Removal of Phosphorus and Cadmium from Wastewaters by Periphytic Biofilm
Abstract
:1. Introduction
2. Materials and Methods
2.1. Preparation of Periphytic Biofilm
2.2. Experimental Treatments
2.3. Experimental Processes
2.4. Experimental Index
2.4.1. Measurement of pH, Temperature, and Electrical Conductivity (EC)
2.4.2. Measurement of TN and NO3−–N
2.4.3. Cd and Pi Concentrations Determination
2.5. Statistical Analysis
3. Results
3.1. The Dynamics of Temperature, EC, and pH
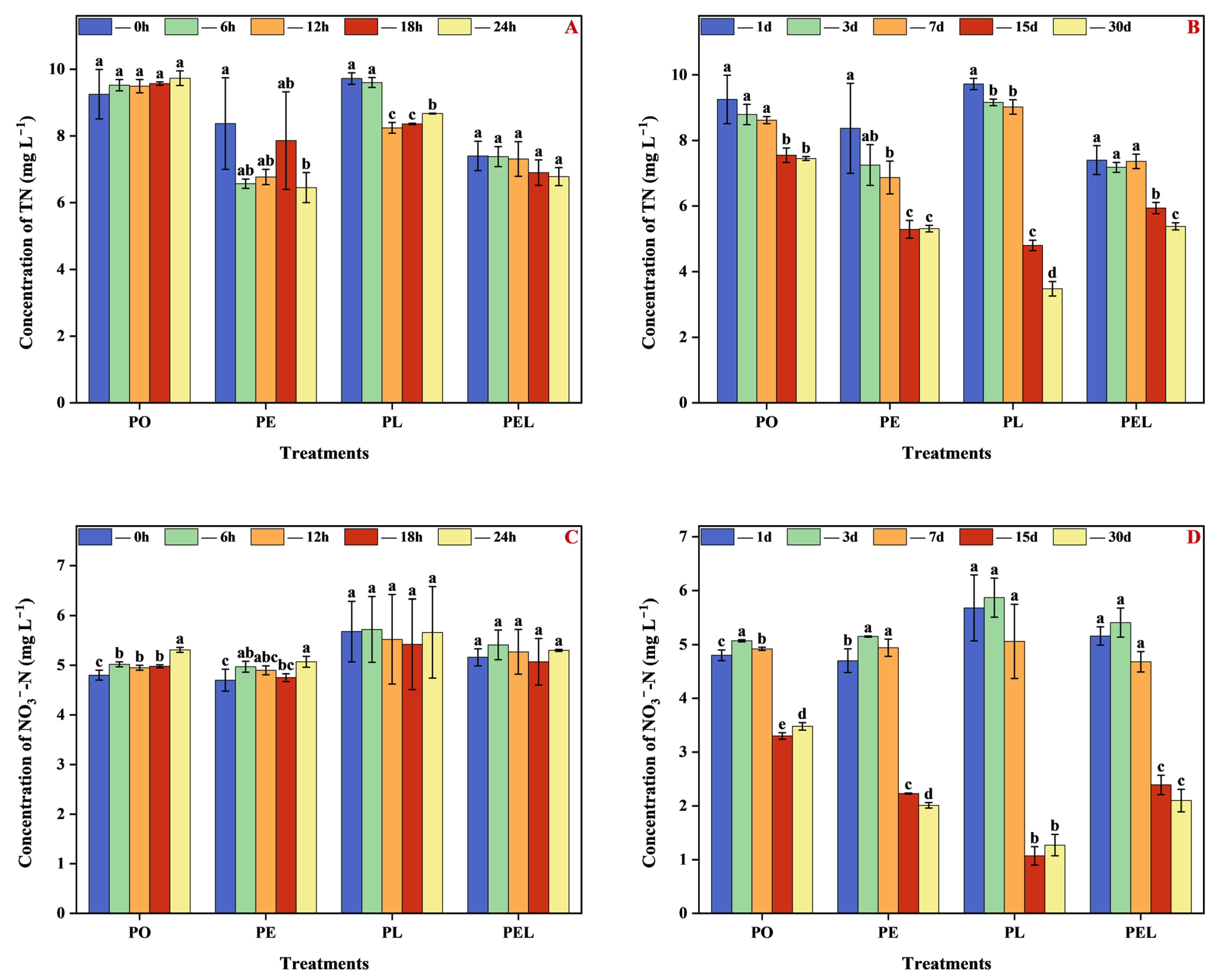
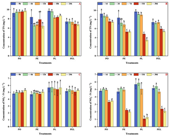
3.2. The Response of N Conversion
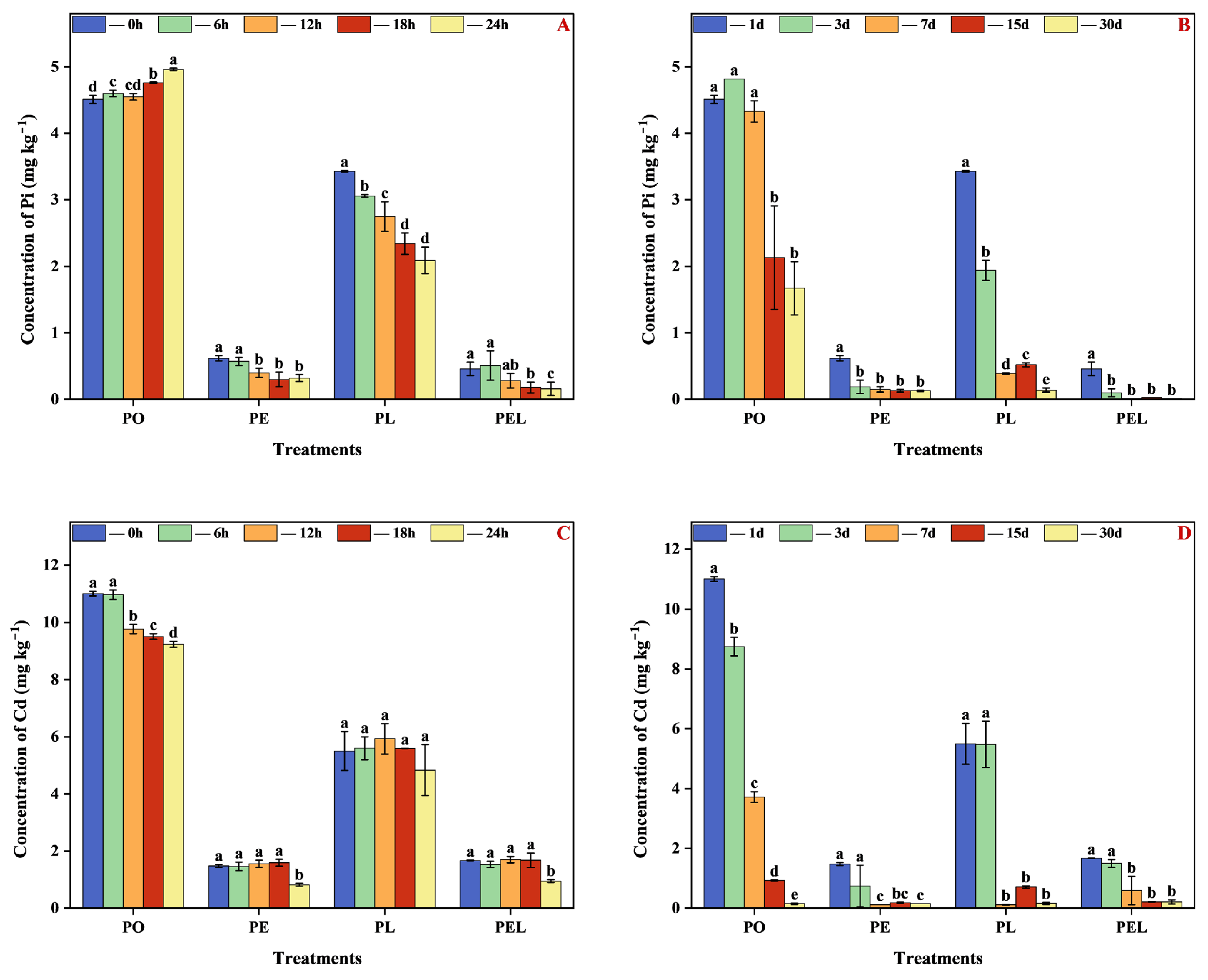
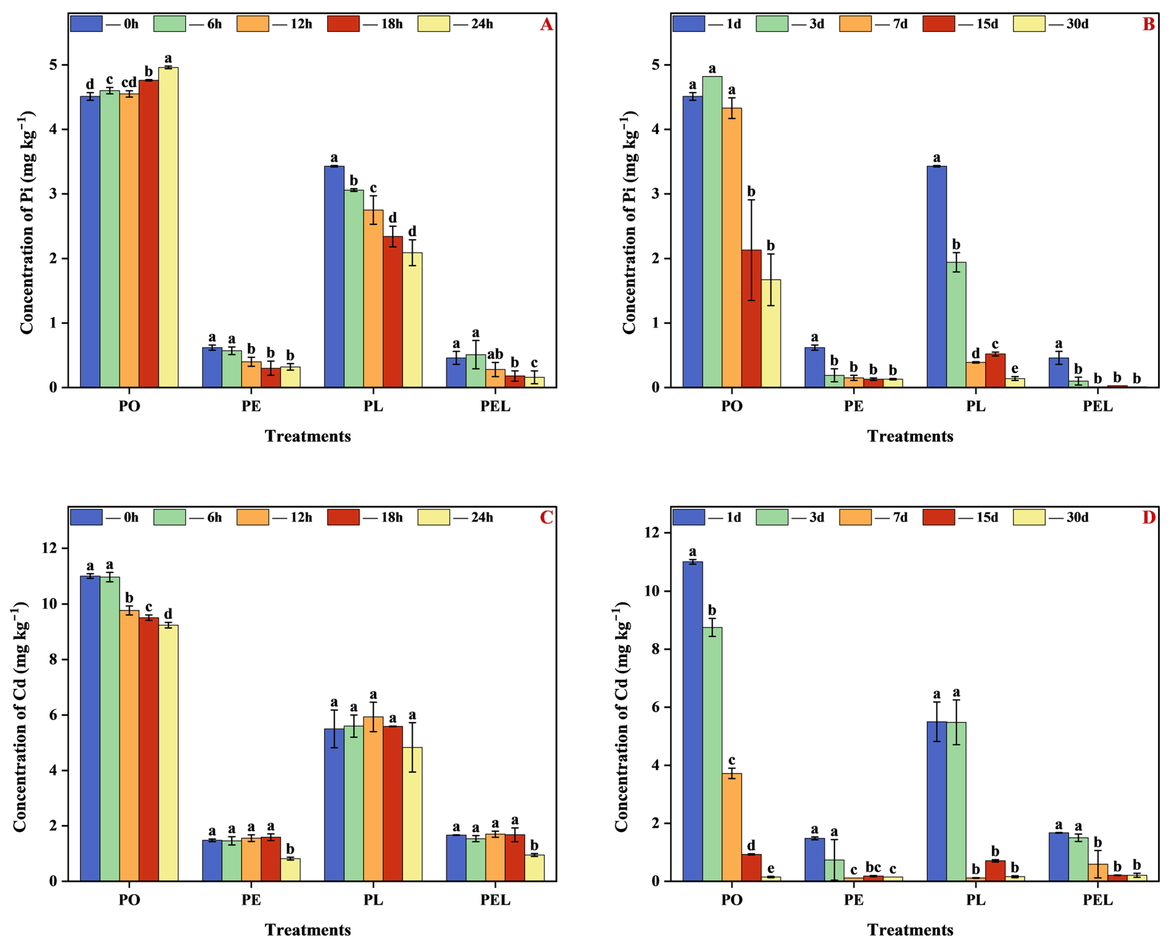
3.3. The Pi and Cd Concentrations in the Water
4. Discussion
4.1. Performance of Photon and Electron in Contaminant Removal and Nitrate Conversion
4.2. The Environmental Factors Response after the Addition of Photon and Electron
4.3. Comparison of the Use of Photons and Electrons as a Biological Force
5. Conclusions
Supplementary Materials
Author Contributions
Funding
Data Availability Statement
Conflicts of Interest
References
- Huang, H.; Zhao, D.; Wang, P. Biogeochemical Control on the Mobilization of Cd in Soil. Curr. Pollut. Rep. 2021, 7, 194–200. [Google Scholar] [CrossRef]
- Chen, L.; Zhou, M.; Wang, J.; Zhang, Z.; Duan, C.; Wang, X.; Zhao, S.; Bai, X.; Li, Z.; Li, Z.; et al. A global meta-analysis of heavy metal(loid)s pollution in soils near copper mines: Evaluation of pollution level and probabilistic health risks. Sci. Total Environ. 2022, 835, 155441. [Google Scholar] [CrossRef] [PubMed]
- Li, C.; Wang, H.; Liao, X.; Xiao, R.; Liu, K.; Bai, J.; Li, B.; He, Q. Heavy metal pollution in coastal wetlands: A systematic review of studies globally over the past three decades. J. Hazard. Mater. 2022, 424 Pt A, 127312. [Google Scholar] [CrossRef]
