Evaluating Effects of Terraces on Flow Regimes in a Hilly and Mountainous Basin
Abstract
:1. Introduction
2. Materials and Methods
2.1. Study Area and Data
2.2. Hydrological Model Implementation in the Laixi River Basin
2.2.1. Model Setup
2.2.2. Model Agreement
2.3. Evaluation of Hydrologic Alterations in Streamflow Regime
2.3.1. Indicators of Hydrologic Alteration (IHA)
2.3.2. Range of Variability Approach (RVA)
2.3.3. Hydrologic Alteration (HA)
2.4. Scenario Setting
3. Results
3.1. Changes in Hydrologic Indicators
3.1.1. Monthly Streamflow Alteration
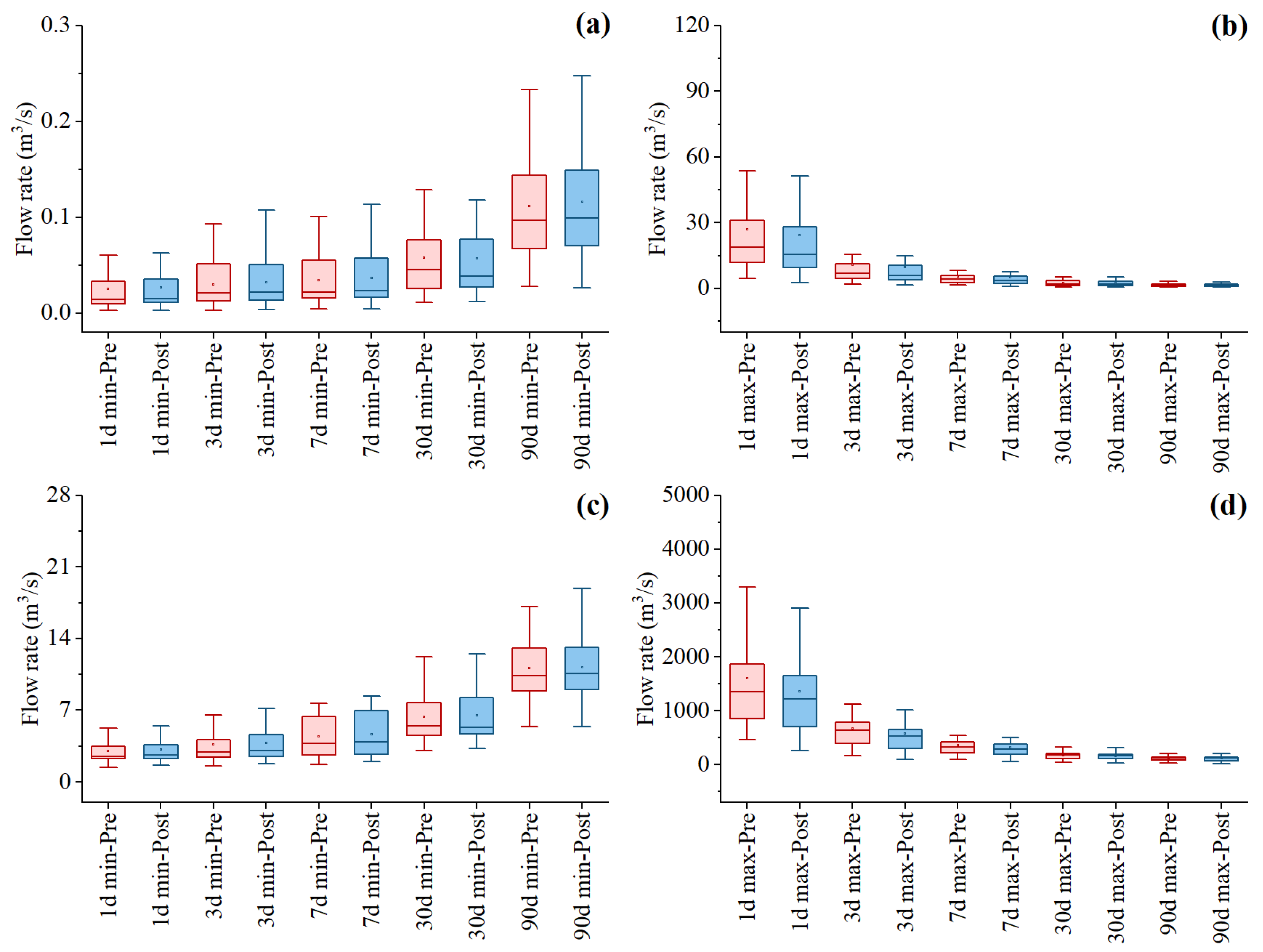
3.1.2. Extreme Streamflow Alteration
3.1.3. Annual Extreme Flow Time Alteration
3.1.4. Pulses and Patterns of Streamflow Alterations
3.1.5. Rates and Probability of Flow Alterations
3.2. Hydrologic Alteration
4. Discussion
5. Conclusions
Author Contributions
Funding
Data Availability Statement
Conflicts of Interest
References
- Rolls, R.J.; Heino, J.; Ryder, D.S.; Chessman, B.C.; Growns, I.O.; Thompson, R.M.; Gido, K.B. Scaling biodiversity responses to hydrological regimes. Biol. Rev. Camb. Philos. Soc. 2018, 93, 971–995. [Google Scholar] [CrossRef] [PubMed]
- Horne, A.C.; Nathan, R.; Poff, N.L.; Bond, N.R.; Webb, J.A.; Wang, J.; John, A. Modeling flow-ecology responses in the anthropocene: Challenges for sustainable riverine management. Bioscience 2019, 69, 789–799. [Google Scholar] [CrossRef]
- Wang, L.; Zhang, J.; Shu, Z.; Bao, Z.; Jin, J.; Liu, C.; He, R.; Liu, Y.; Wang, G. Assessment of future eco-hydrological regime and uncertainty under climate changes over an alpine region. J. Hydrol. 2023, 620, 129451. [Google Scholar] [CrossRef]
- Gebremicael, T.G.; Mohamed, Y.A.; Van der Zaag, P. Attributing the hydrological impact of different land use types and their long-term dynamics. Sci. Total Environ. 2019, 660, 1155–1167. [Google Scholar] [CrossRef]
- Li, L.; Ni, J.; Chang, F.; Yue, Y.; Frolova, N.; Magritsky, D.; Borthwick, A.G.L.; Ciais, P.; Wang, Y.; Zheng, C.; et al. Global trends in water and sediment fluxes of the world’s large rivers. Sci. Bull. 2020, 65, 62–69. [Google Scholar] [CrossRef]
- Tian, X.; Zhao, G.; Mu, X.; Zhang, P.; Tian, P.; Gao, P.; Sun, W. Hydrologic alteration and possible underlying causes in the Wuding River, China. Sci. Total Environ. 2019, 693, 133556. [Google Scholar] [CrossRef]
- Zhang, X.; Yang, H.; Zhang, W.; Fenicia, F.; Peng, H.; Xu, G. Hydrologic impacts of cascading reservoirs in the middle and lower Hanjiang River basin under climate variability and land use change. J. Hydrol. Reg. Stud. 2022, 44, 101253. [Google Scholar] [CrossRef]
