Research on a Prediction Model of Water Quality Parameters in a Marine Ranch Based on LSTM-BP
Abstract
1. Introduction
2. Data Source and Data Processing
2.1. Monitoring System Structure and Data Acquisition
2.2. Data Processing
3. Build Models and Evaluation Indicators
3.1. Predictive Model Evaluation Index
3.2. LSTM-BP Combination Model Construction
3.3. Comparison of Model Settings
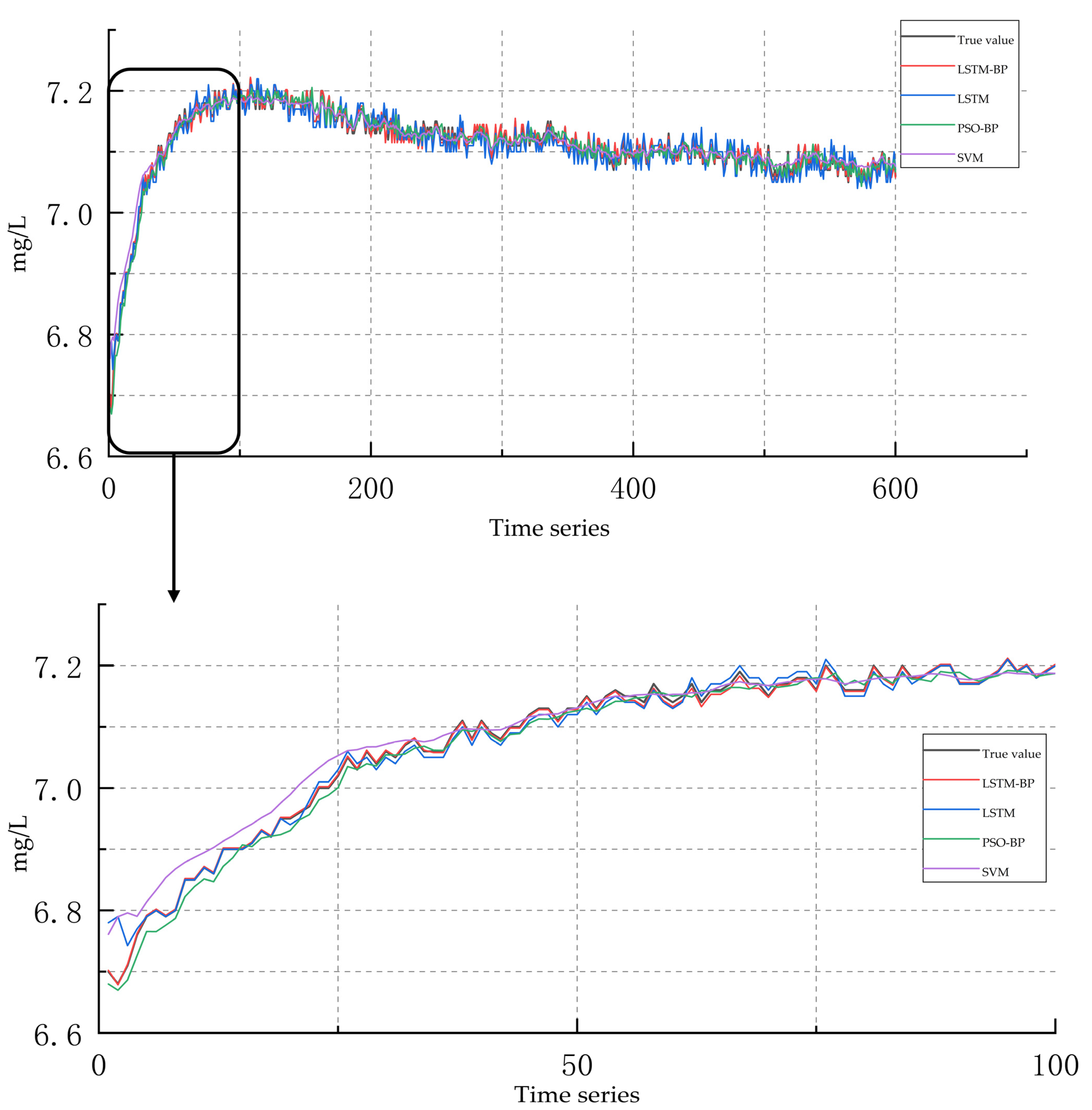
4. Analysis and Discussion of Experimental Results
5. Conclusions
Author Contributions
Funding
Data Availability Statement
Acknowledgments
Conflicts of Interest
References
- Hartman, S.E.; Bett, B.J.; Durden, J.M.; Henson, S.A.; Iversen, M.; Jeffreys, R.M.; Horton, T.; Lampitt, R.; Gates, A.R. Enduring science: Three decades of observing the northeast Atlantic from the Porcupine Abyssal Plain Sustained Observatory (PAP-SO). Prog. Oceanogr. 2021, 191, 102508. [Google Scholar] [CrossRef]
- Chen, G.; Huang, B.X.; Chen, X.Y.; Ge, L.Y.; Radenkovic, M.; Ma, Y. Deep Blue AI: A new bridge from data to knowledge for the ocean science. Deep Sea Res. Part I Oceanogr. Res. Pap. 2022, 190, 103886. [Google Scholar] [CrossRef]
- Tian, C.P.; Xu, Z.Y.; Wang, L.K.; Liu, Y.J. Arc fault detection using artificial intelligence: Challenges and benefits. Math. Biosci. Eng. 2023, 20, 12404–12432. [Google Scholar] [CrossRef] [PubMed]
- Bartsev, S.; Saltykov, M.; Belolipetsky, P.; Pianykh, A. Imperfection of the convergent cross-mapping method. IOP Conf. Ser. Mater. Sci. Eng. 2021, 1047, 012081. [Google Scholar] [CrossRef]
- Graf, R.; Zhu, S.L.; Sivakumar, B. Forecasting river water temperature time series using a wavelet–neural network hybrid modelling approach. J. Hydrol. 2019, 578, 124115. [Google Scholar] [CrossRef]
- Wen, X.H.; Feng, Q.; Deo, R.C.; Wu, M.; Si, J.H. Wavelet analysis–artificial neural network conjunction models for multi-scale monthly groundwater level predicting in an arid inland river basin, Northwestern China. Hydrol. Res. 2016, 48, 1710–1729. [Google Scholar] [CrossRef]
- Zhang, S.T.; Wu, J.R.; Jia, Y.G.; Wang, Y.G.; Zhang, Y.Q.; Duan, Q.B. A temporal LASSO regression model for the emergency forecasting of the suspended sediment concentrations in coastal oceans: Accuracy and Interpretability. Eng. Appl. Artif. Intell. 2021, 100, 104206. [Google Scholar] [CrossRef]
- Gauch, M.; Kratzert, F.; Klotz, D.; Nearing, G.; Lin, J.; Hochreiter, S. Rainfall–runoff prediction at multiple timescales with a single long short-term Memory Network. Hydrol. Earth Syst. Sci. 2021, 25, 2045–2062. [Google Scholar] [CrossRef]