- Huang, B.-Y.; Lü, Q.-X.; Tang, Z.-X.; Tang, Z.; Chen, H.-P.; Yang, X.-P.; Zhao, F.-J.; Wang, P. Machine learning methods to predict cadmium (Cd) concentration in rice grain and support soil management at a regional scale. Fundam. Res. 2023; in press. [Google Scholar] [CrossRef]
- Yang, J.; Li, G.; Xia, M.; Chen, Y.; Chen, Y.; Kumar, S.; Sun, Z.; Li, X.; Zhao, X.; Hou, H. Combined effects of temperature and nutrients on the toxicity of cadmium in duckweed (Lemna aequinoctialis). J. Hazard. Mater. 2022, 432, 128646. [Google Scholar] [CrossRef] [PubMed]
- Carpenter, S.R. Eutrophication of aquatic ecosystems: Bistability and soil phosphorus. Proc. Natl. Acad. Sci. USA 2005, 102, 10002–10005. [Google Scholar] [CrossRef]
- Lu, H.; Qi, W.; Liu, J.; Bai, Y.; Tang, B.; Shao, H. Paddy periphytic biofilm: Potential roles for salt and nutrient management in degraded mudflats from coastal reclamation. Land Degrad. Dev. 2018, 29, 2932–2941. [Google Scholar] [CrossRef]
- Balle, M.G.; Ferragut, C.; Coelho, L.H.G.; Jesus, T.A.d. Phosphorus and metals immobilization by periphytic biofilm in a shallow eutrophic reservoir. Acta Limnol. Bras. 2021, 33, e11. [Google Scholar] [CrossRef]
- Marella, T.K.; Saxena, A.; Tiwari, A.; Datta, A.; Dixit, S. Treating agricultural non-point source pollutants using periphytic biofilm biofilms and biomass volarization. J. Environ. Manag. 2022, 301, 113869. [Google Scholar] [CrossRef] [PubMed]
- Lu, H.; Dong, Y.; Feng, Y.; Bai, Y.; Tang, X.; Li, Y.; Yang, L.; Liu, J. Paddy periphytic biofilm reduced cadmium accumulation in rice (Oryza sativa) by removing and immobilizing cadmium from the water-soil interface. Environ. Pollut. 2020, 261, 114103. [Google Scholar] [CrossRef] [PubMed]
- Zhong, W.; Zhao, W.; Song, J. Responses of Periphytic biofilm Microbial Growth, Activity, and Pollutant Removal Efficiency to Cu Exposure. Int. J. Environ. Res. Public Health 2020, 17, 941. [Google Scholar] [CrossRef] [PubMed]
