Mechanism Analysis and Demonstration of Effective Information Extraction in the System Differential Response Inversion Estimation Method
Abstract
:1. Problems of the Optimization Based on Objective Functions
2. The Inverse Estimation Method of System Differential Response and Theoretical Demonstration of Its Effective Information Extraction
2.1. Basic Method
2.2. The Relation Degree Coefficient and the Information Extraction Mechanism
3. Analysis and Demonstration of Information Extraction Effect
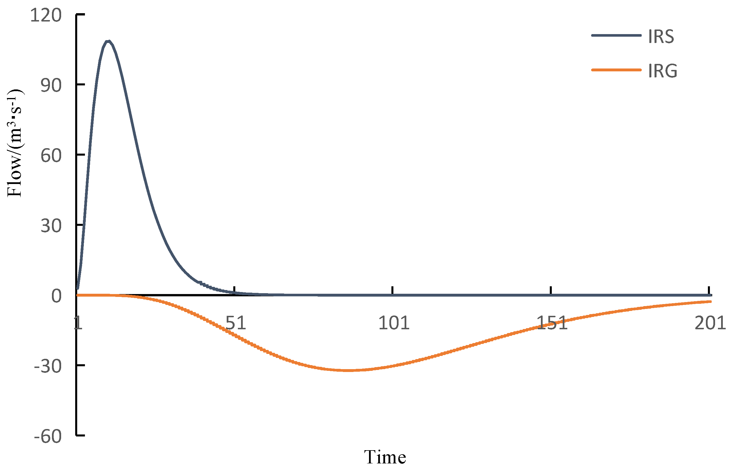
3.1. Synthetic Case
3.2. Single-Factor Information Extraction under the Influence of Noise Intensity
3.3. Multi-Factor Information Extraction Affected by Noise Intensity
3.3.1. Feature Analysis of Distinguishing and Extracting Information for Two-Factor Inversion Estimation
3.3.2. Demonstration of Multi-Factor Information Extraction Effect
4. Conclusions
- (1)
- The inversion estimation method of system differential response can selectively extract effective information, and its mechanism is based on the correlation between the system differential response curve of the factors to be estimated and the information contained in the flow hydrograph.
- (2)
- The more error factors considered in the inversion estimation, the more effective information contained in the flow hydrograph can be extracted by the system differential response, which makes the inversion estimation better.
Author Contributions
Funding
Data Availability Statement
Conflicts of Interest
References
- Huang, Y.X.; Wang, Q.Z.; Liang, Z.M.; Deng, X.D. Research advances on real-time correction methods for flood forecasting. South-North Water Transf. Water Sci. Tecnol. 2021, 19, 12–35. [Google Scholar] [CrossRef]
- Liang, Z.M.; Huang, Y.X.; Hu, Y.M.; Li, B.Q.; Wang, J. The entire-process correction approach for flood forecasting. South-North Water Transf. Water Sci. Tecnol. 2020, 18, 1–10+17. [Google Scholar] [CrossRef]
- Zhang, Y.; Liang, Z.M.; Chen, Z.N.; Zhu, Y.; Wang, J. Study on Flood Forecast and Real-time Correction in Upper Reaches of Dadu River Basin. Water Power 2020, 46, 13–15+21. [Google Scholar]
- Bao, W.M.; Zhang, X.Q.; Zhao, L.P. Parameter estimation method based on parameter function surface. Sci. China Technol. Sci. 2013, 56, 1485–1498. [Google Scholar] [CrossRef]
- Bao, W.M.; Li, Q.; Qu, S.M. Efficient Calibration Technique under Irregular Response Surface. J. Hydrol. Eng. 2013, 18, 1140–1147. [Google Scholar] [CrossRef]
- Li, Q.; Bao, W.; Liang, G.; Qian, J.; Chen, X. Effective Optimization Technique for a Nonlinear Rainfall-Runoff Model. J. Hydrol. Eng. 2014, 19, 1312–1319. [Google Scholar] [CrossRef]
- Bao, W.M.; Zhao, L.P. Application of Linearized Calibration Method for Vertically Mixed Runoff Model Parameters. J. Hydrol. Eng. 2014, 19, 04014007. [Google Scholar] [CrossRef]
- Baojian, L.I.; Cheng, C.T. Monthly discharge forecasting using wavelet neural networks with extreme learning machine. Sci. China Technol. Sci. 2014, 57, 2441–2452. [Google Scholar]
- Yan, R.; Huang, J.; Wang, Y.; Gao, J.; Qi, L. Modeling the combined impact of future climate and land use changes on streamflow of Xinjiang Basin, China. Nord. Hydrol. 2016, 47, 356–372. [Google Scholar]
- Liu, X.; Xu, X.; Yu, M.; Lu, J. Hydrological Drought Forecasting and Assessment Based on the Standardized Stream Index in the Southwest China. Procedia Eng. 2016, 154, 733–737. [Google Scholar] [CrossRef]