- Ore, G.; Bruins, H.J. Design features of ancient agricultural terrace walls in the Negev desert: Human-made geodiversity. Land Degrad. Dev. 2012, 23, 409–418. [Google Scholar] [CrossRef]
- Garcia-Franco, N.; Wiesmeier, M.; Goberna, M.; Martínez-Mena, M.; Albaladejo, J. Carbon dynamics after afforestation of semiarid shrublands: Implications of site preparation techniques. For. Ecol. Manag. 2014, 319, 107–115. [Google Scholar] [CrossRef]
- Wei, W.; Chen, D.; Wang, L.; Daryanto, S.; Chen, L.; Yu, Y.; Lu, Y.; Sun, G.; Feng, T. Global synthesis of the classifications, distributions, benefits and issues of terracing. Earth-Sci. Rev. 2016, 159, 388–403. [Google Scholar] [CrossRef]
- Arnáez, J.; Lana-Renault, N.; Lasanta, T.; Ruiz-Flaño, P.; Castroviejo, J. Effects of farming terraces on hydrological and geomorphological processes. A review. Catena 2015, 128, 122–134. [Google Scholar] [CrossRef]
- Dong, S.; Xin, L.; Li, S.; Xie, H.; Zhao, Y.; Wang, X.; Li, X.; Song, H.; Lu, Y. The extent and spatial distribution of terrace abandonment in China. Acta Geogr. Sin. 2023, 78, 3–15. [Google Scholar] [CrossRef]
- Morgan, J.M.; Condon, A.G. Water-use, grain-yield, and osmoregulation in wheat. Aust. J. Plant Physiol. 1986, 13, 523–532. [Google Scholar] [CrossRef]
- Van Dijk, A.; Bruijnzeel, L.A. Runoff and soil loss from bench terraces. 1. An eventbased model of rainfall infiltration and surface runoff. Eur. J. Soil Sci. 2004, 55, 299–316. [Google Scholar] [CrossRef]
- Li, X.H.; Yang, J.; Zhao, C.Y.; Wang, B. Runoff and sediment from orchard terraces in Southeastern China. Land Degrad. Dev. 2014, 25, 184–192. [Google Scholar] [CrossRef]
- Moser, K.F.; Ahn, C.; Noe, G.B. The influence of microtopography on soil nutrients in created mitigation wetlands. Restor. Ecol. 2009, 17, 641–651. [Google Scholar] [CrossRef]
- Ernakovich, J.G.; Hopping, K.A.; Berdanier, A.B.; Simpson, R.T.; Kachergis, E.J.; Steltzer, H.; Wallenstein, M.D. Predicted responses of arctic and alpine ecosystems to altered seasonality under climate change. Glob. Chang. Biol. 2014, 20, 3256–3269. [Google Scholar] [CrossRef]
- Hotaling, S.; Finn, D.S.; Joseph Giersch, J.; Weisrock, D.W.; Jacobsen, D. Climate change and alpine stream biology: Progress, challenges, and opportunities for the future. Biol. Rev. Camb. Philos. Soc. 2017, 92, 2024–2045. [Google Scholar] [CrossRef]
- Gashaw, T.; Tulu, T.; Argaw, M.; Worqlul, A.W. Modeling the hydrological impacts of land use/land cover changes in the Andassa watershed, Blue Nile Basin, Ethiopia. Sci. Total Environ. 2018, 619, 1394–1408. [Google Scholar] [CrossRef]
