the necessary support and accelerating research through a university research grant (URG).
Conflicts of Interest
The authors declare no conflict of interest.
References
- Coday, B.D.; Xu, P.; Beaudry, E.G.; Herron, J.; Lampi, K.; Hancock, N.T.; Cath, T.Y. The sweet spot of forward osmosis: Treatment of produced water, drilling wastewater, and other complex and difficult liquid streams. Desalination 2014, 333, 23–35. [Google Scholar] [CrossRef]
- Coonrod, C.L.; Yin, Y.B.; Hanna, T.; Atkinson, A.J.; Alvarez, P.J.J.; Tekavec, T.N.; Reynolds, M.A.; Wong, M.S. Fit-for-purpose treatment goals for produced waters in shale oil and gas fields. Water Res. 2020, 173, 115467. [Google Scholar] [CrossRef] [PubMed]
- Jamaly, S.; Giwa, A.; Hasan, S.W. Recent improvements in oily wastewater treatment: Progress, challenges, and future opportunities. J. Environ. Sci. 2015, 37, 15–30. [Google Scholar] [CrossRef] [PubMed]
- Coha, M.; Farinelli, G.; Tiraferri, A.; Minella, M.; Vione, D. Advanced oxidation processes in the removal of organic substances from produced water: Potential, configurations, and research needs. Chem. Eng. J. 2021, 414, 128668. [Google Scholar] [CrossRef]
- Souza, J.S.B.; Ferreira Júnior, J.M.; Simonelli, G.; Souza, J.R.; Góis, L.M.N.; Santos, L.C.L. Removal of oil contents and salinity from produced water using microemulsion. J. Water Process Eng. 2020, 38, 101548. [Google Scholar] [CrossRef]
- Yu, L.; Han, M.; He, F. A review of treating oily wastewater. Arab. J. Chem. 2017, 10, S1913–S1922. [Google Scholar] [CrossRef]
- Wang, X.; Goual, L.; Colberg, P.J.S. Characterization and treatment of dissolved organic matter from oilfield produced waters. J. Hazard. Mater. 2012, 217–218, 164–170. [Google Scholar] [CrossRef]
- Fakhru’l-Razi, A.; Pendashteh, A.; Abdullah, L.; Biak, D.; Madaeni, S.; Abidin, Z. Review of technologies for oil and gas produced water treatment. J. Hazard. Mater. 2009, 170, 530–551. [Google Scholar] [CrossRef]
- Cai, D.; Zhang, T.; Zhang, F. Evaluation of oilfield-produced water treated with a prepared magnetic inorganic polymer: Poly (silicate aluminum)/magnetite. J. Appl. Polym. Sci. 2018, 135, 45735. [Google Scholar] [CrossRef]
- Nasiri, M.; Jafari, I. Produced water from oil–gas plants: A short review on challenges and opportunities. Period. Polytech. Chem. Eng. 2017, 61, 73–81. [Google Scholar] [CrossRef]
- Alzahrani, S.; Mohammad, A.W. Challenges and trends in membrane technology implementation for produced water treatment: A review. J. Water Process Eng. 2014, 4, 107–133. [Google Scholar] [CrossRef]
- Alzahrani, S.; Mohammad, A.W.; Hilal, N.; Abdullah, P.; Jaafar, O. Comparative study of NF and RO membranes in the treatment of produced water II: Toxicity removal efficiency. Desalination 2013, 315, 27–32. [Google Scholar] [CrossRef]
- Tanudjaja, H.J.; Hejase, C.A.; Tarabara, V.V.; Fane, A.G.; Chew, J.W. Membrane-based separation for oily wastewater: A practical perspective. Water Res. 2019, 156, 347–365. [Google Scholar] [CrossRef]
- Zheng, J.; Chen, B.; Thanyamanta, W.; Hawboldt, K.; Zhang, B.; Liu, B. Offshore produced water management: A review of current practice and challenges in harsh/Arctic environments. Mar. Pollut. Bull. 2016, 104, 7–19. [Google Scholar] [CrossRef] [PubMed]
- da Silva, S.S.; Chiavone-Filho, O.; de Barros Neto, E.L.; Nascimento, C.A.O. Integration of processes induced air flotation and photo-Fenton for treatment of residual waters contaminated with xylene. J. Hazard. Mater. 2012, 199–200, 151–157. [Google Scholar] [CrossRef]
- Drewes, J.E.; Cath, T.; Xu, P.; Hancock, N.; Dahm, K.; Guerra, K.; Mayer, X.; Wait, A.; Heil, D. An Integrated Framework for the Treatment and Management of Produced Water. Research Partnership to Secure Energy for America: RPSEA. 2011. Available online: http://www.rpsea.org/0712212/ (accessed on 24 May 2023).
- Zhao, S.; Huang, G.; Cheng, G.; Wang, Y.; Fu, H. Hardness, COD and turbidity removals from produced water by electrocoagulation pretreatment prior to Reverse Osmosis membranes. Desalination 2014, 344, 454–462. [Google Scholar] [CrossRef]
- Li, C.; Deng, W.; Gao, C.; Xiang, X.; Feng, X.; Batchelor, B.; Li, Y. Membrane distillation coupled with a novel two-stage pretreatment process for petrochemical wastewater treatment and reuse. Sep. Purif. Technol. 2019, 224, 23–32. [Google Scholar] [CrossRef]
- Gregory, K.B.; Vidic, R.D.; Dzombak, D.A. Water management challenges associated with the production of shale gas by hydraulic fracturing. Elements 2011, 7, 181–186. [Google Scholar] [CrossRef]
- Kerr, R.A. Bursts Onto the Scene. Sci. Mag. 2010, 328, 1624–1626. [Google Scholar]
- Ikonnikova, S.A.; Male, F.; Scanlon, B.R.; Reedy, R.C.; McDaid, G. Projecting the Water Footprint Associated with Shale Resource Production: Eagle Ford Shale Case Study. Environ. Sci. Technol. 2017, 51, 14453–14461. [Google Scholar] [CrossRef]
- Jiménez, S.; Micó, M.M.; Arnaldos, M.; Medina, F.; Contreras, S. State of the art of produced water treatment. Chemosphere 2018, 192, 186–208. [Google Scholar] [CrossRef] [PubMed]
- Hedar, Y.; Budiyono. Pollution Impact and Alternative Treatment for Produced Water. E3S Web Conf. 2018, 31, 03004. [Google Scholar] [CrossRef]
- Abousnina, R.M.; Nghiem, L.D.; Bundschuh, J. Comparison between oily and coal seam gas produced water with respect to quantity, characteristics and treatment technologies: A review. Desalin. Water Treat. 2015, 54, 1793–1808. [Google Scholar] [CrossRef]
- Ottaviano, J.G.; Cai, J.; Murphy, R.S. Assessing the decontamination efficiency of a three-component flocculating system in the treatment of oilfield-produced water. Water Res. 2014, 52, 122–130. [Google Scholar] [CrossRef]
- Kondash, A.; Vengosh, A. Water Footprint of Hydraulic Fracturing. Environ. Sci. Technol. Lett. 2015, 2, 276–280. [Google Scholar] [CrossRef]
- Kondash, A.J.; Lauer, N.E.; Vengosh, A. The intensification of the water footprint of hydraulic fracturing. Sci. Adv. 2018, 5, eaax8764. [Google Scholar] [CrossRef] [PubMed]
- Vidic, R.D.; Brantley, S.L.; Vandenbossche, J.M.; Yoxtheimer, D.; Abad, J.D. Impact of shale gas development on regional water quality. Science 2013, 340, 1235009. [Google Scholar] [CrossRef]
- Mccabe, P.J. Encyclopedia of Sustainability Science and Technology; Springer: New York, NY, USA, 2012. [Google Scholar] [CrossRef]
- Dickhout, J.M.; Moreno, J.; Biesheuvel, P.M.; Boels, L.; Lammertink, R.G.H.; de Vos, W.M. Produced water treatment by membranes: A review from a colloidal perspective. J. Colloid Interface Sci. 2017, 487, 523–534. [Google Scholar] [CrossRef]
- Bagheri, M.; Roshandel, R.; Shayegan, J. Optimal selection of an integrated produced water treatment system in the upstream of oil industry. Process Saf. Environ. Prot. 2018, 117, 67–81. [Google Scholar] [CrossRef]
- Ntongha, O.; and Obire, O. Impact of Oil Field Wastewater from Santa Barbara Oil Rig Location on the Microbial Population of Santa Barbara River in Bayelsa State, Nigeria. Acta Sci. Microbiol. 2022, 45–51. [Google Scholar] [CrossRef]
- Barbot, E.; Vidic, N.S.; Gregory, K.B.; Vidic, R.D. Spatial and temporal correlation of water quality parameters of produced waters from Devonian-age shale following hydraulic fracturing. Environ. Sci. Technol. 2013, 47, 2562–2569. [Google Scholar] [CrossRef] [PubMed]
- Murali Mohan, A.; Hartsock, A.; Bibby, K.J.; Hammack, R.W.; Vidic, R.D.; Gregory, K.B. Microbial community changes in hydraulic fracturing fluids and produced water from shale gas extraction. Environ. Sci. Technol. 2013, 47, 13141–13150. [Google Scholar] [CrossRef]
- Soeder, D.J.; Kappel, W.M. Water Resources and Natural Gas Production from the Marcellus Shale; US Department of the Interior: Reston, VA, USA, 2009.