- Patsalides, M.; Efthymiou, V.; Anastassiou, C.; Georghiou, G.E. Transient PV system models for power quality studies. In Proceedings of the Qatar Foundation Annual Research Conference, ARC16, Doha, Qatar, 22–23 March 2016. [Google Scholar]
- Si, W.; Bao, W.; Gupta, H.V. Updating real-time flood forecasts via the dynamic system response curve method. Water Resour. Res. 2015, 51, 5128–5144. [Google Scholar] [CrossRef]
- Weimin, B.; Wei, S.; Simin, Q. Flow Updating in Real-Time Flood Forecasting Based on Runoff Correction by a Dynamic System Response Curve. J. Hydrol. Eng. 2014, 19, 747–756. [Google Scholar] [CrossRef]
- Sun, Y.; Bao, W.; Jiang, P.; Wang, X.; He, C.; Zhang, Q.; Wang, J. Development of dynamic system response curve method for estimating initial conditions of conceptual hydrological models. J. Hydroinform. 2018, 20, 1387–1400. [Google Scholar] [CrossRef]
- Sun, Y.; Bao, W.; Jiang, P.; Ji, X.; Gao, S.; Xu, Y.; Zhang, Q.; Si, W. Development of multivariable dynamic system response curve method for real-time flood forecasting correction. Water Resour. Res. 2018, 54, 4730–4749. [Google Scholar] [CrossRef]
- Weimin, B.; Yuwei, G.; Wei, S.; Lu, H.; Jinli, L.; Quanfu, L. Application of rainfall dynamic system response curve method for streamflow and sediment simulation in loess region. J. Lake Siences 2020, 2, 528–538. [Google Scholar] [CrossRef]
- Si, W.; Zhong, H.; Jiang, P.; Bao, W.; Shi, P.; Qu, S. A dynamic information extraction method for areal mean rainfall error and its application in basins of different scales for flood forecasting. Stoch. Environ. Res. Risk Assess. 2021, 35, 255–270. [Google Scholar] [CrossRef]
- Weimin, B.; Wei, S.; Guohua, S.; Xiaoqin, Z.; Qian, L. Runoff error updating based on unit hydrograph inversion. Adv. Water Sci. 2012, 23, 317–322. [Google Scholar]
- Li, Q.; Li, C.; Yu, H.; Qian, J.; Hu, L.; Ge, H. System response curve correction method of runoff error for real-time flood forecast. Hydrol. Res. 2020, 51, 1312–1331. [Google Scholar] [CrossRef]
- Liu, K.X.; Zhang, X.Q.; Bao, W.M.; Zhao, L.; Li, J. A system response correction method with runoff error smooth matrix. J. Hydraul. Eng. 2015, 46, 960–966. [Google Scholar] [CrossRef]
- Zhang, X.Q.; Liu, K.X.; Bao, W.M.; Li, J.J.; Lai, S.Z. Runoff error proportionality coefficient correction method based on system response. Adv. Water Sci. 2014, 25, 789–796. [Google Scholar] [CrossRef]
- Zhang, X.Q.; Bao, W.M.; Sun, Y.Q. Enhancing the hydrologic system differential response method for flood forecasting correction. J. Hydrol. 2021, 592, 125793. [Google Scholar] [CrossRef]
- Zhang, X.; Bao, W.; Yuan, F. Spatial runoff updating based on the hydrologic system differential response for flood forecasting. J. Hydroinform. 2020, 22, 1573–1587. [Google Scholar] [CrossRef]
- Sun, Y.; Bao, W.; Jiang, P.; Si, W.; Zhou, J.; Zhang, Q. Development of a regularized dynamic system response curve for real-time flood forecasting correction. Water 2018, 10, 450. [Google Scholar] [CrossRef]
- Lv, N.; Liang, X.; Chen, C.; Zhou, Y.; Li, J.; Wei, H.; Wang, H. A long Short-Term memory cyclic model with mutual information for hydrology forecasting: A Case study in the xixian basin. Adv. Water Resour. 2020, 141, 103622. [Google Scholar] [CrossRef]