- Chen, X.Y.; Chau, K.W. Uncertainty analysis on hybrid double feedforward neural network model for sediment load estimation with Lube Method. Water Resour. Manag. 2016, 33, 3563–3577. [Google Scholar] [CrossRef]
- Clark, S.R.; Pagendam, D.; Ryan, L. Forecasting multiple groundwater time series with local and Global Deep Learning Networks. Int. J. Environ. Res. Public Health 2022, 19, 5091. [Google Scholar] [CrossRef]
- Tang, Y.W.; Qiu, F.; Wang, B.J.; Wu, D.; Jing, L.H.; Sun, Z.C. A deep relearning method based on the recurrent neural network for land cover classification. GISci. Remote Sens. 2022, 59, 1344–1366. [Google Scholar] [CrossRef]
- Song, W.; Fujimura, S. Capturing combination patterns of long- and short-term dependencies in Multivariate Time Series forecasting. Neurocomputing 2021, 464, 72–82. [Google Scholar] [CrossRef]
- Guo, D.L.; Lintern, A.; Webb, J.A.; Ryu, D.; Bende-Michl, U.; Liu, S.C.; Western, A.W. A data-based predictive m-odel for spatiotemporal variability in stream water quality. Hydrol. Earth Syst. Sci. 2020, 24, 827–847. [Google Scholar] [CrossRef]
- Lu, H.F.; Ma, X. Hybrid decision tree-based machine learning models for short-term water quality prediction. Chemosphere 2020, 249, 126169. [Google Scholar] [CrossRef]
- Wang, H.; Wang, W.J.; Cui, Z.H.; Zhou, X.Y.; Zhao, J.; Li, Y. A new dynamic Firefly algorithm for demand estimation of water resources. Inf. Sci. 2018, 438, 95–106. [Google Scholar] [CrossRef]
- Green, M.B.; Pardo, L.H.; Bailey, S.W.; Campbell, J.L.; McDowell, W.H.; Bernhardt, E.S.; Rosi, E.J. Predicting high-frequency variation in stream solute concentrations with water quality sensors and machine learning. Hydrol. Process. 2020, 35, 14000. [Google Scholar] [CrossRef]
- Willard, J.D.; Read, J.S.; Appling, A.P.; Oliver, S.K.; Jia, X.W.; Kumar, V. Predicting water temperature dynamics of unmonitored lakes with meta-transfer learning. Water Resour. Res. 2021, 57, WR029579. [Google Scholar] [CrossRef]
- Kargar, K.; Samadianfard, S.; Parsa, J.; Nabipour, N.; Shamshirband, S.; Mosavi, A.; Chau, K.W. Estimating longitudinal dispersion coefficient in natural streams using empirical models and machine learning algorithms. Eng. Appl. Comput. Fluid Mech. 2020, 14, 311–322. [Google Scholar] [CrossRef]