- Martin, J.P.; Hill, D.G.; Lombardi, T.E. Fractured shale gas potential in New York. Northeast. Geol. Environ. Sci. 2004, 26, 57–78. [Google Scholar]
- Bakke, T.; Klungsøyr, J.; Sanni, S. Environmental impacts of produced water and drilling waste discharges from the Norwegian offshore petroleum industry. Mar. Environ. Res. 2013, 92, 154–169. [Google Scholar] [CrossRef]
- Gazali, A.K.; Alkali, A.N.; Mohammed, Y.; Djauro, Y.; Muhammed, D.D.; Kodomi, M. Environmental Impact of Produced Water and Driiling Waste Discharges from the Niger Delta Petroleum Industry. IOSR J. Eng. 2017, 7, 22–29. [Google Scholar] [CrossRef]
- Robinson, D. Oil and gas: Water treatment in oil and gas production—Does it matter? Filtr. Sep. 2010, 47, 14–18. [Google Scholar] [CrossRef]
- Baza, J.; Chard, S. Produced water report: Regulations, current practices, and research needs. In Proceedings of the WEFTEC 2019-92nd Annual Water Environment Federation’s Technical Exhibition and Conference, Chicago, IL, USA, 21–25 September 2019; pp. 2483–2491. [Google Scholar]
- Veil, J. US Produced Water Volumes and Management Practices in 2012; Report Prepared for the Groundwater Protection Council; Groundwater Protection Council: Oklahoma City, OK, USA, 2015; p. 119. [Google Scholar]
- Veil, J. Produced Water Volumes and Management Practices for 2017; Ground Water Protection Council: Oklahoma City, OK, USA, 2020; Available online: https://www.gwref.net/ (accessed on 14 August 2023).
- Costa, T.C.; Hendges, L.T.; Temochko, B.; Mazur, L.P.; Marinho, B.A.; Weschenfelder, S.E.; Florido, P.L.; da Silva, A.; Ulson de Souza, A.A.; Guelli Ulson de Souza, S.M.A. Evaluation of the technical and environmental feasibility of adsorption process to remove water soluble organics from produced water: A review. J. Pet. Sci. Eng. 2022, 208, 109360. [Google Scholar] [CrossRef]
- PJSC Rosneft Oil Company. PJSC Rosneft Oil Company Annual Report; PJSC Rosneft Oil Company: Moscow, Russia, 2018; Available online: https://www.rosneft.com/upload/site2/document_file/a_report_2018_eng.pdf (accessed on 14 August 2023).
- ESCWA. ESCWA Water Development Report 6: The Water, Energy and Food Security Nexus in the Arab Region; ESCWA: Beirut, Lebanon, 2015. [Google Scholar]
- Petroleum Development Oman (PDO). Sustainability Report; Petroleum Development Oman (PDO): Muscat, Oman, 2018; Available online: https://www.pdo.co.om/en/news/publications/Publications%20Doc%20Library/PDO%20SR%202018_EA.pdf (accessed on 12 August 2023).
- Petrobras. Sustentabilidade; Petrobras: Rio de Janeiro, Brazil, 2017; Available online: https://sustentabilidad.ypf.com/assets/docs/en/YPF-Sustainability-report-2017.pdf (accessed on 12 August 2023).
- Petrobras. Sustentabilidade; Petrobras: Rio de Janeiro, Brazil, 2018; Available online: https://api.mziq.com/mzfilemanager/v2/d/25fdf098-34f5-4608-b7fa-17d60b2de47d/fd23adf5-6801-fcb1-c0fd-2c699bed5887?origin=1 (accessed on 12 August 2023).
- Saudi Aramco. This Is Energy, This Is Aramco. 2019. Available online: https://www.aramco.com/-/media/publications/corporate-reports/saudi-aramco-ara-2019-english.pdf (accessed on 12 May 2023).
- Cruz, H.; Law, Y.Y.; Guest, J.S.; Rabaey, K.; Batstone, D.; Laycock, B.; Verstraete, W.; Pikaar, I. Mainstream Ammonium Recovery to Advance Sustainable Urban Wastewater Management. Environ. Sci. Technol. 2019, 53, 11066–11079. [Google Scholar] [CrossRef]
- Gerritsen, M.G.; Durlofsky, L.J. Modeling fluid flow in oil reservoirs. Annu. Rev. Fluid Mech. 2005, 37, 211–238. [Google Scholar] [CrossRef]
- White, C.M.; Mungal, M.G. Mechanics and prediction of turbulent drag reduction with polymer additives. Annu. Rev. Fluid Mech. 2008, 40, 235–256. [Google Scholar] [CrossRef]
- Barati, R.; Liang, J.T. A review of fracturing fluid systems used for hydraulic fracturing of oil and gas wells. J. Appl. Polym. Sci. 2014, 131, 1–11. [Google Scholar] [CrossRef]
- Stringfellow, W.T.; Domen, J.K.; Camarillo, M.K.; Sandelin, W.L.; Borglin, S. Physical, chemical, and biological characteristics of compounds used in hydraulic fracturing. J. Hazard. Mater. 2014, 275, 37–54. [Google Scholar] [CrossRef] [PubMed]
- Kahrilas, G.A.; Blotevogel, J.; Stewart, P.S.; Borch, T. Biocides in hydraulic fracturing fluids: A critical review of their usage, mobility, degradation, and toxicity. Environ. Sci. Technol. 2015, 49, 16–32. [Google Scholar] [CrossRef] [PubMed]
- Xu, L.; Fu, Q. Ensuring better well stimulation in unconventional oil and gas formations by optimizing surfactant additives. In Proceedings of the Society of Petroleum Engineers Western Regional Meeting, Bakersfield, CA, USA, 21–23 March 2012; pp. 949–955. [Google Scholar] [CrossRef]
- Lester, Y.; Ferrer, I.; Thurman, E.M.; Sitterley, K.A.; Korak, J.A.; Aiken, G.; Linden, K.G. Characterization of hydraulic fracturing flowback water in Colorado: Implications for water treatment. Sci. Total Environ. 2015, 512–513, 637–644. [Google Scholar] [CrossRef]
- Nicot, J.P.; Scanlon, B.R. Water use for shale-gas production in Texas, U.S. Environ. Sci. Technol. 2012, 46, 3580–3586. [Google Scholar] [CrossRef] [PubMed]
- Raimi, D. Comment on “The intensification of the water footprint of hydraulic fracturing”. Sci. Adv. 2020, 6, aav2110. [Google Scholar] [CrossRef]
- Scanlon, B.R.; Reedy, R.C.; Nicot, J.P. Comparison of water use for hydraulic fracturing for unconventional oil and gas versus conventional oil. Environ. Sci. Technol. 2014, 48, 12386–12393. [Google Scholar] [CrossRef] [PubMed]
- Gallegos, T.J.; Varela, B.A.; Haines, S.S.; Engle, M.A. Hydraulic fracturing water use variability in the United States and potential environmental implications. Water Resour. Res. 2015, 51, 5839–5845. [Google Scholar] [CrossRef]
- Gallegos, T.; Varela, B. Trends in Hydraulic Fracturing Distributions and Treatment Fluids, Additives, Proppants, and Water Volumes Applied to Wells Drilled in the United States from 1947; USGS: Reston, VA, USA, 2014. Available online: https://pubs.usgs.gov/sir/2014/5131/ (accessed on 24 August 2023).
