Experimental Research on Ice Density Measurement Method Based on Ultrasonic Waves
Abstract
:1. Introduction
2. Ice Sample Preparation and Test Methods
2.1. Ice Sample Preparation
2.2. Testing Instruments
2.3. Test Methods
3. Results
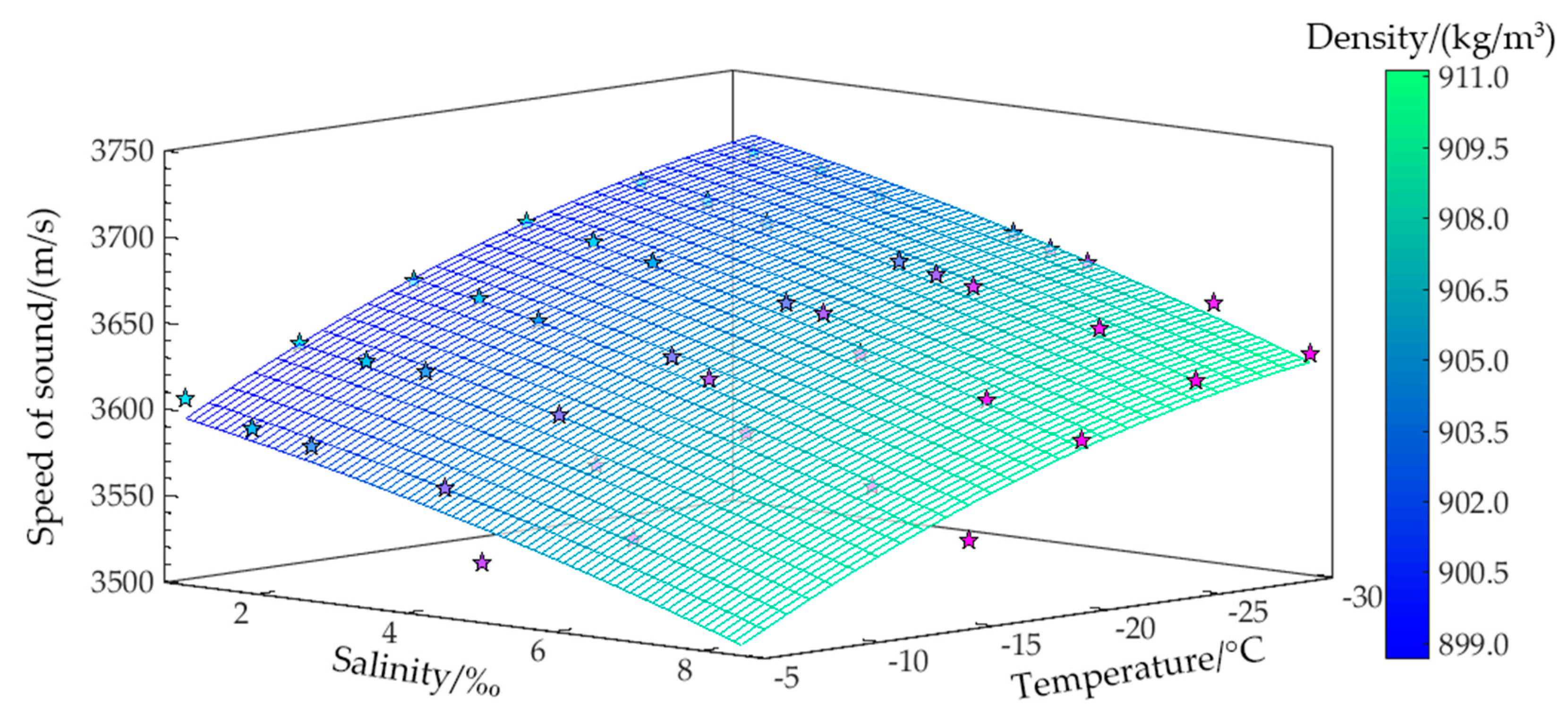
3.1. Effect of Ice Sample Temperature and Salinity on the Speed of Sound
3.2. Effect of Ice Sample Temperature and Salinity on Density
3.3. Exploration of the Relationship between Freshwater Ice Density and the Speed of Sound
3.4. Exploration of the Relationship between Saltwater Ice Density and the Speed of Sound
4. Development and Evaluation of Ice Density Prediction Model
5. Conclusions
- (1)
- In the temperature range of −30~−5 °C, there is a good quadratic relationship between the speed of sound in the ice samples and both temperature and salinity. When the salinity remains the same, the speed of sound in the ice samples decreases gradually with an increase in temperature. The change in the speed of sound is not obvious when the temperature rises from −30 °C to −25 °C, and the speed of sound decreases faster as the temperature continues to rise. When the ice temperature remains the same, with increasing salinity of the ice samples, the value of the speed of sound has different degrees of reduction, and the rate of change in the speed of sound in the high-salinity range is lower than that in the low-salinity range. Compared with saltwater ice, freshwater ice has a simpler structure, and when the ice temperature remains the same, the speed of sound in freshwater ice is significantly greater than that in saltwater ice.
