Analysis of the Force Characteristics of Two Tandem Cylinders by Internal Waves over Slope Topography
Abstract
:1. Introduction
2. Governing Equation
3. Numerical Models
3.1. Numerical Methods and Boundary Conditions
3.2. Grid Independent Analysis
3.3. Numerical Simulation Results Verified by the Physical Experimental Results
4. Results and Analysis
4.1. Effects of Slope Terrain on the Forces Acting on SC and Two Tandem Cylinders
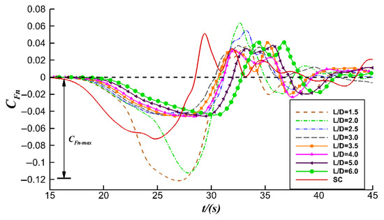
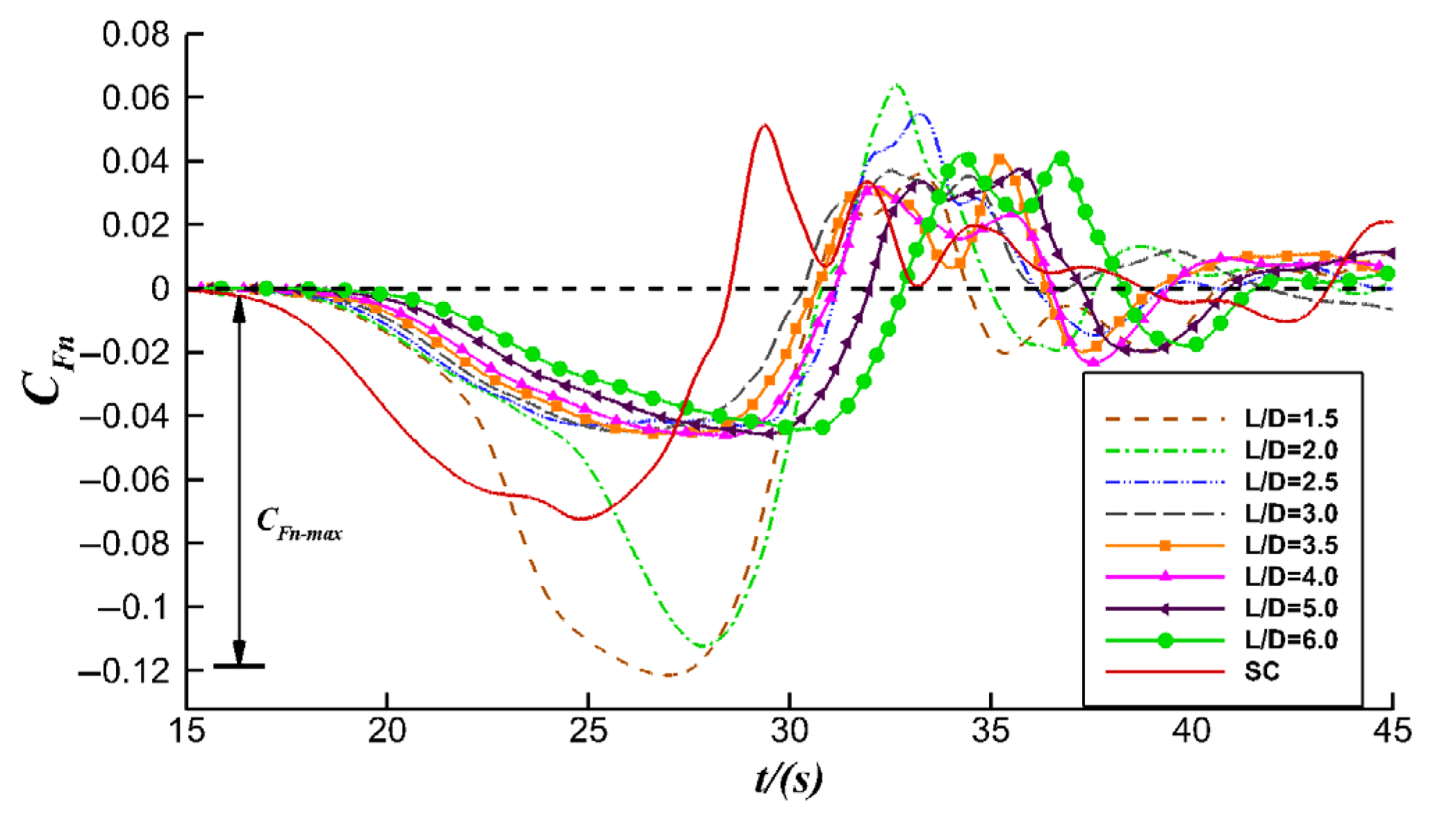
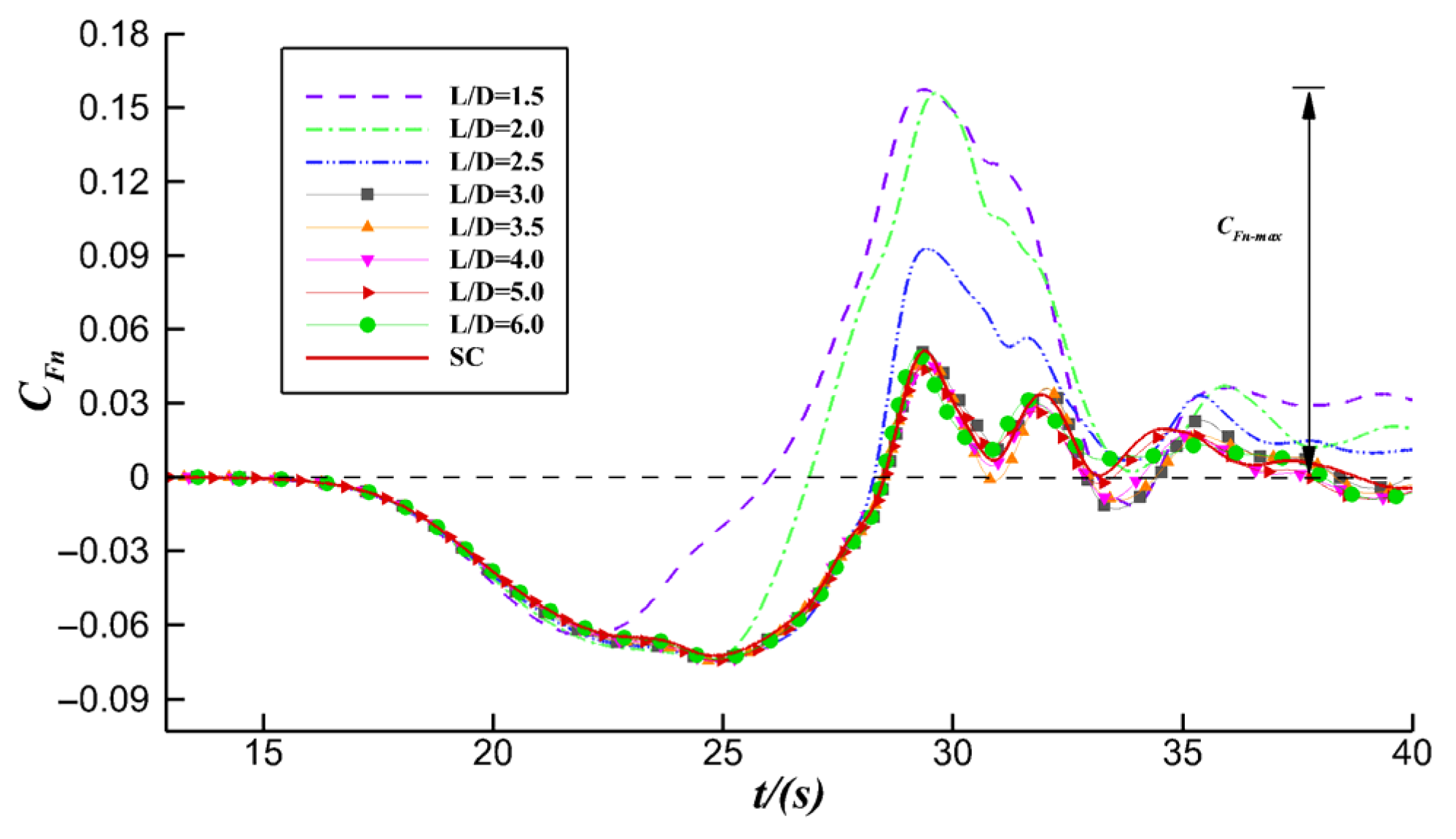
4.2. Effects of L/D on the Force Behaviors and Flow Field Characteristics for P1
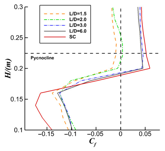
4.2.1. Distinction of the Flow Field and Pressure Distribution between P1 and SC (L/D = 1.5)
4.2.2. Distinction of the Flow Field and Pressure Distribution between P1 and SC (2.0 ≤ L/D ≤ 3.0)
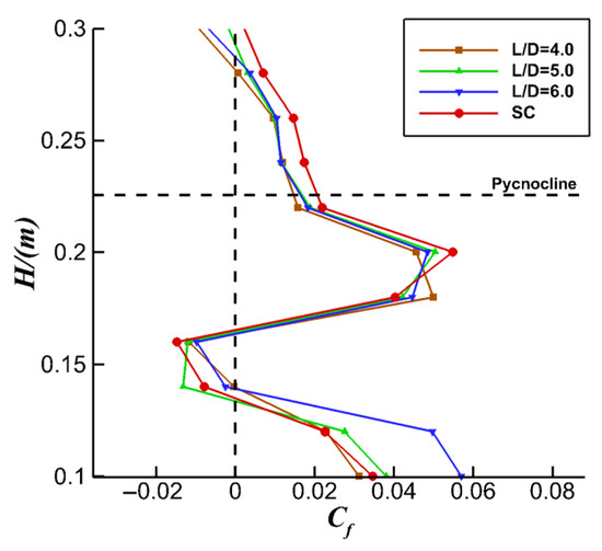
4.2.3. Distinction of the Flow Field and Pressure Distribution between P1 and SC (3.0 < L/D ≤ 6.0)
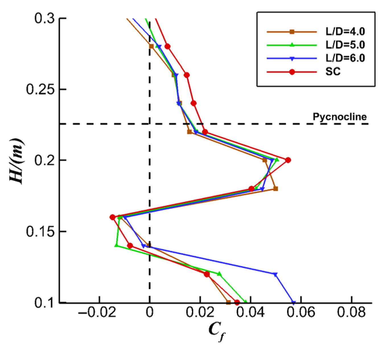
4.3. Effects of L/D on the Force Behaviors and Flow Field Characteristics for P2
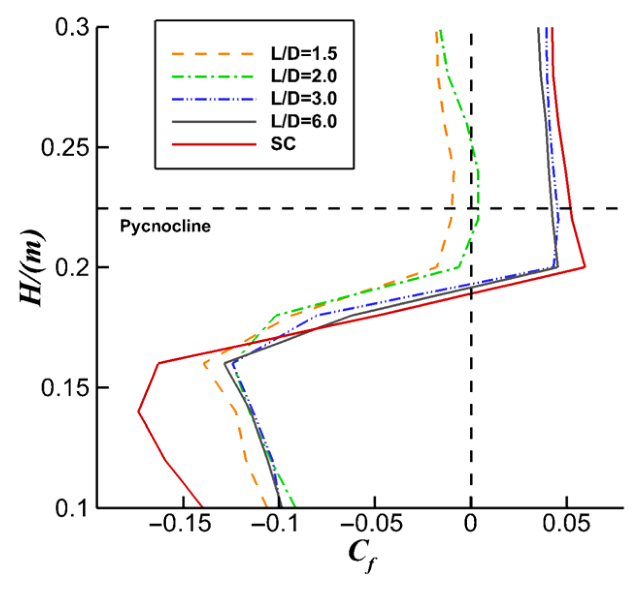
4.3.1. Distinction of the Flow Field and Pressure Distribution in the Upper Layer between P2 and SC (1.5 ≤ L/D < 3.0)
4.3.2. Distinction of the Flow Field and Pressure Distribution in the Lower Layer between P2 and SC (1.5 ≤ L/D ≤ 6)
5. Discussion
6. Conclusions
Author Contributions
Funding
Data Availability Statement
Conflicts of Interest
References
- Kurkina, O.; Rouvinskaya, E.; Talipova, T.; Soomere, T. Propagation regimes and populations of internal waves in the Mediterranean Sea basin. Estuar. Coast. Shelf Sci. 2017, 185, 44–54. [Google Scholar] [CrossRef]
- Cheng, S.Y.; Yu, Y.; Li, Z.M.; Huang, Z.X.; Zhang, X.M.; Yu, J.X. Research on dynamic response of deep-water semi-submersible platform system under internal solitary wave. Ocean Eng. 2022, 40, 123–138. (In Chinese) [Google Scholar]