- Walker, E.L.; Anderson, A.M.; Read, L.K.; Hogue, T.S. Water Use for Hydraulic Fracturing of Oil and Gas in the South Platte River Basin, Colorado. J. Am. Water Resour. Assoc. 2017, 53, 839–853. [Google Scholar] [CrossRef]
- Lin, Z.; Lin, T.; Lim, S.; Hove, M.; Schuh, W. Impacts of Bakken Shale Oil Development on Regional Water Uses and Supply. JAWRA J. Am. Water Resour. Assoc. 2017, 54, 225–239. [Google Scholar] [CrossRef]
- Rosa, L.; Rulli, M.C.; Davis, K.F.; D’Odorico, P. The Water-Energy Nexus of Hydraulic Fracturing: A Global Hydrologic Analysis for Shale Oil and Gas Extraction. Earth’s Future 2017, 6, 745–756. [Google Scholar] [CrossRef]
- Freyman, M. Hydraulic Fracturing & Water Stress: Water Demand by the Numbers; Ceres: Boston, MA, USA, 2014; p. 85. [Google Scholar]
- Reig, P.; Luo, T.; Proctor, J.N. Global Shale Gas Development: Water Availability and Business Risks; World Resources Institute: Washington, DC, USA, 2014; pp. 1–80. Available online: https://www.wri.org/publication/global-shale-gas-development-water-availability-business-risks (accessed on 12 May 2023).
- Fathieh, F.; Kalmutzki, M.J.; Kapustin, E.A.; Waller, P.J.; Yang, J.; Yaghi, O.M. Practical water production from desert air. Sci. Adv. 2018, 4, eaat3198. [Google Scholar] [CrossRef]
- Scanlon, B.R.; Reedy, R.C.; Male, F.; Walsh, M. Water Issues Related to Transitioning from Conventional to Unconventional Oil Production in the Permian Basin. Environ. Sci. Technol. 2017, 51, 10903–10912. [Google Scholar] [CrossRef]
- Fasola, S.L.; Brudzinski, M.R.; Skoumal, R.J.; Langenkamp, T.; Currie, B.S.; Smart, K.J. Hydraulic Fracture Injection Strategy Influences the Probability of Earthquakes in the Eagle Ford Shale Play of South Texas. Geophys. Res. Lett. 2019, 46, 12958–12967. [Google Scholar] [CrossRef]
- Skoumal, R.J.; Ries, R.; Brudzinski, M.R.; Barbour, A.J.; Currie, B.S. Earthquakes Induced by Hydraulic Fracturing Are Pervasive in Oklahoma. J. Geophys. Res. Solid Earth 2018, 123, 10918–10935. [Google Scholar] [CrossRef]
- Murray, K.E. State-scale perspective on water use and production associated with oil and gas operations, Oklahoma, U.S. Environ. Sci. Technol. 2013, 47, 4918–4925. [Google Scholar] [CrossRef] [PubMed]
- Scanlon, B.R.; Weingarten, M.B.; Murray, K.E.; Reedy, R.C. Managing basin-scale fluid budgets to reduce injection-induced seismicity from the recent U.S. Shale oil revolution. Seismol. Res. Lett. 2019, 90, 171–182. [Google Scholar] [CrossRef]
- Ferguson, G. Deep injection of wastewater in the western Canada sedimentary basin. Groundwater 2015, 53, 187–194. [Google Scholar] [CrossRef]
- Webb, R.; Zodrow, K.R. Disposal of Water for Hydraulic Fracturing: Case Study on the U.S. In Regulating Water Security in Unconventional Oil and Gas; Buono, R., López Gunn, E., McKay, J., Staddon, C., Eds.; Water Security in a New World; Springer: Cham, Switzerland, 2020; p. 11. [Google Scholar] [CrossRef]
- Frohlich, C. Two-year survey comparing earthquake activity and injection-well locations in the Barnett Shale, Texas. Proc. Natl. Acad. Sci. USA 2012, 109, 13934–13938. [Google Scholar] [CrossRef] [PubMed]
- Frohlich, C.; De Shon, H.; Stump, B.; Hayward, C.; Hornbach, M.; Walter, J.I. A historical review of induced Earthquakes in Texas. Seismol. Res. Lett. 2016, 87, 1022–1038. [Google Scholar] [CrossRef]
- Weingarten, M.; Ge, S.; Godt, J.W.; Bekins, B.A.; Rubinstein, J.L. High-rate injection is associated with the increase in U.S. mid-continent seismicity. Science 2015, 348, 1336–1340. [Google Scholar] [CrossRef] [PubMed]
- Llewellyn, G.T.; Dorman, F.; Westland, J.L.; Yoxtheimer, D.; Grieve, P.; Sowers, T.; Humston-Fulmer, E.; Brantley, S.L. Evaluating a groundwater supply contamination incident attributed to Marcellus Shale gas development. Proc. Natl. Acad. Sci. USA 2015, 112, 6325–6330. [Google Scholar] [CrossRef] [PubMed]
- Jasechko, S.; Perrone, D. Hydraulic fracturing near domestic groundwater wells. Proc. Natl. Acad. Sci. USA 2017, 114, 13138–13143. [Google Scholar] [CrossRef]
- Rahm, B.G.; Riha, S.J. Evolving Shale Gas Management: Water Resource Risks, Impacts, and Lessons Learned. Environ. Sci. Process Impacts 2014, 16, 1400–1412. [Google Scholar] [CrossRef]
- Patterson, L.A.; Konschnik, K.E.; Wiseman, H.; Fargione, J.; Maloney, K.O.; Kiesecker, J.; Nicot, J.P.; Baruch-Mordo, S.; Entrekin, S.; Trainor, A.; et al. Unconventional Oil and Gas Spills: Risks, Mitigation Priorities, and State Reporting Requirements. Environ. Sci. Technol. 2017, 51, 2563–2573. [Google Scholar] [CrossRef] [PubMed]
- Brantley, S.L. Drinking Water While Fracking: Now and in the Future. Ground Water 2015, 53, 21–23. [Google Scholar]
- Faksness, L.G.; Grini, P.G.; Daling, P.S. Partitioning of semi-soluble organic compounds between the water phase and oil droplets in produced water. Mar. Pollut. Bull. 2004, 48, 731–742. [Google Scholar] [CrossRef]
- Zhao, L.; Chen, Z.; Lee, K. A Risk Assessment Model for Produced Water Discharge from Offshore Petroleum Platforms: Development and Validation. Mar. Pollut. Bull. 2008, 56, 1890–1897. [Google Scholar] [CrossRef]
- Hermosilla, D.; Merayo, N.; Gascó, A.; Blanco, Á. The Application of Advanced Oxidation Technologies to the Treatment of Effluents from the Pulp and Paper Industry: A Review. Environ. Sci. Pollut. Res. Int. 2015, 22, 168–191. [Google Scholar] [CrossRef]
- Dores, R.; Hussain, A.; Katebah, M.A.; Adham, S. Using Advanced Water Treatment Technologies to Treat Produced Water from the Petroleum Industry. In Proceedings of the Paper presented at the SPE International Production and Operations Conference & Exhibition, Doha, Qatar, 14–16 May 2012. [Google Scholar] [CrossRef]
- Bader, M. Seawater versus produced water in oil-fields water injection operations. Desalination 2006, 208, 159–168. [Google Scholar] [CrossRef]
- Oetjen, K.; Giddings CG, S.; McLaughlin, M.; Nell, M.; Blotevogel, J.; Helbling, D.E.; Mueller, D.; Higgins, C.P. Emerging analytical methods for the characterization and quantification of organic contaminants in flowback and produced water. Trends Environ. Anal. Chem. 2017, 15, 12–23. [Google Scholar] [CrossRef]
- Cho, H.; Jang, Y.; Koo, J.; Choi, Y.; Lee, S.; Sohn, J. Effect of pretreatment on fouling propensity of shale gas wastewater in membrane distillation process. Desalin. Water Treat. 2017, 57, 24566–24573. [Google Scholar] [CrossRef]
- He, C.; Vidic, R.D. Application of microfiltration for the treatment of Marcellus Shale flowback water: Influence of floc breakage on membrane fouling. J. Membr. Sci. 2016, 510, 348–354. [Google Scholar] [CrossRef]
- Blondes, M.S.; Gans, K.D.; Rowan, E.L.; Thordsen, J.J.; Reidy, M.E.; Engle, M.A.; Kharaka, Y.K.; Thomas, B.U.S. Geological Survey National Produced Waters Geochemical Database v2.2 Documentation; USGS: Reston, VA, USA, 2016; Volume 3, p. 28.