- Yang, J.; Tang, C.; Wang, F.; Wu, Y. Co-contamination of Cu and Cd in paddy fields: Using periphytic biofilm to entrap heavy metals. J. Hazard. Mater. 2016, 304, 150–158. [Google Scholar] [CrossRef]
- Kilroy, C.; Brown, L.; Carlin, L.; Lambert, P.; Sinton, A.; Wech, J.A.; Howard-Williams, C. Nitrogen stimulation of periphytic biofilm biomass in rivers: Differential effects of ammonium-N and nitrate-N. Freshw. Sci. 2020, 39, 485–496. [Google Scholar] [CrossRef]
- Xiong, Q.; Hu, J.; Wei, H.; Zhang, H.; Zhu, J. Relationship between Plant Roots, Rhizosphere Microorganisms, and Nitrogen and Its Special Focus on Rice. Agriculture 2021, 11, 234. [Google Scholar] [CrossRef]
- Lee, K.H.; Jeong, H.J.; Kang, H.C.; Ok, J.H.; You, J.H.; Park, S.A. Growth rates and nitrate uptake of co-occurring red-tide dinoflagellates Alexandrium affine and A. fraterculus as a function of nitrate concentration under light-dark and continuous light conditions. Algae 2019, 34, 237–251. [Google Scholar] [CrossRef]
- Virsile, A.; Brazaityte, A.; Vastakaite-Kairiene, V.; Miliauskiene, J.; Jankauskiene, J.; Novickovas, A.; Lauzike, K.; Samuoliene, G. The distinct impact of multi-color LED light on nitrate, amino acid, soluble sugar and organic acid contents in red and green leaf lettuce cultivated in controlled environment. Food Chem. 2020, 310, 125799. [Google Scholar] [CrossRef]
- Miyake, C.; Horiguchi, S.; Makino, A.; Shinzaki, Y.; Yamamoto, H.; Tomizawa, K. Effects of light intensity on cyclic electron flow around PSI and its relationship to non-photochemical quenching of Chl fluorescence in tobacco leaves. Plant Cell Physiol. 2005, 46, 1819–1830. [Google Scholar] [CrossRef]
- Theerthagiri, J.; Park, J.; Das, H.T.; Rahamathulla, N.; Cardoso, E.S.; Murthy, A.P.; Choi, M.Y. Electrocatalytic conversion of nitrate waste into ammonia: A review. Environ. Chem. Lett. 2022, 20, 2929–2949. [Google Scholar] [CrossRef]