- Wang, X.; Lin, Z.Y.; You, Y.X.; Yu, R. Numerical Simulations for the Load Characteristics of Internal Solitary Waves on a Vertical Cylinder. Chuan Bo Li Xue/J. Ship Mech. 2017, 21, 1071–1085. [Google Scholar]
- Cai, S.; Long, X.; Wang, S. Forces and torques exerted by internal solitons in shear flows on cylindrical piles. Appl. Ocean Res. 2008, 30, 72–77. [Google Scholar] [CrossRef]
- Yang, F.; Zhu, R.Q.; Chen, X.D.; Ji, R.W.; Liu, X. Numerical simulation for the load of internal solitary waves acting on a submerged body. Ship Sci. Technol. 2017, 39, 26–31. (In Chinese) [Google Scholar]
- Wang, L.L.; Wang, Y.; Wei, G.; Lu, Q.Y.; Xu, J.; Tang, H.W. Force behaviors of circular and square cylinder in internal solitary waves environment–I. Experimental investigation. Adv. Water Sci. 2017, 28, 429–437. (In Chinese) [Google Scholar]
- Wang, L.L.; Wang, Y.; Wei, G.; Lu, Q.Y.; Xu, J.; Tang, H.W. Force behaviors of circular and square cylinder in internal solitary waves environment—II. Numerical study. Adv. Water Sci. 2017, 28, 588–597. (In Chinese) [Google Scholar]
- Helfrich, K.R. Internal solitary wave breaking and run-up on a uniform slope. J. Fluid Mech. 1992, 243, 133–154. [Google Scholar] [CrossRef]
- Timothy, W. Internal solitons on the pycnocline: Generation, propagation, and shoaling and breaking over a slope. J. Fluid Mech. 1985, 159, 19–53. [Google Scholar]
- Chen, C.Y.; Hsu, J.; Chen, H.H.; Kuo, C.F.; Cheng, M.H. Laboratory observations on internal solitary wave evolution on steep and inverse uniform slopes. Ocean Eng. 2007, 34, 157–170. [Google Scholar] [CrossRef]
- Colosi, J.A.; Kumar, N.; Suand, A.S.H.; Freismuth, T.M.; MacMahan, J.H. Statistics of internal tide bores and internal solitary waves observed on the inner continental shelf off point sal CA. J. Phys. Oceanogr. 2018, 48, 123–143. [Google Scholar] [CrossRef]