- (2)
- There is a good linear relationship between the density of ice samples and both temperature and salinity in the temperature range of −30 to −5 °C. With an increase in temperature, the density of the ice samples with different salinities showed a tendency to decrease. The density of freshwater ice was slightly greater than that of saltwater ice, and its value varied within the interval of 911.9~915.5 kg/m3. When the ice temperature remains the same, the density of saltwater ice increases with an increase in salinity, and its value varies in the range of 899.8–912.9 kg/m3; compared with the temperature, the trend of saltwater ice density with a change in salinity is more sensitive.
- (3)
- There is a linearly increasing relationship between the density of freshwater ice and the speed of sound; the greater the density, the greater the speed of sound. The relationship between the density of saltwater ice and the speed of sound shows different regularities, depending on the ice temperature and salinity. For the same ice temperature, the density of saltwater ice decreases gradually with an increasing speed of sound; for the same salinity, the density of saltwater ice increases with an increasing speed of sound. Using the rules of change in ice density with temperature, salinity, and sound speed obtained from the test, the prediction model of ice density on temperature, salinity, and sound speed was established, and the model prediction accuracy is good, which can satisfy the demand for the prediction of ice density.
Author Contributions
Funding
Data Availability Statement
Conflicts of Interest
References
- Wang, J.; Li, Z.; Cheng, T.; Sui, J. Time-dependent local scour around bridge piers under ice cover-an experimental study. J. Hydraul. Eng. 2021, 52, 1174–1182. [Google Scholar]
- Ding, F.; Mao, Z. Ice cover growth-decay proces of pond in cold region. J. Hydraul. Eng. 2021, 52, 349–358. [Google Scholar]
- Wang, E.; Hu, S.; Han, H.; Liu, C. Research on ice concentration in Heilong River based on the UAV low-altitude remote sensing and OTSU algorithm. J. Hydraul. Eng. 2022, 53, 68–77. [Google Scholar]
- Li, B.; Pang, X.; Ji, Q. Analyses of arctic sea ice density variation and its impact on sea ice thickness retrieval. Chin. J. Polar Res. 2019, 31, 258–266. [Google Scholar]
- Li, Z.; Zhou, Q.; Wang, E.; Jia, Q. Experimental study on the loading mode effects on the ice uniaxial compressive strength. J. Hydraul. Eng. 2013, 44, 1037–1043. [Google Scholar]
- Alexandrov, V.; Sandven, S.; Wahlin, J.; Johannessen, O.M. The relation between sea ice thickness and freeboard in the Arctic. Cryosphere 2010, 4, 373–380. [Google Scholar] [CrossRef]
- Li, Z.; Nicolaus, M.; Toyota, T.; Haas, C. Analysis on the crystals of sea ice cores derived from weddell sea, Antarctica. Chin. J. Polar Res. 2009, 21, 177–185. [Google Scholar]
- Lin, Y.; Xu, Y.; Gu, W.; Bu, D.; Yuan, S. Distribution of sea ice density and air porosity along the coast of the Bohai Sea. Resour. Sci. 2010, 32, 412–416. [Google Scholar]
- Sallila, H.; Farrell, S.L.; McCurry, J.; Rinne, E. Assessment of contemporary satellite sea ice thickness products for Arctic sea ice. Cryosphere 2019, 13, 1187–1213. [Google Scholar] [CrossRef]