- Huang, W.; Hu, H.; Zhang, S.B. Photorespiration plays an important role in the regulation of photosynthetic electron flow under fluctuating light in tobacco plants grown under full sunlight. Front. Plant Sci. 2015, 6, 621. [Google Scholar] [CrossRef]
- Wu, Y.; Yang, J.; Tang, J.; Kerr, P.; Wong, P.K. The remediation of extremely acidic and moderate pH soil leachates containing Cu (II) and Cd (II) by native periphytic biofilm. J. Clean. Prod. 2017, 162, 846–855. [Google Scholar] [CrossRef]
- Gao, X.; Wang, Y.; Sun, B.; Li, N. Nitrogen and phosphorus removal comparison between periphytic biofilm on artificial substrates and plant-periphytic biofilm complex in floating treatment wetlands. Environ. Sci. Pollut. Res. Int. 2019, 26, 21161–21171. [Google Scholar] [CrossRef] [PubMed]
- Bécares, E.; Gomá, J.; Fernández-Aláez, M.; Fernández-Aláez, C.; Romo, S.; Miracle, M.R.; Ståhl-Delbanco, A.; Hansson, L.-A.; Gyllström, M.; Van de Bund, W.J.; et al. Effects of nutrients and fish on periphytic biofilm and plant biomass across a European latitudinal gradient. Aquat. Ecol. 2007, 42, 561–574. [Google Scholar] [CrossRef]
- Pacheco, J.P.; Aznarez, C.; Levi, E.E.; Baattrup-Pedersen, A.; Jeppesen, E. Periphytic biofilm responses to nitrogen decline and warming in eutrophic shallow lake mesocosms. Hydrobiologia 2021, 849, 3889–3904. [Google Scholar] [CrossRef]
- Stevenson, R.J.; Bennett, B.J.; Jordan, D.N.; French, R.D. Phosphorus regulates stream injury by filamentous green algae, DO, and pH with thresholds in responses. Hydrobiologia 2012, 695, 25–42. [Google Scholar] [CrossRef]
- Schiller, D.V.; MartÍ, E.; Riera, J.L.; Sabater, F. Effects of nutrients and light on periphytic biofilm biomass and nitrogen uptake in Mediterranean streams with contrasting land uses. Freshw. Biol. 2007, 52, 891–906. [Google Scholar] [CrossRef]
- Lu, H.; Feng, Y.; Wang, J.; Wu, Y.; Shao, H.; Yang, L. Responses of periphytic biofilm morphology, structure, and function to extreme nutrient loading. Environ. Pollut. 2016, 214, 878–884. [Google Scholar] [CrossRef]