- Liapidevskii, V.; Gavrilov, N. Large internal solitary waves in shallow waters. In The Ocean in Motion; Springer: Cham, Switzerland, 2018; pp. 87–108. [Google Scholar]
- Zdravkovich, M.M. Review of flow interference between two circular cylinders in various arrangements. J. Fluids Eng. 1977, 99, 618–633. [Google Scholar] [CrossRef]
- Gopalan, H.; Jaiman, R. Numerical study of the flow interference between tandem cylinders employing non-linear hybrid URANS–LES methods. J. Wind. Eng. Ind. Aerodyn. 2015, 142, 111–129. [Google Scholar] [CrossRef]
- Alam, M.M.; Zhou, Y. Strouhal numbers, forces and flow structures around two tandem cylinders of different diameters. J. Fluids Struct. 2008, 24, 505–526. [Google Scholar] [CrossRef]
- Meneghini, J.R.; Saltara, F.; Siqueira, C.; Ferrari, J.A., Jr. Numerical simulation of flow interference between two circular cylinders in tandem and side-by-side arrangements. J. Fluids Struct. 2001, 15, 327–350. [Google Scholar] [CrossRef]
- Wang, Y.; Wang, L.; Ji, Y.; Zhang, J.; Xu, M.; Xiong, X.; Wang, C. Research on the force mechanism of two tandem cylinders in a stratified strong shear environment. Phys. Fluids 2022, 34, 053308. [Google Scholar] [CrossRef]
- Germano, M.; Piomelli, U.; Moin, P.; Cabot, W.H. A dynamic subgrid-scale eddy viscosity model. Phys. Fluids A 1991, 3, 1760–1765. [Google Scholar] [CrossRef]
- Lin, Z.H.; Song, J.B. Numerical studies of internal solitary wave generation and evolution by gravity collapse. J. Hydro-Dyn. 2012, 24, 541–553. [Google Scholar] [CrossRef]
- Tolias, I.C.; Kanaev, A.A.; Koutsourakis, N.; Glotov, V.Y.; Venetsanos, A.G. Large Eddy Simulation of low Reynolds number turbulent hydrogen jets - Modelling considerations and comparison with detailed experiments. Int. J. Hydrog. Energy 2020, 46, 12384–12398. [Google Scholar] [CrossRef]