- Wang, Q.; Li, Z.; Lei, R.; Lu, P.; Han, H. Estimation of the uniaxial compressive strength of Arctic sea ice during melt season. Cold Reg. Sci. Technol. 2018, 151, 9–18. [Google Scholar] [CrossRef]
- Ji, Q.; Li, B.; Pang, X.; Zhao, X.; Lei, R. Arctic sea ice density observation and its impact on sea ice thickness retrieval from CryoSat-2. Cold Reg. Sci. Technol. 2021, 181, 103177. [Google Scholar] [CrossRef]
- Zhang, Y.; Li, Z.; Li, C.; Zhang, B.; Deng, Y. Microstructure characteristics of river ice in Inner Mongolia section of the Yellow River and its influencing factors. J. Hydraul. Eng. 2021, 52, 1418–1429. [Google Scholar]
- Zuo, G.; Dou, Y.; Chang, X.; Chen, Y.; Ma, C. Design and performance analysis of a Multilayer Sea Ice temperature sensor used in polar region. Sensors 2018, 18, 4467. [Google Scholar] [CrossRef] [PubMed]
- Langleben, M.P. Attenuation of sound in sea ice, 10–500 kHz. J. Glaciol. 1969, 8, 399–406. [Google Scholar] [CrossRef]
- Bogorodskii, V.V.; Gavrilo, V.P.; Gusev, A.V.; Nikitin, V.A. Measurements of speed of ultrasonic-waves in Bering sea ice. Sov. Phys. Acoust. 1975, 21, 286–287. [Google Scholar]
- Chang, X.; Liu, W.; Zuo, G.; Dou, Y.; Li, Y. Research on ultrasonic-based investigation of mechanical properties of ice. Acta Oceanol. Sin. 2021, 40, 97–105. [Google Scholar] [CrossRef]
- Feng, C.; Liu, Q.; Zhang, J. Porosity based ice sound velocity model and its empirical formula. Tech. Acoust. 2017, 36, 509–515. [Google Scholar]
- Zhang, M.; Shao, C. The materialization of sea ice. Mar. Sci. Bull. 1981, 5, 36–43. [Google Scholar]
- Chen, J.; Gong, G.; Gao, W.; Zhou, J. Comprehensive experiment of ultrasonic testing. Phys. Exp. 2016, 36, 24–27, 34. [Google Scholar]
- Guo, Y.; Li, G.; Jia, C.; Chang, T.; Cui, H.; Markov, A. Study of ultrasonic test in the measurements of mechanical properties of ice. Chin. J. Polar Res. 2016, 28, 152–157. [Google Scholar]
- Assur, A. Composition of Sea Ice and Its Tensile Strength; US Army Snow, Ice and Permafrost Research Establishment: Wilmette, IL, USA, 1960; pp. 12–18. [Google Scholar]
- Weeks, W.F.; Ackley, S.F. The Growth, Structure, and Properties of Sea Ice. In The Geophysics of Sea Ice; Springer: Boston, MA, USA, 1986; pp. 105–116. [Google Scholar]
- Voitkovskii, K.F. The Mechanical Properties of Ice; American Meteorological Society: Boston, MA, USA, 1962; pp. 21–57. [Google Scholar]
- Cox, G.F.; Weeks, W.F. Equations for determining the gas and brine volumes in sea-ice samples. J. Glaciol. 1983, 29, 306–316. [Google Scholar] [CrossRef]
- Timco, G.W.; Frederking, R.M. A review of sea ice density. Cold Reg. Sci. Technol. 1996, 24, 1–6. [Google Scholar] [CrossRef]












| Measurement Indicators | Ice Salinity (‰) | Ice Temperature (°C) | |||||
|---|---|---|---|---|---|---|---|
| −30 | −25 | −20 | −15 | −10 | −5 | ||
| Ice density (kg/m3) | 0 | 915.5 | 915.1 | 914.3 | 913.4 | 912.9 | 911.9 |
| 1.0 | 901.2 | 901.0 | 900.8 | 900.5 | 900.2 | 899.8 | |
| 1.9 | 904.0 | 903.6 | 903.3 | 903.0 | 902.1 | 901.6 | |
| 2.7 | 904.6 | 904.0 | 903.7 | 903.4 | 903.0 | 902.5 | |
| 4.5 | 906.7 | 906.3 | 906.0 | 905.7 | 905.5 | 905.2 | |
| 5.0 | 907.2 | 906.8 | 906.5 | 906.2 | 905.9 | 905.6 | |
