Numerical Study of Multiple Momentum Jets in a Vegetated Crossflow
Abstract
1. Introduction
2. Model and Validation
2.1. Calculation Model Layout
2.2. Governing Equations
2.3. Solution Methods and Boundary Condition
2.4. Model Validation and Mesh Sensitivity Analysis
3. Results
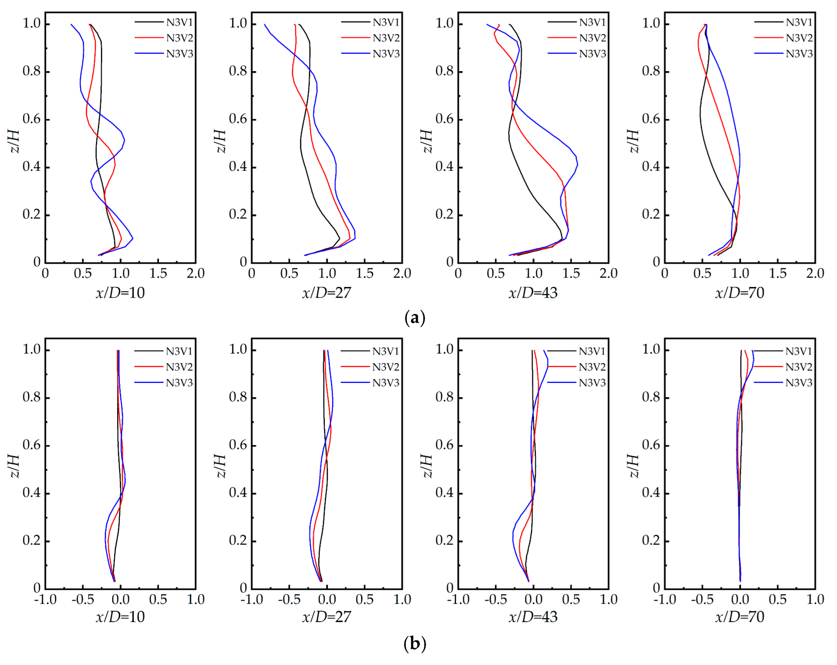
3.1. Mean Velocity Field
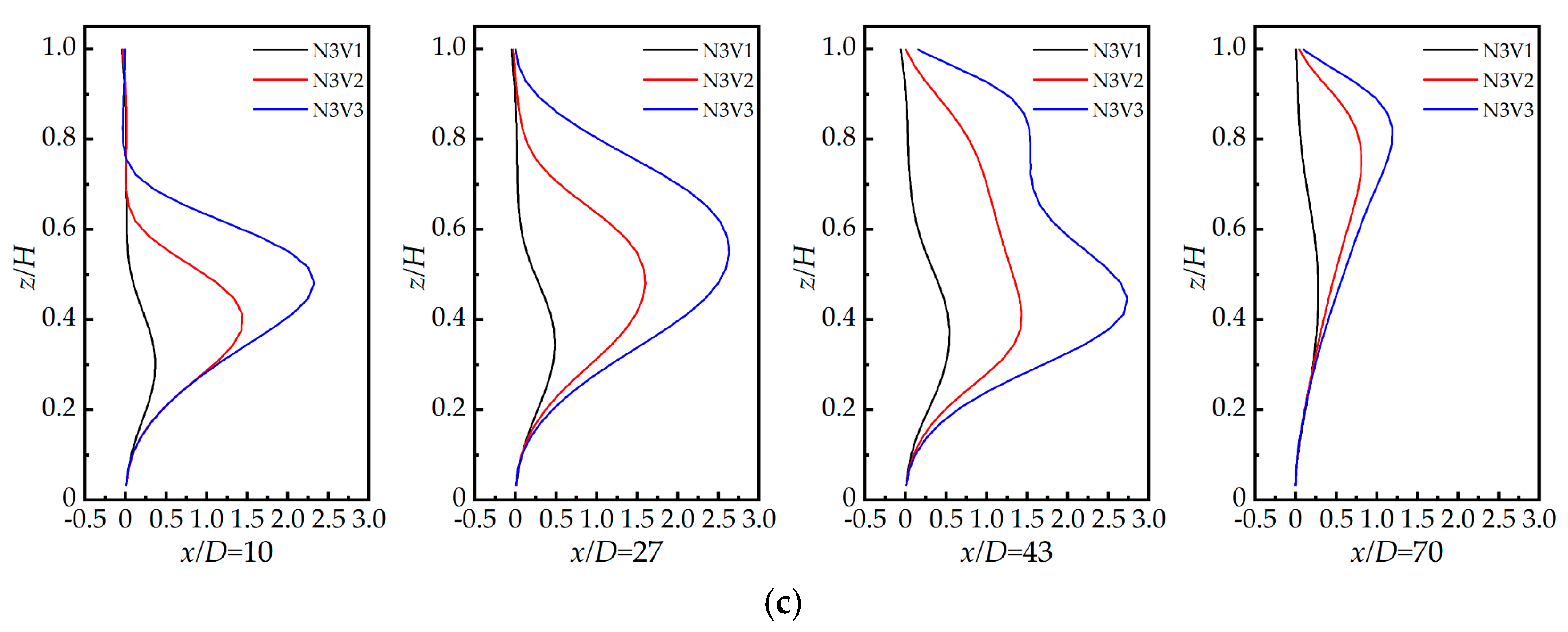
3.2. Turbulent Kinetic Energy
3.3. Vortex Field Structure
4. Conclusions
- (1)
- Both the obstructive effect of vegetation on the jet and the Carmen vortex street generated by the crossflow passing through the vegetation interfere with the jet. Vegetation inhibits the diffusion of jets in the spreading direction while promoting the diffusion of jets in the vertical direction. For the same jet-to-crossflow velocity ratio, the CVP generated by the jet were more pronounced in the unvegetated environment.
- (2)
- For multiple jets, vegetation reduces the shading effect of the forward jet on the backward jet by accelerating the dissipation of the shear layer vortices, inhibiting the penetration height of the backward jet in the ambient flow.
- (3)
- When the jet spacing is greater than a certain value, the influence of the rear jet on the front jet is not obvious, while the front jet still experiences a coiled suction effect with the rear jet when it runs above the rear jet, and its influence on the rear jet decreases as the spacing increases.
Author Contributions
Funding
Data Availability Statement
Conflicts of Interest
References
- de Wit, L.; van Rhee, C.; Keetels, G. Turbulent Interaction of a Buoyant Jet with Cross-Flow. J. Hydraul. Eng. 2014, 140, 04014060. [Google Scholar] [CrossRef]
- Jirka, G. Integral Model for Turbulent Buoyant Jets in Unbounded Stratified Flows. Part I: Single Round Jet. Environ. Fluid Mech. 2004, 4, 1–56. [Google Scholar] [CrossRef]
- Kamotani, Y.; Greber, I. Experiments on a Turbulent Jet in a Cross Flow. AIAA J. 1972, 10, 1425–1429. [Google Scholar] [CrossRef]
- List, E.J. Turbulent Jets and Plumes. Annu. Rev. Fluid Mech. 1982, 14, 189–212. [Google Scholar] [CrossRef]
- Mossa, M.; De Serio, F. Rethinking the Process of Detrainment: Jets in Obstructed Natural Flows. Sci. Rep. 2016, 6, 39103. [Google Scholar] [CrossRef] [PubMed]
- Fric, T.F.; Roshko, A. Vortical Structure in the Wake of a Transverse Jet. J. Fluid Mech. 1994, 279, 1–47. [Google Scholar] [CrossRef]
- Gao, M.; Huai, W.; Xiao, Y.; Yang, Z.; Ji, B. Large Eddy Simulation of a Vertical Buoyant Jet in a Vegetated Channel. Int. J. Heat. Fluid. Flow. 2018, 70, 114–124. [Google Scholar] [CrossRef]