- Bailly, B.C. Large eddy simulations of round free jets using explicit filtering with/without dynamic Smagorinsky model. Int. J. Heat Fluid Flow 2006, 27, 603–610. [Google Scholar]
- Zhu, H.; Wang, L.L.; Tang, H.W. Large-eddy simulation of the generation and propagation of internal solitary waves. Sci. China 2014, 57, 1128–1136. [Google Scholar] [CrossRef]
- Zhu, H.; Lin, C.; Wang, L.L.; Kao, M.; Tang, H.; Williams, J.J.R. Numerical investigation of internal solitary waves of elevation type propagating on a uniform slope. Phys. Fluids 2018, 30, 116602. [Google Scholar] [CrossRef]
- Li, X.; Ren, B.; Wang, G.Y.; Wang, Y.X. Numerical simulation of hydrodynamic characteristics on an arc crown wall using volume of fluid method based on BFC. J. Hydrodyn. 2011, 23, 767–776. [Google Scholar] [CrossRef]
- Chen, Y. Flow simulation of car air conditioner duct based on SIMPLE algorithm. Mech. Eng 2008, 11, 111–112. [Google Scholar]
- Wang, F. Study on Hydrodynamic Characteristics of Small Scale Vertical Cylinders under Internal Solitary Wave; Ocean University of China: Qingdao, China, 2015. (In Chinese) [Google Scholar]
- Chen, C.Y.; Hsu JR, C.; Chen, C.W.; Chen, H.H.; Kuo, C.F.; Cheng, M.H. Generation of internal solitary wave by gravity collapse. J. Mar. Sci. Technol. 2007, 15, 1. [Google Scholar] [CrossRef]
- Terletska, K.; Jung, K.T.; Talipova, T.; Maderich, V.; Brovchenko, I.; Grimshaw, R. Internal breather-like wave generation by the second mode solitary wave interaction with a step. Phys. Fluids 2016, 28, 116602. [Google Scholar] [CrossRef]
- Harnanan, S.; Stastna, M.; Nancy, S. The effects of near-bottom stratification on internal wave induced instabilities in the boundary layer. Phys. Fluids 2017, 29, 016602. [Google Scholar] [CrossRef]