- Gierszewski, P.J.; Habel, M.; Szmańda, J.; Luc, M. Evaluating effects of dam operation on flow regimes and riverbed adaptation to those changes. Sci. Total Environ. 2020, 710, 136202. [Google Scholar] [CrossRef]
- Gebremicael, T.G.; Mohamed, Y.A.; van der Zaag, P.; Hassaballah, K.; Hagos, E.Y. Change in low flows due to catchment management dynamics—Application of a comparative modelling approach. Hydrol. Process. 2020, 34, 2101–2116. [Google Scholar] [CrossRef]
- Gathagu, J.; Mourad, K.; Sang, J. Effectiveness of contour farming and filter strips on ecosystem services. Water 2018, 10, 1312. [Google Scholar] [CrossRef]
- Kang, Y.; Gao, J.; Shao, H.; Zhang, Y.; Li, J.; Gao, Z. Evaluating the flow and sediment effects of gully land consolidation on the Loess Plateau, China. J. Hydrol. 2021, 600, 126535. [Google Scholar] [CrossRef]
- Haregeweyn, N.; Tesfaye, S.; Tsunekawa, A.; Tsubo, M.; Meshesha, D.T.; Adgo, E.; Elias, A. Dynamics of land use and land cover and its effects on hydrologic responses: Case study of the Gilgel Tekeze catchment in the highlands of Northern Ethiopia. Environ. Monit. Assess. 2015, 187, 4090. [Google Scholar] [CrossRef]
- Richter, B.D.; Baumgartner, J.V.; Powell, J.; Braun, D.P. A method for assessing hydrologic alteration within ecosystems. Conserv. Biol. 1996, 10, 1163–1174. [Google Scholar] [CrossRef]
- Richter, B.D.; Baumgartner, J.V.; Wigington, R.; Braum, D.P. How much water does a river need? Freshw. Biol. 1997, 37, 231–249. [Google Scholar] [CrossRef]
- Richter, B.D.; Baumgartnerb, J.V.; Braun, D.P.; Powell, J. A spatial assessment of hydrologic alteration within a river network. Regul. Rivers Res. Manag. 1998, 14, 329–340. [Google Scholar] [CrossRef]
- Richter, B.D.; Warner, A.T.; Meyer, J.L.; Lutz, K. A collaborative and adaptive process for developing environmental flow recommendations. River Res. Appl. 2006, 22, 297–318. [Google Scholar] [CrossRef]
- Sheikh, V.; Sadoddin, A.; Najafinejad, A.; Zare, A.; Hollisaz, A.; Siroosi, H.; Tajiki, M.; Gholipouri, M.; Sheikh, J. The density difference and weighted RVA approaches for assessing hydrologic regime alteration. J. Hydrol. 2022, 613, 128450. [Google Scholar] [CrossRef]
- Cao, B.; Yu, L.; Naipal, V.; Ciais, P.; Li, W.; Zhao, Y.; Wei, W.; Die, C.; Liu, Z.; Gong, P. A 30 m terrace mapping in China using landsat 8 imagery and digital elevation model based on the google earth engine. Earth Syst. Sci. Data 2021, 13, 2437–2456. [Google Scholar] [CrossRef]
- Chen, G.; Zhang, W.; Liu, X.; Peng, H.; Zhou, F.; Wang, H.; Ke, Q.; Xiao, B. Development and application of a multi-centre cloud platform architecture for water environment management. J. Environ. Manag. 2023, 344, 118670. [Google Scholar] [CrossRef]