- Palacios, V. Baseline Groundwater Quality Testing Needs in the Eagle Ford Shale Region. Master’s Thesis, Duke University, Durham, NC, USA, 2012. Available online: http://hdl.handle.net/10161/5370 (accessed on 20 May 2023).
- Strong, L.C.; Gould, T.; Kasinkas, L.; Sadowsky, M.J.; Aksan, A.; Wackett, L.P. Biodegradation in Waters from Hydraulic Fracturing: Chemistry, Microbiology, and Engineering. J. Environ. Eng. 2014, 140, B4013001. [Google Scholar] [CrossRef]
- Hayes, T.; Severin, B.F. Barnett and Appalachian Shale Water Management and Reuse Technologies RPSEA Report No 08122-05; Project Report by Gas Technology Institute for Research Partnership to Secure Energy for America (RPSEA); RPSEA: Houston, TX, USA, 2012; Volume 1700, pp. 1–125. [Google Scholar]
- Zhang, H.; Xiong, Z.; Ji, F.; Lai, B.; Yang, P. Pretreatment of shale gas drilling flowback fluid (SGDF) by the microscale Fe0/persulfate/O3 process (mFe0/PS/O3). Chemosphere 2017, 176, 192–201. [Google Scholar] [CrossRef]
- Chen, G.; Wang, Z.; Nghiem, L.D.; Li, X.M.; Xie, M.; Zhao, B.; Zhang, M.; Song, J.; He, T. Treatment of shale gas drilling flowback fluids (SGDFs) by forward osmosis: Membrane fouling and mitigation. Desalination 2015, 366, 113–120. [Google Scholar] [CrossRef]
- Freedman, D.E.; Riley, S.M.; Jones, Z.L.; Rosenblum, J.S.; Sharp, J.O.; Spear, J.R.; Cath, T.Y. Biologically active filtration for fracturing flowback and produced water treatment. J. Water Process Eng. 2017, 18, 29–40. [Google Scholar] [CrossRef]
- Greenlee, L.F.; Lawler, D.F.; Freeman, B.D.; Marrot, B.; Moulin, P. Reverse Osmosis Desalination: Water Sources, Technology, and Today’s Challenges. Water Res. 2009, 43, 2317–2348. [Google Scholar] [CrossRef] [PubMed]
- Orem, W.; Tatu, C.; Varonka, M.; Lerch, H.; Bates, A.; Engle, M.; Crosby, L.; McIntosh, J. Organic substances in produced and formation water from unconventional natural gas extraction in coal and shale. Int. J. Coal Geol. 2014, 126, 20–31. [Google Scholar] [CrossRef]
- Kong, F.; Xin, J.F.; Wang, H.M.; Liu, X.N.; Wang, X.M.; Wen, X.; Chen, C.M.; Xie, Y.F. Application of coagulation-UF hybrid process for shale gas fracturing flowback water recycling: Performance and fouling analysis. J. Membr. Sci. 2017, 524, 460–469. [Google Scholar] [CrossRef]
- Liu, Y.; Wu, D.; Chen, M.; Ma, L.; Wang, H.; Wang, S. Wet air oxidation of fracturing flowback fluids over promoted bimetallic Cu-Cr catalyst. Catal. Commun. 2017, 90, 60–64. [Google Scholar] [CrossRef]
- Coday, B.D.; Almaraz, N.; Cath, T.Y. Forward osmosis desalination of oil and gas wastewater: Impacts of membrane selection and operating conditions on process performance. J. Membr. Sci. 2015, 488, 40–55. [Google Scholar] [CrossRef]
- Acharya, H.R.; Henderson, C.; Wang, H. Cost Effective Recovery of Low-TDS Frac Flowback Water for Re-Use; General Electric Co.: Boston, MA, USA, 2011; pp. 1–100. [Google Scholar]
- Khan, N.A.; Engle, M.; Dungan, B.; Holguin, F.O.; Xu, P.; Carroll, K.C. Volatile-organic molecular characterization of shale-oil produced water from the Permian Basin. Chemosphere 2016, 148, 126–136. [Google Scholar] [CrossRef] [PubMed]
- Coday, B.D.; Cath, T.Y. Forward Osmosis: Novel Desalination of Produced Water and Fracturing Flowback. J. Am. Water Works Assoc. 2014, 106, E55–E66. [Google Scholar] [CrossRef]
- Cho, H.; Choi, Y.; Lee, S. Effect of pretreatment and operating conditions on the performance of membrane distillation for the treatment of shale gas wastewater. Desalination 2018, 437, 195–209. [Google Scholar] [CrossRef]
- Chorghe, D.; Sari, M.A.; Chellam, S. Boron removal from hydraulic fracturing wastewater by aluminum and iron coagulation: Mechanisms and limitations. Water Res. 2017, 126, 481–487. [Google Scholar] [CrossRef] [PubMed]
- Shrestha, N.; Chilkoor, G.; Wilder, J.; Ren, Z.J.; Gadhamshetty, V. Comparative performances of microbial capacitive deionization cell and microbial fuel cell fed with produced water from the Bakken shale. Bioelectrochemistry 2018, 121, 56–64. [Google Scholar] [CrossRef]
- Monzon, O.; Yang, Y.; Kim, J.; Heldenbrand, A.; Li, Q.; Alvarez, P.J. Microbial fuel cell fed by Barnett Shale produced water: Power production by hypersaline autochthonous bacteria and coupling to a desalination unit. Biochem. Eng. J. 2017, 117, 87–91. [Google Scholar] [CrossRef]
- Rosenblum, J.S.; Sitterley, K.A.; Thurman, E.M.; Ferrer, I.; Linden, K.G. Hydraulic fracturing wastewater treatment by coagulation-adsorption for removal of organic compounds and turbidity. J. Environ. Chem. Eng. 2016, 4, 1978–1984. [Google Scholar] [CrossRef]
- Li, X.M.; Zhao, B.; Wang, Z.; Xie, M.; Song, J.; Nghiem, L.D.; He, T.; Yang, C.; Li, C.; Chen, G. Water reclamation from shale gas drilling flow-back fluid using a novel forward osmosis-vacuum membrane distillation hybrid system. Water Sci. Technol. 2014, 69, 1036–1044. [Google Scholar] [CrossRef]
- Shih, J.S.; Saiers, J.E.; Anisfeld, S.C.; Chu, Z.; Muehlenbachs, L.A.; Olmstead, S.M. Characterization and Analysis of Liquid Waste from Marcellus Shale Gas Development. Environ. Sci. Technol. 2015, 49, 9557–9565. [Google Scholar] [CrossRef] [PubMed]
- Thiel, G.P.; Lienhard, V.J.H. Treating produced water from hydraulic fracturing: Composition effects on scale formation and desalination system selection. Desalination 2014, 346, 54–69. [Google Scholar] [CrossRef]
- Miller, D.J.; Huang, X.; Li, H.; Kasemset, S.; Lee, A.; Agnihotri, D.; Hayes, T.; Paul, D.R.; Freeman, B.D. Fouling-resistant membranes for the treatment of flowback water from hydraulic shale fracturing: A pilot study. J. Membr. Sci. 2013, 437, 265–275. [Google Scholar] [CrossRef]
- Hawari, A.H.; Alkhatib, A.M.; Hafiz, M.; Das, P. A Novel Electrocoagulation Electrode Configuration for the Removal of Total Organic Carbon from Primary Treated Municipal Wastewater. Environ. Sci. Pollut. Res. Int. 2020, 27, 23888–23898. [Google Scholar] [CrossRef] [PubMed]
- Huang, L.; Fan, H.; Xie, H.; Huang, Z. Experimental study of treatment processes for shale gas fracturing flowback fluid in the eastern Sichuan Basin. Desalin. Water Treat. 2016, 57, 24299–24312. [Google Scholar] [CrossRef]