- Hsieh, C.M.; Cheng, M.H.; Hwang, R.R.; Hsu, J.R.C. Numerical study on evolution of an internal solitary wave across an idealized shelf with different front slopes. Appl. Ocean Res. 2016, 59, 236–253. [Google Scholar] [CrossRef]
- Arthur, R.S.; Fringer, O.B. The dynamics of breaking internal solitary waves on slopes. Fluid Mech. 2014, 761, 360–398. [Google Scholar] [CrossRef]
- Sutherland, B.R.; Barrett, K.J.; Ivey, G.N. Shoaling internal solitary waves. J. Geophys. Res. Ocean. 2013, 118, 4111–4124. [Google Scholar] [CrossRef]




























| Case | ∆t (s) | CFn−max | Elements Number |
|---|---|---|---|
| L (low density) | 0.02 | 0.0906 | 525,454 |
| M (moderate density) | 0.01 | 0.0976 | 2,384,640 |
| H (high density) | 0.006 | 0.0981 | 3,318,278 |
| Case | h1/h2 | η0/H | L/D | CFn−max (SC) | CFn−max (P1) | CFn−max (P2) |
|---|---|---|---|---|---|---|
| N1 | 0.33 | 0.057 | / | 0.0856 | / | / |
| N2 | 0.33 | 0.057 | / | −0.0725 | / | / |
| N3 | 0.33 | 0.057 | 1.5 | / | 0.1084 | −0.0575 |
| N4 | 0.33 | 0.057 | 1.5 | / | 0.1575 | −0.1217 |
| N5 | 0.33 | 0.057 | 6.0 | / | 0.0814 | 0.0816 |
| N6 | 0.33 | 0.057 | 6.0 | / | −0.0738 | 0.0448 |
| Case | h1/h2 | η0/H | L/D | +CFn–max (P1) |
|---|---|---|---|---|
| C1 (SC) | 0.33 | 0.057 | / | 0.0512 |
| C2 (L/D = 1.5) | 0.33 | 0.057 | 1.5 | 0.1575 |
| C3 (L/D = 2.0) | 0.33 | 0.057 | 2.0 | 0.1556 |
| C4 (L/D = 2.5) | 0.33 | 0.057 | 2.5 | 0.0929 |
| C5 (L/D =3.0) | 0.33 | 0.057 | 3.0 | 0.0511 |
| C6 (L/D = 3.5) | 0.33 | 0.057 | 3.5 | 0.0482 |
| C7 (L/D = 4.0) | 0.33 | 0.057 | 4.0 | 0.0470 |
| C8 (L/D = 5.0) | 0.33 | 0.057 | 5.0 | 0.0440 |
| C9 (L/D = 6.0) | 0.33 | 0.057 | 6.0 | 0.0494 |
| Case | h1/h2 | η0/H | L/D | −CFn−max (P2) |
|---|---|---|---|---|
| C1 (SC) | 0.33 | 0.057 | / | −0.0725 |
| C2 (L/D = 1.5) | 0.33 | 0.057 | 1.5 | −0.1217 |
| C3 (L/D = 2.0) | 0.33 | 0.057 | 2.0 | −0.1124 |
| C4 (L/D = 2.5) | 0.33 | 0.057 | 2.5 | −0.0433 |