- Hua, C.; Li, C.; Jiang, Y.; Huang, M.; Williamson, V.M.; Wang, C. Response of soybean cyst nematode (Heterodera glycines) and root-knot nematodes (Meloidogyne spp.) to gradients of pH and inorganic salts. Plant Soil 2020, 455, 305–318. [Google Scholar] [CrossRef]
- Liu, W.; Tan, Q.; Chu, Y.; Chen, J.; Yang, L.; Ma, L.; Zhang, Y.; Wu, Z.; He, F. An integrated analysis of pond ecosystem around Poyang Lake: Assessment of water quality, sediment geochemistry, phytoplankton and benthic macroinvertebrates diversity and habitat condition. Aquat. Ecol. 2022, 56, 775–791. [Google Scholar] [CrossRef]
- Peng, X.; Yi, K.; Lin, Q.; Zhang, L.; Zhang, Y.; Liu, B.; Wu, Z. Annual changes in periphytic biofilm communities and their diatom indicator species, in the littoral zone of a subtroPical urban lake restored by submerged plants. Ecol. Eng. 2020, 155, 105958. [Google Scholar] [CrossRef]
- Burgin, A.J.; Hamilton, S.K. Have we overemphasized the role of denitrification in aquatic ecosystems? A review of nitrate removal pathways. Front. Ecol. Environ. 2007, 5, 89–96. [Google Scholar] [CrossRef]
- Galloway, J.N.; Townsend, A.R.; Erisman, J.W.; Bekunda, M.; Cai, Z.; Freney, J.R.; Martinelli, L.A.; Seitzinger, S.P.; Sutton, M.A. Transformation of the nitrogen cycle: Recent trends, questions, and potential solutions. Science 2008, 320, 889–892. [Google Scholar] [CrossRef] [PubMed]
- DeMartino, A.W.; Kim-ShaPiro, D.B.; Patel, R.P.; Gladwin, M.T. Nitrite and nitrate chemical biology and signalling. Br. J. Pharmacol. 2019, 176, 228–245. [Google Scholar] [CrossRef]
- Azim, M.E.; Verdegem, M.C.J.; Khatoon, H.; Wahab, M.A.; van Dam, A.A.; Beveridge, M.C.M. A comparison of fertilization, feeding and three periphytic biofilm substrates for increasing fish production in freshwater pond aquaculture in Bangladesh. Aquaculture 2002, 212, 227–243. [Google Scholar] [CrossRef]