- Regnery, J.; Coday, B.D.; Riley, S.M.; Cath, T.Y. Solid-phase extraction followed by gas chromatography-mass spectrometry for the quantitative analysis of semi-volatile hydrocarbons in hydraulic fracturing wastewaters. Anal. Methods 2016, 8, 2058–2068. [Google Scholar] [CrossRef]
- Carrero-Parreño, A.; Reyes-Labarta, J.A.; Salcedo-Díaz, R.; Ruiz-Femenia, R.; Onishi, V.C.; Caballero, J.A.; Grossmann, I.E. Holistic Planning Model for Sustainable Water Management in the Shale Gas Industry. Ind. Eng. Chem. Res. 2018, 57, 13131–13143. [Google Scholar] [CrossRef]
- Xiong, B.; Zydney, A.L.; Kumar, M. Fouling of microfiltration membranes by flowback and produced waters from the Marcellus shale gas play. Water Res. 2016, 99, 162–170. [Google Scholar] [CrossRef]
- Sari, M.A.; Chellam, S. Mechanisms of boron removal from hydraulic fracturing wastewater by aluminum electrocoagulation. J. Colloid Interface Sci. 2015, 458, 103–111. [Google Scholar] [CrossRef]
- Ali, A.; Jacobsen, J.H.; Jensen, H.C.; Christensen, M.L.; Quist-Jensen, C.A. Treatment of Wastewater Solutions from Anodizing Industry by Membrane Distillation and Membrane Crystallization. Appl. Sci. 2019, 9, 287. [Google Scholar] [CrossRef]
- Lauer, N.E.; Harkness, J.S.; Vengosh, A. Brine Spills Associated with Unconventional Oil Development in North Dakota. Environ. Sci. Technol. 2016, 50, 5389–5397. [Google Scholar] [CrossRef]
- Al-Rekabi, S.W.; Qiang, H.; Qiang, W. Improvements in Wastewater Treatment Technology. Pakistan J. Nutr. 2007, 6, 104–110. [Google Scholar]
- Chang, H.; Liu, T.; He, Q.; Li, D.; Crittenden, J.; Liu, B. Removal of calcium and magnesium ions from shale gas flowback water by chemically activated zeolite. Water Sci. Technol. 2017, 76, 575–583. [Google Scholar] [CrossRef]
- Kim, J.; Kim, J.; Hong, S. Recovery of water and minerals from shale gas produced water by membrane distillation crystallization. Water Res. 2018, 129, 447–459. [Google Scholar] [CrossRef]
- Bell, E.A.; Poynor, T.E.; Newhart, K.B.; Regnery, J.; Coday, B.D.; Cath, T.Y. Produced water treatment using forward osmosis membranes: Evaluation of extended-time performance and fouling. J. Membr. Sci. 2017, 525, 77–88. [Google Scholar] [CrossRef]
- Abualfaraj, N.; Gurian, P.L.; Olson, M.S. Characterization of Marcellus shale flowback water. Environ. Eng. Sci. 2014, 31, 514–524. [Google Scholar] [CrossRef]
- Rosenblum, J.; Thurman, E.M.; Ferrer, I.; Aiken, G.; Linden, K.G. Organic Chemical Characterization and Mass Balance of a Hydraulically Fractured Well: From Fracturing Fluid to Produced Water over 405 Days. Environ. Sci. Technol. 2017, 51, 14006–14015. [Google Scholar] [CrossRef]
- Ziemkiewicz, P.F.; Thomas He, Y. Evolution of water chemistry during Marcellus Shale gas development: A case study in West Virginia. Chemosphere 2017, 134, 224–231. [Google Scholar] [CrossRef]
- Masooleh, M.S.; Bazgir, S.; Tamizifar, M.; Nemati, A. Adsorption of Petroleum Hydrocarbons on Organoclay. J. Appl. Chem. Res. 2010, 4, 19–23. [Google Scholar]
- Barry, E.; Burns, R.; Chen, W.; De Hoe, G.X.; De Oca, J.M.M.; de Pablo, J.J.; Dombrowski, J.; Elam, J.W.; Felts, A.M.; Galli, G.; et al. Advanced Materials for Energy-Water Systems: The Central Role of Water/Solid Interfaces in Adsorption, Reactivity, and Transport. Chem. Rev. 2021, 121, 9450–9501. [Google Scholar] [CrossRef] [PubMed]
- Geng, H.; Zhong, Q.Z.; Li, J.; Lin, Z.; Cui, J.; Caruso, F.; Hao, J. Metal Ion-Directed Functional Metal-Phenolic Materials. Chem. Rev. 2022, 122, 11432–11473. [Google Scholar] [CrossRef]
- Dawoud, H.D.; Saleem, H.; Alnuaimi, N.A.; Zaidi, S.J. Characterization and treatment technologies applied for produced water in Qatar. Water 2021, 13, 3573. [Google Scholar] [CrossRef]
- Liu, Y.; Lu, H.; Li, Y.; Xu, H.; Pan, Z.; Dai, P.; Wang, H.; Yang, Q. A review of treatment technologies for produced water in offshore oil and gas fields. Sci. Total Environ. 2021, 775, 145485. [Google Scholar] [CrossRef]
- Majdalani, J. On the generalized Beltramian motion of the bidirectional vortex in a conical cyclone. Phys. Fluids 2022, 34, 36604. [Google Scholar] [CrossRef]
- Lefebvre, O.; Moletta, R. Treatment of Organic Pollution in Industrial Saline Wastewater: A Literature Review. Water Res. 2006, 40, 3671–3682. [Google Scholar] [CrossRef] [PubMed]
- Rawindran, H.; Krishnan, S.; Sinnathambi, C.M. A Review on overboard CEOR discharged produced water treatment and remediation. IOP Conf. Ser. Mater. Sci. Eng. 2017, 206, 12086. [Google Scholar] [CrossRef]
- Schuetz, S.; Mayer, G.; Bierdel, M.; Piesche, M. Investigations on the flow and separation behaviour of hydrocyclones using computational fluid dynamics. Int. J. Miner. Process. 2004, 73, 229–237. [Google Scholar] [CrossRef]
- Antonopoulou, M.; Evgenidou, E.; Lambropoulou, D.; Konstantinou, I. A Review on Advanced Oxidation Processes for the Removal of Taste and Odor Compounds from Aqueous Media. Water Res. 2014, 53, 215–234. [Google Scholar] [CrossRef]
- Warsinger, D.M.; Mistry, K.H.; Nayar, K.G.; Chung, H.W.; Lienhard, J.H. Entropy generation of desalination powered by variable temperature waste heat. Entropy 2015, 17, 7530–7566. [Google Scholar] [CrossRef]
- Ariga, K.; Lee, M.V.; Mori, T.; Yu, X.-Y.; Hill, J.P. Two-dimensional nanoarchitectonics based on self-assembly. Adv. Colloid Interface Sci. 2010, 154, 20–29. [Google Scholar] [CrossRef] [PubMed]
- Khader, E.H.; Mohammed, T.J.; Mirghaffari, N.; Salman, A.D.; Juzsakova, T.; Abdullah, T.A. Removal of organic pollutants from produced water by batch adsorption treatment. Clean Technol. Environ. Policy 2020, 24, 713–720. [Google Scholar] [CrossRef]
- Lata, S.; Singh, P.K.; Samadder, S.R. Regeneration of adsorbents and recovery of heavy metals: A review. Int. J. Environ. Sci. Technol. 2015, 12, 1461–1478. [Google Scholar] [CrossRef]
- Gao, Q.; Zhu, H.; Luo, W.-J.; Wang, S.; Zhou, C.G. Preparation, characterization, and adsorption evaluation of chitosan-functionalized mesoporous composites. Microporous Mesoporous Mater. 2014, 193, 15–26. [Google Scholar] [CrossRef]