- Wang, Y.; Li, Q.; Zhang, W.; Hu, S.; Peng, H. The architecture and application of an automatic operational model system for basin scale water environment management and design making supporting. J. Environ. Manag. 2021, 290, 112577. [Google Scholar] [CrossRef]
- Zhang, W.; Bu, S.; Peng, H.; Xia, H.; Zhu, L.; Liu, X. Prediction of non-point source pollution in Pengxi River basin based on WRF model. Water Resour. Prot. 2022, 38, 160–167. [Google Scholar]
- Zhang, W.; Zhang, Z.; Peng, H.; Li, L.; Zhang, X.; Xia, H.; Zhang, L. Water quality variations of Jinshan Lake basin in Guangdong, Hong kong and Macao great bay area. Water Resour. Prot. 2021, 37, 1–8. [Google Scholar]
- Zhou, F. Study on the Regulatory Effect of Terrace on Non-Point Pollution in Typical Watershed in the Hilly Mountains of the Yangtze River. Ph.D. Thesis, Wuhan University, Wuhan, China, 2023. [Google Scholar]
- Moriasi, D.N.; Arnold, J.G.; Van Liew, M.W.; Bingner, R.L.; Harmel, R.D.; Veithmodel, T.L. Evaluation guidelines for systematic quantification of accuracy in watershed simulations. Am. Soc. Agric. Biol. Eng. 2007, 50, 885–900. [Google Scholar]
- The Nature Conservancy. Tnc Indicators of Hydrologic Alteration Version 7 User’s Manual; The Nature Conservancy: Arlington, VR, USA, 2009. [Google Scholar]
- Calsamiglia, A.; Fortesa, J.; García-Comendador, J.; Lucas-Borja, M.E.; Calvo-Cases, A.; Estrany, J. Spatial patterns of sediment connectivity in terraced lands: Anthropogenic controls of catchment sensitivity. Land Degrad. Dev. 2018, 29, 1198–1210. [Google Scholar] [CrossRef]
- Gathagu, J.N.A.A.; Sang, J.K.; Maina, C.W. Modelling the impacts of structural conservation measures on sediment and water yield in Thika-Chania catchment, Kenya. Int. Soil Water Conserv. Res. 2018, 6, 165–174. [Google Scholar] [CrossRef]
- Nyssen, J.; Clymans, W.; Descheemaeker, K.; Poesen, J.; Vandecasteele, I.; Vanmaercke, M.; Zenebe, A.; Van Camp, M.; Haile, M.; Haregeweyn, N.; et al. Impact of soil and water conservation measures on catchment hydrological response-a case in north Ethiopia. Hydrol. Process. 2010, 24, 1880–1895. [Google Scholar] [CrossRef]
- Dong, Y.; Wang, S.; Mu, X.; Wang, Z. Assessment on impact of ecological management on runoff evolution based on IHA-RVA method. Res. Soiland Water Conserv. 2023, 30, 193–200. [Google Scholar]
- Ran, Q.; Chen, X.; Hong, Y.; Ye, S.; Gao, J. Impacts of terracing on hydrological processes: A case study from the Loess Plateau of China. J. Hydrol. 2020, 588, 125045. [Google Scholar] [CrossRef]