- Gulin, V.; Matoničkin Kepčija, R.; Sertić Perić, M.; Felja, I.; Fajković, H.; Križnjak, K. Environmental and periphytic biofilm response to stream revitalization—A Pilot study from a tufa barrier. Ecol. Indic. 2021, 126, 107629. [Google Scholar] [CrossRef]
- Ogura, A.; Takeda, K.; Nakatsubo, T. Periphytic biofilm contribution to nitrogen dynamics in the discharge from a wastewater treatment plant. River Res. Appl. 2009, 25, 229–235. [Google Scholar] [CrossRef]
- Zhu, N.; Tang, J.; Tang, C.; Duan, P.; Yao, L.; Wu, Y.; Dionysiou, D.D. Combined CdS nanoparticles-assisted photocatalysis and periphytic biological processes for nitrate removal. Chem. Eng. J. 2018, 353, 237–245. [Google Scholar] [CrossRef]
- Luvisi, A. Electronic identification technology for agriculture, plant, and food. A review. Agron. Sustain. Dev. 2016, 36, 13. [Google Scholar] [CrossRef]
- Yamori, W.; Shikanai, T. Physiological Functions of Cyclic Electron Transport Around Photosystem I in Sustaining Photosynthesis and Plant Growth. Annu. Rev. Plant Biol. 2016, 67, 81–106. [Google Scholar] [CrossRef]
- Zhang, K.M.; Shen, Y.; Zhou, X.Q.; Fang, Y.M.; Liu, Y.; Ma, L.Q. Photosynthetic electron-transfer reactions in the gametophyte of Pteris multifida reveal the presence of allelopathic interference from the invasive plant species Bidens pilosa. J. Photochem. Photobiol. B 2016, 158, 81–88. [Google Scholar] [CrossRef]
- Hallaji, Z.; Bagheri, Z.; Tavassoli, Z.; Ranjbar, B. Fluorescent carbon dot as an optical amplifier in modern agriculture. Sustain. Mater. Technol. 2022, 34, e00493. [Google Scholar] [CrossRef]
- Wang, C.; Yang, H.; Chen, F.; Yue, L.; Wang, Z.; Xing, B. Nitrogen-Doped Carbon Dots Increased Light Conversion and Electron Supply to Improve the Corn Photosystem and Yield. Environ. Sci. Technol. 2021, 55, 12317–12325. [Google Scholar] [CrossRef] [PubMed]