| C5 (L/D = 3.0) | 0.33 | 0.057 | 3.0 | −0.0459 |
| C6 (L/D = 3.5) | 0.33 | 0.057 | 3.5 | −0.0458 |
| C7 (L/D = 4.0) | 0.33 | 0.057 | 4.0 | −0.0455 |
| C8 (L/D = 5.0) | 0.33 | 0.057 | 5.0 | −0.0449 |
| C9 (L/D = 6.0) | 0.33 | 0.057 | 6.0 | −0.0445 |
Disclaimer/Publisher’s Note: The statements, opinions and data contained in all publications are solely those of the individual author(s) and contributor(s) and not of MDPI and/or the editor(s). MDPI and/or the editor(s) disclaim responsibility for any injury to people or property resulting from any ideas, methods, instructions or products referred to in the content. |
© 2023 by the authors. Licensee MDPI, Basel, Switzerland. This article is an open access article distributed under the terms and conditions of the Creative Commons Attribution (CC BY) license (https://creativecommons.org/licenses/by/4.0/).
Share and Cite
Wang, Y.; Xiong, X.; Zhang, C.; Wang, L.; Wu, X.; Wang, H.; Liu, Z.; Wang, C. Analysis of the Force Characteristics of Two Tandem Cylinders by Internal Waves over Slope Topography. Water 2023, 15, 3259. https://doi.org/10.3390/w15183259
Wang Y, Xiong X, Zhang C, Wang L, Wu X, Wang H, Liu Z, Wang C. Analysis of the Force Characteristics of Two Tandem Cylinders by Internal Waves over Slope Topography. Water. 2023; 15(18):3259. https://doi.org/10.3390/w15183259
Chicago/Turabian StyleWang, Yin, Xiahui Xiong, Chenhui Zhang, Lingling Wang, Xiaobin Wu, Hua Wang, Zhi Liu, and Chunling Wang. 2023. "Analysis of the Force Characteristics of Two Tandem Cylinders by Internal Waves over Slope Topography" Water 15, no. 18: 3259. https://doi.org/10.3390/w15183259
APA StyleWang, Y., Xiong, X., Zhang, C., Wang, L., Wu, X., Wang, H., Liu, Z., & Wang, C. (2023). Analysis of the Force Characteristics of Two Tandem Cylinders by Internal Waves over Slope Topography. Water, 15(18), 3259. https://doi.org/10.3390/w15183259