- Zhao, L.; Chen, Z.; Lee, K. Modelling the Dispersion of Wastewater Discharges from Offshore Outfalls: A Review. Environ. Rev. 2011, 19, 107–120. [Google Scholar] [CrossRef]
- Liu, C.; Shan, Y.; Nepf, H. Impact of Stem Size on Turbulence and Sediment Resuspension Under Unidirectional Flow. Water Resour. Res. 2021, 57, e2020wr028620. [Google Scholar] [CrossRef]
- Zhang, J.; Hu, R. Turbulence Structure in an Experimental Compound Channel with Varying Coverage of Riparian Vegetation on the Floodplain. J. Hydrol. 2023, 620, 129378. [Google Scholar] [CrossRef]
- Liu, C.; Yan, C.; Sun, S.; Lei, J.; Nepf, H.; Shan, Y. Velocity, Turbulence, and Sediment Deposition in a Channel Partially Filled with a Phragmites Australis Canopy. Water Resour. Res. 2022, 58, e2022WR032381. [Google Scholar] [CrossRef]
- Ben Meftah, M.; De Serio, F.; Malcangio, D.; Mossa, M.; Petrillo, A.F. Experimental Study of a Vertical Jet in a Vegetated Crossflow. J. Environ. Manag. 2015, 164, 19–31. [Google Scholar] [CrossRef] [PubMed]
- Malcangio, D.; Mossa, M. A Laboratory Investigation into the Influence of a Rigid Vegetation on the Evolution of a Round Turbulent Jet Discharged within a Cross Flow. J. Environ. Manag. 2016, 173, 105–120. [Google Scholar] [CrossRef] [PubMed]
- Mossa, M.; Ben Meftah, M.; De Serio, F.; Nepf, H.M. How Vegetation in Flows Modifies the Turbulent Mixing and Spreading of Jets. Sci. Rep. 2017, 7, 6587. [Google Scholar] [CrossRef] [PubMed]
- Tognin, D.; Peruzzo, P.; De Serio, F.; Ben Meftah, M.; Carniello, L.; Defina, A.; Mossa, M. Experimental Setup and Measuring System to Study Solitary Wave Interaction with Rigid Emergent Vegetation. Sensors 2019, 19, 1787. [Google Scholar] [CrossRef]
- Wright, S. Effects of Ambient Crossflows and Density Stratification on the Characteristic Behavior of Round Turbulent Buoyant Jets. P.h. D Thesis, California Institute of Technology, Pasadena, CA, USA, 1977. Available online: https://www.researchgate.net/publication/27405257_Effects_of_Ambient_Crossflows_and_Density_Stratification_on_the_Characteristic_Behavior_of_Round_Turbulent_Buoyant_Jets (accessed on 28 June 2023).
- Xiao, Y.; Huai, W.; Gao, M.; Yang, Z.; Ji, B. Evaluating the Hydrodynamics of a Round Jet in a Vegetated Crossflow through Large Eddy Simulation. Env. Fluid Mech. 2018, 19, 181–201. [Google Scholar] [CrossRef]
- Teng, S.; Feng, M.; Chen, K. PIV Experimental Study on Flow Field near Lateral Jet under the Condition of Vegetation. IOP Conf. Ser. Mater. Sci. Eng. 2019, 472, 012093. [Google Scholar] [CrossRef]