| 5.5 | 908.1 | 907.8 | 907.4 | 907.1 | 906.7 | 906.3 | |
| 7.2 | 910.7 | 910.3 | 909.9 | 909.6 | 909.3 | 908.9 | |
| 8.5 | 912.9 | 912.5 | 912.1 | 911.7 | 911.4 | 911.9 | |
| Ice speed of sound (m/s) | 0 | 3772.8 | 3765.1 | 3750.5 | 3725.5 | 3692.7 | 3659.2 |
| 1.0 | 3703.8 | 3695.3 | 3681.5 | 3657.5 | 3629.8 | 3608.0 | |
| 1.9 | 3697.9 | 3689.6 | 3675.5 | 3651.4 | 3625.1 | 3595.3 | |
| 2.7 | 3687.9 | 3681.0 | 3667.9 | 3643.1 | 3623.1 | 3589.3 | |
| 4.5 | 3675.9 | 3668.6 | 3654.3 | 3632.4 | 3607.5 | 3574.6 | |
| 5.0 | 3668.9 | 3663.9 | 3650.8 | 3621.9 | 3581.3 | 3534.2 | |
| 5.5 | 3664.3 | 3659.8 | 3630.0 | 3593.3 | 3541.8 | ||
| 7.2 | 3650.1 | 3644.9 | 3612.7 | 3571.6 | |||
| 8.5 | 3627.4 | 3621.9 | 3596.4 | 3547.2 | |||
| T (°C) | A1 | B1 | C1 | R2 |
|---|---|---|---|---|
| −30 | 3748.8 | −23.17 | 1.19 | 0.845 |
| −25 | 3740.1 | −22.44 | 1.15 | 0.825 |
| −20 | 3726.9 | −22.55 | 0.93 | 0.868 |
| −15 | 3701.6 | −20.43 | 0.33 | 0.888 |
| −10 | 3675.2 | −22.14 | 0.36 | 0.752 |
| −5 | 3650.1 | −30.53 | 2.11 | 0.812 |
| Ice temperature (°C) | −30 | −25 | −20 | −15 | −10 | −5 | |||||||
| R2 | Linear fit | 0.974 | 0.972 | 0.962 | 0.936 | 0.710 | 0.784 | ||||||
| Quadratic fit | 0.980 | 0.985 | 0.980 | 0.945 | 0.913 | 0.974 | |||||||
| Ice salinity (‰) | 1 | 1.9 | 2.7 | 4.5 | 5 | 5.5 | 7.2 | 8.5 | |||||
| R2 | Linear fit | 0.990 | 0.988 | 0.925 | 0.931 | 0.908 | 0.931 | 0.903 | 0.863 | ||||
| Quadratic fit | 0.992 | 0.989 | 0.949 | 0.974 | 0.966 | 0.964 | 0.952 | 0.974 | |||||
| Parametric | ka1 (kb1) | ka2 (kb2) | ka3 (kb3) | kb4 | kb5 | R2 | p | RMSE | MAE | MAPE |
|---|---|---|---|---|---|---|---|---|---|---|
| Si = 0 | 880.47 | −0.1092 | 0.0084 | 0.993 | <0.001 | 0.337 | 0.257 | 0.03% | ||
| Si > 0 | 928.9 | −0.065 | −0.019 | 2.81 × 10−6 | 1.44 |
Disclaimer/Publisher’s Note: The statements, opinions and data contained in all publications are solely those of the individual author(s) and contributor(s) and not of MDPI and/or the editor(s). MDPI and/or the editor(s) disclaim responsibility for any injury to people or property resulting from any ideas, methods, instructions or products referred to in the content. |
© 2023 by the authors. Licensee MDPI, Basel, Switzerland. This article is an open access article distributed under the terms and conditions of the Creative Commons Attribution (CC BY) license (https://creativecommons.org/licenses/by/4.0/).
Share and Cite
Chang, X.; Xue, M.; Li, P.; Wang, Q.; Zuo, G. Experimental Research on Ice Density Measurement Method Based on Ultrasonic Waves. Water 2023, 15, 4065. https://doi.org/10.3390/w15234065
Chang X, Xue M, Li P, Wang Q, Zuo G. Experimental Research on Ice Density Measurement Method Based on Ultrasonic Waves. Water. 2023; 15(23):4065. https://doi.org/10.3390/w15234065
Chicago/Turabian StyleChang, Xiaomin, Ming Xue, Pandeng Li, Qingkai Wang, and Guangyu Zuo. 2023. "Experimental Research on Ice Density Measurement Method Based on Ultrasonic Waves" Water 15, no. 23: 4065. https://doi.org/10.3390/w15234065
APA StyleChang, X., Xue, M., Li, P., Wang, Q., & Zuo, G. (2023). Experimental Research on Ice Density Measurement Method Based on Ultrasonic Waves. Water, 15(23), 4065. https://doi.org/10.3390/w15234065