- Yang, R.; Hou, B.; Xiao, W.; Liang, C.; Zhang, X.; Li, B.; Yu, H. The applicability of real-time flood forecasting correction techniques coupled with the Muskingum method. Hydrol. Res. 2020, 51, 17–29. [Google Scholar] [CrossRef]
- Farfán, J.F.; Palacios, K.; Ulloa, J.; Avilés, A. A hybrid neural network-based technique to improve the flow forecasting of physical and data-driven models: Methodology and case studies in Andean watersheds. J. Hydrol. Reg. Stud. 2020, 27, 100652. [Google Scholar] [CrossRef]
- Zhang, X.; Liu, P.; Cheng, L.; Liu, Z.; Zhao, Y. A back-fitting algorithm to improve real-time flood forecasting. J. Hydrol. 2018, 562, 140–150. [Google Scholar] [CrossRef]
- Ocio, D.; Le Vine, N.; Westerberg, I.; Pappenberger, F.; Buytaert, W. The role of rating curve uncertainty in real-time flood forecasting. Water Resour. Res. 2017, 53, 4197–4213. [Google Scholar] [CrossRef]
- Liu, Z.; Guo, S.; Zhang, H.; Liu, D.; Yang, G. Comparative study of three updating procedures for real-time flood forecasting. Water Resour. Manag. 2016, 30, 2111–2126. [Google Scholar] [CrossRef]
- Hou, L.; Bao, W.; Si, W.; Jiang, P.; Shi, P.; Qu, S.; Ye, F. Sediment Yield Error Correction by Dynamic System Response Curve Method in Real-Time Flood Forecasting. J. Hydroinform. 2020, 203, 28–46. [Google Scholar] [CrossRef]
- Zhao, R.J. The Xinanjiang model applied in China. J. Hydrol. 1992, 135, 371–381. [Google Scholar]
- Moradkhani, H.; Hsu, K.; Gupta, H.; Sorooshian, S. Uncertainty assessment of hydrologic model states and parameters: Sequential data assimilation using the particle filter. Water Resour. Res. 2005, 41, W05012. [Google Scholar] [CrossRef]
- Addor, N.; Newman, A.J.; Mizukami, N.; Clark, M.P. The CAMELS data set: Catchment attributes and meteorology for large-sample studies. Hydrology and Earth System Sciences 2017, 21, 5293–5313. [Google Scholar] [CrossRef]
- Spreafico, C.; Landi, D.; Russo, D. A new method of patent analysis to support prospective life cycle assessment of eco-design solutions. Sustain. Prod. Consum. 2023, 38, 241–251. [Google Scholar] [CrossRef]
- Farrell, W.J. Interacting multiple model filter for tactical ballistic missile tracking. IEEE Trans. Aerosp. Electron. Syst. 2008, 44, 418–426. [Google Scholar] [CrossRef]




| α | V1 | V2 | δ1 | δ2 |
|---|---|---|---|---|
| 0 | 0 | 0 | 0 | 0 |
| 0.01 | 0.002 | 0.002 | 0.002 | 0.001 |
| 0.02 | 0.004 | 0.004 | 0.004 | 0.003 |
| 0.03 | 0.007 | 0.006 | 0.006 | 0.005 |
| 0.04 | 0.010 | 0.008 | 0.008 | 0.006 |
| 0.05 | 0.013 | 0.010 | 0.010 | 0.008 |
| 0.06 | 0.015 | 0.013 | 0.012 | 0.010 |
| 0.07 | 0.017 | 0.014 | 0.014 | 0.011 |
| 0.08 | 0.020 | 0.017 | 0.016 | 0.013 |
| 0.09 | 0.023 | 0.019 | 0.018 | 0.015 |
| 0.10 | 0.024 | 0.020 | 0.020 | 0.016 |
| 0.11 | 0.027 | 0.023 | 0.022 | 0.018 |
| 0.12 | 0.031 | 0.026 | 0.025 | 0.021 |
| 0.13 | 0.032 | 0.027 | 0.026 | 0.021 |
| 0.14 | 0.036 | 0.030 | 0.028 | 0.024 |
| 0.15 | 0.039 | 0.033 | 0.031 | 0.026 |
| 0.16 | 0.040 | 0.034 | 0.032 | 0.027 |
| 0.17 | 0.042 | 0.035 | 0.033 | 0.028 |
| 0.18 | 0.045 | 0.038 | 0.036 | 0.030 |
| 0.19 | 0.049 | 0.041 | 0.039 | 0.032 |
| 0.20 | 0.048 | 0.040 | 0.038 | 0.032 |
| Flood Code | R2 | RE(P) | RE(E) | RE(W) | RE(PEW) | RE(R) |
|---|---|---|---|---|---|---|
| 31060517 | 0.994 | 0.420 | 0.000 | 0.271 | 0.581 | 0.736 |
| 31070613 | 0.963 | 0.907 | 0.899 | 0.901 | 0.938 | 0.968 |
| 31070917 | 0.986 | 0.786 | 0.541 | 0.518 | 0.827 | 0.891 |
| 31071007 | 0.951 | 0.932 | 0.841 | 0.828 | 0.936 | 0.96 |