- Teng, S.; Feng, M.; Chen, K.; Wang, W.; Zheng, B. Effect of a Lateral Jet on the Turbulent Flow Characteristics of an Open Channel Flow with Rigid Vegetation. Water 2018, 10, 1204. [Google Scholar] [CrossRef]
- Ali, M.S. Mixing od a Non-Bouyant Turbanlent Jet Group in Crossflow. Ph.D. Thesis, The University of Hong Kong, Hong Kong, 2003. [Google Scholar]
- Lai, A.C.H.; Lee, J.H.W. Multiple Tandem Jet Interaction in a Crossflow. J. Hydrodyn. 2010, 22, 616–620. [Google Scholar] [CrossRef]
- Yu, D.; Ali, M.S.; Lee, J.H.W. Multiple Tandem Jets in Cross-Flow. J. Hydraul. Eng. 2006, 132, 971–982. [Google Scholar] [CrossRef]
- Li, Z.; Huai, W.; Qian, Z. Study on the Flow Field and Concentration Characteristics of the Multiple Tandem Jets in Crossflow. Sci. Sin.-Tech. 2012, 42, 1395–1406. [Google Scholar] [CrossRef]
- Zhang, W.; Zhu, D.Z. Near-Field Mixing Downstream of a Multiport Diffuser in a Shallow River. J. Environ. Eng. 2011, 137, 230–240. [Google Scholar] [CrossRef]
- Huai, W.; Li, Z.; Qian, Z.; Zeng, Y.; Han, J.; Peng, W. Numerical Simulation of Horizontal Buoyant Wall Jet. J. Hydrodyn. 2010, 22, 58–65. [Google Scholar] [CrossRef]
- Huai, W.; Wu, Z.; Qian, Z.; Geng, C. Large Eddy Simulation of Open Channel Flows with Non-Submerged Vegetation. J. Hydrodyn. 2011, 23, 258–264. [Google Scholar] [CrossRef]
- El-Amin, M.F.; Al-Ghamdi, A.; Salama, A.; Sun, S. Numerical Simulation and Analysis of Confined Turbulent Buoyant Jet with Variable Source. J. Hydrodyn. 2015, 27, 955–968. [Google Scholar] [CrossRef]
- Zhan, J.; Hu, W.; Cai, W.; Ye-jun, Y.; Li, C. Numerical Simulation of Flow through Circular Array of Cylinders Using Porous Media Approach with Non-Constant Local Inertial Resistance Coefficient. J. Hydrodyn. 2017, 29, 168–171. [Google Scholar] [CrossRef]
- Choi, S.-U.; Kang, H. Reynolds Stress Modeling of Vegetated Open-Channel Flows. J. Hydraul. Res. 2004, 42, 3–11. [Google Scholar] [CrossRef]
- Li, Z.; Huai, W.; Han, J. Large Eddy Simulation of the Interaction Between Wall Jet and Offset Jet. J. Hydrodyn. 2011, 23, 544–553. [Google Scholar] [CrossRef]
- De Serio, F.; Goldshmid, R.H.; Liberzon, D.; Mossa, M.; Negretti, M.E.; Pisaturo, G.R.; Righetti, M.; Sommeria, J.; Termini, D.; Valran, T.; et al. Turbulent Jet through Porous Obstructions under Coriolis Effect: An Experimental Investigation. Exp. Fluids 2021, 62, 218. [Google Scholar] [CrossRef]