- Ben Khelifa, W.; Strohmeier, S.; Benabdallah, S.; Habaieb, H. Evaluation of bench terracing model parameters transferability for runoff and sediment yield on catchment modelling. J. Afr. Earth Sci. 2021, 178, 104177. [Google Scholar] [CrossRef]
- Yang, Y.; Zhang, M.; Sun, Z.; Han, J.; Wang, J. The relationship between water level change and river channel geometry adjustment in the downstream of the Three Gorges Dam. J. Geogr. Sci. 2018, 28, 1975–1993. [Google Scholar]
- Lu, M.; Zhao, Q.; Ding, S.; Wang, S.; Hong, Z.; Jing, Y.; Wang, A. Hydro-geomorphological characteristics in response to the water-sediment regulation scheme of the Xiaolangdi Dam in the lower Yellow River. J. Clean. Prod. 2022, 335, 130324. [Google Scholar] [CrossRef]
- Zhang, Z.; Zhang, Q.; Gu, X.; Kong, D.; Li, B.; Liu, T. Changes of eco-flow due to hydrological alterations in the Yellow River basin. J. Nat. Resour. 2016, 31, 2021–2033. [Google Scholar]
- Zhang, S.; Zhao, G.; Mu, X.; Tian, P.; Gao, P.; Sun, W. Hydrologic regime change and its attribution analysis of river runoff in typical watershed on Loess Plateau. Bull. Soil Water Conserv. 2021, 41, 1–8. [Google Scholar]
- Dakhlalla, A.O.; Parajuli, P.B. Evaluation of the best management practices at the watershed scale to attenuate peak streamflow under climate change scenarios. Water Resour. Manag. 2016, 30, 963–982. [Google Scholar] [CrossRef]
- Xie, X.; Zhang, J.; Lian, Y.; Lin, K.; Gao, X.; Lan, T.; Luo, J.; Song, F. Cloud model combined with multiple weighting methods to evaluate hydrological alteration and its contributing factors. J. Hydrol. 2022, 610, 127794. [Google Scholar] [CrossRef]
- Strehmel, A.; Jewett, A.; Schuldt, R.; Schmalz, B.; Fohrer, N. Field data-based implementation of land management and terraces on the catchment scale for an eco-hydrological modelling approach in the Three Gorges Region, China. Agric. Water Manag. 2016, 175, 43–60. [Google Scholar] [CrossRef]
- Chen, D.; Wei, W.; Chen, L. Effects of terracing practices on water erosion control in China: A meta-analysis. Earth-Sci. Rev. 2017, 173, 109–121. [Google Scholar] [CrossRef]

















| IHA Parameter Group | Numbers | Hydrologic Parameters | Abbreviations | Unit |
|---|---|---|---|---|
| Group 1: monthly streamflow | I1 | Average streamflow in April | Apr. | m3/s |
| I2 | Average streamflow in May | May. | ||
| I3 | Average streamflow in June | Jun. | ||
| I4 | Average streamflow in July | Jul. | ||
| I5 | Average streamflow in August | Aug. | ||
| I6 | Average streamflow in September | Sep. | ||
| I7 | Average streamflow in October | Oct. | ||
| I8 | Average streamflow in November | Nov. | ||
| I9 | Average streamflow in December | Dec. | ||
| I10 | Average streamflow in January | Jan. | ||