- Dabrowski, A. Adsorption—From theory to practice. Adv. Colloid Interface Sci. 2001, 93, 135–224. [Google Scholar] [CrossRef] [PubMed]
- Puri, C.; Sumana, G. Highly effective adsorption of crystal violet dye from contaminated water using graphene oxide intercalated montmorillonite nanocomposite. Appl. Clay Sci. 2018, 166, 102–112. [Google Scholar] [CrossRef]
- Wang, L.; Shi, C.; Pan, L.; Zhang, X.; Zou, J.J. Rational design, synthesis, adsorption principles and applications of metal oxide adsorbents: A review. Nanoscale 2020, 12, 4790–4815. [Google Scholar] [CrossRef] [PubMed]
- Eldin, M.S.M.; Aggour, Y.A.; Elaassar, M.R.; Beghet, G.E.; Atta, R.R. Development of nano-crosslinked polyacrylonitrile ions exchanger particles for dye removal: Kinetic, isotherm, and thermodynamic studies. Desalin. Water Treat 2020, 175, 24911. [Google Scholar]
- White, J.E.; Catallo, W.J.; Legendre, B.L. Biomass pyrolysis kinetics: A comparative critical review with relevant agricultural residue case studies. J. Anal. Appl. Pyrolysis 2011, 91, 1–33. [Google Scholar] [CrossRef]
- Brandani, S. Kinetics of Liquid Phase Batch Adsorption Experiments. Adsorption 2021, 27, 353–368. [Google Scholar] [CrossRef]
- Eow, J.S.; Ghadiri, M. Electrostatic Enhancement of Coalescence of Water Droplets in Oil: A Review of the Technology. Chem. Eng. J. 2002, 85, 357–368. [Google Scholar] [CrossRef]
- Röhrs, J.; Dagestad, K.-F.; Asbjørnsen, H.; Nordam, T.; Skancke, J.; Jones, C.E.; Brekke, C. The Effect of Vertical Mixing on the Horizontal Drift of Oil Spills. Ocean Sci. 2018, 14, 1581–1601. [Google Scholar] [CrossRef]
- Salem, F.; Thiemann, T. Produced Water from Oil and Gas Exploration—Problems, Solutions and Opportunities. J. Water Resour. Prot. 2022, 14, 142–185. [Google Scholar] [CrossRef]
- López-Vazquez, C.M.; Fall, C. Improvement of a gravity oil separator using a designed experiment. Water Air Soil Pollut. 2004, 157, 33–52. [Google Scholar] [CrossRef]
- Pintor, A.M.A.; Vilar, V.J.P.; Botelho, C.M.S.; Boaventura, R.A.R. Oil and grease removal from wastewaters: Sorption treatment as an alternative to state-of-the-art technologies. A critical review. Chem. Eng. J. 2016, 297, 229–255. [Google Scholar] [CrossRef]
- Wang, J.; Tanuwidjaja, D.; Bhattacharjee, S.; Edalat, A.; Jassby, D.; Hoek, E.M.V. Produced water desalination via pervaporative distillation. Water 2020, 12, 3560. [Google Scholar] [CrossRef]
- Forero, J.-E.; Ortíz, O.-P.; Nariño, F.-A.; Díaz, J.; Peña, H. Design and development of a high efficiency tank for crude oil dehydration (I). CT&F-Cienc. Tecnología Futuro 2008, 3, 185–199. [Google Scholar]
- Saththasivam, J.; Loganathan, K.; Sarp, S. An overview of oil–water separation using gas flotation systems. Chemosphere 2016, 144, 671–680. [Google Scholar] [CrossRef]
- Pal, M.S.; Bhatia, M. Current Status, Topographical Constraints, and Implementation Strategy of Municipal Solid Waste in India: A Review. Arab. J. Geosci. 2022, 15, 1176. [Google Scholar] [CrossRef]
- Liu, S.; Wang, Q.; Ma, H.; Huang, P.; Li, J.; Kikuchi, T. Effect of micro-bubbles on coagulation flotation process of dyeing wastewater. Sep. Purif. Technol. 2010, 71, 337–346. [Google Scholar] [CrossRef]
- Hocking, M.B. Handbook of Chemical Technology and Pollution Control; Elsevier: Amsterdam, The Netherlands, 2016. [Google Scholar]
- Piccioli, M.; Aanesen, S.V.; Zhao, H.; Dudek, M.; Øye, G. Gas Flotation of Petroleum Produced Water: A Review on Status, Fundamental Aspects, and Perspectives. Energy Fuels 2020, 34, 15579–15592. [Google Scholar] [CrossRef]
- Ayoub, M. Performance Evaluation of an Oily Industrial Wastewater Treatment System Using the Application of Activated Sludge Model No.3. Water Environ. J. 2023. [Google Scholar] [CrossRef]
- Hu, G.; Li, J.; Zeng, G. Recent development in the treatment of oily sludge from petroleum industry: A review. J. Hazard. Mater. 2013, 261, 470–490. [Google Scholar] [CrossRef]
- Barani, M.; Bazgir, S.; Hosseini, M.K.; Hosseini, P.K. Eco-facile application of electrospun nanofibers to the oil-water emulsion separation via coalescing filtration in pilot-scale and beyond. Process Saf. Environ. Prot. 2021, 148, 342–357. [Google Scholar] [CrossRef]
- da Silva Almeida, F.B.P.; Esquerre, K.P.S.O.R.; Soletti, J.I.; De Farias Silva, C.E. Coalescence process to treat produced water: An updated overview and environmental outlook. Environ. Sci. Pollut. Res. 2019, 26, 28668–28688. [Google Scholar] [CrossRef]
- Mautner, A. Nanocellulose water treatment membranes and filters: A review. Polym. Int. 2020, 69, 741–751. [Google Scholar] [CrossRef]
- Bello, O.S.; Bello, I.A.; Adegoke, K.A. Adsorption of dyes using different types of sand: A review. S. Afr. J. Chem. 2013, 66, 117–129. [Google Scholar]
- Van der Bruggen, B.; Vandecasteele, C.; Van Gestel, T.; Doyen, W.; Leysen, R. A review of pressure-driven membrane processes in wastewater treatment and drinking water production. Environ. Progress 2003, 22, 46–56. [Google Scholar] [CrossRef]
- Vignarooban, K.; Xu, X.; Arvay, A.; Hsu, K.; Kannan, A.M. Heat transfer fluids for concentrating solar power systems—A review. Appl. Energy 2015, 146, 383–396. [Google Scholar] [CrossRef]
- Abuhasel, K.; Kchaou, M.; Alquraish, M.; Munusamy, Y.; Jeng, Y.T. Oily Wastewater Treatment: Overview of Conventional and Modern Methods, Challenges, and Future Opportunities. Water 2021, 13, 980. [Google Scholar] [CrossRef]
- Bhargava, A. Physico-chemical wastewater treatment technologies: An overview. Int. J. Sci. Res. Educ. 2016, 4, 5308–5319. [Google Scholar]
- Adetunji, A.I.; Olaniran, A.O. Treatment of Industrial Oily Wastewater by Advanced Technologies: A Review. Appl. Water Sci. 2021, 11, 98. [Google Scholar] [CrossRef]
- Santos, E.V.; Bezerra Rocha, J.H.; Araújo, D.M.; Moura, D.C.; Martínez-Huitle, C.A. Decontamination of Produced Water Containing Petroleum Hydrocarbons by Electrochemical Methods: A Minireview. Environ. Sci. Pollut. Res. 2014, 21, 8432–8441. [Google Scholar] [CrossRef]