- Ikotun, A.M.; Ezugwu, A.E.; Abualigah, L.; Abuhaija, B.; Heming, J. K-means Clustering Algorithms: A comprehensive review, variants analysis, and advances in the era of Big Data. Inf. Sci. 2023, 622, 178–210. [Google Scholar] [CrossRef]
- Ismkhan, H.; Izadi, M. K-means-G*: Accelerating K-means clustering algorithm utilizing primitive geometric concepts. Inf. Sci. 2022, 618, 298–316. [Google Scholar] [CrossRef]
- Dorabiala, O.; Kutz, J.N.; Aravkin, A.Y. Robust trimmed K-means. Pattern Recognit. Lett. 2022, 161, 9–16. [Google Scholar] [CrossRef]
- Husein, M.; Chung, I.Y. Day-ahead solar irradiance forecasting for microgrids using a long short-term memory recurrent neural network: A deep learning approach. Energies 2019, 12, 1856. [Google Scholar] [CrossRef]
- Aydın, H.; Orman, Z.; Aydın, M.A. A long short-term memory (LSTM)-based distributed denial of service (DDoS) detection and defense system design in Public Cloud Network Environment. Comput. Secur. 2022, 118, 102725. [Google Scholar] [CrossRef]
- Tang, Y.Y.; Wang, Y.L.; Liu, C.L.; Yuan, X.F.; Wang, K.; Yang, C.H. Semi-supervised LSTM with historical feature fusion attention for temporal sequence dynamic modeling in Industrial Processes. Eng. Appl. Artif. Intell. 2023, 117, 105547. [Google Scholar] [CrossRef]
- Ismael, M.; Mokhtar, A.; Farooq, M.; Lv, X. Assessing drinking water quality based on physical, chemical and microbial parameters in the Red Sea State, Sudan using a combination of water quality index and Artificial Neural Network Model. Groundw. Sustain. Dev. 2021, 14, 100612. [Google Scholar] [CrossRef]
- Mouloodi, S.; Rahmanpanah, H.; Gohari, S.; Burvill, C.; Davies, H. Feedforward backpropagation artificial neural networks for predicting mechanical responses in complex nonlinear structures: A study on a long bone. J. Mech. Behav. Biomed. Mater. 2022, 128, 105079. [Google Scholar] [CrossRef] [PubMed]
- Bogard, N.; Linder, J.; Rosenberg, A.B.; Seelig, G. A deep neural network for predicting and engineering alternative polyadenylation. Cell 2019, 178, 91–106.e23. [Google Scholar] [CrossRef]







| Serial Number | LSTM Network Layers | LSTM Number of Neurons | BP Network Layers | BP Number of Neurons | MAE |
|---|---|---|---|---|---|
| 1 | 2 | 10 | 2 | 20 | 0.0131 |
| 2 | 2 | 10 | 2 | 24 | 0.0097 |
| 3 | 2 | 10 | 3 | 20 | 0.0065 |
| 4 | 2 | 10 | 3 | 24 | 0.0039 |
| 5 | 2 | 12 | 2 | 20 | 0.0026 |
| 6 | 2 | 12 | 2 | 24 | 0.0016 |
| 7 | 2 | 12 | 3 | 20 | 0.0054 |
| 8 | 2 | 12 | 3 | 24 | 0.0058 |
| 9 | 3 | 10 | 2 | 20 | 0.0068 |
| 10 | 3 | 10 | 2 | 24 | 0.0072 |
| 11 | 3 | 10 | 3 | 20 | 0.0061 |