| I11 | Average streamflow in February | Feb. | ||
| I12 | Average streamflow in March | Mar. | ||
| Group 2: magnitude and duration of annual extreme hydrologic conditions | I13 | 1-day minimum | 1d min | m3/s |
| I14 | 3-day minimum | 3d min | ||
| I15 | 7-day minimum | 7d min | ||
| I16 | 30-day minimum | 30d min | ||
| I17 | 90-day minimum | 90d min | ||
| I18 | 1-day maximum | 1d max | ||
| I19 | 3-day maximum | 3d max | ||
| I20 | 7-day maximum | 7d max | ||
| I21 | 30-day maximum | 30d max | ||
| I22 | 90-day maximum | 90d max | ||
| I23 | Base flow index | BFI | / | |
| Group 3: time of annual extreme hydrological conditions | I24 | Date of minimum | D min | day of year |
| I25 | Date of maximum | D max | ||
| Group 4: frequency and duration of high and low pulses | I26 | Low pulse count | LPC | count of year |
| I27 | Low pulse duration | LPD | day of year | |
| I28 | High pulse count | HPC | count of year | |
| I29 | High pulse duration | HPD | day of year | |
| Group 5: rate and frequency of streamflow change | I30 | Rise rate | RR | m3/s/day |
| I31 | Fall rate | FR | ||
| I32 | Number of reversals | NR | count of year |
Disclaimer/Publisher’s Note: The statements, opinions and data contained in all publications are solely those of the individual author(s) and contributor(s) and not of MDPI and/or the editor(s). MDPI and/or the editor(s) disclaim responsibility for any injury to people or property resulting from any ideas, methods, instructions or products referred to in the content. |
© 2023 by the authors. Licensee MDPI, Basel, Switzerland. This article is an open access article distributed under the terms and conditions of the Creative Commons Attribution (CC BY) license (https://creativecommons.org/licenses/by/4.0/).
Share and Cite
Zhou, F.; Zhang, W.; Liu, X.; Jiang, A.; Chen, G.; Li, A.; Peng, H. Evaluating Effects of Terraces on Flow Regimes in a Hilly and Mountainous Basin. Water 2023, 15, 3980. https://doi.org/10.3390/w15223980
Zhou F, Zhang W, Liu X, Jiang A, Chen G, Li A, Peng H. Evaluating Effects of Terraces on Flow Regimes in a Hilly and Mountainous Basin. Water. 2023; 15(22):3980. https://doi.org/10.3390/w15223980
Chicago/Turabian StyleZhou, Feng, Wanshun Zhang, Xin Liu, Anna Jiang, Gang Chen, Ao Li, and Hong Peng. 2023. "Evaluating Effects of Terraces on Flow Regimes in a Hilly and Mountainous Basin" Water 15, no. 22: 3980. https://doi.org/10.3390/w15223980
APA StyleZhou, F., Zhang, W., Liu, X., Jiang, A., Chen, G., Li, A., & Peng, H. (2023). Evaluating Effects of Terraces on Flow Regimes in a Hilly and Mountainous Basin. Water, 15(22), 3980. https://doi.org/10.3390/w15223980