- Zhao, C.; Zhou, J.; Yan, Y.; Yang, L.; Xing, G.; Li, H.; Wu, P.; Wang, M.; Zheng, H. Application of coagulation/flocculation in oily wastewater treatment: A review. Sci. Total Environ. 2021, 765, 142795. [Google Scholar] [CrossRef]
- Abdulquadir, M.; Al-Ghouti, M.A.; Das, P.; Abu-Dieyeh, M.H.; Ahmed, T.; Aljabri, H. Potential Application of Microalgae in Produced Water Treatment. Desalin. Water Treat. 2018, 135, 47–58. [Google Scholar]
- Al-Ghouti, M.A.; Al-Kaabi, M.A.; Ashfaq, M.Y.; Da’na, D.A. Produced water characteristics, treatment and reuse: A review. J. Water Process Eng. 2019, 28, 222–239. [Google Scholar] [CrossRef]
- Hethnawi, A.; Mosleh, A.; Nassar, N.N. Nanoparticles for Cleaning up Oil Sands Process-Affected Water. In Nanoparticles: An Emerging Technology for Oil Production and Processing Applications; Springer: Berlin/Heidelberg, Germany, 2021; pp. 445–496. [Google Scholar]
- Igunnu, E.T.; Chen, G.Z. Produced water treatment technologies. Int. J. Low-Carbon Technol. 2012, 9, 157–177. [Google Scholar] [CrossRef]
- Wu, W.; Huang, Z.-H.; Lim, T.-T. Recent development of mixed metal oxide anodes for electrochemical oxidation of organic pollutants in water. Appl. Catal. A Gen. 2014, 480, 58–78. [Google Scholar] [CrossRef]
- Sirés, I.; Brillas, E.; Oturan, M.A.; Rodrigo, M.A.; Panizza, M. Electrochemical advanced oxidation processes: Today and tomorrow. A review. Environ. Sci. Pollut. Res. 2014, 21, 8336–8367. [Google Scholar] [CrossRef]
- Sehar, T.; Sheikh, G.G.; Zargar, M.Y.; Baba, Z.A. Identification and Screening of Earthworm Species from Various Temperate Areas of Kashmir Valley for Vermicomposting. Adv. Recycl. Waste Manag. 2016, 1, 102. [Google Scholar]
- Habieeb, A.R.; Kabeel, A.E.; Sultan, G.I.; Abdelsalam, M.M. Advancements in Water Desalination Through Artificial Intelligence: A Comprehensive Review of AI-Based Methods for Reverse Osmosis Membrane Processes. Water Conserv. Sci. Eng. 2023, 8, 53. [Google Scholar] [CrossRef]
- Davis, T.A.; Grebenyuk, V.; Grebenyuk, O. Electromembrane processes. In Membrane Technology: In the Chemical Industry; Willey: Hoboken, NJ, USA, 2001; pp. 222–267. [Google Scholar]
- Hayes, T.; Arthur, D. Overview of emerging produced water treatment technologies. In Proceedings of the 11th Annual International Petroleum Environmental Conference, Albuquerque, NM, USA, 11–15 October 2004; p. 201512. [Google Scholar]
- Sosa-Fernandez, P.A.; Post, J.W.; Ramdlan, M.S.; Leermakers, F.A.M.; Bruning, H.; Rijnaarts, H.H.M. Improving the performance of polymer-flooding produced water electrodialysis through the application of pulsed electric field. Desalination 2020, 484, 114424. [Google Scholar] [CrossRef]
- Natarajan, S.; Bajaj, H.C.; Tayade, R.J. Recent advances based on the synergetic effect of adsorption for removal of dyes from wastewater using photocatalytic process. J. Environ. Sci. 2018, 65, 201–222. [Google Scholar] [CrossRef]
- Mezher, T.; Fath, H.; Abbas, Z.; Khaled, A. Techno-economic assessment and environmental impacts of desalination technologies. Desalination 2011, 266, 263–273. [Google Scholar] [CrossRef]
- Ge, J.; Zhang, Y.; Heo, Y.-J.; Park, S.-J. Advanced design and synthesis of composite photocatalysts for the remediation of wastewater: A review. Catalysts 2019, 9, 122. [Google Scholar] [CrossRef]
- Li, C.; Li, J.; Wang, N.; Zhao, Q.; Wang, P. Status of the treatment of produced water containing polymer in oilfields: A review. J. Environ. Chem. Eng. 2021, 9, 105303. [Google Scholar] [CrossRef]
- Dong, H.; Zeng, G.; Tang, L.; Fan, C.; Zhang, C.; He, X.; He, Y. An overview on limitations of TiO2-based particles for photocatalytic degradation of organic pollutants and the corresponding countermeasures. Water Res. 2015, 79, 128–146. [Google Scholar] [CrossRef] [PubMed]
- Mudhoo, A.; Bhatnagar, A.; Rantalankila, M.; Srivastava, V.; Sillanpää, M. Endosulfan removal through bioremediation, photocatalytic degradation, adsorption and membrane separation processes: A review. Chem. Eng. J. 2019, 360, 912–928. [Google Scholar] [CrossRef]
- Elsaid, K.; Kamil, M.; Sayed, E.T.; Abdelkareem, M.A.; Wilberforce, T.; Olabi, A. Environmental impact of desalination technologies: A review. Sci. Total Environ. 2020, 748, 141528. [Google Scholar] [CrossRef]
- Millar, G.J.; Lin, J.; Arshad, A.; Couperthwaite, S.J. Evaluation of electrocoagulation for the pre-treatment of coal seam water. J. Water Process Eng. 2014, 4, 166–178. [Google Scholar] [CrossRef]
- Hong, P.K.; Xiao, T. Treatment of oil spill water by ozonation and sand filtration. Chemosphere 2013, 91, 641–647. [Google Scholar] [CrossRef]
- Druskovic, M.; Vouk, D.; Posavcic, H.; Halkijevic, I.; Nad, K. The Application of Electrochemical Processes in Oily Wastewater Treatment: A Review. J. Environ. Sci. Health A Tox Hazard Subst Environ Eng. 2021, 56, 1373–1386. [Google Scholar] [CrossRef] [PubMed]
- Knapik, E. Biodemulsification combined with fixed bed biosorption for the recovery of crude oil from produced water. J. Water Process Eng. 2020, 38, 101614. [Google Scholar] [CrossRef]
- Kuyukina, M.S.; Krivoruchko, A.V.; Ivshina, I.B. Advanced Bioreactor Treatments of Hydrocarbon-Containing Wastewater. Applied Sciences 2020, 10, 831. [Google Scholar] [CrossRef]
- Pal, S.; Banat, F.; Almansoori, A.; Abu Haija, M. Review of technologies for biotreatment of refinery wastewaters: Progress, challenges, and future opportunities. Environ. Technol. Rev. 2016, 5, 12–38. [Google Scholar] [CrossRef]
- Mousa, I.E. Total petroleum hydrocarbon degradation by hybrid electrobiochemical reactor in oilfield produced water. Mar. Pollut. Bull. 2016, 109, 356–360. [Google Scholar] [CrossRef] [PubMed]
- Tong, K.; Zhang, Y.; Liu, G.; Ye, Z.; Chu, P.K. Treatment of heavy oil wastewater by a conventional activated sludge process coupled with an immobilized biological filter. Int. Biodeterior. Biodegrad. 2013, 84, 65–71. [Google Scholar] [CrossRef]