- Lu, H.; Yang, L.; Shabbir, S.; Wu, Y. The adsorption process during inorganic phosphorus removal by cultured periphytic biofilm. Environ. Sci. Pollut. Res. Int. 2014, 21, 8782–8791. [Google Scholar] [CrossRef] [PubMed]




| Treatment | Electricity (10 V) (Electrons) | Light (100 W) (Photons) | |
|---|---|---|---|
| Group | |||
| PO | - | - | |
| PE | + | - | |
| PL | - | + | |
| PEL | + | + | |
Disclaimer/Publisher’s Note: The statements, opinions and data contained in all publications are solely those of the individual author(s) and contributor(s) and not of MDPI and/or the editor(s). MDPI and/or the editor(s) disclaim responsibility for any injury to people or property resulting from any ideas, methods, instructions or products referred to in the content. |
© 2023 by the authors. Licensee MDPI, Basel, Switzerland. This article is an open access article distributed under the terms and conditions of the Creative Commons Attribution (CC BY) license (https://creativecommons.org/licenses/by/4.0/).
Share and Cite
Zhang, J.; Liu, Y.; Liu, J.; Shen, Y.; Huang, H.; Zhu, Y.; Han, J.; Lu, H. Removal of Phosphorus and Cadmium from Wastewaters by Periphytic Biofilm. Water 2023, 15, 3314. https://doi.org/10.3390/w15183314
Zhang J, Liu Y, Liu J, Shen Y, Huang H, Zhu Y, Han J, Lu H. Removal of Phosphorus and Cadmium from Wastewaters by Periphytic Biofilm. Water. 2023; 15(18):3314. https://doi.org/10.3390/w15183314
Chicago/Turabian StyleZhang, Jin, Yawei Liu, Jiajia Liu, Yu Shen, Hui Huang, Yongli Zhu, Jiangang Han, and Haiying Lu. 2023. "Removal of Phosphorus and Cadmium from Wastewaters by Periphytic Biofilm" Water 15, no. 18: 3314. https://doi.org/10.3390/w15183314
APA StyleZhang, J., Liu, Y., Liu, J., Shen, Y., Huang, H., Zhu, Y., Han, J., & Lu, H. (2023). Removal of Phosphorus and Cadmium from Wastewaters by Periphytic Biofilm. Water, 15(18), 3314. https://doi.org/10.3390/w15183314