- Xu, J.; Avital, E.J.; Wang, L. Direct Numerical Simulations on Jets during the Propagation and Break down of Internal Solitary Waves on a Slope. Water 2020, 12, 671. [Google Scholar] [CrossRef]
- Keramaris, E.; Pechlivanidis, G. Boundary Effects of Vertical Buoyant Jets in a Stagnant Fluid in a Crossflow. Exp. Tech. 2019, 44, 149–158. [Google Scholar] [CrossRef]
- Shih, T.-H.; Liou, W.W.; Shabbir, A.; Yang, Z.; Zhu, J. A New k-ε Eddy Viscosity Model for High Reynolds Number Turbulent Flows. Comput. Fluids. 1995, 24, 227–238. [Google Scholar] [CrossRef]
- Xiao, Y.; Tang, H.; Liang, D.; Zhang, J. Numerical Study of Hydrodynamics of Multiple Tandem Jets in Cross Flow. J. Hydrodyn. 2011, 23, 806–813. [Google Scholar] [CrossRef]
- Li, S.; Yuan, B.; Liu, L.; Guo, T.; Liu, L. Numerical Investigation on the Vortices of Multiple Turbulent Jet in Crossflow. In Challenges of Power Engineering and Environment, Proceedings of the International Conference on Power Engineering, Hangzhou, China, 23–27 October 2007; Springer: Berlin/Heidelberg, Germany, 2007; pp. 1414–1418. [Google Scholar] [CrossRef]
- Sherif, S.A.; Pletcher, R.H. Measurements of the Flow and Turbulence Characteristics of Round Jets in Crossflow. J. Fluids Eng. 1989, 111, 165–171. [Google Scholar] [CrossRef]
- Yuan, H.; Hu, R.; Xu, X.; Chen, L.; Peng, Y.; Tan, J. Numerical Investigation of Vertical Crossflow Jets with Various Orifice Shapes Discharged in Rectangular Open Channel. Energies 2020, 13, 1505. [Google Scholar] [CrossRef]
- Tautges, T.J. The Generation of Hexahedral Meshes for Assembly Geometry: Survey and Progress. Int. J. Numer. Meth. Engng. 2001, 50, 2617–2642. [Google Scholar] [CrossRef]
- Sarrate, J.; Ruiz-Gironés, E.; Roca, X. Unstructured and Semi-Structured Hexahedral Mesh Generation Methods. Comp. Tech. Rev. 2014, 10, 35–64. [Google Scholar] [CrossRef]
- Etminan, V.; Lowe, R.J.; Ghisalberti, M. A New Model for Predicting the Drag Exerted by Vegetation Canopies. Water Resour. Res. 2017, 53, 3179–3196. [Google Scholar] [CrossRef]
- Hu, R.; Zhang, J. Modeling Velocity in a Compound Channel with Co-Existing Emergent and Submerged Vegetation. Phys. Fluids 2022, 34, 105127. [Google Scholar] [CrossRef]
- Gui, Z.; Shan, Y.; Liu, C. Flow Velocity Evolution through a Floating Rigid Cylinder Array under Unidirectional Flow. J. Hydrol. 2023, 617, 128915. [Google Scholar] [CrossRef]
- Liu, C.; Shan, Y.; Sun, W.; Yan, C.; Yang, K. An Open Channel with an Emergent Vegetation Patch: Predicting the Longitudinal Profiles of Velocities Based on Exponential Decay. J. Hydrol. 2020, 582, 124429. [Google Scholar] [CrossRef]