- Zolfaghari, M.; Drogui, P.; Blais, J.F. Removal of Macro-Pollutants in Oily Wastewater Obtained from Soil Remediation Plant Using Electro-Oxidation Process. Environ. Sci. Pollut. Res. Int. 2018, 25, 7748–7757. [Google Scholar] [CrossRef]
- Ezazi, M.; Quazi, M.M.; Taheri, H. Recent Studies of Membranes for Liquids Separation and Water Treatment. Membranes 2023, 13, 779. [Google Scholar] [CrossRef]
- Yalcinkaya, F.; Boyraz, E.; Maryska, J.; Kucerova, K. A Review on Membrane Technology and Chemical Surface Modification for the Oily Wastewater Treatment. Materials 2020, 13, 493. [Google Scholar] [CrossRef]
- Yang, X.; Wen, Y.; Li, Y.; Yan, L.; Tang, C.Y.; Ma, J.; Darling, S.B.; Shao, L. Engineering In Situ Catalytic Cleaning Membrane Via Prebiotic-Chemistry-Inspired Mineralization. Adv. Mater. 2023, 2306626. [Google Scholar] [CrossRef] [PubMed]
- Lee, H.; Dellatore, S.M.; Miller, W.M.; Messersmith, P.B. Mussel-inspired surface chemistry for multifunctional coatings. Science 2007, 318, 426–430. [Google Scholar] [CrossRef]
- Yang, X.; Martinson, A.B.F.; Elam, J.W.; Shao, L.; Darling, S.B. Water treatment based on atomically engineered materials: Atomic layer deposition and beyond. Matter 2021, 4, 3515–3548. [Google Scholar] [CrossRef]
- Yang, X.; Sun, P.; Zhang, H.; Xia, Z.; Waldman, R.Z.; Mane, A.U.; Elam, J.W.; Shao, L.; Darling, S.B. Polyphenol-Sensitized Atomic Layer Deposition for Membrane Interface Hydrophilization. Adv. Funct. Mater. 2020, 30, 1910062. [Google Scholar] [CrossRef]
- Wieszczycka, K.; Staszak, K.; Woźniak-Budych, M.J.; Litowczenko, J.; Maciejewska, B.M.; Jurga, S. Surface Functionalization—The Way for Advanced Applications of Smart Materials. Coord. Chem. Rev. 2021, 436, 213846. [Google Scholar] [CrossRef]
- Jain, P.; Sharma, M.; Dureja, P.; Sarma, P.M.; Lal, B. Bioelectrochemical approaches for removal of sulfate, hydrocarbon, and salinity from produced water. Chemosphere 2017, 166, 96–108. [Google Scholar] [CrossRef]
- Ghafoori, S.; Omar, M.; Koutahzadeh, N.; Zendehboudi, S.; Malhas, R.N.; Mohamed, M.; Al-Zubaidi, S.; Redha, K.; Baraki, F.; Mehrvar, M. New advancements, challenges, and future needs on treatment of oilfield produced water: A state-of-the-art review. Sep. Purif. Technol. 2022, 289, 120652. [Google Scholar] [CrossRef]
- Michael-Kordatou, I.; Michael, C.; Duan, X.; He, X.; Dionysiou, D.D.; Mills, M.A.; Fatta-Kassinos, D. Dissolved Effluent Organic Matter: Characteristics and Potential Implications in Wastewater Treatment and Reuse Applications. Water Res. 2015, 77, 213–248. [Google Scholar] [CrossRef] [PubMed]
- Subramani, A.; Jacangelo, J.G. Emerging desalination technologies for water treatment: A critical review. Water Res. 2015, 75, 164–187. [Google Scholar] [CrossRef]
- Khor, C.M.; Wang, J.; Li, M.; Oettel, B.A.; Kaner, R.B.; Jassby, D.; Hoek, E.M.V. Performance, energy and cost of produced water treatment by chemical and electrochemical coagulation. Water 2020, 12, 3426. [Google Scholar] [CrossRef]
- Alkhudhiri, A.; Darwish, N.; Hilal, N. Produced water treatment: Application of Air Gap Membrane Distillation. Desalination 2013, 309, 46–51. [Google Scholar] [CrossRef]
- Xie, Z.; Diao, S.; Xu, R.; Wei, G.; Wen, J.; Hu, G.; Tang, T.; Jiang, L.; Li, M.; Huang, H. Construction of carboxylated-GO and MOFs composites for efficient removal of heavy metal ions. Appl. Surf. Sci. 2023, 636, 157827. [Google Scholar] [CrossRef]
- Xu, R.; Wei, G.; Xie, G.; Diao, S.; Wen, J.; Tang, T.; Jiang, L.; Li, M.; Hu, G. V2C MXene–modified g-C3N4 for enhanced visible-light photocatalytic activity. J. Alloys Compd. 2023, 970, 172656. [Google Scholar] [CrossRef]
- Darling, S.B. Perspective: Interfacial materials at the interface of energy and water. J. Appl. Phys. 2018, 124, 030901. [Google Scholar] [CrossRef]
- da Motta, A.R.P.; Borges, C.P.; Kiperstok, A.; Esquerre, K.P.; Araujo, P.M.; da Paz Nogueira Branco, L. Treatment of petroleum produced water for oil removal by membrane separation processes: Review. Sanit. Environ. Eng. 2013, 18, 15–26. [Google Scholar] [CrossRef]
- Weschenfelder, S.E.; Mello, A.C.C.; Borges, C.P.; Campos, J.C. Oilfield produced water treatment by ceramic membranes: Preliminary process cost estimation. Desalination 2015, 360, 81–86. [Google Scholar] [CrossRef]
- Chang, H.; Li, T.; Liu, B.; Vidic, R.D.; Elimelech, M.; Crittenden, J.C. Potential and implemented membrane-based technologies for the treatment and reuse of flowback and produced water from shale gas and oil plays: A review. Desalination 2019, 455, 34–57. [Google Scholar] [CrossRef]
- Garland, E. Environmental regulatory framework in Europe: An update. In Proceedings of the SPE/EPA/DOE Exploration and Production Environmental Conference, Galveston, TX, USA, 7–9 March 2005. [Google Scholar]
- Shaffer, D.L.; Arias Chavez, L.H.; Ben-Sasson, M.; Romero-Vargas Castrillón, S.; Yip, N.Y.; Elimelech, M. Desalination and reuse of high-salinity shale gas produced water: Drivers, technologies, and future directions. Environ. Sci. Technol. 2013, 47, 9569–9583. [Google Scholar] [CrossRef]
- Lin, L.; Jiang, W.; Chen, L.; Xu, P.; Wang, H. Treatment of produced water with photocatalysis: Recent advances, affecting factors and future research prospects. Catalysts 2020, 10, 924. [Google Scholar] [CrossRef]
- Xiao, F. Characterization, and treatment of Bakken oilfield produced water as a potential source of value-added elements. Sci. Total Environ. 2021, 770, 145283. [Google Scholar] [CrossRef]
Disclaimer/Publisher’s Note: The statements, opinions and data contained in all publications are solely those of the individual author(s) and contributor(s) and not of MDPI and/or the editor(s). MDPI and/or the editor(s) disclaim responsibility for any injury to people or property resulting from any ideas, methods, instructions or products referred to in the content. |
© 2023 by the authors. Licensee MDPI, Basel, Switzerland. This article is an open access article distributed under the terms and conditions of the Creative Commons Attribution (CC BY) license (https://creativecommons.org/licenses/by/4.0/).