| 31080609 | 0.985 | 0.919 | 0.878 | 0.853 | 0.935 | 0.963 |
| 31080610 | 0.985 | 0.612 | 0.625 | 0.629 | 0.660 | 0.710 |
| 31090808 | 0.968 | 0.953 | 0.893 | 0.960 | 0.920 | 0.967 |
| 31090812 | 0.990 | 0.64 | 0.554 | 0.460 | 0.790 | 0.797 |
| 31100410 | 0.979 | 0.852 | 0.811 | 0.854 | 0.502 | 0.899 |
| 31110603 | 0.950 | 0.931 | 0.288 | 0.627 | 0.850 | 0.952 |
| 31110611 | 0.970 | 0.852 | 0.684 | 0.548 | 0.892 | 0.896 |
| 31110617 | 0.973 | 0.848 | 0.737 | 0.729 | 0.872 | 0.944 |
| 31110806 | 0.944 | 0.827 | 0.939 | 0.937 | 0.929 | 0.991 |
| 31110825 | 0.970 | 0.89 | 0.855 | 0.909 | 0.667 | 0.964 |
| 31120617 | 0.983 | 0.782 | 0.781 | 0.679 | 0.694 | 0.839 |
| 31120714 | 0.968 | 0.831 | 0.552 | 0.769 | 0.836 | 0.922 |
| 31120802 | 0.954 | 0.896 | 0.737 | 0.858 | 0.833 | 0.945 |
| 31120807 | 0.973 | 0.936 | 0.916 | 0.690 | 0.907 | 0.952 |
| 31130429 | 0.967 | 0.84 | 0.759 | 0.739 | 0.932 | 0.931 |
| 31130606 | 0.984 | 0.723 | 0.64 | 0.557 | 0.368 | 0.857 |
| 31130626 | 0.974 | 0.897 | 0.798 | 0.828 | 0.920 | 0.939 |
| 31131005 | 0.971 | 0.928 | 0.899 | 0.830 | 0.930 | 0.947 |
| 31140525 | 0.987 | 0.629 | 0.663 | 0.597 | 0.778 | 0.633 |
| 31140620 | 0.962 | 0.877 | 0.790 | 0.761 | 0.910 | 0.914 |
| 31140818 | 0.986 | 0.873 | 0.853 | 0.242 | 0.895 | 0.933 |
| 31140918 | 0.976 | 0.854 | 0.745 | 0.575 | 0.908 | 0.909 |
| 31150704 | 0.981 | 0.842 | 0.775 | 0.652 | 0.876 | 0.887 |
| 31150710 | 0.970 | 0.818 | 0.653 | 0.492 | 0.880 | 0.888 |
| 31150928 | 0.975 | 0.824 | 0.517 | 0.788 | 0.925 | 0.941 |
| 31160527 | 0.966 | 0.875 | 0.850 | 0.401 | 0.955 | 0.962 |
| 31160628 | 0.939 | 0.936 | 0.916 | 0.921 | 0.945 | 0.957 |
| 31170611 | 0.962 | 0.886 | 0.843 | 0.828 | 0.93 | 0.947 |
| Mean | 0.972 | 0.832 | 0.726 | 0.695 | 0.835 | 0.904 |
Disclaimer/Publisher’s Note: The statements, opinions and data contained in all publications are solely those of the individual author(s) and contributor(s) and not of MDPI and/or the editor(s). MDPI and/or the editor(s) disclaim responsibility for any injury to people or property resulting from any ideas, methods, instructions or products referred to in the content. |
© 2023 by the authors. Licensee MDPI, Basel, Switzerland. This article is an open access article distributed under the terms and conditions of the Creative Commons Attribution (CC BY) license (https://creativecommons.org/licenses/by/4.0/).
Share and Cite
Chen, Y.; Liu, K.; Jiang, S.; Sun, Y.; Chen, H. Mechanism Analysis and Demonstration of Effective Information Extraction in the System Differential Response Inversion Estimation Method. Water 2023, 15, 4016. https://doi.org/10.3390/w15224016
Chen Y, Liu K, Jiang S, Sun Y, Chen H. Mechanism Analysis and Demonstration of Effective Information Extraction in the System Differential Response Inversion Estimation Method. Water. 2023; 15(22):4016. https://doi.org/10.3390/w15224016
Chicago/Turabian StyleChen, Yang, Kexin Liu, Sijun Jiang, Yiqun Sun, and Hui Chen. 2023. "Mechanism Analysis and Demonstration of Effective Information Extraction in the System Differential Response Inversion Estimation Method" Water 15, no. 22: 4016. https://doi.org/10.3390/w15224016
APA StyleChen, Y., Liu, K., Jiang, S., Sun, Y., & Chen, H. (2023). Mechanism Analysis and Demonstration of Effective Information Extraction in the System Differential Response Inversion Estimation Method. Water, 15(22), 4016. https://doi.org/10.3390/w15224016