- Yuan, L.; Street, R.; Ferziger, J. Large-Eddy Simulations of a Round Jet in Crossflow. J. Fluid Mech. 1999, 379, 71–104. [Google Scholar] [CrossRef]
- Kelso, R.M.; Lim, T.T.; Perry, A.E. An Experimental Study of Round Jets in Cross-Flow. J. Fluid Mech. 1996, 306, 111–144. [Google Scholar] [CrossRef]















| Runs | n | H(m) | S/D | Uj (m/s) | Ua (m/s) | α | Rej | Rea |
|---|---|---|---|---|---|---|---|---|
| N31 | 3 | 0.3 | - | 2 | 0.19 | 10.53 | 6721 | 26,282 |
| N32 | 3 | 0.3 | - | 3.83 | 0.19 | 20.16 | 12,871 | 26,282 |
| N33 | 3 | 0.3 | - | 6 | 0.19 | 31.58 | 20,164 | 26,282 |
| N2V1 | 2 | 0.3 | 16.7 | 2 | 0.19 | 10.53 | 6721 | 26,282 |
| N2V2 | 2 | 0.3 | 16.7 | 3.83 | 0.19 | 20.16 | 12,871 | 26,282 |
| N2V3 | 2 | 0.3 | 16.7 | 6 | 0.19 | 31.58 | 20,164 | 26,282 |
| F2V1 | 2 | 0.3 | 33.4 | 2 | 0.19 | 10.53 | 6721 | 26,282 |
| F2V2 | 2 | 0.3 | 33.4 | 3.83 | 0.19 | 20.16 | 12,871 | 26,282 |
| F2V3 | 2 | 0.3 | 33.4 | 6 | 0.19 | 31.58 | 20,164 | 26,282 |
| N3V1 | 3 | 0.3 | 16.7 | 2 | 0.19 | 10.53 | 6721 | 26,282 |
| N3V2 | 3 | 0.3 | 16.7 | 3.83 | 0.19 | 20.16 | 12,871 | 26,282 |
| N3V3 | 3 | 0.3 | 16.7 | 6 | 0.19 | 31.58 | 20,164 | 26,282 |
Disclaimer/Publisher’s Note: The statements, opinions and data contained in all publications are solely those of the individual author(s) and contributor(s) and not of MDPI and/or the editor(s). MDPI and/or the editor(s) disclaim responsibility for any injury to people or property resulting from any ideas, methods, instructions or products referred to in the content. |
© 2023 by the authors. Licensee MDPI, Basel, Switzerland. This article is an open access article distributed under the terms and conditions of the Creative Commons Attribution (CC BY) license (https://creativecommons.org/licenses/by/4.0/).
Share and Cite
Yuan, H.; Xia, C.; Zhao, G.; Hu, R. Numerical Study of Multiple Momentum Jets in a Vegetated Crossflow. Water 2023, 15, 2759. https://doi.org/10.3390/w15152759
Yuan H, Xia C, Zhao G, Hu R. Numerical Study of Multiple Momentum Jets in a Vegetated Crossflow. Water. 2023; 15(15):2759. https://doi.org/10.3390/w15152759
Chicago/Turabian StyleYuan, Hao, Chunhua Xia, Guangde Zhao, and Ruichang Hu. 2023. "Numerical Study of Multiple Momentum Jets in a Vegetated Crossflow" Water 15, no. 15: 2759. https://doi.org/10.3390/w15152759
APA StyleYuan, H., Xia, C., Zhao, G., & Hu, R. (2023). Numerical Study of Multiple Momentum Jets in a Vegetated Crossflow. Water, 15(15), 2759. https://doi.org/10.3390/w15152759