| 12 | 3 | 10 | 3 | 24 | 0.0146 |
| 13 | 3 | 12 | 2 | 20 | 0.0076 |
| 14 | 3 | 12 | 2 | 24 | 0.0153 |
| 15 | 3 | 12 | 3 | 20 | 0.0086 |
| 16 | 3 | 12 | 3 | 24 | 0.0073 |
| Lab Environment | Specific Information |
|---|---|
| operating system | Windows10 |
| processor | Intel(R) Pentium(R) CPU G3220 @ 3.00 GHz |
| Onboard RAM | 8 G |
| programming language | Python3.6 |
| development environment | Keras + TensorFlow/scikit-learn |
| development tools | Pycharm |
| Chlorophyll | Turbidity | Dissolved Oxygen | |||||||
|---|---|---|---|---|---|---|---|---|---|
| RMSE | MAE | NSE | RMSE | MAE | NSE | RMSE | MAE | NSE | |
| LSTM-BP | 36.64 | 23.50 | 0.967 | 2042.92 | 1214.25 | 0.876 | 52.69 | 38.28 | 0.971 |
| LSTM | 75.63 | 56.74 | 0.896 | 2578.36 | 1274.41 | 0.739 | 113.63 | 96.25 | 0.903 |
| PSO-BP | 125.26 | 87.63 | 0.853 | 2753.76 | 2003.65 | 0.686 | 119.45 | 101.62 | 0.874 |
| SVM | 157.16 | 114.58 | 0.761 | 4617.01 | 3275.73 | 0.577 | 151.40 | 112.75 | 0.765 |
Disclaimer/Publisher’s Note: The statements, opinions and data contained in all publications are solely those of the individual author(s) and contributor(s) and not of MDPI and/or the editor(s). MDPI and/or the editor(s) disclaim responsibility for any injury to people or property resulting from any ideas, methods, instructions or products referred to in the content. |
© 2023 by the authors. Licensee MDPI, Basel, Switzerland. This article is an open access article distributed under the terms and conditions of the Creative Commons Attribution (CC BY) license (https://creativecommons.org/licenses/by/4.0/).
Share and Cite
Xu, H.; Lv, B.; Chen, J.; Kou, L.; Liu, H.; Liu, M. Research on a Prediction Model of Water Quality Parameters in a Marine Ranch Based on LSTM-BP. Water 2023, 15, 2760. https://doi.org/10.3390/w15152760
Xu H, Lv B, Chen J, Kou L, Liu H, Liu M. Research on a Prediction Model of Water Quality Parameters in a Marine Ranch Based on LSTM-BP. Water. 2023; 15(15):2760. https://doi.org/10.3390/w15152760
Chicago/Turabian StyleXu, He, Bin Lv, Jie Chen, Lei Kou, Hailin Liu, and Min Liu. 2023. "Research on a Prediction Model of Water Quality Parameters in a Marine Ranch Based on LSTM-BP" Water 15, no. 15: 2760. https://doi.org/10.3390/w15152760
APA StyleXu, H., Lv, B., Chen, J., Kou, L., Liu, H., & Liu, M. (2023). Research on a Prediction Model of Water Quality Parameters in a Marine Ranch Based on LSTM-BP. Water, 15(15), 2760. https://doi.org/10.3390/w15152760

